Next Article in Journal
Cr3+ Doping Effects on Structural, Optical, and Morphological Characteristics of BaTiO3 Nanoparticles and Their Bioactive Behavior
Previous Article in Journal
Effects of Temperature and Secondary Orientations on the Deformation Behavior of Single-Crystal Superalloys
 
 
Font Type:
Arial Georgia Verdana
Font Size:
Aa Aa Aa
Line Spacing:
Column Width:
Background:
Article

Modulation of Surface Elastic Waves and Surface Acoustic Waves by Acoustic–Elastic Metamaterials

Department of Mechanics, School of Physical Sciences and Engineering, Beijing Jiaotong University, Beijing 100044, China
*
Author to whom correspondence should be addressed.
Crystals 2024, 14(11), 997; https://doi.org/10.3390/cryst14110997
Submission received: 25 October 2024 / Revised: 13 November 2024 / Accepted: 15 November 2024 / Published: 18 November 2024
(This article belongs to the Section Hybrid and Composite Crystalline Materials)

Abstract

Metamaterials enable the modulation of elastic waves or acoustic waves in unprecedented ways and have a wide range of potential applications. This paper achieves the simultaneous manipulation of surface elastic waves (SEWs) and surface acoustic waves (SAWs) using two-dimensional acousto-elastic metamaterials (AEMMs). The proposed AEMMs are composed of periodic hollow cylinders on the surface of a semi-infinite substrate. The band diagrams and the frequency responses of the AEMMs are numerically calculated through the finite element approach. The band diagrams exhibit simultaneous bandgaps for the SEWs and SAWs, which can also be effectively tuned by the modification of AEMM geometry. Furthermore, we construct the AEMM waveguide by the introduction of a line defect and hence demonstrate its ability to guide the SEWs and SAWs simultaneously. We expect that the proposed AEMMs will contribute to the development of multi-functional wave devices, such as filters for dual waves in microelectronics or liquid sensors that detect more than one physical property.

1. Introduction

Metamaterials (MMs) are artificial composites that possess wave properties beyond those of conventional materials [1,2]. One of the remarkable properties of MMs is the presence of complete bandgaps that prohibit the wave transmission along any direction in a specific wavelength range [3,4,5]. Such a complete bandgap exhibited in periodic MMs provides opportunities to control and manipulate classical waves. To date, the MMs have shown great potential in various applications, such as cloaking technology [6,7,8,9,10], acoustic imaging [11,12], piezoelectric energy harvesting [13,14,15,16,17,18], wave filtering [19,20], liquid sensing [21,22,23,24], and waveguiding [25,26].
Traditionally, the MMs are used to manipulate a single type of classical wave (e.g., electromagnetic, elastic, or acoustic waves). However, considering continuously increasing demand for multi-functional devices or structures, several researchers attempted to simultaneously control two or even more physical fields within the same MM. It is known that the wave properties of MMs depend largely on their topological (or geometrical) structures as well as material constituents [27]. Notably, through a reasonable design, two different kinds of physical fields can be modulated in a single MM. Bilal et al. [28] designed a complex three-dimensional (3D) MM that can attenuate both elastic and acoustic waves in all directions over a wide frequency range. Yuan et al. [29] proposed a tunable and multi-functional one-dimensional (1D) metastructure that can manipulate surface elastic waves (SEWs) and surface acoustic waves (SAWs) simultaneously. Xu et al. [30] proposed a sound and vibration absorber (SVA) with a simple structure that achieves the functions of vibration control and sound absorption. Gu et al. [31] designed lightweight MMs and demonstrated their abilities of vibration isolation as well as low-frequency sound absorption. Kheybari et al. [32] reported a tunable auxetic MM (i.e., MM with negative Poisson’s ratio) in which the propagation of elastic vibrations and airborne sounds is prohibited. Elmadih et al. [33] proposed low-profile metamaterials that possess the bandgaps of acoustic and elastic waves. In their study, apart from the numerical predictions, the existence of elastic wave bandgaps was experimentally validated. Li et al. [34] leveraged the absorption mechanism of the Helmholtz resonance to design the structural elements independently of the sound-absorbing elements. In addition to the modulation of elastic and acoustic fields, there have been a number of studies devoted to the simultaneous manipulation of thermal and electric fields [35,36,37], or acoustic and electromagnetic waves [38].
Despite the efforts devoted to the MMs for simultaneous control of elastic and acoustic waves, the two-dimensional (2D) MMs for the dispersion control of the SEWs and SAWs are rarely reported. Notably, compared to the 1D case, the 2D manipulation of surface waves provides more possibilities of designing functional devices. Thus, to control and guide the SEWs and SAWs simultaneously, we propose the design of 2D acousto-elastic metamaterials (AEMMs) in the present work. The proposed AEMMs exhibit the bandgaps for the SEWs as well as the SAWs and, hence, enable precise waveguiding of dual surface waves by the introduction of a line defect. The remainder of this paper is organized as follows. Section 2 describes the 2D AEMM model and the calculation method. The band diagrams and the frequency responses of the SEWs and SAWs propagating in the 2D AEMM are presented in Section 3. Section 4 shows the design of the defected AEMM structure for simultaneous guidance of the SEWS and SAWs. Finally, the conclusions are given in Section 5.

