BaTiO3—Gd3Fe5O12 Composites: Exploring the Dielectric Properties in a Broad Frequency Range
Abstract
1. Introduction
2. Materials and Methods
3. Results and Discussion
3.1. Thermal Analysis
3.2. Structural Analysis
3.3. Morphological Analysis
3.4. Electrical Analysis
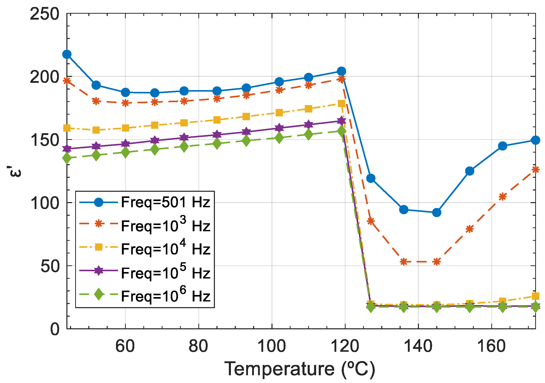
3.4.1. Complex Permittivity
3.4.2. Electrical Modulus Formalism
3.4.3. Impedance Response
4. Conclusions
Author Contributions
Funding
Data Availability Statement
Conflicts of Interest
References
- McKubre, M.C.H.; Macdonald, D.D. Impedance Measurement Techniques and Data Analysis. In Impedance Spectroscopy Theory, Experiment, and Applications; Barsoukov, E., Macdonald, J.R., Eds.; John Wiley & Sons, Inc.: Hoboken, NJ, USA, 2005; Volume 177, p. 606. ISBN 0-471-64749-7. [Google Scholar]
- Yuan, Y.; Lin, J.; Wang, X.; Qian, J.; Zuo, P.; Zhuang, Q. Achieving Excellent Dielectric and Energy Storage Performance in Core-Double-Shell-Structured Polyetherimide Nanocomposites. Polymers 2023, 15, 3088. [Google Scholar] [CrossRef] [PubMed]
- Tang, H.; Zhou, Z.; Bowland, C.C.; Sodano, H.A. Synthesis of Calcium Copper Titanate (CaCu3Ti4O12) Nanowires with Insulating SiO2 Barrier for Low Loss High Dielectric Constant Nanocomposites. Nano Energy 2015, 17, 302–307. [Google Scholar] [CrossRef]
- Lu, J.; Wong, C.P. Recent Advances in High-k Nanocomposite Materials for Embedded Capacitor Applications. IEEE Trans. Dielectr. Electr. Insul. 2008, 15, 1322–1328. [Google Scholar] [CrossRef]
- Li, W.-B.; Zhou, D.; Pang, L.-X.; Xu, R.; Guo, H.-H. Novel Barium Titanate Based Capacitors with High Energy Density and Fast Discharge Performance. J. Mater. Chem. A 2017, 5, 19607–19612. [Google Scholar] [CrossRef]
- Acosta, M.; Novak, N.; Rojas, V.; Patel, S.; Vaish, R.; Koruza, J.; Rossetti, G.A.; Rödel, J. BaTiO3-Based Piezoelectrics: Fundamentals, Current Status, and Perspectives. Appl. Phys. Rev. 2017, 4, 041305. [Google Scholar] [CrossRef]
- Dong, X.; Li, X.; Chen, H.; Sun, C.; Shi, J.; Pang, F.; Chen, X.; Zhou, H. Effective Strategy to Realise Excellent Energy Storage Performances in Lead-Free Barium Titanate-Based Relaxor Ferroelectric. Ceram. Int. 2021, 47, 6077–6083. [Google Scholar] [CrossRef]
- Mi, L.; Zhang, Q.; Wang, H.; Wu, Z.; Guo, Y.; Li, Y.; Xiong, X.; Liu, K.; Fu, W.; Ma, Y.; et al. Synthesis of BaTiO3 Nanoparticles by Sol-Gel Assisted Solid Phase Method and Its Formation Mechanism and Photocatalytic Activity. Ceram. Int. 2020, 46, 10619–10633. [Google Scholar] [CrossRef]
- Hu, J.; Chen, L.; Nan, C. Multiferroic Heterostructures Integrating Ferroelectric and Magnetic Materials. Adv. Mater. 2016, 28, 15–39. [Google Scholar] [CrossRef] [PubMed]
- Hao, Y.; Li, Y.; Yao, X.; Wang, X. Studies of Ferroelectric and Dielectric Properties of Samarium Doped Barium Titanate Sintered in Pure Nitrogen. Ferroelectrics 2010, 407, 146–153. [Google Scholar] [CrossRef]
- Morrison, F.D.; Sinclair, D.C.; West, A.R. Alternative Explanation for the Origin of the Resistivity Anomaly in La-Doped BaTiO3. J. Am. Ceram. Soc. 2001, 84, 474–476. [Google Scholar] [CrossRef]
