In-Depth Characterization of Natural Clays from Southeast Albania
Abstract
1. Introduction
2. Materials and Methods
2.1. Geological Occurrence and Pretreatment of Clays Samples
2.2. X-Ray Fluorescence Analysis
2.3. Optical Microscopy and Energy-Dispersive System Spectroscopy
2.4. Preparation of Clay Suspensions and Clay-Modified SPEs
2.5. Electrochemical Characterization
2.6. Powder X-Ray Diffraction
2.7. Infrared Spectroscopy
2.8. Thermogravimetric (TG), Differential TG, and Scanning Calorimetry Analysis
2.9. Adsorption Isotherm of Gaseous N2 and Pore Size Distribution
3. Results and Discussion
3.1. Chemical and Morphological Studies
3.2. Electrochemical Characterization
3.3. X-Ray Diffraction Characterization
3.4. FTIR Investigation
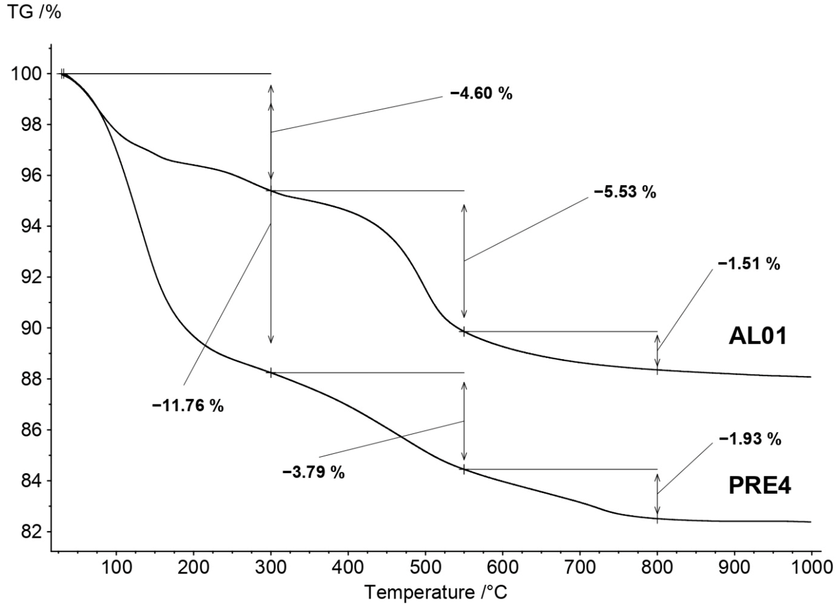
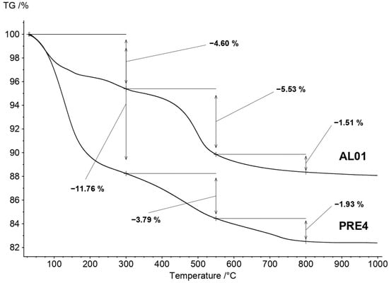
3.5. Thermogravimetric and Differential Scanning Calorimetry Analysis
3.6. Adsorption Isotherms of Gaseous N2, Pore Size Distribution
4. Conclusions
Author Contributions
Funding
Data Availability Statement
Acknowledgments
Conflicts of Interest
References
- Barcelos, I.D.; de Oliveira, R.; Schleder, G.R.; Matos, M.J.S.; Longuinhos, R.; Ribeiro-Soares, J.; Barboza, A.P.M.; Prado, M.C.; Pinto, E.S.; Gobato, Y.G.; et al. Phyllosilicates as earth-abundant layered materials for electronics and optoelectronics: Prospects and challenges in their ultrathin limit. J. Appl. Phys. 2023, 134, 090902. [Google Scholar] [CrossRef]
- Kalendova, A.; Kupkova, J.; Urbaskova, M.; Merinska, D. Applications of Clays in Nanocomposites and Ceramics. Minerals 2024, 14, 93. [Google Scholar] [CrossRef]
- Kumari, N.; Chandra, M. Basics of Clay Minerals and Their Characteristic Properties. In Clay and Clay Minerals; IntechOpen: London, UK, 2021. [Google Scholar] [CrossRef]
- Lan, Y.; Liu, Y.; Li, J.; Chen, D.; He, G.; Parkin, I.P. Natural Clay-Based Materials for Energy Storage and Conversion Applications. Adv. Sci. 2021, 8, e2004036. [Google Scholar] [CrossRef] [PubMed]
- Lazaratou, C.V.; Vayenas, D.V.; Papoulis, D. The role of clays, clay minerals and clay-based materials for nitrate removal from water systems: A review. Appl. Clay Sci. 2020, 185, 105377. [Google Scholar] [CrossRef]
- La Noce, M.; Lo Faro, A.; Sciuto, G. Clay-Based Products Sustainable Development: Some Applications. Sustainability 2021, 13, 1364. [Google Scholar] [CrossRef]
- Skowron, E.; Spilarewicz-Stanek, K.; Guziejewski, D.; Koszelska, K.; Metelka, R.; Smarzewska, S. Analytical Performance of Clay Paste Electrode and Graphene Paste Electrode-Comparative Study. Molecules 2022, 27, 2037. [Google Scholar] [CrossRef]
- Wang, L.; Cheng, J.; Jin, Z.; Sun, Q.; Zou, R.; Meng, Q.; Liu, K.; Su, Y.; Zhang, Q. High-pressure hydrogen adsorption in clay minerals: Insights on natural hydrogen exploration. Fuel 2023, 344, 127919. [Google Scholar] [CrossRef]
- Xu, Y.; Liu, S.; Zhang, J.; Chai, S.; Li, J.; Xue, C.; Wu, S. Fabrication of Micro-Cantilever Sensor Based on Clay Minerals for Humidity Detection. Sensors 2023, 23, 6962. [Google Scholar] [CrossRef]
