Crystal Structure of Bismuth-Containing Samarium Iron–Aluminium Borates Sm1−xBixFe3−yAly(BO3)4 (x = 0.05–0.07, y = 0–0.28) in the Temperature Range of 25–500 K
Abstract
1. Introduction
2. Materials and Methods
2.1. Crystal Growth
2.2. Elemental Analysis
2.3. Single Crystal X-ray Diffraction
3. Results and Discussion
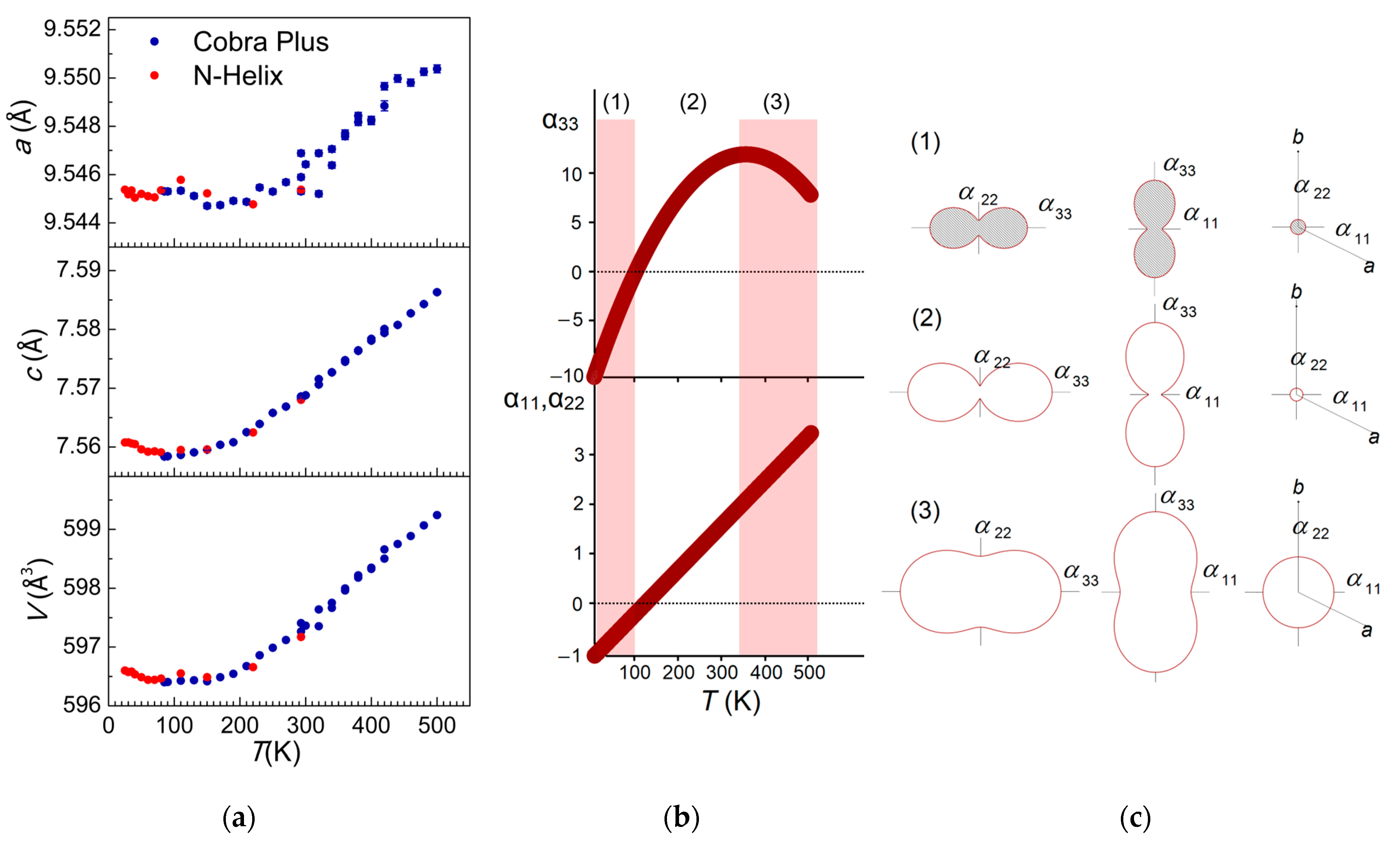
3.1. Temperature Dependencies of Unit-Cell Parameters
3.2. Crystal Structure of Sm1−xBixFe3−yAly(BO3)4 at Room Temperature
3.3. Crystal Structure of Sm0.93Bi0.07Fe2.72Al0.28(BO3)4 in the 25–293 K Temperature Range
3.4. Atomic Displacement Parameters
4. Conclusions
Supplementary Materials
Author Contributions
Funding
Data Availability Statement
Acknowledgments
Conflicts of Interest
Appendix A
References
- Kuz’micheva, G.; Kaurova, I.; Rybakov, V.; Podbel’skiy, V. Crystallochemical Design of Huntite-Family Compounds. Crystals 2019, 9, 100. [Google Scholar] [CrossRef]
- Kadomtseva, A.M.; Popov, Y.F.; Vorob’ev, G.P.; Pyatakov, A.P.; Krotov, S.S.; Kamilov, K.I.; Ivanov, V.Y.; Mukhin, A.A.; Zvezdin, A.K.; Kuz’menko, A.M.; et al. Magnetoelectric and Magnetoelastic Properties of Rare-Earth Ferroborates. Low Temp. Phys. 2010, 36, 511–521. [Google Scholar] [CrossRef]
- Vasiliev, A.N.; Popova, E.A. Rare-Earth Ferroborates RFe3(BO3)4. Low Temp. Phys. 2006, 32, 735–747. [Google Scholar] [CrossRef]
- Kuz’menko, A.M.; Mukhin, A.A.; Ivanov, V.Y.; Kadomtseva, A.M.; Bezmaternykh, L.N. Effects of the Interaction between R and Fe Modes of the Magnetic Resonance in RFe3(BO3)4 Rare-Earth Iron Borates. JETP Lett. 2011, 94, 294–300. [Google Scholar] [CrossRef]
- Kuzmenko, A.M.; Szaller, D.; Kain, T.; Dziom, V.; Weymann, L.; Shuvaev, A.; Pimenov, A.; Mukhin, A.A.; Ivanov, V.Y.; Gudim, I.A.; et al. Switching of Magnons by Electric and Magnetic Fields in Multiferroic Borates. Phys. Rev. Lett. 2018, 120, 027203. [Google Scholar] [CrossRef]
- Popova, M.N.; Boldyrev, K.N.; Klimin, S.A.; Stanislavchuk, T.N.; Sirenko, A.A.; Bezmaternykh, L.N. Spectral Signatures of Spin-Phonon and Electron-Phonon Interactions in Multiferroic Iron Borates. J. Magn. Magn. Mater. 2015, 383, 250–254. [Google Scholar] [CrossRef]
- Hinatsu, Y.; Doi, Y.; Ito, K.; Wakeshima, M.; Alemi, A. Magnetic and Calorimetric Studies on Rare-Earth Iron Borates LnFe3(BO3)4 (Ln = Y, La-Nd, Sm-Ho). J. Solid. State Chem. 2003, 172, 438–445. [Google Scholar] [CrossRef]