2. Model and Method

We consider a square lattice array of periodic hollow cylinders arranged on a solid substrate, in which either the substrate or the pillars are made of aluminum; see the schematic of the AEMM unit cell in Figure 1a. It is important to note that in this paper we neglect acoustic–structural coupling because of the large impedance mismatch between the solid and air. As a result, the elastic waves and the acoustic waves are solved independently [28,32]. In other words, the elastic waves propagate in the solid material and involve the elastic deformation as well as the particle vibration. On the other hand, unlike the elastic waves, only the air domain is taken into account for the propagation of acoustic waves. That is, the solid materials are rigid for airborne sounds and, hence, their boundaries are regarded as sound hard ones. The air domain of the AEMM unit cell for the calculation of acoustic waves is schematically illustrated in Figure 1b. It is clearly seen that an air layer that supports the sound propagation is also considered. Here, the material parameters for the aluminum are the mass density of 2700 kg / m 3 , Young’s modulus of elasticity of 70 GPa, and Poisson’s ratio of 0.33, respectively. The mass density and sound velocity of the air domain are 1.21 kg / m 3 and 343 m/s, respectively. The lattice parameter for the periodic cylinder array, the inner radius, outer radius, and height of the hollow cylinders are denoted by a, r 1 , r 2 , and h 1 , respectively. The depth of the aluminum substrate and the thickness of the air layer are denoted by h 2 and h 3 , respectively. Note that the structural surface is set to z = 0 . To reduce the effects of wave reflection on the outermost boundaries, perfect matched layers (PMLs) with a thickness of 3a are employed, as illustrated in Figure 1a,b.
For an isotropic and linearly elastic solid material, the governing equation for the harmonic elastic waves is
( λ + μ ) ( · u ( r ) ) + μ 2 u ( r ) = ρ ω 2 u ( r ) ,
where ρ is the mass density of the elastic medium; λ and μ are the Lamé constants; ω is the angular frequency; u = ( u x , u y , u z ) represents the displacement vector that is dependent on the position vector r = ( x , y , z ) ; ∇ and 2 are the gradient and Laplace operators, respectively. For the acoustic counterpart, the governing equation of the pressure waves in the air domain can be expressed as
ω 2 ρ c 2 p ( r ) = · ( 1 ρ p ( r ) ) ,
where p ( r ) represents the acoustic pressure, while c denotes the sound velocity. Considering the periodicity of the 2D AEMM, we apply the Bloch’s boundary condition on the boundaries along the x and y directions of the unit cell:
u ( r + a ) = u ( r ) e i k · a ,
p ( r + a ) = p ( r ) e i k · a ,
where a = ( a , 0 , 0 ) or ( 0 , a , 0 ) is the lattice vector and k = ( k x , k y , 0 ) is the wave vector. To solve the governing equations, the finite element (FE) method was utilized, where the discrete form of the eigenvalue equation for the AEMMs is
( K ω 2 M ) Ψ = 0 ,
where K and M are the stiffness matrix and the mass matrix, respectively; Ψ denotes the components of displacement or pressure fields at each node. Throughout this paper, at each node, the numerical calculations are performed using a commercially available software package, COMSOL Multiphysics (https://cn.comsol.com/). It is worth noting that the degrees of freedom in the numerical calculations are checked to ensure convergence of the results.

