You are currently viewing a new version of our website. To view the old version click .
Crystals
  • Article
  • Open Access

5 September 2023

Sulfonato Complex Formation Rather than Sulfonate Binding in the Extraction of Base Metals with 2,2′-Biimidazole: Extraction and Complexation Studies

,
and
Department of Chemistry, Nelson Mandela University, P.O. Box 77000, Gqeberha 6031, South Africa
*
Authors to whom correspondence should be addressed.
This article belongs to the Special Issue The Polyhedral Face of Coordination Chemistry

Abstract

The application of a bidentate aromatic N,N’-donor ligand, 2,2′-biimidazole (BIIMH2), as an extractant in the form of 1-octyl-2,2′-biimidazole (OBIIMH) and related derivatives in the solvent extraction of base metal ions (Mg2+, Mn2+, Fe3+, Fe2+, Co2+, Ni2+, Cu2+ and Zn2+) from an acidic sulfonate medium using dinonylnaphthalene disulfonic acid (DNNDSA) as a synergist was investigated. OBIIMH with DNNDSA as a co-extractant showed a lack of selectivity for base metals ions (Mg2+, Mn2+, Fe3+, Fe2+, Co2+, Ni2+, Cu2+ and Zn2+) despite its similarity with a related bidentate aromatic ligand, 2,2′-pyridylimidazole, which showed preference for Ni(II) ions. The nickel(II) specificity, through stereochemical “tailor-making”, was not achieved as expected and the extracted species were isolated to study the underlying chemistry. The homemade metal sulfonate salts, M(RSO3)2·6H2O (R = Toluene and M2+ = Co2+, Ni2+, Cu2+ and Zn2+), were used as precursors of the metal complexes of BIIMH2 using toluene-4-sulfonic acid as the representative sulfonate. Spectroscopic analysis and single-crystal X-ray analysis supported the formation of similar neutral distorted octahedral sulfonato complexes through the bis coordination of BIIMH2 and two sulfonate ions rather than the formation of cationic complex species with anion coordination of sulfonates. We attributed the observation of similar complex species and the similar stability constants of the bis-complexes in solution as the cause for the lack of pH-metric separation of the later 3d metal ions.

1. Introduction

The application of amine extractants in the neutral form has not been extensively explored as separating agents for base metal ions from a basic bonding viewpoint [1]. Strong ligands with an O-donor-only character show a lack of relative preference for the base metal ions while nitrogenous ligands show promise. Aromatic nitrogenous ligands have a relative preference for metal ions which could relate to the possibility of σ and π bonding [2]. Imidazole ligands/extractants show high-formation constants with later 3d-transition metals [1,3], resulting in high extraction efficiencies and interactions with these metals in slightly strongly to weakly acidic media since their protonation constants are not too high or too low. However, large counterions such as organic sulfonates which act as synergists in the extraction of cationic complexes are frequently employed for a solvent extraction system to facilitate the transfer of the complexes efficiently to the organic phase [4].
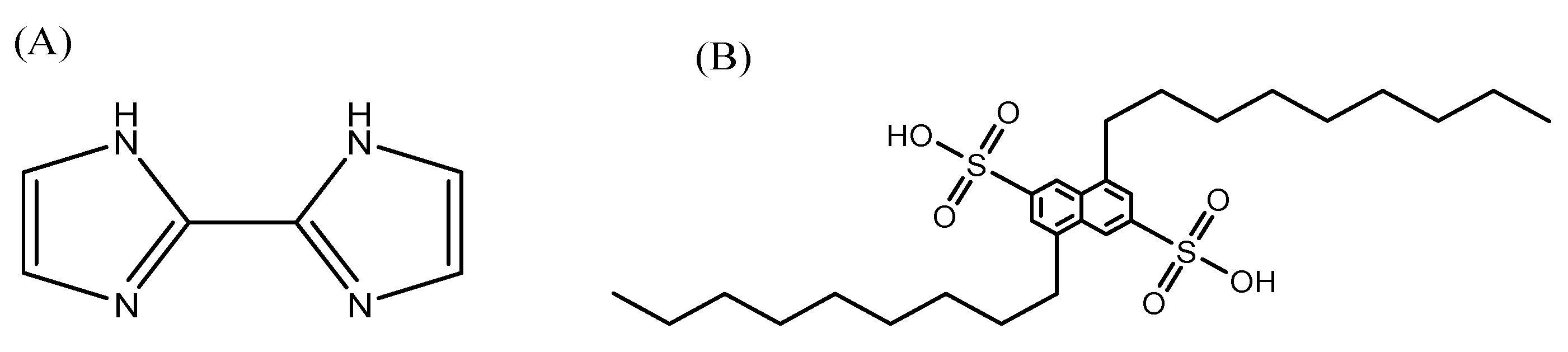
A bidentate ligand, 2,2′-biimidazole (Figure 1A), has been used for the extraction of base metals in this study. The high complex formation offered by the bidentate ligand and the low protonation constant of the imidazole group compared with aliphatic amines allows for the formation of the inner sphere complexes in a highly acidic medium. These characteristics were to be exploited in this study in an analogous matter to the use of 2,2′-pyridylimidazole that we have studied previously [3]. It is anticipated that specificity for base metal ions could be achieved through stereochemical “tailor-making”, i.e., through the formation of complexes of different but preferred geometries. The outcome of this particular study is rather surprising, and we attempt to explain it from a basic chemistry point of view. Sulfonates are typically used as synergistic counterions to extract cationic complexes in solvent-extraction systems. However, this account presents their non-innocent nature towards inner sphere rather than outer sphere coordination in the complex formation of extracted species in a solvent-extraction system.
Figure 1. The chemical structures of (A) 2,2′-biimidazole (BIIMH2) and (B) dinonlynapthalene disulfonic acid (DNNDSA).
The alkylated derivatives of the bidentate N,N-donor 2,2′-biimidazole ligand were investigated for their selectivity for nickel(II) from other base metals along with dinonylnaphthalene disulfonic acid (DNNDSA) as a synergist (Figure 1B) in a solvent-extraction system. The conditions for the extraction studies were designed using the OBIIMH (octyl derivative) as an extractant and DNNDSA as a synergist; both were dissolved in 80% 2-octanol and 20% Shellsol 2325 as diluent and modifier, respectively. The underlying coordination chemistry was investigated through stability constants studies and molecular structures of model-extracted species via spectroscopic techniques and single crystal X-ray crystallography. Herein, we concluded on the non-innocent nature of the sulfonates as synergistic counterions by showing evidence of inner sphere coordination.