- Ritter, C.; Pankrats, A.; Gudim, I.; Vorotynov, A. Determination of the Magnetic Structure of SmFe3(BO3)4 by Neutron Diffraction: Comparison with Other RFe3(BO3)4 Iron Borates. J. Phys. Condens. Matter. 2012, 24, 386002. [Google Scholar] [CrossRef]
- Popov, Y.F.; Kadomtseva, A.M.; Vorob’ev, G.P.; Mukhin, A.A.; Ivanov, V.Y.; Kuz’menko, A.M.; Prokhorov, A.S.; Bezmaternykh, L.N.; Temerov, V.L. Observation of Spontaneous Spin Reorientation in Nd1−xDyxFe3(BO3)4 Ferroborates with a Competitive R-Fe Exchange. JETP Lett. 2009, 89, 345–351. [Google Scholar] [CrossRef]
- Liang, K.-C.; Chaudhury, R.P.; Lorenz, B.; Sun, Y.Y.; Bezmaternykh, L.N.; Temerov, V.L.; Chu, C.W. Giant Magnetoelectric Effect in HoAl3(BO3)4. Phys. Rev. B 2011, 83, 180417. [Google Scholar] [CrossRef]
- Liang, K.-C.; Chaudhury, R.P.; Lorenz, B.; Sun, Y.Y.; Bezmaternykh, L.N.; Gudim, I.A.; Temerov, V.L.; Chu, C.W. Magnetoelectricity in the System RAl3(BO3)4 (R = Tb, Ho, Er, Tm). J. Phys. Conf. Ser. 2012, 400, 032046. [Google Scholar] [CrossRef]
- Sváb, E.; Beregi, E.; Fábián, M.; Mészáros, G. Neutron Diffraction Structure Study of Er and Yb Doped YAl3(BO3)4. Opt. Mater. 2012, 34, 1473–1476. [Google Scholar] [CrossRef]
- Kadomtseva, A.M.; Kuvardin, A.V.; Pyatakov, A.P.; Zvezdin, A.K.; Vorob’ev, G.P.; Popov, Y.F.; Bezmaternykh, L.N. Magnetic Magnetoelectric and Magnetoelastic Properties of New Multiferroic Material NdFe3(BO3)4. arXiv 2006, arXiv:cond-mat/0607217v1. [Google Scholar] [CrossRef]
- Klimin, S.A.; Fausti, D.; Meetsma, A.; Bezmaternykh, L.N.; Van Loosdrecht, P.H.M.; Palstra, T.T.M. Evidence for Differentiation in the Iron-Helicoidal Chain in GdFe3(BO3)4. Acta Crystallogr. B 2005, 61, 481–485. [Google Scholar] [CrossRef] [PubMed]
- Alekseeva, O.A.; Smirnova, E.S.; Frolov, K.V.; Lyubutina, M.V.; Lyubutin, I.S.; Gudim, I.A. Crystal Structure Dynamics of RFe3(BO3)4 Single Crystals in the Temperature Range 25–500 K. Crystals 2022, 12, 1203. [Google Scholar] [CrossRef]
- Zvezdin, A.K.; Krotov, S.S.; Kadomtseva, A.M.; Vorob’ev, G.P.; Popov, Y.F.; Pyatakov, A.P.; Bezmaternykh, L.N.; Popova, E.A. Magnetoelectric Effects in Gadolinium Iron Borate GdFe3(BO3)4. J. Exp. Theor. Phys. Lett. 2005, 81, 272–276. [Google Scholar] [CrossRef]
- Frolov, K.V.; Lyubutin, I.S.; Smirnova, E.S.; Alekseeva, O.A.; Verin, I.A.; Artemov, V.V.; Kharlamova, S.A.; Bezmaternykh, L.N.; Gudim, I.A. Low-Temperature Structural and Magnetic Phase Transitions in Multiferroic GdFe3(BO3)4. J. Alloys Compd. 2016, 671, 545–551. [Google Scholar] [CrossRef]