3. Band Structure Analysis

Figure 2a,b shows the dispersion relations of the 2D AEMM for the elastic and acoustic waves, respectively, where the used geometrical parameters are r 1 = 0.4a, r 2 = 0.3a, h 1 = 0.5a, h 2 = 10a, and h 3 = 10a. The frequencies of the elastic and acoustic waves are normalized by c t / a and c a / a , respectively, in which c t represents the transverse wave velocity of aluminum, while c a denotes the sound speed of air. It is noteworthy that for both the elastic and acoustic waves, the existence of homogeneous (aluminum and air) half-spaces leads to the 2D AEMM, an open system. As the elastic and acoustic waves can leak into the half-spaces, only the SEWs and SAWs traveling along the structural surfaces of the 2D AEMM are of interest. To identify the surface modes, we define the following parameters α (for elastic waves) and β (for acoustic waves) as
α = 1 a · V A z u x u x * + u y u y * + u z u z * d V V A u x u x * + u y u y * + u z u z * d V ,
β = 1 a · V B z ( p p * ) d V V B ( p p * ) d V ,
where V A and V B are the solid and air parts of the volume integral for the elastic and acoustic waves, respectively. When α or β tends to 0, the waves are concentrated at the surface, i.e., the surface wave modes. In addition, the concept of a sound cone is employed to emphasize the results of the SEWs and SAWs. Correspondingly, the sound lines of the elastic and acoustic waves are determined by the relations ω = c t | k | and ω = c a | k | , respectively. It is well known that for either the elastic or acoustic case, the true surface modes that cannot leak into the substrate (or background) emerge below the sound lines [39]. In the band diagrams [see Figure 2a,b], several frequency bands corresponding to the surface modes generate below the sound lines. Importantly, there are bandgaps for both the SEWs and SAWs, as highlighted by the gray shadows. This implies that the SEWs as well the SAWs in the frequency ranges of these bandgaps cannot propagate along any direction in the structural surface (i.e., the x y plane). In addition, we point out that for the elastic waves, the periodic cylinders can be regarded as additional mass-resonators on the substrate surface for opening bandgaps of the SEWs. On the other hand, for the acoustics, the hollow cylinders behave like the Helmholtz resonators, which lower the acoustic bands below the sound lines.
To provide a clear view of the surface modes, an eigenmode analysis was performed for selected frequency bands at point X in the first Brillouin zone. Figure 2c displays the distributions of elastic displacement fields at points A, B, C, D, E, and F. Obviously, the relatively flat bands (e.g., points A–E) correspond to different resonant modes of the hollow cylinders. Meanwhile, the bands with a relatively high slope (e.g., point F) act as the Rayleigh surface waves. On the other hand, Figure 2d depicts the pressure distribution of acoustic waves at points a, b, and c. One can find that for point a, the sound is concentrated inside the hollow cylinders. On the contrary, for point b, the acoustic waves are mainly distributed within the space between the periodic cylinders. The separation of acoustic modes a and b results in the emergence of the acoustic bandgap below the sound lines. Additionally, there are dispersion curves in a red color beyond the sound lines, i.e., the leaky surface waves. For instance, in the case of point c, the acoustic waves are still distributed along the structural surface. It is noteworthy that the energy of these elastic and acoustic surface modes is highly concentrated at the structural surface and decays rapidly away from the surface, demonstrating the generation of dual surface waves in the proposed 2D AEMM.
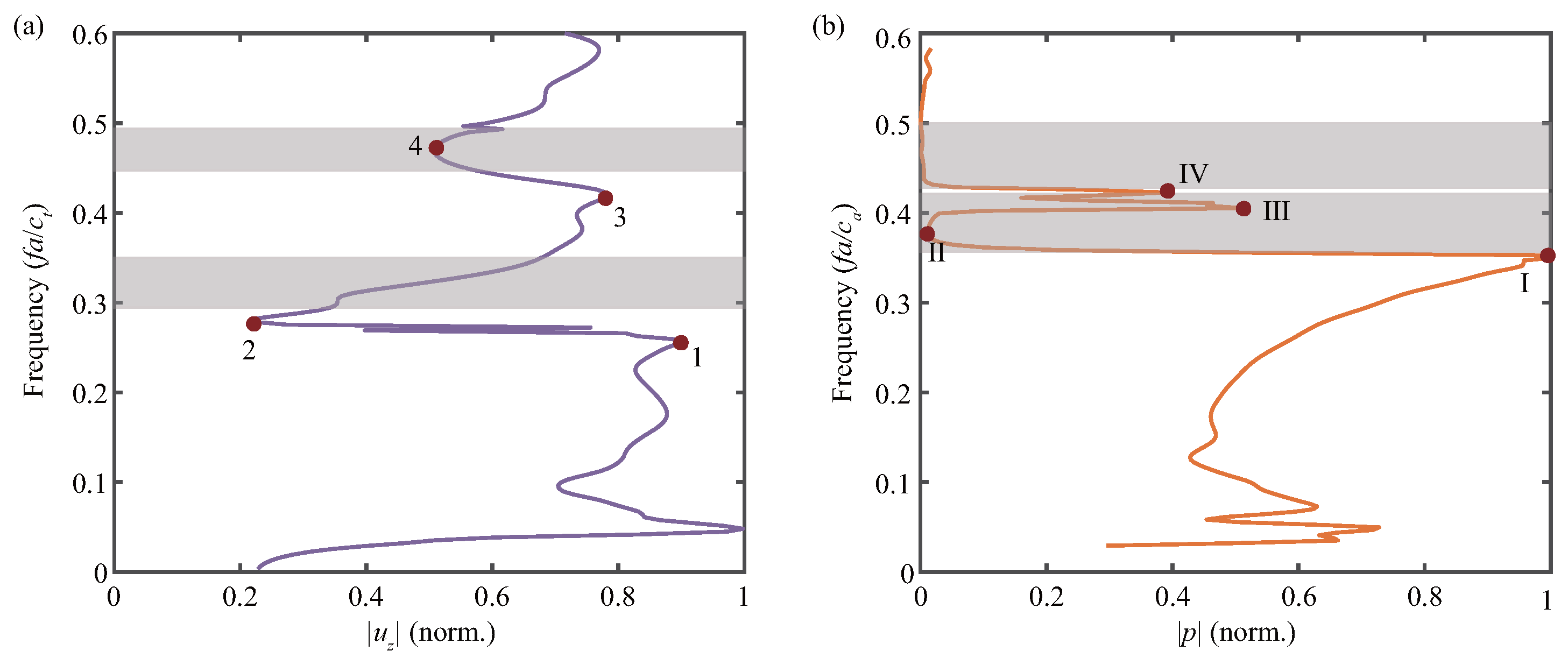
Alongside the band structure, the response spectrum is usually employed to evaluate the wave attenuation within finite-sized MMs. Herein, the frequency responses of the elastic and acoustic waves are calculated by constructing the AEMM structure with nine unit cells along the x direction (i.e., the Γ X direction). The line sources parallel to the y axis are placed at one end of the array of hollow pillars to excite the elastic and acoustic waves. Additionally, two detection points are set at the other end to facilitate the measurement of the elastic and acoustic outputs, respectively. Also, the PMLs are used to reduce the effect of wave reflection. Figure 3a depicts the transmission curve of the elastic waves along the Γ X direction, in which the displacement is normalized by the maximum displacement. Similarly, for the SAW transmission, the normalized pressure as a function of the excitation frequency is displayed in Figure 3b. It is pointed out that the shaded areas are the directional bandgaps predicted by the band diagrams. The transmission curves almost coincide with the dispersion curves. However, the first bandgap of the elastic waves in the transmission curve is slightly different from that in the band diagram, as shown in Figure 3a. This is due to the fact that during the transmission calculation, a line source is used to generate the SEWs in the form of plane waves. Consequently, the modes with y-polarized deformation (e.g., mode D) and the complicated breathing mode (e.g., mode E) cannot be effectively excited. Moreover, a transmission peak (see point III in Figure 3b) appears in the transmission curve within the first acoustic bandgap predicted by the band diagram. This is due to the presence of the leaky surface modes beyond the sound lines (e.g., point c in Figure 2b). In general, the bandgaps of surface waves are determined by the energy bands below the sound lines. Notably, the leaky surface waves above the sound lines can also propagate along the structural surface, although their amplitude decreases with the increase in the propagating distance [39]. Thus, especially in practical applications, it is important to study the attenuation of leaky surface waves in the bandgap frequency ranges.
Figure 4 shows the distributions of displacement and pressure fields in the finite-sized AEMM at frequencies 1, 2, 3, and 4 as well as I, II, III, and IV. When the transmittance is very low, the surface waves cannot pass through the finite-sized AEMM due to the bandgap effect; see the elastic case at the normalized frequencies of 0.2819 and 0.4677, while the acoustic case is at the frequency of 0.3819. In contrast, a high transmittance generally corresponds to the passbands of the SEWs or SAWs. Clearly, SEW modes A and F (see Figure 2c) are excited when the frequencies are 0.2562 and 0.4196, respectively. On the other hand, SAW modes a and b (see Figure 2d) are well guided along the AEMM under the frequencies of 0.3499 and 0.4227, respectively. It is noticed that despite leakage, SAW mode c (see Figure 2d) also gets excited at the frequency 0.4052.
Also, it is important to explore the effect of the AEMM geometry on the bandgaps for the SEWs and SAWs simultaneously. To facilitate the analysis, the elastic and acoustic band structures of the 2D AEMM are calculated for five different cylinder heights. Keeping the other geometrical parameters the same as those used in Figure 2, the heights of the hollow cylinders are set to 0.4a, 0.5a, 0.6a, 0.7a, and 0.8a, respectively. As the cylinder height increases, the central frequency of the SEW bandgap decreases; meanwhile, the bandgap itself becomes narrower, as plotted in Figure 5. And we can see that when the cylinder height increases to 0.7a, the aggregated bands gradually separate. Finally, when the cylinder height reaches 0.8a, a bandgap is formed between the aggregation bands and the upper bandgap disappears. At the same time, as the height of the cylinders increases, the complete SAW bandgap shifts to lower frequencies and becomes wider. We further calculate the transmission curves of the AEMMs for different cylinder heights, where the direction of wave propagation is the Γ X direction too. As shown in Figure 6, the shaded areas are marked as the bandgaps predicted by the band diagram; the SEW and SAW bandgaps move to lower frequencies as the cylinder height increases. It can be seen that the transmission curves are consistent with the results of the band structure analysis, demonstrating that we can effectively tune the bandgaps of SEWs and SAWs by adjusting the AEMM geometry. This provides a basis for the design of various wave functions that require precise control of wave propagation characteristics. Importantly, the bandgaps are prerequisites for creating various functional components, such as cavities or waveguides. These results could provide a guide for the design of 2D AEMMs in different potential applications.