2. Materials and Methods

2.1. Reagents and Materials

The reagents and materials used in this study, including ammonium acetate (99%), 1-Bromodecane (99%), 1-Bromoheptane (99%), 1-Bromooctane (99%), CaSO4∙H2O (98.5%), Co(ClO4)2.6H2O (98%), CoSO4∙7H2O (97.5%), CdSO4∙H2O (98%), Cu(ClO4)2.6H2O (98%), CuSO4 (anhydrous) (99%), DNNDSA (55 wt % in Iso-butanol), Fe2(SO4)3∙xH2O (70%), Fe(SO4)∙7H2O (98%), Glyoxal (40 wt % in water), MgSO4∙7H2O (99.7%), MnSO4∙7H2O (99.2%), Ni(ClO4)2.6H2O (98%), NiSO4∙6H2O (98%), Shellsol 232), Toluene-4-sulfonic acid (98%), Zn(ClO4)2.6H2O (98%), ZnSO4∙7H2O (99.5%), Acetone (98%), Diethylether (99%), Ethanol (99%), Ethyl acetate (98.8%), H2SO4 (98%), Methanol (99.9%) and 2-Octanol (98%), were purchased from Sigma-Aldrich, South Africa. All solvents were purchased from Merch and used as received. Standard solutions of the metal ions of AAS calibration were prepared from 1000 ppm stock solutions in 0.5 M nitric acid supplied by EC lab services from South Africa.

2.2. Instrumentation

The purity and identity of the extractants were determined by using 1H NMR spectroscopy on a Bruker AMX 400 NMR MHz spectrometer and reported relative to tetramethylsilane (δ 0.00). The metal complexes were characterized using infrared spectroscopy on both Perkin Elmer 400 FTIR and 100 FTIR-ATR spectrometers. The metal complexes were characterized using infrared spectroscopy and recorded on either a Perkin Elmer 400FTIR spectrometer in the mid-IR range (400–4000 cm−1) as KBr pellets or as neat compounds with a Perkin Elmer 100 FTIR-ATR (650–4000 cm−1) spectrometer. The solid reflectance spectra of ligands and complexes were recorded on a Shimadzu UV-VIS-NIR Spectrophotometer UV-3100 with an MPCF-3100 sample compartment with samples mounted between two quartz discs that fit into a sample holder coated with barium sulfate. The spectra were recorded over the wavelength range of 250–1400 nm, and the scans were conducted at a medium speed using a 20 nm slit width.
Elemental analysis was carried out with a Vario Elementary ELIII Microcube CHNS elemental analyser. A Perkin-Elmer 603 atomic absorption spectrophotometer, with a burner control attachment and an air-acetylene flame, was used for the determination of metal ions’ concentrations after extraction. The AAS metal standards, dissolved in 0.5 N nitric acid, were used to prepare standard solutions for the construction of calibration curves using 0.002 M ethylenediaminetetraacetic acid (EDTA) solution for the dilutions. The EDTA was also used to dilute the samples to prevent formation of refractory NiSO4. The elements were analysed at the following specified wavelengths (nm) for minimal interferences: 232.0 (Ni2+), 240.7 (Co2+), 324.7 (Cu2+), 213.9 (Zn2+), 248.3 (Fe2+, Fe3+), 413.70 (Cd2+), 422.7 (Ca2+), 2279.5 (Mn2+) and 285.2 (Mg2+).
X-ray diffraction studies were performed at 200 K using a Bruker Kappa Apex II diffractometer with monochromated Mo Kα radiation (λ = 0.71073 Å). The crystal structures were solved by direct methods using SHELXTL [5] and refined with SHELXL [6]. Carbon-bound hydrogen atoms were placed in calculated positions and refined riding. The water hydrogen atoms were located on the difference map and refined riding with the bond angles and lengths restrained. The nitrogen-bound hydrogens were located on the difference map and allowed to refine freely. All non-hydrogen atoms were refined anisotropically. Diagrams and publication material were generated using PLATON [7], and ORTEP-3 [8]. The protonation and formation constants were determined by potentiometric acid-base titrations in 10% ethanol in water using the Metrohm 794 Titrino equipped with a Metrohm LL Ecotrode. This method has been presented by us previously [9], but the only difference is the use of 0.10 M sodium perchlorate as the ionic medium. The concentration stability constants (βpqr) were calculated using the computer program HYPERQUAD [10]. The pH measurements for extraction studies were performed on a Metrohm 827 pH meter using a combination electrode with 3 M KCl as an electrolyte. The Labcon microprocessor-controlled orbital platform shaker model SPO-MP 15 was used for contacting the two phases of extraction. The melting points of the solid complexes were determined with the electrothermal IA 9000 digital measuring point apparatus.

2.3. Experimental Section

2.3.1. Preparation of 2,2′-Biimidazole

The ligand 2,2′-biimidazole (BIIMH2) was prepared according to a method reported in the literature [11]. Yield = 17%. M.p. = 348–350 °C. Anal. Calcd for C8H6N3 (%): C, 53.72; H, 4.51; N, 41.77. Found: C, 53.67; H, 4.70; N, 41.32. 1H NMR (CDCl3) δ (ppm): 7.13 (4H, s, CH). IR (νmax/cm−1): 1693, ν(C=Nim); 3327, ν(N-H).

