The Effect of Reduction and Oxidation Processes on the Work Function of Metal Oxide Crystals: TiO2(110) and SrTiO3(001) Case
Abstract
1. Introduction
2. Materials and Methods
2.1. Experimental Techniques
2.2. KPFM Calibration
2.3. Experiments in the Effects of Sputtering
2.4. Experiments into the Effect of Annealing on the Sputtered Sample
2.5. Sputtering–Annealing Cycles
2.6. Oxidation
2.7. Oxygen Getter Influence
3. Results and Discussion
3.1. The Effect of Ar Ion Sputtering on the Work Function of TiO2(110) Surface
3.2. Effect of Annealing on the Work Function of the Ar-Sputtered TiO2(110) Surface
3.3. Effect of Sputtering and Annealing on the Work Function of the TiO2(110) Surface
3.4. Effect of Oxygen Exposure on the Work Function of TiO2(110)
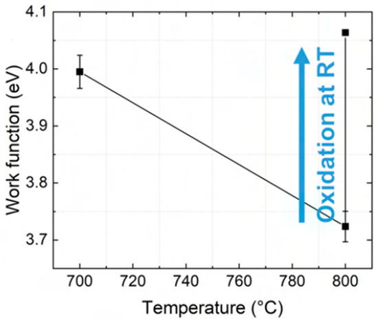
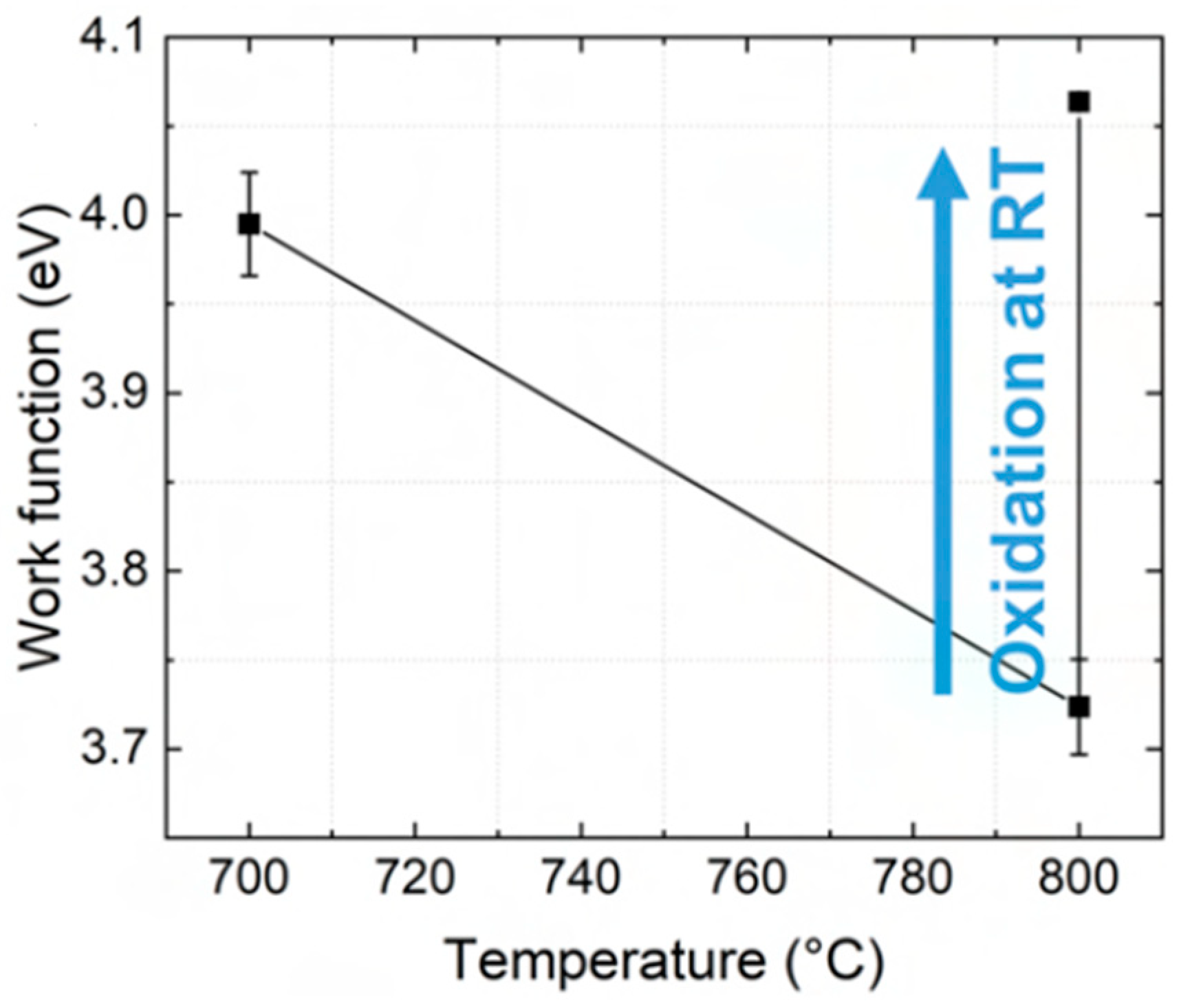
3.5. Effect of Oxygen-Gaining Presence on the Work Function of SrTiO3(001)
4. Conclusions
Funding
Data Availability Statement
Acknowledgments
Conflicts of Interest
References
- Almora, O.; Gerling, L.G.; Voz, C.; Alcubilla, R.; Puigdollers, J.; Garcia-Belmonte, G. Superior performance of V2O5 as hole selective contact over other transition metal oxides in silicon heterojunction solar cells. Sol. Energy Mater. Sol. Cells 2017, 168, 221–226. [Google Scholar] [CrossRef]
- Neophytou, M.; De Bastiani, M.; Gasparini, N.; Aydin, E.; Ugur, E.; Seitkhan, A.; Moruzzi, F.; Choaie, Y.; Ramadan, A.J.; Troughton, J.R.; et al. Enhancing the Charge Extraction and Stability of Perovskite Solar Cells Using Strontium Titanate (SrTiO3) Electron Transport Layer. ACS Appl. Energy Mater. 2019, 2, 8090–8097. [Google Scholar] [CrossRef]
- Mahmoudi, T.; Wang, Y.; Hahn, Y. SrTiO3/Al2O3-Graphene Electron Transport Layer for Highly Stable and Efficient Composites-Based Perovskite Solar Cells with 20.6% Efficiency. Adv. Energy Mater. 2019, 10, 1903369. [Google Scholar] [CrossRef]
- Haidry, A.A.; Ebach-Stahl, A.; Saruhan, B. Effect of Pt/TiO2 interface on room temperature hydrogen sensing performance of memristor type Pt/TiO2/Pt structure. Sens. Actuators B Chem. 2017, 253, 1043–1054. [Google Scholar] [CrossRef]
- Znad, H.; Ang, M.H.; Tade, M.O. Ta/Ti- and Nb/Ti-Mixed Oxides as Efficient Solar Photocatalysts: Preparation, Characterization, and Photocatalytic Activity. Int. J. Photoenergy 2012, 2012, 548158. [Google Scholar] [CrossRef]
- Fujishima, A.; Rao, T.N.; Tryk, D.A. Titanium dioxide photocatalysis. J. Photochem. Photobiol. C Photochem. Rev. 2000, 1, 39–41. [Google Scholar] [CrossRef]
- Townsend, T.K.; Browning, N.D.; Osterloh, F.E. Nanoscale Strontium Titanate Photocatalysts for Overall Water Splitting. ACS Nano 2012, 6, 7420–7426. [Google Scholar] [CrossRef] [PubMed]