4. Dual Waveguides for SEWs and SAWs

In the previous section, it has been demonstrated that the proposed 2D AEMMs support the band gaps for the SEWs and SAWs simultaneously. Additionally, the band gaps for dual waves can be effectively tuned by changing the AEMM geometry. In this section, based on the bandgaps for dual waves, we will further construct the AEMM structure with a line defect for simultaneous guidance of the SEWs and SAWs, namely, the AEMM waveguide. By appropriate geometrical construction, both the SEWs and SAWs can propagate along a straight line in the AEMM structure. As schematically illustrated in Figure 7, the line defect is introduced by changing the dimension of the central cylinder in the AEMM supercell. Here, the height of the perfect cylinders is set to h 1 = 0.6a, while that of the defected cylinder is h 4 = 0.5a. The other geometrical parameters are r 1 = 0.4a, r 2 = 0.3a, h 2 = 10a, h 3 = 10a, respectively. Moreover, to distinguish the line defect modes from other wave modes, we define the concentration ratios γ (for elastic waves) and δ (for acoustic waves) in the band diagram calculations:
γ = V 1 u x u x * + u y u y * + u z u z * d V V 2 u x u x * + u y u y * + u z u z * d V ,
δ = V 1 p p * d V V 2 p p * d V ,
where V 1 denotes a relatively small domain containing the line defect and V 2 denotes the whole computational domain. If the concentration ratio γ or δ approaches 1, the wave energy is concentrated within the defect domain, implying the emergence of line defect states.
Figure 8a,b depicts the band structures of the AEMM supercell for the SEWs and SAWs, respectively, where the red color indicates the concentration ratios ( α and β ) close to 1. Several bands of line defect states for the SEWs emerge below the sound line, while only one band of defect states for the SAWs appears. To visualize and examine the field distributions of the SEWs and SAWs, several frequencies are selected for the modal analysis. Figure 9a shows the displacement field distributions of different guided modes (i.e., line defect states). It is clearly observed that the displacements are concentrated within the defect region and decay rapidly away from the line defect. In the case of acoustics, the pressure fields of mode a are guided along the intermediate defects and especially distributed inside the hollow cylinders. In contrast, as mode b is not a line defect state, its modal profile shows that the pressure fields are distributed over the entire surface of the structure. As a result, the designed AEMM structure with a line defect supports the line defect states of both the SEWs and SAWs and thus could be used for the guidance of dual waves.
We construct the AEMM waveguide using the line defect and then calculated its frequency responses of the SEWs and SAWs, as schematically shown in Figure 10a,b, respectively. The AEMM model consists of a 7 × 9 array of hollow cylinders, where the yellow markers exhibit the wave propagation path (i.e., the defected cylinders), and the hollow cylinders keep the same dimension as those used in Figure 7. The wave sources are placed near the waveguide entrance for the excitation of the elastic and acoustic waves. And two measuring points are set at the other end of the waveguide to collect the transmitted elastic and acoustic waves. In addition, the PMLs are located at the left and right sides as well as the bottom of the computational domains to minimize the wave reflection.
The transmission curves of the SEWs and SAWs are shown in Figure 11a,b, respectively, where the light green shadows are the waveguide ranges predicted by the band diagrams. Herein, the displacement and pressure in the transmission curves are normalized by the corresponding maximum values, respectively. The transmission curves almost coincide with the band diagram predictions. Nevertheless, we find that the waveguiding frequency range of the SEWs is wider in the band structure than that in the transmission curve. It is possible that when we calculate the frequency responses of the SEWs, the incident plane waves are z-directional polarized and propagate along the x direction. Consequently, some guided modes cannot be excited effectively, such as mode D (see Figure 9a), whose polarization is mainly along the y direction. These things considered, owing to the existence of the leaky SAWs above the sound line, the frequency range of the guided SAWs in the transmission curve is wider than the dispersion prediction. Furthermore, to visualize the wave transmission clearly, we select points 2 and II, which are located within the waveguide, and points 1 and I, which are not within the waveguide, to be studied in Figure 11. Figure 12 shows the elastic displacement distribution field and acoustic field distribution at the excitation frequencies of points 1, 2 and I, II. For the SEWs, when the transmittance is very low (see mode 1 in Figure 12a), the SEWs decay quickly after the excitation and cannot propagate through the AEMM structure due to the bandgap effect. In the frequency ranges of line defect states, the elastic waves (see mode 2 in Figure 12a) as well as the acoustic waves (see mode II Figure 12b) could be transmitted along a straight line on the surface of the AEMM waveguide. At the frequency of passbands for the SAWs, the acoustic waves can propagate over the entire surface of the AEMM structure; see mode I in Figure 12b. The transmission results verify simultaneous guidance of the SEWs and SAWs in the proposed AEMM waveguide.
The increasing demands for multi-functional materials stimulate the development of metamaterials for the control of two or even more physical fields. Before the conclusion remarks, we summarize the basic information of different metamaterials for simultaneous manipulation of the elastic and acoustic waves (see Table 1). As shown in the table, although some AEMMs with different periodic dimensions have been proposed, the research in the field is quite limited. The integration of multi-functions within a single AEMM device is still changeing. Our further work includes the experimental validation of the 2D AEMMs for the control of dual surface waves. Moreover, as the wave steering is also important in various scenarios, topological edge states as well as abnormal wave refraction or reflection in the AEMMs need to be explored.