- Ritter, C.; Balaev, A.; Vorotynov, A.; Petrakovskii, G.; Velikanov, D.; Temerov, V.; Gudim, I. Magnetic Structure, Magnetic Interactions and Metamagnetism in Terbium Iron Borate TbFe3(BO3)4: A Neutron Diffraction and Magnetization Study. J. Phys. Condens. Matter 2007, 19, 196227. [Google Scholar] [CrossRef]
- Ritter, C.; Vorotynov, A.; Pankrats, A.; Petrakovskii, G.; Temerov, V.; Gudim, I.; Szymczak, R. Magnetic Structure in Iron Borates RFe3(BO3)4 (R = Y,Ho): A Neutron Diffraction and Magnetization Study. J. Phys. Condens. Matter 2008, 20, 365209. [Google Scholar] [CrossRef]
- Kadomtseva, A.M.; Vorob’ev, G.P.; Popov, Y.F.; Pyatakov, A.P.; Mukhin, A.A.; Ivanov, V.Y.; Zvezdin, A.K.; Gudim, I.A.; Temerov, V.L.; Bezmaternykh, L.N. Magnetoelectric and Magnetoelastic Properties of Easy-Plane Ferroborates with a Small Ionic Radius. J. Exp. Theor. Phys. 2012, 114, 810–817. [Google Scholar] [CrossRef]
- Oreshonkov, A.S.; Shestakov, N.P.; Molokeev, M.S.; Aleksandrovsky, A.S.; Gudim, I.A.; Temerov, V.L.; Adichtchev, S.V.; Pugachev, A.M.; Nemtsev, I.V.; Pogoreltsev, E.I.; et al. Monoclinic SmAl3(BO3)4: Synthesis, Structural and Spectroscopic Properties. Acta Crystallogr. B Struct. Sci. Cryst. Eng. Mater. 2020, 76, 654–660. [Google Scholar] [CrossRef] [PubMed]
- Dobretsova, E.A.; Borovikova, E.Y.; Boldyrev, K.N.; Kurazhkovskaya, V.S.; Leonyuk, N.I. IR Spectroscopy of Rare-Earth Aluminum Borates RAl3(BO3)4 (R = Y, Pr-Yb). Opt. Spectrosc. 2014, 116, 77–83. [Google Scholar] [CrossRef]
- Plachinda, P.A.; Belokoneva, E.L. High Temperature Synthesis and Crystal Structure of New Representatives of the Huntite Family. Cryst. Res. Technol. 2008, 43, 157–165. [Google Scholar] [CrossRef]
- Dobretsova, E.A.; Boldyrev, K.N.; Popova, M.N.; Chernyshev, V.A.; Borovikova, E.Y.; Maltsev, V.V.; Leonyuk, N.I. Vibrational Spectroscopy of GdCr3(BO3)4: Quantitative Separation of Crystalline Phases. J. Phys. Conf. Ser. 2016, 737, 012035. [Google Scholar] [CrossRef]
- Leonyuk, N.I.; Maltsev, V.V.; Volkova, E.A.; Koporulina, E.V.; Kuleshov, N.V.; Kisel, V.E.; Gorbachenya, K.N. Ytterbium and Erbium Co-Doped Rare-Earth Aluminum Borate Crystals as New Materials for Eye-Safe Lasers: Flux Growth and Characterization. In Handbook of Ecomaterials; Springer International Publishing: Cham, Switzerland, 2019; pp. 2491–2536. [Google Scholar]
