Thermal Regulation of the Acoustic Bandgap in Pentamode Metamaterials
Abstract
1. Introduction
2. Band Structure of a PM in the Thermal Environment
3. Analysis of Factors Affecting Bandgap Generation
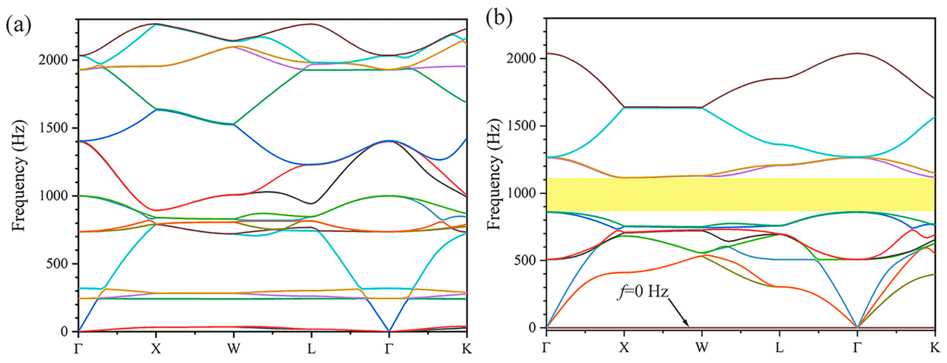
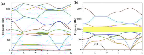
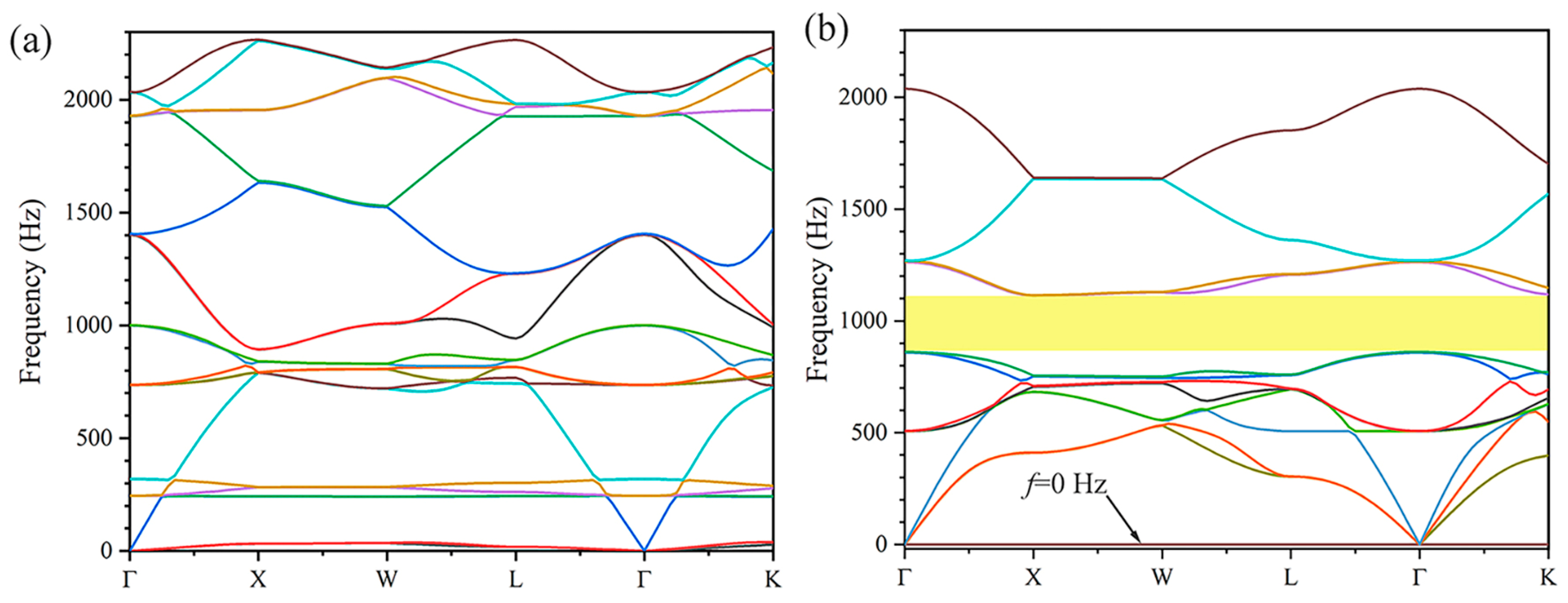
4. Bandgap Manipulation by the Thermal Environment
4.1. Distribution of Thermal Stresses in the PM
4.2. Effect of Thermal Stress on the Band Structure
4.3. The Bandgap Manipulation by the Thermal Environment
5. Conclusions
Author Contributions
Funding
Data Availability Statement
Conflicts of Interest
References
- Sigalas, M.M.; Economou, E.N. Elastic and acoustic wave band structure. J. Sound Vib. 1992, 158, 377–382. [Google Scholar] [CrossRef]
- Kushwaha, M.S.; Halevi, P.; Dobrzynski, L.; Djafari-Rouhani, B. Acoustic band structure of periodic elastic composites. Phys. Rev. Lett. 1993, 71, 2022–2025. [Google Scholar] [CrossRef] [PubMed]
- Wang, T.; Chen, M.; Dong, W.; Guo, H. Low-frequency sound and vibration reduction of a metamaterial plate submerged in water. Eur. J. Mech. A-Solids 2022, 96, 104764. [Google Scholar] [CrossRef]
- Chen, D.; Zi, H.; Li, Y.; Li, X. Low frequency ship vibration isolation using the band gap concept of sandwich plate-type elastic metastructures. Ocean Eng. 2021, 235, 109460. [Google Scholar] [CrossRef]
- Mendez, C.G.; Podesta, J.M.; Lloberas-Valls, O.; Toro, S.; Huespe, A.E.; Oliver, J. Computational material design for acoustic cloaking. Int. J. Numer. Methods Eng. 2017, 112, 1353–1380. [Google Scholar] [CrossRef]
- Matsushima, K.; Noguchi, Y.; Yamada, T. Omnidirectional acoustic cloaking against airborne sound realized by a locally resonant sonic material. Sci. Rep. 2022, 12, 16383. [Google Scholar] [CrossRef]
- Bok, E.; Park, J.J.; Choi, H.; Han, C.K.; Wright, O.B.; Lee, S.H. Metasurface for Water-to-Air Sound Transmission. Phys. Rev. Lett. 2018, 120, 044302. [Google Scholar] [CrossRef]
- Milton, G.W.; Cherkaev, A.V. Which Elasticity Tensors are Realizable? J. Eng. Mater. Technol. 1995, 117, 483–493. [Google Scholar] [CrossRef]
- Norris, A.N. Acoustic cloaking theory. Proc. R. Soc. A-Math. Phys. Eng. Sci. 2008, 464, 2411–2434. [Google Scholar] [CrossRef]
- Chen, Y.; Liu, X.; Hu, G. Latticed pentamode acoustic cloak. Sci. Rep. 2015, 7, 5. [Google Scholar] [CrossRef]
- Caballero, D.; Sanchez-Dehesa, J.; Rubio, C.; Mártinez-Sala, R.; Sánchez-Pérez, J.V.; Meseguer, F.; Llinares, J. Large two-dimensional sonic band gaps. Phys. Rev. E 2000, 60, R6316. [Google Scholar] [CrossRef] [PubMed]
- Cai, C.X.; Wang, Z.H.; Li, Q.W.; Xu, Z.; Tian, X.G. Pentamode metamaterials with asymmetric double-cone elements. J. Phys. D-Appl. Phys. 2015, 48, 175103. [Google Scholar] [CrossRef]