5. Conclusions

In this study, we investigate the propagation characteristics of the SEWs and SAWs in the 2D AEMMs, which consist of the hollow cylinders periodically arranged on a semi-infinite substrate surface. The band structures as well as the frequency responses for the elastic and acoustic waves were numerically calculated. The proposed 2D AEMMs possess SEW and SAW bandgaps simultaneously. The effective modulation of the bandgaps for the SEWs and SAWs is achieved by modifying the geometry of the hollow cylinders. As the height of the hollow cylinders increases, the bandgap of the SEWs decreases and becomes narrower, while the bandgap of the SAWs shifts to lower frequencies and becomes wider. Based on the bandgap characteristics, the AEMM with a line defect is constructed by changing the height of the hollow cylinders to achieve the guidance of the SEWs and SAWs simultaneously. Furthermore, the SEWs and SAWs propagating within a finite-sized AEMM waveguide is studied. It is verified that the SEWs and SAWs can be well guided along the designed path within the AEMM structure. This provides us an effective method to manipulate and control the propagation of the SEWs and SAWs. It is expected that the AEMMs will contribute to the development of multifunctional wave structures or devices. As the geometry scale of the 2D AEMMs decreases, the operating frequencies increases correspondingly. It is expected that similar 2D AEMMs in the micro-scale can be utilized for the design of filters or delay lines in the field of microelectronics. Moreover, due to the ability of dual-wave manipulation, the AEMMs are suitable for detecting two physical properties of liquid solvents, showing their potential in the sensing application [40].

Author Contributions

C.F.: Data curation, Formal analysis, Investigation, Validation, Visualization, Writing—original draft; T.-X.M.: Conceptualization, Funding acquisition, Supervision, Writing—review and editing. All authors have read and agreed to the published version of the manuscript.

Funding

The work was funded by the Fundamental Research Funds for the Central Universities (Grant No. 2022RC011).

Data Availability Statement

The original contributions presented in this study are included in the article. Further inquiries can be directed to the corresponding author.

Conflicts of Interest

The authors declare no conflicts of interest.