- Leonyuk, N.I.; Leonyuk, L.I. Growth and Characterization of RM3(BO3)4 Crystals. Prog. Cryst. Growth Charact. Mater. 1995, 31, 179–278. [Google Scholar] [CrossRef]
- Boldyrev, K.N.; Popova, M.N.; Bettinelli, M.; Temerov, V.L.; Gudim, I.A.; Bezmaternykh, L.N.; Loiseau, P.; Aka, G.; Leonyuk, N.I. Quality of the Rare Earth Aluminum Borate Crystals for Laser Applications, Probed by High-Resolution Spectroscopy of the Yb3+ Ion. Opt. Mater. 2012, 34, 1885–1889. [Google Scholar] [CrossRef]
- Gudim, I.A.; Eremin, E.V.; Temerov, V.L. Flux Growth and Spin Reorientation in Trigonal Nd1−xDyxFe3(BO3)4 Single Crystals. J. Cryst. Growth 2010, 312, 2427–2430. [Google Scholar] [CrossRef]
- Eremin, E.; Gudim, I.; Temerov, V.; Smolyakov, D.; Molokeev, M. Comparing the Magnetic and Magnetoelectric Properties of the SmFe3(BO3)4 Ferroborate Single Crystals Grown Using Different Solvents. J. Cryst. Growth 2019, 518, 1–4. [Google Scholar] [CrossRef]
- Bezmaternykh, L.N.; Temerov, V.L.; Gudim, I.A.; Stolbovaya, N.A. Crystallization of Trigonal (Tb,Er)(Fe,Ga)3(BO3)4 Phases with Hantite Structure in Bismuth Trimolybdate-Based Fluxes. Crystallogr. Rep. 2005, 50, S97–S99. [Google Scholar] [CrossRef]
- Bezmaternykh, L.N.; Kharlamova, S.A.; Temerov, V.L. Flux Crystallization of Trigonal GdFe3(BO3)4 Competing with the Crystallization of α-Fe2O3. Crystallogr. Rep. 2004, 49, 855–857. [Google Scholar] [CrossRef]
- Smirnova, E.S.; Alekseeva, O.A.; Dudka, A.P.; Sorokin, T.A.; Khmelenin, D.N.; Yapaskurt, V.O.; Lyubutina, M.V.; Frolov, K.V.; Lyubutin, I.S.; Gudim, I.A. Crystal Structure, Absolute Configuration and Characteristic Temperatures of SmFe3(BO3)4 in the Temperature Range 11–400 K. Acta Crystallogr. B Struct. Sci. Cryst. Eng. Mater. 2022, 78, 546–556. [Google Scholar] [CrossRef] [PubMed]
- Maltsev, V.V.; Volkova, E.A.; Mitina, D.D.; Leonyuk, N.I.; Kozlov, A.B.; Shestakov, A.V. Growth and Thermophysical Properties of RAl3(BO3)4 (R = Y, Nd, Gd, Lu) and RMgB5O10 (R = Y, La, Gd) Crystals. Inorg. Mater. 2020, 56, 612–625. [Google Scholar] [CrossRef]
- Leonyuk, N.I.; Maltsev, V.V.; Volkova, E.A.; Pilipenko, O.V.; Koporulina, E.V.; Kisel, V.E.; Tolstik, N.A.; Kurilchik, S.V.; Kuleshov, N.V. Crystal Growth and Laser Properties of New RAl3(BO3)4 (R = Yb,Er) Crystals. Opt. Mater. 2007, 30, 161–163. [Google Scholar] [CrossRef]