- Zhang, K.; Li, L.; Wang, M.; Luo, W. Charge Compensation in Rare Earth Doped BaTiO3-Based Ceramics Sintered in Reducing Atmosphere. Ceram. Int. 2020, 46, 25881–25887. [Google Scholar] [CrossRef]
- Ren, P.; He, J.; Wang, X.; Sun, M.; Zhang, H.; Zhao, G. Colossal Permittivity in Niobium Doped BaTiO3 Ceramics Annealed in N2. Scr. Mater. 2018, 146, 110–114. [Google Scholar] [CrossRef]
- Li, Z.; Yu, J.; Hao, S.; Janolin, P.E. Enhancing Properties of Lead-Free Ferroelectric BaTiO3 through Doping. J. Eur. Ceram. Soc. 2022, 42, 4693–4701. [Google Scholar] [CrossRef]
- Xiao, Y.; Yang, Y.; Yang, S.; Li, J.; Liu, D.; Wu, J.; Wang, M.; Li, C.; Li, F. Simultaneous Enhancement of Dielectric Properties and Temperature Stability in BaTiO3-Based Ceramics Enabling X8R Multilayer Ceramic Capacitor. Int. J. Appl. Ceram. Technol. 2023, 20, 3735–3742. [Google Scholar] [CrossRef]
- Soreto Teixeira, S.; Sales, A.J.M.; Graça, M.P.F.; Costa, L.C. Yttrium Ferrites with Enhanced Dielectric Properties. Mater. Sci. Eng. B 2018, 232–235, 41–47. [Google Scholar] [CrossRef]
- Qi, J.; Zhang, M.; Chen, Y.; Luo, Z.; Zhao, P.; Su, H.; Wang, J.; Wang, H.; Yang, L.; Pan, H.; et al. High-Entropy Assisted BaTiO3-Based Ceramic Capacitors for Energy Storage. Cell Rep. Phys. Sci. 2022, 3, 101110. [Google Scholar] [CrossRef]
- Baivier, C.; Hammami, I.; Benzerga, R.; Graça, M.P.F.; Costa, L.C. Barium Titanate/Gadolinium Ferrite: A New Material Composite to Store Energy. Nanomaterials 2023, 13, 1955. [Google Scholar] [CrossRef]
- Grousseau, P. Synthèse et Étude Du Grenat de Fer et D’yttrium. Ph.D. Thesis, Ecole Nationale Supérieure des Mines de Saint-Etienne, Saint-Étienne, France, 1993. [Google Scholar]
- Raza, S.A.; Awan, S.U.; Hussain, S.; Shah, S.A.; Iqbal, A.M.; Khurshid Hasanain, S. Structural, Ferromagnetic, Electrical, and Dielectric Relaxor Properties of BaTiO3 and CoFe2O4 Bulk, Nanoparticles, and Nanocomposites Materials for Electronic Devices. J. Appl. Phys. 2020, 128, 124101. [Google Scholar] [CrossRef]
- Rached, A.; Wederni, M.A.; Khirouni, K.; Alaya, S.; Martín-Palma, R.J.; Dhahri, J. Structural, Optical and Electrical Properties of Barium Titanate. Mater. Chem. Phys. 2021, 267, 124600. [Google Scholar] [CrossRef]
- Sareecha, N.; Ali Shah, W.; Anis-ur-Rehman, M.; Latif Mirza, M.; Awan, M.S. Electrical Investigations of BaTiO3 Ceramics with Ba/Ti Contents under Influence of Temperature. Solid. State Ion. 2017, 303, 16–23. [Google Scholar] [CrossRef]
- Yoon, D. Tetragonality of Barium Titanate Powder for a Ceramic Capacitor Application. J. Ceram. Process. Res. 2006, 7, 343. [Google Scholar]
- Ryu, S.-S.; Yoon, D.-H. Solid-State Synthesis of Nano-Sized BaTiO3 Powder with High Tetragonality. J. Mater. Sci. 2007, 42, 7093–7099. [Google Scholar] [CrossRef]
- Kong, L.B.; Ma, J.; Huang, H.; Zhang, R.F.; Que, W.X. Barium Titanate Derived from Mechanochemically Activated Powders. J. Alloys Compd. 2002, 337, 226–230. [Google Scholar] [CrossRef]