- Guth, U.; Brosda, B.; Schomburg, J. Applications of clay minerals in sensor techniques. Appl. Clay Sci. 1996, 11, 229–236. [Google Scholar] [CrossRef]
- Mousty, C. Sensors and biosensors based on clay-modified electrodes—New trends. Appl. Clay Sci. 2004, 27, 159–177. [Google Scholar] [CrossRef]
- Mousty, C. Biosensing applications of clay-modified electrodes: A review. Anal. Bioanal. Chem. 2010, 396, 315–325. [Google Scholar] [CrossRef] [PubMed]
- Khan, S.; Ajmal, S.; Hussain, T.; Ur Rahman, M. Clay-based materials for enhanced water treatment: Adsorption mechanisms, challenges, and future directions. J. Umm. Al-Qura Univ. Appll. Sci. 2023, 9. [Google Scholar] [CrossRef]
- Smutok, O.; Katz, E. Biosensors: Electrochemical Devices-General Concepts and Performance. Biosensors 2022, 13, 44. [Google Scholar] [CrossRef] [PubMed]
- Fomina, M.; Skorochod, I. Microbial Interaction with Clay Minerals and Its Environmental and Biotechnological Implications. Minerals 2020, 10, 861. [Google Scholar] [CrossRef]
- Mylarappa, M.; Raghavendra, N.; Bhumika, N.R.; Chaithra, C.H.; Nagalaxmi, B.N.; Shravana Kumara, K.N. Study of ZnO nanoparticle-supported clay minerals for electrochemical sensors, photocatalysis, and antioxidant applications. ChemPhysMater 2024, 3, 83–93. [Google Scholar] [CrossRef]
- Jozja, N.; Baillif, P.; Touray, J.C.; Pons, C.H.; Muller, F.; Burgevin, C. Impacts «multi-échelle» d’un échange (Mg,Ca)-Pb et ses conséquences sur l’augmentation de la perméabilité d’une bentonite: Multiscale impacts of a (Mg,Ca)-Pb exchange on the permeability increase of a bentonite. Comptes Rendus Geosci. 2003, 33, 729–736. [Google Scholar] [CrossRef]
- Pashko, P.; Aliaj, S. Stratigraphy and Tectonic Evolution of Late Miocene-Quaternary Basins in Eastern Albania: A Review. Bull. Geol. Soc. Greece 2020, 56, 317–351. [Google Scholar] [CrossRef]
- Mazzaracchio, V.; Tomei, M.R.; Cacciotti, I.; Chiodoni, A.; Novara, C.; Castellino, M.; Arduini, F. Inside the different types of carbon black as nanomodifiers for screen-printed electrodes. Electrochim. Acta 2019, 317, 673–683. [Google Scholar] [CrossRef]
- Bastús, N.G.; Comenge, J.; Puntes, V. Kinetically controlled seeded growth synthesis of citrate-stabilized gold nanoparticles of up to 200 nm: Size focusing versus Ostwald ripening. Langmuir 2011, 27, 11098–11105. [Google Scholar] [CrossRef]
- Altomare, A.; Corriero, N.; Cuocci, C.; Falcicchio, A.; Moliterni, A.; Rizzi, R. QUALX2.0: A Qualitative Phase Analysis Software Using the Freely Available Database POW_COD. J. Appl. Crystallogr. 2015, 48, 598–603. [Google Scholar] [CrossRef]
- Aparicio, P.; Galan, E. Mineralogical interference on kaolinite crystallinity index measurements. Clays Clay Miner. 1999, 47, 12–27. [Google Scholar] [CrossRef]
- Gridi-Bennadji, F.; Beneu, B.; Laval, J.P.; Blanchart, P. Structural transformations of Muscovite at high temperature by X-ray and neutron diffraction. Appl. Clay Sci. 2008, 38, 259–267. [Google Scholar] [CrossRef]
- Fil, B.A.; Özmetin, C.; Korkmaz, M. Characterization and Electrokinetic Properties of Montmorillonite. Bulg. Chem. Commun. 2014, 46, 258–263. [Google Scholar]