- Mukhin, A.A.; Vorob’ev, G.P.; Ivanov, V.Y.; Kadomtseva, A.M.; Narizhnaya, A.S.; Kuz’menko, A.M.; Popov, Y.F.; Bezmaternykh, L.N.; Gudim, I.A. Colossal Magnetodielectric Effect in SmFe3(BO3)4 Multiferroic. JETP Lett. 2011, 93, 275–281. [Google Scholar] [CrossRef]
- Trukhanov, A.V.; Kostishyn, V.G.; Panina, L.V.; Korovushkin, V.V.; Turchenko, V.A.; Thakur, P.; Thakur, A.; Yang, Y.; Vinnik, D.A.; Yakovenko, E.S.; et al. Control of Electromagnetic Properties in Substituted M-Type Hexagonal Ferrites. J. Alloys Compd. 2018, 754, 247–256. [Google Scholar] [CrossRef]
- Snegirev, N.I.; Bogach, A.V.; Lyubutin, I.S.; Chuev, M.A.; Yagupov, S.V.; Mogilenec, Y.A.; Selezneva, K.A.; Strugatsky, M.B. The Evolution of the Magnetic Properties of Iron Borate Single Crystals Doped with Gallium. Phys. Met. Metallogr. 2023, 124, 133–137. [Google Scholar] [CrossRef]
- Kumar, A.; Sharma, P.; Kumar, S.; Singh, A.; Kundu, R.S.; Punia, R. Effect of Diamagnetic Ion Substitution on Structural and Magnetic Properties of Nd3+ Modified Solid Solutions. Integr. Ferroelectr. 2019, 203, 176–182. [Google Scholar] [CrossRef]
- Jahan, N.; Khandaker, J.I.; Liba, S.I.; Hoque, S.M.; Khan, M.N.I. Structural Analysis through Cations Distributions of Diamagnetic Al3+ Ions Substituted Ni-Zn-Co Ferrites. J. Alloys Compd. 2021, 869, 159226. [Google Scholar] [CrossRef]
- Smirnova, E.S.; Alekseeva, O.A.; Dudka, A.P.; Verin, I.A.; Artemov, V.V.; Lyubutina, M.V.; Gudim, I.A.; Frolov, K.V.; Lyubutin, I.S. Crystal Structure of Bismuth-Containing NdFe3(BO3)4 in the Temperature Range 20–500 K. Acta Crystallogr. B Struct. Sci. Cryst. Eng. Mater. 2022, 78, 1–13. [Google Scholar] [CrossRef]
- CrysAlisPro Software System; Rigaku Corporation: Wroclaw, Poland. Available online: http://www.rigaku.com (accessed on 14 July 2023).
- Petříček, V.; Dušek, M.; Palatinus, L. Crystallographic Computing System JANA2006: General Features. Z. Krist. Cryst. Mater. 2014, 229, 345–352. [Google Scholar] [CrossRef]
- Shannon, R.D. Revised Effective Ionic Radii and Systematic Studies of Interatomie Distances in Halides and Chaleogenides; Wiley Online Library: Hoboken, NJ, USA, 1976; Volume 32. [Google Scholar]
- Atomistic Simulation Group in the Materials Department of Imperial College Database of Ionic Radii. Available online: http://abulafia.mt.ic.ac.uk/shannon/ptable.php (accessed on 21 June 2023).