References

  1. Askari, M.; Hutchins, D.A.; Thomas, P.J.; Astolfi, L.; Watson, R.L.; Abdi, M.; Ricci, M.; Laureti, S.; Nie, L.; Freear, S.; et al. Additive manufacturing of metamaterials: A review. Addit. Manuf. 2020, 36, 101562. [Google Scholar] [CrossRef]
  2. Abdulkarim, Y.I.; Mohanty, A.; Acharya, O.P.; Appasani, B.; Khan, M.S.; Mohapatra, S.K.; Muhammadsharif, F.F.; Dong, J. A review on metamaterial absorbers: Microwave to optical. Front. Phys. 2022, 10, 893791. [Google Scholar] [CrossRef]
  3. Wang, Y.Z.; Li, F.-M.; Kishimoto, K.; Wang, Y.-S.; Huang, W.-H. Elastic wave band gaps in magnetoelectroelastic phononic crystals. Wave Motion 2009, 46, 47–56. [Google Scholar] [CrossRef]
  4. Hsu, J.; Lin, F. Measurement of locally resonant band gaps in a surface phononic crystal with inverted conical pillars. Jpn. J. Appl. Phys. 2018, 57, 07LB01. [Google Scholar] [CrossRef]
  5. Wang, Y.; Wang, Y.; Wu, B.; Chen, W.; Wang, Y. Tunable and active phononic crystals and metamaterials. Appl. Mech. Rev. 2020, 72, 040801. [Google Scholar] [CrossRef]
  6. Ning, L.; Wang, Y.-Z.; Wang, Y.-S. Active control cloak of the elastic wave metamaterial. Int. J. Solids Struct. 2020, 202, 126–135. [Google Scholar] [CrossRef]
  7. Zhang, H.K.; Chen, Y.; Liu, X.N.; Hu, G.K. An asymmetric elastic metamaterial model for elastic wave cloaking. J. Mech. Phys. Solids 2020, 135, 103796. [Google Scholar] [CrossRef]
  8. Ghoreshi, M.; Bahrami, A. Acoustic invisibility cloak based on two-dimensional solid-fluid phononic crystals. Solid State Commun. 2022, 342, 114646. [Google Scholar] [CrossRef]
  9. Liu, M.; Zhu, W.D. Design and analysis of nonlinear-transformation-based broadband cloaking for acoustic wave propagation. Wave Motion 2020, 92, 102421. [Google Scholar] [CrossRef]
  10. Hu, J.; Zhou, X.; Hu, G. A numerical method for designing acoustic cloak with arbitrary shapes. Comput. Mater. Sci. 2009, 46, 708–712. [Google Scholar] [CrossRef]
  11. Kim, J.; Hwang, G.; Lee, S.; Kim, S.; Wang, S. Three-dimensional acoustic metamaterial Luneburg lenses for broadband and wide-angle underwater ultrasound imaging. Mech. Syst. Signal Process. 2022, 179, 109374. [Google Scholar] [CrossRef]
  12. Peng, Y.; Shen, Y.; Geng, Z.; Li, P.; Zhu, J.; Zhu, X. Super-resolution acoustic image montage via a biaxial metamaterial lens. Sci. Bull. 2020, 65, 1022–1029. [Google Scholar] [CrossRef] [PubMed]
  13. Qi, S.; Oudich, M.; Li, Y.; Assouar, B. Acoustic energy harvesting based on a planar acoustic metamaterial. Appl. Phys. Lett. 2016, 108, 263501. [Google Scholar] [CrossRef]
  14. Ma, T.-X.; Fan, Q.-S.; Li, Z.-Y.; Zhang, C.; Wang, W.-S. Flexural wave energy harvesting by multi-mode elastic metamaterial cavities. Extrem. Mech. Lett. 2020, 41, 101073. [Google Scholar] [CrossRef]
  15. Lee, G.; Lee, S.-J.; Rho, J.; Kim, M. Acoustic and mechanical metamaterials for energy harvesting and self-powered sensing applications. Mater. Today Energy 2023, 37, 101387. [Google Scholar] [CrossRef]
  16. Tang, X.; Ma, T.; Wang, Y. Topological rainbow trapping and acoustic energy amplification in two-dimensional gradient phononic crystals. Appl. Phys. Lett. 2023, 122, 112201. [Google Scholar] [CrossRef]
  17. Li, B.; Chen, H.; Xia, B.; Yao, L. Acoustic energy harvesting based on topological states of multi-resonant phononic crystals. Appl. Energy 2023, 341, 121142. [Google Scholar] [CrossRef]
  18. Ma, T.; Zheng, Y.; Zhang, C.; Wang, Y. Energy harvesting of Rayleigh surface waves by a phononic crystal Luneburg lens. Int. J. Mech. Sci. 2022, 107435, 227. [Google Scholar] [CrossRef]
  19. Su, R.; Fu, S.; Lu, Z.; Shen, J.; Xu, H.; Mao, H.; Xu, Z.; Song, C.; Zeng, F.; Wang, W.; et al. Near 30% fractional bandwidth surface acoustic wave filters with novel electrode configuration. Prog. Nat. Sci. Mater. Int. 2021, 31, 852–857. [Google Scholar] [CrossRef]
  20. Romero-García, V.; Sánchez-Pérez, J.V.; Garcia-Raffi, L.M. Tunable wideband bandstop acoustic filter based on two-dimensional multiphysical phenomena periodic systems. J. Appl. Phys. 2011, 110, 014904. [Google Scholar] [CrossRef]
  21. Rodríguez-Madrid, J.G.; Iriarte, G.F.; Williams, O.A.; Calle, F. High precision pressure sensors based on SAW devices in the GHz range. Sens. Actuators Phys. 2013, 189, 364–369. [Google Scholar] [CrossRef]
  22. Borrero, G.A.; Bravo, J.P.; Mora, S.F.; Velásquez, S.; Segura-Quijano, F.E. Design and fabrication of SAW pressure, temperature and impedance sensors using novel multiphysics simulation models. Sens. Actuators Phys. 2013, 203, 204–214. [Google Scholar] [CrossRef]
  23. Damasceno, B.S.; Horta, I.M.; de Oliveira, R.S.; Pereira, R.M.; Schatkoski, V.M.; Bacher, G.; Massi, M.; Thim, G.P.; Pereira, A.L.d.J.; da Silva Sobrinho, A.S.; et al. Recent improvements on surface acoustic wave sensors based on graphenic nanomaterials. Mater. Sci. Semicond. Process. 2023, 167, 107811. [Google Scholar] [CrossRef]