2.3.2. Preparation of 2,2′-Alkylbiimidazoles

The alkylated derivatives of BIIMH2 (extractants) were also prepared according to a method found in the literature [12].
  • 1-Heptyl-2,2′-Biimidazole (HBIIMH)
 Yield = 51%. Anal. Calcd for C8H6N3 (%): C, 67.21; H, 8.68; N, 24.12. Found: C, 67.33; H, 8.58; N, 23.84. 1H NMR (400 MHz, CDCl3) δ (ppm): δ 7.30 (2H, s, CH), 7.01 (2H, s, CH), 4.39 (2H, m, CH2), 1.69 (2H, m, CH2), 1.16 (6H, m, CH2), 0.81 (3H, t, CH3). IR (νmax/cm−1): 1691, ν(C=Nim); 3227, ν(N-H).
  • 1-Octyl-2,2′-Biimidazole (OBIIMH)
 Yield = 49%. Anal. Calcd for C8H6N3 (%): C, 68.26; H, 9.00; N, 22.74. Found: C, 68.30; H, 8.89; N, 21.99. 1H NMR (400 MHz, CDCl3) δ (ppm): δ 7.24 (2H, s, CH), 6.99 (2H, s, CH), 4.39 (2H, m, CH2), 1.59 (2H, m, CH2), 1.14 (6H, m, CH2), 0.80 (3H, t, CH3). IR (νmax/cm−1): 1695, ν(C=Nim); 3235, ν(N-H).
  • 1-Decyl-2,2′-Biimidazole (DBIIMH)
 Yield = 45%. Anal. Calcd for C8H6N3 (%): C, 70.03; H, 9.55; N, 20.42. Found: C, 70.08; H, 9.35; N, 19.95. 1H NMR (400 MHz, CDCl3) δ (ppm): δ 7.59 (2H, s, CH), 7.00 (2H, s, CH), 4.39 (2H, m, CH2), 1.58 (2H, m, CH2), 1.20 (6H, m, CH2), 0.82 (3H, t, CH3). IR (νmax/cm−1): 1699, ν(C=Nim); 3233, ν(N-H).
  • 1,1′-Bis-heptyl-2,2′-biimidazole (H2BIIM)
 Yield = 50%. Anal. Calcd for C8H6N3 (%): C, 72.68; H, 10.37; N, 16.95. Found: C, 73.89; H, 10.84; N, 16.54. 1H NMR (400 MHz, CDCl3) δ (ppm): δ 7.29 (2H, s, CH), 7.01 (2H, s, CH), 4.39 (2H, m, CH2), 1.59 (2H, m, CH2), 1.15 (6H, m, CH2), 0.79 (3H, t, CH3). IR (νmax/cm−1): 1684, ν(C=Nim); 3327, ν(N-H).
  • 1,1′-Bis-octyl-2,2′-biimidazole (O2BIIM)
 Yield = 47%. Anal. Calcd for C8H6N3 (%): C, 73.69; H, 10.68; N, 15.63. Found: C, 73.98; H, 10.89; N, 15.05. 1H NMR (400 MHz, CDCl3) δ (ppm): δ 7.29 (2H, s, CH), 7.00 (2H, s, CH), 4.38 (2H, m, CH2), 1.57 (2H, m, CH2), 1.15 (6H, m, CH2), 0.82 (3H, t, CH3). IR (νmax/cm−1): 1689, ν(C=Nim); 3335, ν(N-H).
  • 1,1′-Bis-decyl- 2,2′-biimidazole (D2BIIM)
 Yield = 48%. Anal. Calcd for C8H6N3 (%): C, 75.31; H, 11.18; N, 13.51. Found: C, 76.00; H, 11.65; N, 13.24. 1H NMR (400 MHz, CDCl3) δ (ppm): δ 7.30 (2H, s, CH), 7.01 (2H, s, CH), 4.41 (2H, m, CH2), 1.76 (2H, m, CH2), 1.24 (6H, m, CH2), 0.84 (3H, t, CH3). IR (νmax/cm−1): 1699, ν(C=Nim); 3333, ν(N-H).

2.3.3. Extraction Method

All the solvent-extraction experiments were carried out in a temperature-controlled laboratory at 25 (±1) °C. Equal volumes (5 mL) of 0.001 M metal ion solution (aqueous layer) and organic layer (contains the extractant, 2-octanol, shellsol 2325 and DNNDSA) were pipetted into 50 mL conical separating funnels. They were shaken with an automated orbital platform shaker for 30 min at an optimized speed of 200 rpm. A minimum period of 24 h was observed before harvesting the raffinates. The raffinates were filtered through a 33 mm millex-HV Millipore of 0.45 µm and diluted appropriately for analysis by AAS. The percentage extractions (%E) of the metal ions were calculated from the concentrations of the metal ions in the aqueous phase using the equation below:
% E = C i C s C i × 100
where Ci is the initial solution concentration (mg/L) and Cs is the solution concentration after extraction. The extraction efficiencies were investigated as a function of pH, and all the extraction curves were plotted with the SigmaPlot 11.0 program.

2.3.4. Syntheses of Metal Complexes

Sulfonate Salts

The metal sulfonate salts were prepared by mixing 1:1 equimolar solution of toluene-4-sulfonic acid (RSO3H) with potassium hydroxide in absolute ethanol to produce the potassium toluene-4-sulfonate salt. The potassium toluene-4-sulfonate salt was added to M(ClO4)2∙6H2O (M = Ni2+, Co2+, Cu2+ and Zn2+) in absolute ethanol. The potassium perchlorate salt was removed by centrifugation and filtered. The solution was concentrated and allowed to stand at room temperature to obtain the metal sulfonate salts.
Ni(RSO3)2·6H2O: Color: light green. Yield = 77%. M.p. = 244–246 °C. Anal. Calcd for C14H26CoO12S2 (%): C, 33.02; H, 5.15; S, 12.59. Found: C, 32.99; H, 5.01; S, 12.49. IR (cm−1): 1000–1250, ν3(SO3).
Co(RSO3)2·6H2O: Color: pale mauve. Yield = 76%. M.p. = 243–245 °C. Anal. Calcd for C14H26CoO12S2 (%): C, 33.01; H, 5.14; S, 12.59. Found: C, 32.94; H, 5.10; S, 12.53. IR (cm−1): 1000–1250, ν3(SO3).
Cu(RSO3)2·6H2O: Color: light blue. Yield = 78%. M.p. = 242–246 °C. Anal. Calcd C14H26CoO12S2 (%): C, 32.71; H, 5.10; S, 12.48. Found: C, 32.66; H, 5.06; S, 12.41. IR (cm−1): 1000–1250, ν3(SO3).
Zn(RSO3)2·6H2O: Color: white. Yield = 76%. M.p = 244–246 °C. Anal. Calcd C14H26CoO12S2 (%): C, 32.60; H, 5.08; S, 12.43. Found (%): C, 32.55; H, 5.03; S, 12.39. IR (cm−1): 1000–1250, ν3(SO3).

Preparation of Sulfonate Complexes

The preparation of coordination complexes, [M(BIIM)2(RSO3)2], was conducted in absolute ethanol under inert conditions. Hot ethanol solution (5 mL at 60 °C) containing 5 mmol of the ligand was added dropwise to 5 mL of the metal ion solution (1 mmol) of each metal ion. Toluene sulfonic acid (RSO3H) (4 mmol) was added to dissolve the ligand. The mixture was heated at reflux overnight and precipitates were obtained, and these were filtered and washed with cold ethanol. A single crystal in the complex [Cu(BIIM)2(RSO3)2] was obtained by slow diffusion of diethyl ether into the mother liquor in a desiccator at room temperature for about one month.
[Ni(BIIMH2)2(RSO3)2]: Color: green. Yield = 58%. M.p. = 243–246 °C. IR (cm−1): 3311 ν(N-H), 1427 ν(C=N), 1332 ν(SO3).
[Co(BIIMH2)2(RSO3)2]: Color: pink. Yield = 75%. M.p. = 241–244 °C. IR (cm−1): 3333, ν(N-H); 1448, ν(C=N); 1321, ν(SO3).
[Cu(BIIMH2)2(RSO3)2]: Color: green. Yield = 79%. M.p. = 245–247 °C. IR (cm−1): 3323, ν(N-H); 1437, ν(C=N); 1322, ν(SO3).
[Zn(BIIMH2)2](RSO3)2: Color: white. Yield = 65%. M.p. = 246–248 °C. IR (cm−1): 1438, ν(C=N); 1343, ν(SO3).