- Watkin, D.J.; Cooper, R.I. Howard Flack and the Flack Parameter. Chemistry 2020, 2, 796–804. [Google Scholar] [CrossRef]
- Becker, P.J.; Coppens, P. Extinction within the Limit of Validity of the Darwin Transfer Equations. I. General Formalism for Primary and Secondary Extinction and Their Applications to Spherical Crystals. Acta Crystallogr. Sect. A 1974, 30, 129–147. [Google Scholar] [CrossRef]
- Becker, P.J.; Coppens, P. Extinction within the Limit of Validity of the Darwin Transfer Equations. II. Refinement of Extinction in Spherical Crystals of SrF 2 and LiF. Acta Crystallogr. Sect. A 1974, 30, 148–153. [Google Scholar] [CrossRef]
- Bubnova, R.S.; Firsova, V.A.; Filatov, S.K. Software for Determining the Thermal Expansion Tensor and the Graphic Representation of Its Characteristic Surface (Theta to Tensor-TTT). Glass Phys. Chem. 2013, 39, 347–350. [Google Scholar] [CrossRef]
- Dudka, A.P.; Bolotina, N.B.; Khrykina, O.N. DebyeFit: A Simple Tool to Obtain an Appropriate Model of Atomic Vibrations in Solids from Atomic Displacement Parameters Obtained at Different Temperatures. J. Appl. Crystallogr. 2019, 52, 690–692. [Google Scholar] [CrossRef]
- Momma, K.; Ikeda, T.; Belik, A.A.; Izumi, F. Dysnomia, a Computer Program for Maximum-Entropy Method (MEM) Analysis and Its Performance in the MEM-Based Pattern Fitting. Powder Diffr. 2013, 28, 184–193. [Google Scholar] [CrossRef]
- Stoiber, D.; Niewa, R.; Kristallogr, Z. Available online: https://www.iac.uni-stuttgart.de/en/research/akniewa/downloads/ (accessed on 14 July 2023).
- Campá, J.A.; Cascales, C.; Gutiérrez-Puebla, E.; Monge, M.A.; Rasines, I.; Ruíz-Valero, C. Crystal Structure, Magnetic Order, and Vibrational Behavior in Iron Rare-Earth Borates. Chem. Mater. 1997, 9, 237–240. [Google Scholar] [CrossRef]
- Massa, W.; Gould, R.O. Crystal Structure Determination; SpringerLink: Berlin/Heidelberg, Germany, 2004. [Google Scholar]
- Poray-Koshits, M.A. Fundamentals of Structural Analysis of Chemical Compounds; HSE Publishing House: Moscow, Russia, 1982. (In Russian) [Google Scholar]
- Belokoneva, E.L.; Al’shinskaya, L.I.; Simonov, M.A.; Leonyuk, N.I.; Timchenko, T.I.; Belov, N.V. Crystal Structure of NdGa3[BO3]4. J. Struct. Chem. 1978, 19, 332–334. [Google Scholar] [CrossRef]
- Eremin, E.V.; Pavlovskiy, M.S.; Gudim, I.A.; Temerov, V.; Molokeev, M.; Andryushin, N.D.; Bogdanov, E.V. Synthesis of NdSc3(BO3)4 Single Crystals and Study of Its Structure Properties. J. Alloys Compd. 2020, 828, 154355. [Google Scholar] [CrossRef]
- Chong, S.; Riley, B.J.; Nelson, Z.J.; Perry, S.N. Crystal Structures and Comparisons of Huntite Aluminum Borates RE Al3(BO3)4 (RE = Tb, Dy and Ho). Acta Crystallogr. E Crystallogr. Commun. 2020, 76, 339–343. [Google Scholar] [CrossRef]
- Bolotina, N.; Khrykina, O.; Azarevich, A.; Gavrilkin, S.; Sluchanko, N. Fine Details of Crystal Structure and Atomic Vibrations in YbB12 with a Metal–Insulator Transition. Acta Crystallogr. B Struct. Sci. Cryst. Eng. Mater. 2020, 76, 1117–1127. [Google Scholar] [CrossRef] [PubMed]
- Inosov, D.S. Rare-Earth Borides; Jenny Stanford Publishing: New York, NY, USA, 2021; ISBN 9781003146483. [Google Scholar]