  24. Safronov, D.V.; Kukaev, A.S.; Shubin, G.M.; Gorelaya, A.V.; Venediktov, V.Y. UV laser formation of complex topologies for sensitive elements of navigation sensors based on surface acoustic waves. Opt. Laser Technol. 2024, 169, 110000. [Google Scholar] [CrossRef]
  25. Maznev, A.A. Laser-generated surface acoustic waves in a ring-shaped waveguide resonator. Ultrasonics 2009, 49, 1–3. [Google Scholar] [CrossRef]
  26. Cao, W.; Wu, L.; Zhang, C.; Ke, J.; Cheng, Q.; Cui, T.; Jing, Y. Asymmetric transmission of acoustic waves in a waveguide via gradient index metamaterials. Sci. Bull. 2019, 64, 808–813. [Google Scholar] [CrossRef]
  27. Li, C.; Jiang, T.; Liu, S.; Han, Q. Dispersion and band gaps of elastic guided waves in the multi-scale periodic composite plates. Aerosp. Sci. Technol. 2022, 124, 107513. [Google Scholar] [CrossRef]
  28. Bilal, Q.R.; Ballagi, D.; Daraio, C. Architected lattices for simultaneous broadband attenuation of airborne sound and mechanical vibrations in all directions. Phys. Rev. Appl. 2018, 10, 054060. [Google Scholar] [CrossRef]
  29. Yuan, S.; Ma, T.; Chen, A.; Wang, Y. Liquid-assisted tunable metasurface for simultaneous manipulation of surface elastic and acoustic waves. AIP Adv. 2018, 8, 035026. [Google Scholar] [CrossRef]
  30. Xu, S.; Sun, P.; Wang, X.; Zhao, C.; Huang, Z. Metamaterial-based absorbers for simultaneous absorption of air-borne sound and structural vibration. Int. J. Mech. Sci. 2023, 265, 108915. [Google Scholar] [CrossRef]
  31. Gu, T.; Wen, Z.; He, L.; Yu, M.; Li, Y.; Li, Y.; Jin, Y. A lightweight metastructure for simultaneous low-frequency broadband sound absorption and vibration isolation. J. Acoust. Soc. Am. 2023, 153, 96–104. [Google Scholar] [CrossRef] [PubMed]
  32. Kheybari, M.; Daraio, C.; Bilal, O.R. Tunable auxetic metamaterials for simultaneous attenuation of airborne sound and elastic vibrations in all directions. Appl. Phys. Lett. 2022, 121, 081702. [Google Scholar] [CrossRef]
  33. Waiel, E.; Dimitrios, C.; Jian, Z. Metamaterials for simultaneous acoustic and elastic bandgaps. Sci. Rep. 2021, 11, 14635. [Google Scholar]
  34. Li, Z.; Li, X.; Wang, Z.; Zhai, W. Multifunctional sound-absorbing and mechanical metamaterials via a decoupled mechanism design approach. Mater. Horiz. 2023, 10, 75–87. [Google Scholar] [CrossRef] [PubMed]
  35. Moccia, M.; Castaldi, G.; Savo, S.; Sato, Y.; Galdi, V. Independent manipulation of heat and electrical current via bifunctional metamaterials. Phys. Rev. X 2014, 4, 021025. [Google Scholar] [CrossRef]
  36. Lan, C.; Bi, K.; Fu, X.; Li, B.; Zhou, J. Bifunctional metamaterials with simultaneous and independent manipulation of thermal and electric fields. Opt. Express 2016, 24, 23072–23080. [Google Scholar] [CrossRef]
  37. Zhuang, P.; Huang, J. Multiple control of thermoelectric dual-function metamaterials. Int. J. Mech. Syst. Dyn. 2023, 3, 127–135. [Google Scholar] [CrossRef]
  38. Yang, J.; Qin, T.; Zhang, F.; Chen, X.; Jiang, X.; Wan, W. Multiphysical sensing of light, sound and microwave in a microcavity Brillouin laser. Nanophotonics 2020, 9, 2915–2925. [Google Scholar] [CrossRef]
  39. Ma, T.; Cao, L. Complex dispersion analysis of true and pseudo surface waves propagating in two-dimensional viscoelastic seismic metamaterials. AIP Adv. 2024, 14, 015219. [Google Scholar] [CrossRef]
  40. Abdulkarim, Y.I.; Awl, H.N.; Muhammadsharif, F.F.; Saeed, S.R.; Sidiq, K.R.; Khasraw, S.S.; Dong, J.; Pandey, B.K.; Pandey, D. Metamaterial-based sensors loaded corona-shaped resonator for COVID-19 detection by using microwave techniques. Plasmonics 2024, 19, 595–610. [Google Scholar] [CrossRef]
Figure 1. Schemes of the AEMM unit cells for the elastic (a) and acoustic (b) waves. (c) Cross-section view of the AEMM unit cell. (d) The first Brillouin zone of the square lattice.
Figure 1. Schemes of the AEMM unit cells for the elastic (a) and acoustic (b) waves. (c) Cross-section view of the AEMM unit cell. (d) The first Brillouin zone of the square lattice.
Crystals 14 00997 g001
Figure 2. Band diagrams of the AEMM unit cell for the elastic (a) and acoustic (b) waves. (c) Displacement distributions and deformations of the SEW modes marked in (a). (d) Pressure distributions of the SAW modes marked in (b).
Figure 2. Band diagrams of the AEMM unit cell for the elastic (a) and acoustic (b) waves. (c) Displacement distributions and deformations of the SEW modes marked in (a). (d) Pressure distributions of the SAW modes marked in (b).
Crystals 14 00997 g002
Figure 3. Transmission spectra of the SEWs (a) and SAWs (b) in the finite-sized AEMM along the Γ X direction.
Figure 3. Transmission spectra of the SEWs (a) and SAWs (b) in the finite-sized AEMM along the Γ X direction.
Crystals 14 00997 g003