3. Results and Discussion

3.1. Synthesis and Characterization of 2,2′-Biimidazole and Extractants

The synthesis of 2,2′-biimidazole involves cyclization via a condensation reaction, and the alkylation of the ligand was achieved by a nucleophilic attack of alkylbromide by anionic imidazole to obtain the extractant. The purity of the products was investigated by microanalysis and confirmed by 1H NMR.
The 1H NMR spectrum of BIIMH2 showed a peak at 7.13 ppm which was due to the four imidazole protons. The protons are chemically equivalent due to the C2 symmetry of this compound. All 1H NMR spectra of the ligand and extractants are provided in the Supplementary Materials (Figures S1–S6). The mono- and bis-alkylated biimidazole were successfully synthesized, and the appearance of the protons of the alkylated biimidazole at 7.01 and 7.30 ppm are in agreement with values found in the literature [11]. The appearance of peaks in the region of 0.070 to 4.5 ppm shows evidence of the connection of the alkyl chain to the imidazole nitrogen(s).

3.2. Solvent Extraction Studies

The extraction studies were carried out in a sulfate medium to define the optimal conditions for nickel(II) specificity. The conditions for the extraction of nickel(II) ions were optimized by investigating the essential concentration of the extractant, the concentration of the synergist (DNNDSA), the necessary alkyl chain substituent on imidazole and the effect of pH. Extractions required excess DNNDSA relative to quantities of dinonylnaphthalene sulfonic acid (DNNSA) used previously [3].
Figure S7 shows the effect of various mole ratios of Ni:OBIMH (1:25 to 1:40) on nickel(II) extraction. From these curves and the consequent data in Table S1, the ratio 1:30 showed a better extraction in terms of the steepness of the curve, i.e., a left-shifted curve and a slightly higher percentage extraction. For this reason, this metal to extractant molar ratio was chosen for the subsequent studies.
The involvement of DNNDSA as a synergist has been proven to be essential to this extraction method since there was a lack of extraction in its absence (Figure S8). This could be rationalized on the basis that the sulfate ions do not readily phase-transfer the cationic complexes formed in the extraction system from the aqueous to the organic layer. This is due to the high hydration energies offered by the sulfate ions [13]. Therefore, the application of DNNDSA, which is a bulky organic acid with very low pKa values, eliminates the drawback posed by the sulfate ions. The role of the synergist (DNNDSA) is known to be that of an ion-pairing agent for the cationic metal ion complexes; therefore, the concentration of DNNDSA was investigated. Table S2 shows the extraction percentage as a function of pH. Initially low concentrations of DNNDSA were employed but this yielded low extraction efficiencies (Figure S9). The high concentrations resulted in significant extraction to the effect that 0.5 M was taken as optimal not because there was no further increase in %E with an increase in DNNDSA concentration but because the concentration used was already very high in comparison to the DNNSA used previously [3]. The use of such a high concentration could be expected to have negative effects on the selective extraction of Ni2+ ions.
DNNDSA can be expected to behave similarly to DNNSA in terms of its extraction behavior. In view of this, it is not expected to show any selectivity between metal ions, as was shown for DNNSA [3]. The DNNSA-only extractions do not show a separation of the extraction curves of the base metals’ ions as a function of pH (Table S3). This necessitates the use of a ligand that has been carefully designed to cause separation between the metal ions by exploiting the bonding preferences concerning coordination numbers, stereochemistry and type of bonding involved. Du Preez has coined the term stereochemical “tailor-making” to describe this effect [1]. This effect has been demonstrated in the separation of nickel and cobalt despite their similar coordination chemistry [14].
The optimized conditions for the concentration of the extractant (L) and co-extractant were a 1:30 Ni:L ratio for a 0.001 M nickel solution and 0.5 M for DNNDSA. The effect of the alkyl substituent on the extraction efficiencies is presented in Figure S10. It seems, from this investigation, that the octyl group gives the best extraction, as evidenced by higher percentage extraction (Table S4) and steepness of the curve. An investigation was also carried out to understand the effect of monoalkylated or bisalkylation on imidazole, and the monoalkylated OBIIMH showed better extraction compared with the bis-alkylated O2BIIM (Figure S11, Table S5). The better performance (steeper curve) of OBIIMH was probably due to its less bulky nature, thus causing less entanglement of the alkyl chains with the neighboring imidazole.
The extraction patterns of the other metal ions typically present in a leach concentrate, including Cu2+, Fe2+, Zn2+, Fe3+, Mn2+, Mg2+, Cd2+ and Ca2+, were investigated under the conditions that were optimized for the extraction of nickel(II) ion (Figure 2, Table S6). There was no rejection of the hard ions (Fe3+, Mn2+ and Ca2+) in the pH range under investigation, which does not coincide with the suggestion on the bonding nature of the aromatic nitrogenous ligands. The position of the copper extraction curve is rather surprising owing to the relatively higher acidic character of this metal ion, which should make it more reactive at the lower pH region. It is clear from the extraction pattern in Figure 2 that there is a lack of pH-metric separation of the metal ions, and the differences in %E may be influenced by the solubility of chelates formed which affect the distribution between the two phases.
Figure 2. A plot of %E vs. initial pH of equimolar concentration (0.001 M) of Ni2+, Co2+, Cu2+, Fe2+, Zn2+, Fe3+, Mn2+, Mg2+, Cd2+ and Ca2+ extracted with OBIIMH (at M:L ratio of 1:30) and 0.5 M DNNSA in 80% 2-octanol/Shellsol 2325 from dilute sulfate medium.
In this solvent-extraction system, the protonation, complexation and phase distribution equilibria can be used to describe the system quantitatively with respect to the distribution ratio of a metal ion (Mn+), and provide information on the coordination numbers involved in the extraction reaction [15]. The chelating agent (L) must distribute between the organic and aqueous phases to result in complexation in the aqueous phase, and that distribution coefficient is represented by KD(L):
( L ) a     ( L ) o   and   K D ( L ) = L o L a
However, in the aqueous phase, the following two protonation equilibria may exist depending on the pH:
LH 2 2 +   H + + LH + ,   K a 1 = H + a L H + a L H 2 2 + a
LH +   H + + L ,   and   K a 2 = H + a L a L H + a
The metal ion chelates react with the neutral form of the ligand to form a cationic complex:
M n + + mL   M L m n +   and   K f = [ M L m n + ] a M n + a [ L ] a m
The chelate which is ion-paired by an anion (in this case sulfonate anions represented by Xn−) to form an extractible species, [MLm]X, distributes itself between the organic and aqueous phases:
( M L m n + ) a + ( X n ) o / a     ( ML m X ) o ,   and   K D ( M L m n + ) = [ M L m X ] o M L m n + a
The distribution ratio (D), defined as the ratio of the concentration of the total metal species in the organic phase to that in the aqueous (regardless of its mode), is given by Equation (7), on the assumption that the metal chelate distributes largely in the organic phase and that the metal ion does not hydrolyse in the aqueous phase.
D   [ M L m X ] o [ M n + ] a  
Substituting Equations (5) and (6), respectively, into Equation (7) yields Equation (8), depicting the formation constant and the concentration of the ligand in the aqueous phase as important parameters as well as the distribution coefficient of the chelate:
D = K D ( M L m n + )   K f   [ L ] a m
Equation (8) can be transformed to Equation (9) if Equation (2) is substituted, indicating that the concentration of L in the aqueous phase is dependent on its concentration in the organic phase and that its distribution between the two phases affects the distribution ratio of the complex formed:
D = K D ( M L m n + )   K f   K D ( L ) m [ L ] o m
However, since the extractions are carried out at a low pH, it is necessary to consider the two protonation equilibria, respectively, because these species occur over a wide pH range, and competition of metal ions with protons for the ligand occurs early with pH due to the higher formation constants and the relatively low protonation constants (Section 3.3). Now, substituting Equations (3) and (4), respectively, into Equation (9) yields the following respective Equations (10) and (11):
D = K D ( M L m n + )   K f   K a 2 m   [ L H + ] a m [ H + ] a m
and   D = K D ( M L m n + )   K f   K a 2 m   K a 1 m   [ L H 2 2 + ] a m [ H + ] a 2 m
Therefore, in the pH range where the monoprotonated species and a free ligand (Equation (4)) are involved, then a plot of log D vs. pH (from taking the logarithms of both sides in Equation (10)) should yield a straight line with slope m (number of ligands bonded to the metal ion Mn+). But in the highly acidic region where the second proton equilibrium (Equation (3)) is also active, then a plot of log D vs. pH (from Equation (11)) should yield a straight line with slope 2 m. It is therefore not surprising that the slope of the plots is steeper in the lower pH range and flattens to about 2 as the pH increases (Figure 3). This accounts for the two-stage protonation, as a higher proportion of the ligand will be monoprotonated with an increase in pH. Therefore, bis coordination (m ≈ 2) of 2,2′-biimidazole is supported by the extraction data.
Figure 3. A plot of log D vs equilibrium pH (pHe) for the extraction of 0.001 M M2+ (M = Mg2+, Zn2+, Mn2+, Fe2+, Ni2+, Co2+ and Cu2+) with OBIIMH (at M:L ratio of 1:30) and 0.5 M DNNSA in 80% 2-octanol/Shellsol 2325 from dilute sulfate medium.