| y | n | p | r | Тsat, °С | dTsat/dn, °C/Mass.% | ∆Тmet, °С |
|---|---|---|---|---|---|---|
| 0 | 20 | 2 | 0.6 | 977 | ~5 | ≈12 |
| 0.05 | 19.8 | 2 | 0.6 | 955 | ~5.5 | |
| 0.1 | 20.1 | 2 | 0.6 | 960 | ~5 | |
| 0.15 | 20.2 | 2 | 0.6 | 956 | ~6 | |
| 0.2 | 23 | 2.1 | 0 | 959 | ~8 |
| Chemical Formula | Sm0.95Bi0.05Fe3(BO3)4 | Sm0.93Bi0.07Fe2.93Al0.07(BO3)4 | Sm0.95Bi0.05Fe2.83Al0.17(BO3)4 | Sm0.95Bi0.05Fe2.75Al0.25(BO3)4 | Sm0.93Bi0.07Fe2.72Al0.28(BO3)4 |
|---|---|---|---|---|---|
| CSD | 2,271,136 | 2,271,135 | 2,271,124 | 2,271,134 | 2,271,125 |
| Crystal shape and colour | ![]() | ![]() | ![]() | ![]() | ![]() |
| Crystal data | |||||
| Mr | 556.1 | 555.2 | 551.2 | 548.8 | 549.2 |
| a, c (Å) | 9.5650 (1), 7.5869 (1) | 9.5595 (1), 7.5816 (1) | 9.5534 (1), 7.5767 (1) | 9.5435 (1), 7.5628 (1) | 9.5329 (1), 7.5553 (1) |
| V (Å3) | 601.13 (1) | 600.02 (1) | 598.86 (1) | 596.53 (1) | 594.61 (1) |
| Dx (Mg m−3) | 4.608 | 4.610 | 4.585 | 4.583 | 4.601 |
| µ (mm−1) | 13.35 | 13.56 | 13.13 | 13.05 | 13.34 |
| Crystal radius (mm) | 0.14 | 0.12 | 0.17 | 0.15 | 0.15 |
| No. of measured/ independent/ observed [I > 3σ(I)] reflections | 20,702/2773/2773 | 20,709/ 2697/2696 | 20,631/2744/2744 | 20,549/2670/2670 | 20,486/2744/2743 |
| Rint | 0.027 | 0.027 | 0.034 | 0.029 | 0.028 |
| (sin θ/λ)max (Å−1) | 1.355 | 1.355 | 1.356 | 1.356 | 1.355 |
| Refinement | |||||
| R[F2 > 2σ(F2)], wR(F2), S | 0.011, 0.015, 1.01 | 0.012, 0.015, 1.01 | 0.012, 0.017, 1.02 | 0.012, 0.016, 1.00 | 0.011, 0.016, 1.03 |
| Δρmax, Δρmin (e Å−3) | 0.84, −0.88 | 0.79, −0.90 | 1.49, −0.54 | 1.15, −0.51 | 0.70, −0.86 |
| Absolute structure parameter | 0.480 (4) | 0.900 (4) | 0.779 (5) | 0.993 (4) | 0.475 (4) |
| Crystal Data | |||||
|---|---|---|---|---|---|
| Temperature (K) | 25 | 40 | 80 | 110 | 293 |
| CSD | 2,271,133 | 2,271,137 | 2,271,128 | 2,271,139 | 2,271,129 |
| a, c (Å) | 9.5430 (1), 7.5634 (1) | 9.5438 (1), 7.5616 (1) | 9.5444 (1), 7.5601 (1) | 9.5450 (1), 7.5598 (1) | 9.5452 (1), 7.5680 (1) |
| V (Å3) | 596.51 (1) | 596.47 (1) | 596.42 (1) | 596.48 (1) | 597.15 (1) |
| Dx (Mg m−3) | 4.586 | 4.586 | 4.587 | 4.586 | 4.581 |
| µ (mm−1) | 13.29 | 13.29 | 13.30 | 13.29 | 13.28 |
| No. of measured/ independent/ observed [I > 3σ(I)] reflections | 74,155/ 2822/ 2820 | 74,207/ 2824/ 2823 | 74,222/ 2823/ 2820 | 74,140/ 2824/ 2818 | 73,951/ 2825/ 2750 |
| Rint | 0.085 | 0.072 | 0.076 | 0.077 | 0.098 |
| (sin θ/λ)max (Å−1) | 1.362 | 1.363 | 1.363 | 1.363 | 1.362 |
| Refinement | |||||
| R[F2 > 2σ(F2)], wR(F2), S | 0.016, 0.038, 1.01 | 0.015, 0.033, 1.02 | 0.015, 0.034, 1.02 | 0.016, 0.038, 1.00 | 0.022, 0.046, 1.00 |
| Δρmax, Δρmin (e Å−3) | 1.86, −1.63 | 0.96, −1.10 | 1.06, −1.53 | 0.94, −1.34 | 1.13, −0.76 |
| Absolute structure parameter | 0.041 (5) | 0.032 (5) | 0.030 (5) | 0.035 (5) | 0.044 (7) |
| Coefficient α | 25 | 50 | 100 | 120 | 140 | 293 | 400 | 500 |
|---|---|---|---|---|---|---|---|---|
| α11(=α22, αa, αb) | −0.9 (2) | −0.7 (2) | −0.20 (12) | 0.0 (1) | 0.2 (1) | 1.55 (6) | 2.53 (12) | 3.4 (2) |
| α33(=αс) | −8.2 (5) | −5.2 (4) | 0.0 (2) | 1.82 (13) | 3.48 (11) | 11.23 (14) | 11.5 (2) | 7.8 (6) |