- Kim, J.-H.; Jung, W.-S.; Kim, H.-T.; Yoon, D.-H. Properties of BaTiO3 Synthesized from Barium Titanyl Oxalate. Ceram. Int. 2009, 35, 2337–2342. [Google Scholar] [CrossRef]
- Vijatovic, M.; Vasic, M.; Bobic, J.; Zivkovic, L.; Stojanovic, B. Effect of Powder Synthesis Method on BaTiO3 Ceramics. Process. Appl. Ceram. 2008, 2, 27–31. [Google Scholar] [CrossRef]
- Jiang, L.; Yang, S.; Zheng, M.; Chen, H.; Wu, A. Synthesis and Magnetic Properties of Nanocrystalline Gd3Fe5O12 and GdFeO3 Powders Prepared by Sol–Gel Auto-Combustion Method. Mater. Res. Bull. 2018, 104, 92–96. [Google Scholar] [CrossRef]
- Diao, J.; Robinson, I.K. Ferroelectric Domains in Barium Titanate by Bragg Coherent X-ray Diffraction Imaging. Ph.D. Thesis, University College London, London, UK, 2022. [Google Scholar]
- Wang, J.; Jin, K.; Yao, H.; Gu, J.; Xu, X.; Ge, C.; Wang, C.; He, M.; Yang, G. Temperature-Dependent Phase Transition in Barium Titanate Crystals Probed by Second Harmonic Generation. Appl. Phys. Lett. 2018, 112, 102904. [Google Scholar] [CrossRef]
- Stern, E.A. Character of Order-Disorder and Displacive Components in Barium Titanate. Phys. Rev. Lett. 2004, 93, 037601. [Google Scholar] [CrossRef] [PubMed]
- Deng, J.; Han, F.; Schwarz, B.; Knapp, M.; Ehrenberg, H.; Hua, W.; Hinterstein, M.; Li, G.; He, Y.; Wang, J.; et al. Dielectric Relaxation and Magnetic Structure of A-Site-Ordered Perovskite Oxide Semiconductor CaCu3 Fe2 Ta2 O12. Inorg. Chem. 2021, 60, 6999–7007. [Google Scholar] [CrossRef] [PubMed]
- Meng, Y.; Liu, K.; Zhang, X.; Lei, X.; Chen, J.; Yang, Z.; Peng, B.; Long, C.; Liu, L.; Li, C. Defect Engineering in Rare-Earth-Doped BaTiO3 Ceramics: Route to High-Temperature Stability of Colossal Permittivity. J. Am. Ceram. Soc. 2022, 105, 5725–5737. [Google Scholar] [CrossRef]
- Meng, Y.; Liu, K.; Zhang, X.; Qiang, X.; Lei, X.; Chen, J.; Li, C.; Yang, Z.; Liu, L. Compositional Modulation and Annealing Treatment in BaTiO3 to Simultaneously Achieve Colossal Permittivity, Low Dielectric Loss, and High Thermal Stability. Ceram. Int. 2021, 47, 33912–33916. [Google Scholar] [CrossRef]
- Liu, L.; Ren, S.; Zhang, J.; Peng, B.; Fang, L.; Wang, D. Revisiting the Temperature-Dependent Dielectric Permittivity of Ba(Ti1−xZrx)O3. J. Am. Ceram. Soc. 2018, 101, 2408–2416. [Google Scholar] [CrossRef]
- Melo, B.M.G.; Loureiro, F.J.A.; Fagg, D.P.; Costa, L.C.; Graça, M.P.F. DFRTtoEIS: An Easy Approach to Verify the Consistency of a DFRT Generated from an Impedance Spectrum. Electrochim. Acta 2021, 366, 137429. [Google Scholar] [CrossRef]
- Abrantes, J.C.C.; Feighery, A.; Ferreira, A.A.L.; Labrincha, J.A.; Frade, J.R. Impedance Spectroscopy Study of Niobium-Doped Strontium Titanate Ceramics. J. Am. Ceram. Soc. 2004, 85, 2745–2752. [Google Scholar] [CrossRef]
- Graça, M.P.F.; Melo, B.M.G.; Prezas, P.R.; Valente, M.A.; Freire, F.N.A.; Bih, L. Electrical and Dielectric Analysis of Phosphate Based Glasses Doped with Alkali Oxides. Mater. Des. 2015, 86, 427–435. [Google Scholar] [CrossRef]
- EIS Smart Tool. Available online: https://github.com/bmgmelo/EIS-smart-tool (accessed on 21 June 2024).