- Wang, Z.; Chu, Y.; Cai, C.; Liu, G.; Wang, M.R. Composite pentamode metamaterials with low frequency locally resonant characteristics. J. Appl. Phys. 2017, 122, 025114. [Google Scholar] [CrossRef]
- Zou, Z.; Xu, F.; Pan, Y.; Fang, T. Bandgap properties and multi-objective optimization of double-cone pentamode metamaterials with curved side. Phys. Scr. 2023, 98, 035833. [Google Scholar] [CrossRef]
- Chu, Y.Y.; Li, Y.C.; Cai, C.X.; Liu, G.S.; Wang, Z.H.; Xu, Z. Ultrawide bandgap pentamode metamaterials with an asymmetric double-cone outside profile. J. Phys. D-Appl. Phys. 2018, 51, 125103. [Google Scholar] [CrossRef]
- An, Y.; Zou, H.; Zhao, A. Broadband Waterborne Multiphase Pentamode Metastructure with Simultaneous Wavefront Manipulation and Energy Absorption Capabilities. Materials 2023, 16, 5051. [Google Scholar] [CrossRef]
- Casadei, F.; Delpero, T.; Bergamini, A.; Ermanni, P.; Ruzzene, M. Piezoelectric resonator arrays for tunable acoustic waveguides and metamaterials. J. Appl. Phys. 2012, 112, 064902. [Google Scholar] [CrossRef]
- Bacigalupo, A.; De Bellis, M.L.; Misseroni, D. Design of tunable acoustic metamaterials with periodic piezoelectric microstructure. Extrem. Mech. Lett. 2020, 40, 100977. [Google Scholar] [CrossRef]
- Huang, Z.-G. Silicon-based filters, resonators and acoustic channels with phononic crystal structures. J. Phys. D-Appl. Phys. 2011, 44, 245406. [Google Scholar] [CrossRef]
- Kim, E.; Martinez, A.J.; Phenisee, S.E.; Kevrekidis, P.G.; Porter, M.A.; Yang, J. Direct measurement of superdiffusive energy transport in disordered granular chains. Nat. Commun. 2018, 9, 640. [Google Scholar] [CrossRef]
- Liu, Y.; Sun, X.-Z.; Jiang, W.-Z.; Gu, Y. Tuning of Bandgap Structures in Three-Dimensional Kagome-Sphere Lattice. J. Vib. Acoust. 2014, 136, 021016. [Google Scholar] [CrossRef]
- Li, Z.; Li, Y.; Kumar, S.; Lee, H.P. Thermal tuning of negative effective mass density in a two-dimensional acoustic metamaterial with hexagonal lattice. J. Appl. Phys. 2019, 126, 155102. [Google Scholar] [CrossRef]
- Khanikaev, A.B.; Fleury, R.; Mousavi, S.H.; Alu, A. Topologically robust sound propagation in an angular-momentum-biased graphene-like resonator lattice. Nat. Commun. 2015, 6, 8260. [Google Scholar] [CrossRef] [PubMed]
- Sun, Y.; Xiao, Y.; Vignali, V. Acoustic Radiation Performance of a Composite Laminated Plate Subjected to Local Temperature. Adv. Civ. Eng. 2022, 2022, 9912765. [Google Scholar] [CrossRef]
- Zhao, Z.; Cui, X.B.; Yin, Y.F.; Li, Y.H.; Li, M. Thermal tuning of vibration band gaps in homogenous metamaterial plate. Int. J. Mech. Sci. 2022, 225, 107374. [Google Scholar] [CrossRef]
- Martin, A.; Kadic, M.; Schittny, R.; Bückmann, T.; Wegener, M. Phonon band structures of three-dimensional pentamode metamaterials. Phys. Rev. E 2012, 86, 4172–4181. [Google Scholar] [CrossRef]