3.3. Solution Complexation Studies

The ligand exhibits a two-stage protonation/deprotonation process and the highest log Ka1 = 5.96 (at 25 °C) and the lowest value correspond to the protonation/deprotonation of the second imidazole group (log Ka2 = 3.25 at 25 °C). Therefore, the loss of the first proton of the diprotonated species happens with ease and at a relatively low pH. The bidentate character in coordination was evidenced by the high formation constants that were calculated for the formation of the metal ion complexes with BIIMH2 (Table 1). The overall second stability constants are of the order Cu2+ (10.9) > Ni2+ (10.7) > Zn2+ (10.6) > Co2+ (10.3). This is not strictly the same order that was observed in the extraction curves at least for Ni2+ and Cu2+ (Figure 4), but these measure values are within the range of experimental error from one another. Nonetheless, this result shows that there is no relative stability preference between BIIMH2 and the base metal ions. Therefore, this extraction system is possibly governed by similar thermodynamics of complexation and results in a lack of pH-metric separation of the metal ions.
Table 1. Protonation and stability constants (logβ) for the interaction of BIIMH2 with base metal ions as determined in 10% ethanol in water at I = 0.10 M NaClO4 and 25 (±0.1) °C.
Figure 4. ORTEP diagram of Co(RSO3)2·6H2O viewed normal to (1 0 0) showing the hydrogen interactions.

3.4. Synthesis and Characterization of Metal Complexes

A solution of toluene-4-sulfonic acid (RSO3H) (10 mmol) was mixed with an equimolar amount of potassium hydroxide (10 mmol) in absolute ethanol to produce toluene-4-sulfonate salt, which was filtered and left to dry at room temperature.
RSO 3 H + KOH   K +   RSO 3 + H 2 O   R = toluene
2 K +   RSO 3 + M ( ClO 4 ) 2   M ( RSO 3 ) 2   + 2 KClO 4 ( s )
The metal sulfonates were formed from metal perchlorates, and the resulting potassium perchlorate was filtered out of solution before concentrating the metal sulfonates. Microanalaysis data supported the formation of the hexahydrate compounds M(RSO3)2·6H2O. The sulfonate salts were then used to synthesize the 2,2′-biimidazole complexes, and these were chareacterized by melting point, FTIR, electronic spectroscopy and single crystal X-ray crystallography. The melting points for both the metal sulfonate salts and complexes are surprisingly similar (243–248 °C).