- Petit, S.; Righi, D.; Madejová, J. Infrared spectroscopy of NH4+-bearing and saturated clay minerals: A review of the study of layer charge. Appl. Clay Sci. 2006, 34, 22–30. [Google Scholar] [CrossRef]
- Du Plessis, P.I.; Gazley, M.F.; Tay, S.L.; Trunfull, E.F.; Knorsch, M.; Branch, T.; Fourie, L.F. Quantification of Kaolinite and Halloysite Using Machine Learning from FTIR, XRF, and Brightness Data. Minerals 2021, 11, 1350. [Google Scholar] [CrossRef]
- Vaculíková, L.; Plevová, E. Identification Of Clay Minerals And Micas In Sedimentary Rocks. Acta Geodyn. Geomater. 2005, 2, 167–175. [Google Scholar]
- Saikia, B.; Parthasarathy, G. Fourier Transform Infrared Spectroscopic Characterization of Kaolinite from Assam and Meghalaya, Northeastern India. J. Mod. Phys. 2010, 1, 206–210. [Google Scholar] [CrossRef]
- Ulian, G.; Moro, D.; Valdrè, G. Infrared and Raman spectroscopic features of clinochlore Mg6Si4O10(OH)8: A density functional theory contribution. Appl. Clay Sci. 2020, 197, 105779. [Google Scholar] [CrossRef]
- Patel, H.A.; Somani, R.S.; Bajaj, H.C.; Jasra, V.J. Nanoclays for polymer nanocomposites, paints, inks, greases and cosmetics formulations, drug delivery vehicle and waste water treatment. Bull. Mater. Sci. 2006, 29, 133–145. [Google Scholar] [CrossRef]
- Madejová, J. FTIR techniques in clay mineral studies. Vib. Spectrosc. 2003, 31, 1–10. [Google Scholar] [CrossRef]
- Tironi, A.; Trezza, M.A.; Irassar, E.F.; Scian, A.N. Thermal Treatment of Kaolin: Effect on the Pozzolanic Activity. Procedia Mater. Sci. 2012, 1, 343–350. [Google Scholar] [CrossRef]
- Eren, E.; Afsin, B. An investigation of Cu(II) adsorption by raw and acid-activated bentonite: A combined potentiometric, thermodynamic, XRD, IR, DTA study. J. Hazard. Mater. 2008, 151, 682–691. [Google Scholar] [CrossRef] [PubMed]
- Danková, Z.; Mockovčiaková, A.; Dolinská, S. Influence of ultrasound irradi-ation on cadmium cations adsorption by montmorillonite. Desalin. Water Treat. 2013, 52, 5462–5469. [Google Scholar] [CrossRef]
- Qin, Y.; Peng, T.; Sun, H.; Zeng, L.; Zhou, C. Effect of montmorillonite layer charge on the thermal stability of bentonite. Clays Clay Miner. 2021, 69, 328–338. [Google Scholar] [CrossRef]
- Alfonso, P.; Penedo, L.A.; García-Valles, M.; Martinez, S.; Martinez, A.; Trujillo, J.E. Thermal behaviour of kaolinitic raw materials from San José (Oruro, Bolivia). J. Therm. Anal. Calorim. 2022, 147, 5413–5421. [Google Scholar] [CrossRef]
- Smykatz-Kloss, W. Application of differential thermal analysis in mineralogy. J. Therm. Anal. 1982, 23, 15–44. [Google Scholar] [CrossRef]











| ALO1 | PRE4 | SD (%) | |
|---|---|---|---|
| SiO2 | 47.888 | 50.512 | 0.280 |
| Al2O3 | 22.244 | 9.211 | 0.100 |
| Fe2O3 | 10.910 | 13.285 | 0.034 |
| CaO | 0.710 | 0.634 | 0.310 |
| MgO | 0.847 | 4.274 | 0.160 |
| K2O | 1.616 | 0.524 | 0.089 |
| Na2O | 0.228 | 0.372 | 0.036 |
| TiO2 | 1.192 | 0.539 | 0.022 |
| P2O5 | 0.171 | 0.039 | 0.003 |
| MnO | 0.216 | 0.076 | 0.003 |
| Cr2O3 | 0.049 | 0.526 | 0.002 |
| LOI * | 13.1 | 19.7 | - |
| Total | 99.2 | 99.7 | - |
| Background Mass | Clast Size | Mineral Composition | |