- Melo, B.M.G.; Blaskova-Kochnitcharova, D.; Teixeira, S.S.; Lefterova, E.; Petkov, P.; Petkova, T.; Costa, L.C. Relaxation Processes in TiO2–V2O5–P2O5 Glass-Ceramics. Ceram. Int. 2021, 47, 29047–29054. [Google Scholar] [CrossRef]
- Shoar Abouzari, M.R.; Berkemeier, F.; Schmitz, G.; Wilmer, D. On the Physical Interpretation of Constant Phase Elements. Solid. State Ion. 2009, 180, 922–927. [Google Scholar] [CrossRef]













| Sample | BaTiO3 (wt%) | Gd3Fe5O12 (wt%) |
|---|---|---|
| BTO | 100 | 0 |
| 25GIG | 75 | 25 |
| 50GIG | 50 | 50 |
| 75GIG | 25 | 75 |
| GIG | 0 | 100 |
| Sample | BaTiO3 (wt%) | BaCO3 (wt%) | Fe2O3 (wt%) | Gd3Fe5O12 (wt%) | Rexp | Rp | Rwp | χ |
|---|---|---|---|---|---|---|---|---|
| GIG | 18.60 | 81.40 | 2.10 | 2.00 | 3.95 | 1.88 | ||
| BTO | 98.61 | 1.39 | 5.46 | 6.39 | 8.11 | 1.49 |
| Sample | BaTiO3 (wt%) | GdFeO3 (wt%) | BaFe7O11 (wt%) | Rexp | Rp | Rwp | χ |
|---|---|---|---|---|---|---|---|
| 25GIG | 84.24 | 15.04 | 0.72 | 3.83 | 3.70 | 4.95 | 1.29 |
| 50GIG | 57.82 | 33.45 | 8.73 | 3.45 | 3.47 | 4.73 | 1.37 |
| 75GIG | 26.44 | 55.42 | 18.14 | 2.51 | 2.67 | 3.91 | 1.56 |
(Hz) | (Hz) | (Hz) | (S/m) | |||||||
|---|---|---|---|---|---|---|---|---|---|---|
| GIG | 23.7 | 8.4 | 360 | 7.97 × 10−8 | ||||||
| BTO | 663.8 | 114.2 | 2734 | 5.47 × 10−6 | ||||||
| 25GIG | 661.5 | 378.0 | 59.7 | 669.1 | 291.1 | 231.4 | 52 | 18,700 | 6.5 × 106 | 6.97 × 10−8 |
| 50GIG | 867.0 | 412.2 | 90.4 | 589.7 | 177.5 | 87.0 | 356 | 21,290 | 1.1 × 107 | 2.41 × 10−6 |
| 75GIG | 914.1 | 69.5 | 97.2 | 27.7 | 2810 | 1.1 × 107 | 2.55 × 10−6 |
(Ω) | (F) | (Ω) | (F) | (S/m) | |
|---|---|---|---|---|---|
| GIG | 3.7 × 108 | 4.5 × 10−12 | 9.36 × 10−8 | ||
| BTO | 4.6 × 106 | 7.5 × 10−11 | 4.0 × 106 | 1.5 × 10−9 | 3.93 × 10−6 |
| 25GIG | 4.0 × 108 | 3.5 × 10−10 | 8.36 × 10−8 | ||
| 50GIG | 1.9 × 107 | 4.0 × 10−10 | 1.84 × 10−6 | ||
| 75GIG | 1.4 × 107 | 1.2 × 10−10 | 2.54 × 10−6 |
Disclaimer/Publisher’s Note: The statements, opinions and data contained in all publications are solely those of the individual author(s) and contributor(s) and not of MDPI and/or the editor(s). MDPI and/or the editor(s) disclaim responsibility for any injury to people or property resulting from any ideas, methods, instructions or products referred to in the content. |
© 2024 by the authors. Licensee MDPI, Basel, Switzerland. This article is an open access article distributed under the terms and conditions of the Creative Commons Attribution (CC BY) license (https://creativecommons.org/licenses/by/4.0/).
Share and Cite
Melo, B.M.G.; Baivier, C.; Benzerga, R.; Fasquelle, D.; Teixeira, S.S.; Graça, M.P.F.; Costa, L. BaTiO3—Gd3Fe5O12 Composites: Exploring the Dielectric Properties in a Broad Frequency Range. Crystals 2024, 14, 590. https://doi.org/10.3390/cryst14070590
Melo BMG, Baivier C, Benzerga R, Fasquelle D, Teixeira SS, Graça MPF, Costa L. BaTiO3—Gd3Fe5O12 Composites: Exploring the Dielectric Properties in a Broad Frequency Range. Crystals. 2024; 14(7):590. https://doi.org/10.3390/cryst14070590
Chicago/Turabian StyleMelo, Bruno M. G., Clara Baivier, Ratiba Benzerga, Didier Fasquelle, S. Soreto Teixeira, Manuel P. F. Graça, and Luís Costa. 2024. "BaTiO3—Gd3Fe5O12 Composites: Exploring the Dielectric Properties in a Broad Frequency Range" Crystals 14, no. 7: 590. https://doi.org/10.3390/cryst14070590
APA StyleMelo, B. M. G., Baivier, C., Benzerga, R., Fasquelle, D., Teixeira, S. S., Graça, M. P. F., & Costa, L. (2024). BaTiO3—Gd3Fe5O12 Composites: Exploring the Dielectric Properties in a Broad Frequency Range. Crystals, 14(7), 590. https://doi.org/10.3390/cryst14070590