3.4.1. Spectroscopic Characterization

The characteristic υ(N-H) frequencies as well as the υ(C=N) were found in the ranges 3311–3343 cm−1 and 1427–1448 cm−1, respectively, signifying the presence of coordinated imidazole in the complexes [16]. The presence of the sulfonate group is indicated by the ν(SO3) in the range 1321–1343 cm−1.
The electronic spectrum of the nickel(II) complex showed three d-d transitions at 350–400 nm, 510–650 nm and 820–1180 nm, respectively (Figure S12). These were assigned to the 3T1g(P) ← 3A2g(F), 3T1g(F) ← 3A2g(F) and 3T2g(F) ← 3A2g(F) transitions, which are typical of an octahedral nickel(II) complex [17]. For the Co(II) complex, bands were observed at 350–385 nm, 420–580 nm and 1000–1400 nm, which may be ascribed to 4T1g(P) ← 4T1g(F), 4A2g(F) ← 4T1g(F) and 4T2g(F) ← 4T1g(F), respectively, for octahedral symmetry [18]. The electronic spectrum of the Cu(II) complex showed two bands at 360–560 nm and 590–1000 nm. In the D4h symmetry, the 2T2g level in octahedral geometry splits into 2Eg + 2B2g, while the higher 2Eg level is unaffected. The transitions are expected to correspond to 2B2g2Eg and 2Eg2Eg levels, respectively, for a distorted octahedral Cu(II) complex [19].

3.4.2. X-ray Crystallography

The ORTEP diagrams of Co(RSO3)2·6H2O and [Cu(BIIMH2)2(RSO3)2] are illustrated in Figure 4, Figure 5 and Figure 6, respectively. Selected crystallographic data are presented in Table 2, and selected bond lengths and angles are in Table 3. It appeared that there were traces of twinning in Co(RSO3)2·6H2O (<2%) but attempts to take the twinning into account were unsuccessful. The CCDC deposition numbers are CCDC 2210845 and 2210846, respectively. The hexa-aqua Co(II) complex in the Co(RSO3)2·6H2O structure is centrosymmetric, with extensive hydrogen interactions between the coordinated water molecules and the sulfonate groups (Figure 4). These interactions link adjacent complexes in a 2D network parallel to the ab (0 0 1) plane (Figure S13) and are presented in Table 4. The ring interactions are also presented in Table 5 and exhibit infinite stacked interactions parallel to the a axis. There is a slight shortening of the bonds of the axial ligands (Co-O21 = 2.046(4)) Å in the hexa-aqua complex, while the equatorial bonds have lengths of 2.075(4) Å (Figure 5), and this is perhaps due to strong supramolecular interactions that are experienced in tosylate complexes [20,21,22].
Figure 5. ORTEP diagram of Co(RSO3)2·6H2O showing an atom numbering scheme.
Figure 6. ORTEP diagram of [Cu(BIIM)2(RSO3)2] with ellipsoids drawn at 50% probability. Symmetry element: (i) 1-x, 1-y, 1-z.
Table 2. Selected crystallographic data for Co(RSO3)2·6H2O and [Cu(BIIM)2(RSO3)2.
Table 3. Selected bond lengths (Å) and angles (°) for Co(RSO3)2·6H2O and [Cu(BIIMH2)2(RSO3)2].
Table 4. Hydrogen interactions for Co(RSO3)2·6H2O.
Table 5. Short ring interactions for Co(RSO3)2·6H2O. Cg1 is the centroid of C11–C16.
[Cu(BIIMH2)2(RSO3)2] is centrosymmetric, with the central copper(II) atom surrounded by two BIIMH2 ligands and two oxygen atoms of the sulfonate anions (Figure 6). The geometry of the complex is distorted octahedral, with the equatorial plane formed by the four imidazole nitrogen atoms, while oxygen atoms of the sulfonate anions occupy the apical positions. The equatorial distances for the copper complex are Cu1-N11 and Cu-N11′ = 2.020(1) Å and Cu1-N13 and Cu1-N13′ = 2.0202(1) Å, while the axial Cu1-O21 and Cu1-O21′ distance is 2.430(1) Å. This is typical of a Jahn–Teller distorted copper(II) complex [15]. The majority of Cu(II) complexes are tetragonally distorted. The Cu-N and Cu-O bond lengths fall in the range normally observed for distorted octahedral copper(II) compounds [15,16,23]. The solid-state structure is in support of the observation of bis coordination observed in the extraction and in solution studies, as has been noticed previously [24], but this phenomenon is not always correlated due to differences in energetics of the solution vs. solid-state structures [25]. The solution/extraction studies and the electronic spectroscopic study, which suggested distorted octahedral complexes form with base metals, allowed us to conclude that the complexes are probably isostructural.
The two uncoordinated pyrrole-type nitrogens of the BIIMH2 ligands both have hydrogen interactions (Table 6) with a neighboring sulfonate ligand linking adjacent complexes in an infinite 2D network parallel to the bc (1 0 0) plane (Figure S14). This structure also exhibits extensive ring interactions with the shortest centroid-to-centroid distance of 3.8561(9) Å (Table 7) between BIIMH2 ligands forming an infinite 2D network parallel to the bc (1 0 0) plane.
Table 6. Hydrogen interactions for [Cu(BIIMH2)2(RSO3)2].
Table 7. Short ring interactions for [Cu(BIIMH2)2(RSO3)2]. Cg1 is the centroid of N13, C14, N14, C16 and C15; Cg2 is the centroid of N11, C11, N12, C13 and C12; Cg3 is the centroid of C21–C26.

4. Conclusions

A bidentate N,N’-donor imidazole-based ligand, 2,2′-biimidazole (BIIMH2), was applied as an extractant for extraction of base metal ions in an acidic sulfate medium. 1-Octyl-2-(2′-biimidazole) (OBIIMH), as a representative extractant, was applied in a solvent system, with dinonylnaphthalene disulfonic acid (DNNDSA) as a synergist. This study has established empirical evidence for the lack of separation of base metals in this system. Authors investigated the underlying chemistry and the findings from this study supported the lack of stereochemical “tailor-making” as a reason for the lack of pH-metric separation of base metals. It appears that the base metal complexes formed are isostructural with bis coordination of the bidentate ligand and inner sphere coordination of the sulfonate ions, and the complex formation constants are also similar, suggesting similar energetics of complexation. Of particular note is the non-innocent nature of bonding of the sulfonate ion instead of ion-pairing to form outer-sphere complexes.