- Yue, H.B.; Wang, W.; Xu, W.K.; Yuan, S.S. Band Gap Characteristics of Planar Stretch-Dominated Thermal Expansion Lattice Metamaterial. Acta Phys. Pol. A 2021, 140, 438–444. [Google Scholar] [CrossRef]
- Lv, S.C.; Xu, W.K.; Bai, L.; Qi, W.C.; Wang, W. Thermal tuning of band gap properties in planar stretch-dominated lattices with tailorable coefficient of thermal expansion. Appl. Phys. A-Mater. Sci. Process 2021, 127, 425. [Google Scholar] [CrossRef]
- Han, J.; Yu, K.; Li, X.; Zhao, R. Modal density and mode counts of sandwich panels in thermal environments. Compos. Struct. 2016, 153, 69–80. [Google Scholar] [CrossRef]
- Frazier, M.J.; Hussein, M.I. Generalized Bloch’s theorem for viscous metamaterials: Dispersion and effective properties based on frequencies and wavenumbers that are simultaneously complex. Comptes Rendus Phys. 2016, 17, 565–577. [Google Scholar] [CrossRef]
- Wu, J.H.; Liu, A.Q.; Ang, L.K.; Cheng, T.H.; Xu, K.; Wu, J.; Lin, J.T. Complex photonic band diagrams for finite-size photonic crystals with arbitrary defects. J. Appl. Phys. 2007, 101, 053101. [Google Scholar] [CrossRef]







| Material | Yong’s Modulus, E (Pa) | Mass Density, ρ (kg/m3) | Poissom’s Ration, ν | Thermal Expansion Coefficient, α (1/K) |
|---|---|---|---|---|
| Aluminum | E1 | 2730 | 0.352 | α1 |
| Silicon rubber | 1.37 × 105 | 1300 | 0.464 | 5.9 × 10−4 |
| Material | P−1 | P0 | P1 | P2 | P3 |
|---|---|---|---|---|---|
| E (Gpa) | 0 | 200 | −4.5853 × 10−3 | 1.0498 × 10−5 | −8.3375 × 10−9 |
| A (1/K) | 0 | 15.416 × 10−6 | 1.6175 × 10−3 | −4.5283 × 10−7 | 0 |
Disclaimer/Publisher’s Note: The statements, opinions and data contained in all publications are solely those of the individual author(s) and contributor(s) and not of MDPI and/or the editor(s). MDPI and/or the editor(s) disclaim responsibility for any injury to people or property resulting from any ideas, methods, instructions or products referred to in the content. |
© 2024 by the authors. Licensee MDPI, Basel, Switzerland. This article is an open access article distributed under the terms and conditions of the Creative Commons Attribution (CC BY) license (https://creativecommons.org/licenses/by/4.0/).
Share and Cite
Cheng, J.; Liang, S.; Chu, Y. Thermal Regulation of the Acoustic Bandgap in Pentamode Metamaterials. Crystals 2024, 14, 992. https://doi.org/10.3390/cryst14110992
Cheng J, Liang S, Chu Y. Thermal Regulation of the Acoustic Bandgap in Pentamode Metamaterials. Crystals. 2024; 14(11):992. https://doi.org/10.3390/cryst14110992
Chicago/Turabian StyleCheng, Jing, Shujun Liang, and Yangyang Chu. 2024. "Thermal Regulation of the Acoustic Bandgap in Pentamode Metamaterials" Crystals 14, no. 11: 992. https://doi.org/10.3390/cryst14110992
APA StyleCheng, J., Liang, S., & Chu, Y. (2024). Thermal Regulation of the Acoustic Bandgap in Pentamode Metamaterials. Crystals, 14(11), 992. https://doi.org/10.3390/cryst14110992