| μa1 = ∠α11,a (°) | 30 | 30 | 30 | 30 | 30 | 30 | 30 | 30 |
| αV | −10 (1) | −7 (1) | −0.4 (3) | 1.82 (13) | 3.8 (2) | 14.3 (2) | 16.5 (3) | 15 (1) |
| TE, K | TD, K | ΔTDE | <u2>zero Å2 | <u2>shift Å2 | R, % | |
|---|---|---|---|---|---|---|
| (Sm,Bi) | 118 (1) | 205 (1) | 87 | 0.001333 | 0.00143 (2) | 0.95 |
| 0.001148 | 0.00148 (2) | 0.73 | ||||
| (Fe,Al) | 245 (2) | 436 (2) | 191 | 0.001865 | 0.00075 (3) | 1.32 |
| 0.001572 | 0.00094 (2) | 0.75 | ||||
| O1 | 385 (7) | 708 (9) | 323 | 0.003214 | 0.00052 (11) | 2.63 |
| 0.003331 | 0.00111 (7) | 1.46 | ||||
| O2 | 300 (6) | 540 (6) | 240 | 0.005047 | 0.0015 (2) | 2.97 |
| 0.004208 | 0.00210 (10) | 1.62 | ||||
| O3 | 342 (5) | 622 (5) | 280 | 0.004429 | 0.00032 (12) | 2.69 |
| 0.003656 | 0.00092 (6) | 1.2 | ||||
| B1 | 518 (21) | 983 (34) | 465 | 0.004336 | −0.0002 (2) | 4.03 |
| 0.003423 | 0.0006 (2) | 3.09 | ||||
| B2 | 461 (13) | 861 (16) | 400 | 0.004869 | −0.0006 (2) | 3.94 |
| 0.003908 | 0.0003 (1) | 2.27 |
Disclaimer/Publisher’s Note: The statements, opinions and data contained in all publications are solely those of the individual author(s) and contributor(s) and not of MDPI and/or the editor(s). MDPI and/or the editor(s) disclaim responsibility for any injury to people or property resulting from any ideas, methods, instructions or products referred to in the content. |
© 2023 by the authors. Licensee MDPI, Basel, Switzerland. This article is an open access article distributed under the terms and conditions of the Creative Commons Attribution (CC BY) license (https://creativecommons.org/licenses/by/4.0/).
Share and Cite
Smirnova, E.S.; Alekseeva, O.A.; Artemov, V.V.; Sorokin, T.A.; Khmelenin, D.N.; Sidorova, E.V.; Frolov, K.V.; Gudim, I.A. Crystal Structure of Bismuth-Containing Samarium Iron–Aluminium Borates Sm1−xBixFe3−yAly(BO3)4 (x = 0.05–0.07, y = 0–0.28) in the Temperature Range of 25–500 K. Crystals 2023, 13, 1128. https://doi.org/10.3390/cryst13071128
Smirnova ES, Alekseeva OA, Artemov VV, Sorokin TA, Khmelenin DN, Sidorova EV, Frolov KV, Gudim IA. Crystal Structure of Bismuth-Containing Samarium Iron–Aluminium Borates Sm1−xBixFe3−yAly(BO3)4 (x = 0.05–0.07, y = 0–0.28) in the Temperature Range of 25–500 K. Crystals. 2023; 13(7):1128. https://doi.org/10.3390/cryst13071128
Chicago/Turabian StyleSmirnova, Ekaterina S., Olga A. Alekseeva, Vladimir V. Artemov, Timofei A. Sorokin, Dmitry N. Khmelenin, Ekaterina V. Sidorova, Kirill V. Frolov, and Irina A. Gudim. 2023. "Crystal Structure of Bismuth-Containing Samarium Iron–Aluminium Borates Sm1−xBixFe3−yAly(BO3)4 (x = 0.05–0.07, y = 0–0.28) in the Temperature Range of 25–500 K" Crystals 13, no. 7: 1128. https://doi.org/10.3390/cryst13071128
APA StyleSmirnova, E. S., Alekseeva, O. A., Artemov, V. V., Sorokin, T. A., Khmelenin, D. N., Sidorova, E. V., Frolov, K. V., & Gudim, I. A. (2023). Crystal Structure of Bismuth-Containing Samarium Iron–Aluminium Borates Sm1−xBixFe3−yAly(BO3)4 (x = 0.05–0.07, y = 0–0.28) in the Temperature Range of 25–500 K. Crystals, 13(7), 1128. https://doi.org/10.3390/cryst13071128