Supplementary Materials

The following supporting information can be downloaded at: https://www.mdpi.com/article/10.3390/cryst13091350/s1, Figure S1: The 1H NMR spectrum of 1-heptyl-2,2′-biimidazole (HBIIMH). Figure S2: The 1H NMR spectrum of 1-octyl-2,2′-biimidazole (OBIIMH). Figure S3: The 1H NMR spectrum of 1-decyl-2,2′-biimidazole (DBIIMH). Figure S4: The 1H NMR spectrum of 1,1′-bis-heptyl-2,2′-biimidazole (H2BIIM). Figure S5: The 1H NMR spectrum of 1,1′-bis-octyl-2,2′-biimidazole (O2BIIM). Figure S6: The 1H NMR spectrum of 1,1′-bis-decyl-2,2′-biimidazole (D2BIIM). Figure S7: A plot of %E vs initial pH for extraction of 0.001 M nickel from dilute sulfate medium with M:L ratios 1:25, 1:30, 1:35 and 1:40 (Ni:OBIIMH) and 0.5 M DNNDSA in 80% 2-octanol/20% Shellsol 2325. Figure S8: A plot of %E vs initial pH for extraction of 0.001 M nickel from dilute sulfate medium with OBIIMH at M:L molar ratio of 1:30 in the absence of DNNDSA, and with 0.5 M DNNDSA in 80% 2-octanol/ 20% Shellsol 2325. Figure S9: A plot of %E vs. initial pH for extraction of 0.001 M nickel from dilute sulfate medium with varying concentration of DNNDSA as a synergist in 80% 2-octanol/Shellsol 2325. Figure S10: A plot of %E vs initial pH for extraction of 0.001 M nickel from dilute sulfate medium with DBIIMH, OBIIMH and HBIIMH (at Ni:L ratios of 1:30), and 0.5 M DNNSA in 80% 2-octanol/ 20% Shellsol 2325. Figure S11: A plot of %E vs initial pH for extraction of 0.001 M nickel from dilute sulfate medium with M:L ratio 1:30 (Ni:OBIIMH and Ni:O2BIIM) and 0.5 M DNNDSA in 80% 2-octanol/Shellsol 2325. Figure S12: The solid reflectance spectra for nickel(II), cobalt(II) and copper(II) 2,2′-biimidazole complexes in sulfonate medium. Figure S13: ORTEP packing diagram drawn normal to (0 1 0) showing the alternating planes of complex and anion which lie parallel to the ab plane (0 0 1). Figure S14: Selective hydrogen interactions with ellipsoids drawn at 50 % probability. Symmetry elements: (i) 1-x, 1-y, 1-z; (ii) 1-x, ½+y, ½-z; (iii) x, ½-y, -½+z; (iv) x, ½-y, ½+z; (v) 1-x, -½+y, ½-z. Table S1: Data for %E vs initial and the equilibrium pH of 0.001 M nickel extracted from dilute sulfate medium with M:L ratios 1:25, 1:30, 1:35 and 1:40 (Ni:OBIIMH) and 0.5M DNNDSA in 80% 2-octanol/20% Shellsol 2325. Table S2: Data for %E vs. initial and the equilibrium pH for the extraction of 0.001M nickel from dilute sulfate medium with OBIIMH at a M:L molar ratio of 1:30 in the absence of DNNDSA, and with 0.5 M DNNDSA in 80% 2-octanol/20% Shellsol 2325. Table S3: Data for %E vs initial and the equilibrium pH of nickel from dilute sulfate medium with DNNDSA varying concentrations (0.01 M, 0.02 M, 0.03 M, 0.08 M, 0.1 M, 0.3 M, 0.4 M and 0.5 M) of Ni2+:OBIMH (1:30) in 80% 2-octanol/20% Shellsol 2325. Table S4: Data for the extraction of nickel (0.001 M) from dilute sulfate medium with DBIIMH, OBIIMH and HBIIM at M:L ratios of 1:30, respectively, and 0.5 M DNNDSA in 80% 2-octanol/20% Shellsol 2325. Table S5: Data for %E vs initial and the equilibrium pH of 0.001 M nickel extracted from dilute sulfate medium with M:L ratio of 1:30 (Ni:OBIIMH and O2BIIM) and 0.5 M DNNDSA in 80% 2-octanol/20% Shellsol 2325. Table S6: Data for %E vs initial pH of equimolar concentrations (0.001 M) of Ni2+, Co2+, Cu2+, Fe2+, Zn2+, Fe3+, Mn2+, Mg2+, Cd2+ and Ca2+ extracted with OBIIMH at M:L ratio (1:30) and 0.5 M DNNDSA in 80% 2-octanol/20% Shellsol 2325 from sulfate medium. Table S7: Data for %E vs initial and the equilibrium pH of equimolar concentrations (0.001 M) of Ni2+, Co2+, Cu2+, Fe2+, Zn2+, Fe3+, Mn2+, Mg2+, Cd2+ and Ca2+ extracted with OPIM at M:L ratio (1:25) and 0.015 M DNNSA in 80% 2-octanol/20% Shellsol 2325 from sulfate medium. Table S8: A plot of %E vs initial and equilibrium pH in the separation of 0.001 M, Ni2+, Co2+, Cu2+, Fe2+, Zn2+, Mn2+, Mg2+ and Fe3+ from dilute sulfate medium with OBIMA (M:L ratios of 1:40), and 0.015 M DNNSA in 80% 2-octanol/20% Shellsol 2325.

Author Contributions

P.M.-B.—data collection, review and writing; E.C.H.—SC-XRD data collection and structure refinement and editing; Z.R.T.—Original draft proposal, conceptualization, review, writing, editing and supervision. All authors have read and agreed to the published version of the manuscript.

Funding

This research was funded by the National Research Foundation (NRF, UID 129274) and NRF-JINR (UID 120478).

Data Availability Statement

Data is provided in this article and raw data is available from researchers. CCDC 2210845 and 2210846 contains the supplementary crystallographic data for this paper. These data can be obtained free of charge from The Cambridge Crystallographic Data Centre via www.ccdc.cam.ac.uk/structures (accessed on 31 August 2023).

Acknowledgments

The authors acknowledge the National Research Foundation (NRF) of South Africa and Nelson Mandela University Research Capacity Development for financial support. We thank Mbokazi Ngayeka for reproducing some of the SigmaPlot figures.

Conflicts of Interest

Authors declare no conflict of interest.