|---|---|---|---|
| ALO1 | 2.5 µm | 35 µm | Quartz, kaolinite, muscovite; labradorite, K-feldspar; iron hydroxide |
| PRE4 | - | 17 µm | Quartz, montmorillonite–vermiculite; labradorite, albite, sanidine, chamosite–clinochlore |
| ALO1 | PRE4 | |||
|---|---|---|---|---|
| Kaolinite | Muscovite | Montmorillonite | Chamosite/Clinochlore | |
| MgO | - | 2.43 (20) | 4.10 (25) | 10.52 (15) |
| Al2O3 | 39.32 (20) | 32.41 (22) | 10.72 (55) | 10.97 (54) |
| SiO2 | 45.32 (5) | 46.28 (51) | 46.62 (95) | 30.25 (1.2) |
| K2O | 0.10 (1) | 8.63 (15) | 0.45 (15) | 0.31 (15) |
| CaO | 0.11 (5) | - | 0.57 (12) | 1.18 (10) |
| TiO2 | - | 0.07 (1) | 0.23 (25) | - |
| MnO | - | - | 0.06 (1) | 4.45 (3.5) |
| FeO | 1.26 (15) | 5.43 (22) | 15.32 (30) | 30.78 (4.2) |
| Total | 86.11 | 95.25 | 78.06 | 88.46 |
| H2O | 13.89 | 4.75 | 21.94 | 11.55 |
| ALO1 | Assignment | PRE4 | Assignment |
|---|---|---|---|
| 3696 | νs(OH) | 3697 | νs(OH) |
| 3670 w | 3623 | ||
| 3651 | 3400 | ||
| 3619 | 3626 w | ||
| 1634 | δs(H2O)mont | 1637 | δs(H2O)mont |
| 1112 | νs(Si-O) | 1113 | νs(Si-O) |
| 1026 | 1035 w | ||
| 996 | 985 | ||
| 909 | νs(Al-OH) | 915 | νs(Al-OH) |
| 873 | |||
| 836 | |||
| 795 | νs(Si-O-Al) | 801 | νs(Si-O-Al) |
| 749 | 770 | ||
| 685 | νs(Al-OH) | νs(Al-OH) |
| Sample | Surface Area (m2/g) | Pore Volume Vp (cm3/kg) |
|---|---|---|
| AL01 | 32 | 637 |
| PRE4 | 87 | 721 |
Disclaimer/Publisher’s Note: The statements, opinions and data contained in all publications are solely those of the individual author(s) and contributor(s) and not of MDPI and/or the editor(s). MDPI and/or the editor(s) disclaim responsibility for any injury to people or property resulting from any ideas, methods, instructions or products referred to in the content. |
© 2024 by the authors. Licensee MDPI, Basel, Switzerland. This article is an open access article distributed under the terms and conditions of the Creative Commons Attribution (CC BY) license (https://creativecommons.org/licenses/by/4.0/).
Share and Cite
Mele, A.; Scognamiglio, V.; Nocerino, V.; De Stefano, L.; Memo, A.; Toro, R.G.; Rossi, M.; Baldassarre, F.; Capitelli, F. In-Depth Characterization of Natural Clays from Southeast Albania. Crystals 2024, 14, 903. https://doi.org/10.3390/cryst14100903
Mele A, Scognamiglio V, Nocerino V, De Stefano L, Memo A, Toro RG, Rossi M, Baldassarre F, Capitelli F. In-Depth Characterization of Natural Clays from Southeast Albania. Crystals. 2024; 14(10):903. https://doi.org/10.3390/cryst14100903
Chicago/Turabian StyleMele, Altin, Viviana Scognamiglio, Valeria Nocerino, Luca De Stefano, Arben Memo, Roberta G. Toro, Manuela Rossi, Francesco Baldassarre, and Francesco Capitelli. 2024. "In-Depth Characterization of Natural Clays from Southeast Albania" Crystals 14, no. 10: 903. https://doi.org/10.3390/cryst14100903
APA StyleMele, A., Scognamiglio, V., Nocerino, V., De Stefano, L., Memo, A., Toro, R. G., Rossi, M., Baldassarre, F., & Capitelli, F. (2024). In-Depth Characterization of Natural Clays from Southeast Albania. Crystals, 14(10), 903. https://doi.org/10.3390/cryst14100903