Figure 4. Distributions of the displacement (a) and pressure (b) fields of the finite-sized AEMM at different excitation frequencies.
Figure 4. Distributions of the displacement (a) and pressure (b) fields of the finite-sized AEMM at different excitation frequencies.
Crystals 14 00997 g004
Figure 5. Band diagrams of the AEMM unit cell with different cylinder heights, where the upper and lower panels are the results of the elastic and acoustic waves, respectively.
Figure 5. Band diagrams of the AEMM unit cell with different cylinder heights, where the upper and lower panels are the results of the elastic and acoustic waves, respectively.
Crystals 14 00997 g005
Figure 6. Transmission curves of the SEWs (upper panel) and SAWs (lower panel) along the Γ X direction for different cylinder heights.
Figure 6. Transmission curves of the SEWs (upper panel) and SAWs (lower panel) along the Γ X direction for different cylinder heights.
Crystals 14 00997 g006
Figure 7. Schemes of the AEMM supercells with a line defect for the elastic (a) and acoustic (b) waves.
Figure 7. Schemes of the AEMM supercells with a line defect for the elastic (a) and acoustic (b) waves.
Crystals 14 00997 g007
Figure 8. Band diagrams of the AEMM supercell for the elastic (a) and acoustic (b) waves, where the direction of wave propagation is the Γ X direction.
Figure 8. Band diagrams of the AEMM supercell for the elastic (a) and acoustic (b) waves, where the direction of wave propagation is the Γ X direction.
Crystals 14 00997 g008
Figure 9. (a) Displacement distributions and deformations of the SEW modes marked in Figure 8a. (b) Pressure distributions of the SAW modes marked in Figure 8b.
Figure 9. (a) Displacement distributions and deformations of the SEW modes marked in Figure 8a. (b) Pressure distributions of the SAW modes marked in Figure 8b.
Crystals 14 00997 g009
Figure 10. Schemes for calculating the frequency responses of the AEMM waveguide: (a) solid domain and (b) air domain.
Figure 10. Schemes for calculating the frequency responses of the AEMM waveguide: (a) solid domain and (b) air domain.
Crystals 14 00997 g010
Figure 11. (a) Transmission curves of the SEWs in the AEMM waveguide, where the normalized frequencies corresponding to marker points 1, 2 are 0.257, 0.293. (b) Transmission curves of the SAWs in the AEMM waveguide, where the normalized frequencies corresponding to marker points I, II are 0.30, 0.36.
Figure 11. (a) Transmission curves of the SEWs in the AEMM waveguide, where the normalized frequencies corresponding to marker points 1, 2 are 0.257, 0.293. (b) Transmission curves of the SAWs in the AEMM waveguide, where the normalized frequencies corresponding to marker points I, II are 0.30, 0.36.
Crystals 14 00997 g011
Figure 12. Distributions of the displacement (a) and pressure (b) fields of the AEMM waveguide at different excitation frequencies.
Figure 12. Distributions of the displacement (a) and pressure (b) fields of the AEMM waveguide at different excitation frequencies.
Crystals 14 00997 g012
Table 1. Summary of various MMs for simultaneous control of elastic and acoustic waves.
Table 1. Summary of various MMs for simultaneous control of elastic and acoustic waves.
ReferenceDimension of PeriodicityType of Elastic WavesType of Acoustic Waves
Bilal et al. [28]3DBulk waveBulk wave
Yuan et al. [29]1DSurface waveSurface wave
Xu et al. [30]2DFlexural waveBulk wave
Gu et al. [31]2DFlexural waveBulk wave
Kheybari et al. [32]3DBulk waveBulk wave
Elmadih et al. [33]1DBulk waveBulk wave
This work2DSurface waveSurface wave
Disclaimer/Publisher’s Note: The statements, opinions and data contained in all publications are solely those of the individual author(s) and contributor(s) and not of MDPI and/or the editor(s). MDPI and/or the editor(s) disclaim responsibility for any injury to people or property resulting from any ideas, methods, instructions or products referred to in the content.

Share and Cite

MDPI and ACS Style

Fu, C.; Ma, T.-X. Modulation of Surface Elastic Waves and Surface Acoustic Waves by Acoustic–Elastic Metamaterials. Crystals 2024, 14, 997. https://doi.org/10.3390/cryst14110997

AMA Style

Fu C, Ma T-X. Modulation of Surface Elastic Waves and Surface Acoustic Waves by Acoustic–Elastic Metamaterials. Crystals. 2024; 14(11):997. https://doi.org/10.3390/cryst14110997

Chicago/Turabian Style

Fu, Chang, and Tian-Xue Ma. 2024. "Modulation of Surface Elastic Waves and Surface Acoustic Waves by Acoustic–Elastic Metamaterials" Crystals 14, no. 11: 997. https://doi.org/10.3390/cryst14110997

APA Style

Fu, C., & Ma, T.-X. (2024). Modulation of Surface Elastic Waves and Surface Acoustic Waves by Acoustic–Elastic Metamaterials. Crystals, 14(11), 997. https://doi.org/10.3390/cryst14110997

Note that from the first issue of 2016, this journal uses article numbers instead of page numbers. See further details here.

Article Metrics

Back to TopTop