References

  1. Du Preez, J.G.H. Recent advances in amines as separating agents for metal ions. Solvent Extr. Ion Exch. 2000, 18, 679–701. [Google Scholar] [CrossRef]
  2. Pearce, B.H.; Ogutu, H.F.; Luckay, R.C. Synthesis of pyrazole-based pyridine ligands and their use as extractants for nickel (II) and copper (II): Crystal structure of a copper (II)–ligand complex. Eur. J. Inorg. Chem. 2017, 8, 1189–1201. [Google Scholar] [CrossRef]
  3. Okewole, A.I.; Magwa, N.P.; Tshentu, Z.R. The separation of nickel(II) from base metal ions using 1-octyl-2-(2′-pyridyl)imidazole as extractant in a highly acidic sulfate medium. Hydrometallurgy 2012, 121–124, 81–89. [Google Scholar] [CrossRef]
  4. Roebuck, J.W.; Bailey, P.J.; Doidge, E.D.; Fischmann, A.J.; Healy, M.R.; Nichol, G.S.; O’Toole, N.; Pelser, M.; Sassi, T.; Sole, K.C.; et al. Strong and selective Ni(II) extractants based on synergistic mixtures of sulfonic acids and bidentate N-heterocycles. Solvent Extr. Ion Exch. 2018, 36, 437–458. [Google Scholar] [CrossRef]
  5. Sheldrick, G.M. SHELXT—Integrated space-group and crystal-structure determination. Acta Cryst. 2015, A71, 3–8. [Google Scholar] [CrossRef] [PubMed]
  6. Sheldrick, G.M. Crystal structure refinement with SHELXL. Acta Cryst. 2015, C71, 3–8. [Google Scholar]
  7. Spek, A.L. Structure validation in chemical crystallography. Acta Cryst. 2009, D65, 148–155. [Google Scholar] [CrossRef]
  8. Farrugia, L.J. WinGX and ORTEP for Windows: An update. J. Appl. Cryst. 2012, 45, 849–854. [Google Scholar] [CrossRef]
  9. Okewole, A.I.; Walmsley, R.S.; Valtancoli, B.; Bianchi, A.; Tshentu, Z.R. Separation of copper(II) from a highly acidic synthetic sulfate leach solution using a novel 1-octylimidazole-2-aldoxime extractant. Solvent Extr. Ion Exch. 2013, 31, 61–78. [Google Scholar] [CrossRef]
  10. Gans, P.; Sabatini, A.; Vacca, A. Investigation of equilibria in solution. Determination of equilibrium constants with the HYPERQUAD suite of programs. Talanta 1996, 43, 1739–1753. [Google Scholar] [CrossRef]
  11. Moleko, P. The Coordination and Extractive Chemistry of the Later 3d Transition Metal Ions with N,N′-Donor Imidazole-Based Ligands. Master’s Dissertation, Nelson Mandela Metropolitan University, Gqeberha, South Africa, 2014; p. 37. [Google Scholar]
  12. Haring, M. A novel route to N-substituted heterocycles. Helv. Chim. Acta 1959, 42, 1845–1850. [Google Scholar]
  13. Allen, K.A. Equilibrium between didecylamine and sulphuric acid. J. Phys. Chem. 1956, 60, 943–946. [Google Scholar] [CrossRef]
  14. Flett, D.S. Solvent extraction in hydrometallurgy: The role of organophosphorus extractants. J. Organomet. Chem. 2005, 690, 2426–2438. [Google Scholar] [CrossRef]
  15. Magwa, N.P.; Hosten, E.; Watkins, G.M.; Tshentu, Z.R. An exploratory study of tridentate amine extractants-solvent extraction and coordination chemistry of base metals with bis((1R-benzimidazol-2-yl)methyl)amine. Int. J. Nonferrous Metall. 2012, 1, 49–58. [Google Scholar] [CrossRef]
  16. Magwa, N.P.; Hosten, E.; Watkins, G.M.; Tshentu, Z.R. The coordination and extractive chemistry of the later 3d transition metals with bis((1R-benzimidazol-2-yl)methyl)sulfide. J. Coord. Chem. 2013, 66, 114–125. [Google Scholar] [CrossRef]
  17. Takahashi, K.; Nishida, Y.; Kida, S. Crystal structure of copper(II) complex with N,N-bis(2-benzimidazolylmethyl)benzylamine. Polyhedron 1984, 4, 113–116. [Google Scholar] [CrossRef]
  18. Pandiyan, T.; Hernandez, J.G. Geometrical isomers of bis(benzimidazol-2-ylethyl)sulfide)cobalt(II) diperchlorates: Synthesis, structure, spectra and redox behavior of pink-[Co(bbes)2](ClO4)2 and blue-[Co(bbes)2](ClO4)2. Inorg. Chim. Acta. 2004, 357, 2570–2578. [Google Scholar] [CrossRef]
  19. Hancock, R.D.; Martell, A.E. Ligand design for selective complexation of metal ions in aqueous solution. Chem. Rev. 1989, 89, 1875–1914. [Google Scholar] [CrossRef]
  20. Fewings, K.R.; Junk, P.C.; Georganopoulou, D.; Prince, P.D.; Steed, J.W. Supramolecular interactions in metal tosylate complexes. Polyhedron 2001, 20, 643–649. [Google Scholar] [CrossRef]
  21. Kosnic, J.E.; McClymont, L.; Hodder, R.A.; Squattrito, P.J. Synthesis and structures of layered metal sulfonate salts. Inorg. Chim. Acta 1996, 244, 253–254. [Google Scholar] [CrossRef]
  22. Cabaleiro-Martinez, S.; Castro, J.; Romero, J.; Garcia-Vazquez, J.; Sousa, A. Hexaaquacobalt(II) bis(4-toluene-sulfonate). Acta Cryst. 2000, C56, e249–e250. [Google Scholar]
  23. Rietmeijer, F.J.; Birker, P.J.M.W.L.; Gorter, S.; Reedijk, J. Copper(I) and copper(II) chelates containing imidazole and thioether groups; synthesis of the ligand 1,2-bis(benzimidazol-2′-ylmethylthio)-benzene (bbtb) and the X-ray crystal structure at 52 °C of [Cu-(bbtb)(H2O)][ClO4]2·5EtOH. J. Chem. Soc. 1982, 7, 1191–1198. [Google Scholar] [CrossRef]
  24. Wilson, A.M.; Bailey, P.J.; Tasker, P.A.; Turkington, J.R.; Grant, R.A.; Love, J.B. Solvent extraction: The coordination chemistry behind extractive metallurgy. Chem. Soc. Rev. 2014, 4, 123–134. [Google Scholar] [CrossRef]
  25. de Sousa, A.S.; Fernandes, M.A.; Padayachy, K.; Marques, H.M. Amino-alcohol ligands: Synthesis and structure of N,N-bis(2-hydroxycyclopentyl)ethane-1,2-diamine and its salts, and an assessment of its fitness and that of related ligands for complexing metal ions. Inorg. Chem. 2010, 49, 8003–8011. [Google Scholar] [CrossRef]
Disclaimer/Publisher’s Note: The statements, opinions and data contained in all publications are solely those of the individual author(s) and contributor(s) and not of MDPI and/or the editor(s). MDPI and/or the editor(s) disclaim responsibility for any injury to people or property resulting from any ideas, methods, instructions or products referred to in the content.

Article Metrics

Citations

Article Access Statistics

Multiple requests from the same IP address are counted as one view.