- Miyoshi, A.; Nishioka, S.; Maeda, K. Water Splitting on Rutile TiO2-Based Photocatalysts. Chem.—A Eur. J. 2018, 24, 18204–18219. [Google Scholar] [CrossRef] [PubMed]
- Simanjuntak, F.M.; Ohno, T.; Chandrasekaran, S.; Tseng, T.-Y.; Samukawa, S. Neutral oxygen irradiation enhanced forming-less ZnO-based transparent analog memristor devices for neuromorphic computing applications. Nanotechnology 2020, 31, 26LT01. [Google Scholar] [CrossRef]
- Li, Y.; Wang, Z.; Midya, R.; Xia, Q.; Yang, J.J. Review of memristor devices in neuromorphic computing: Materials sciences and device challenges. J. Phys. D Appl. Phys. 2018, 51, 503002. [Google Scholar] [CrossRef]
- Wrana, D.; Rodenbücher, C.; Bełza, W.; Szot, K.; Krok, F. In situ study of redox processes on the surface of SrTiO3 single crystals. Appl. Surf. Sci. 2018, 432, 46–52. [Google Scholar] [CrossRef]
- Göpel, W.; Anderson, J.; Frankel, D.; Jaehnig, M.; Phillips, K.; Schäfer, J.; Rocker, G. Surface defects of TiO2(110): A combined XPS, XAES AND ELS study. Surf. Sci. 1984, 139, 333–346. [Google Scholar] [CrossRef]
- Rodenbücher, C.; Meuffels, P.; Bihlmayer, G.; Speier, W.; Du, H.; Schwedt, A.; Breuer, U.; Jia, C.-L.; Mayer, J.; Waser, R.; et al. Electrically controlled transformation of memristive titanates into mesoporous titanium oxides via incongruent sublimation. Sci. Rep. 2018, 8, 3774. [Google Scholar] [CrossRef] [PubMed]
- Smith, D.J.; McCartney, M.; Bursill, L. The electron-beam-induced reduction of transition metal oxide surfaces to metallic lower oxides. Ultramicroscopy 1987, 23, 299–303. [Google Scholar] [CrossRef]
- Andronic, L.; Enesca, A. Black TiO2 Synthesis by Chemical Reduction Methods for Photocatalysis Applications. Front. Chem. 2020, 8, 565489. [Google Scholar] [CrossRef]
- Bowker, M.; Bennett, R.A. The role of Ti3+ interstitials in TiO2(110) reduction and oxidation. J. Phys. Condens. Matter 2010, 22, 059801. [Google Scholar] [CrossRef]
- Rogala, M.; Bihlmayer, G.; Dabrowski, P.; Rodenbücher, C.; Wrana, D.; Krok, F.; Klusek, Z.; Szot, K. Self-reduction of the native TiO2(110) surface during cooling after thermal annealing—In-operando investigations. Sci. Rep. 2019, 9, 12563. [Google Scholar] [CrossRef]
- Bak, T.; Nowotny, J.; Nowotny, M.K.; Sheppard, L.R. Defect engineering of titanium dioxide. J. Aust. Ceram. Soc. 2008, 44, 63–67. [Google Scholar]
- Jany, B.; Szajna, K.; Nikiel, M.; Wrana, D.; Trynkiewicz, E.; Pedrys, R.; Krok, F. Energy dependence of nanopillars formation on InSb semiconductor surfaces under gallium FIB and noble gas ions beam irradiation. Appl. Surf. Sci. 2015, 327, 86–92. [Google Scholar] [CrossRef]
- Serruys, Y.; Ruault, M.-O.; Trocellier, P.; Henry, S.; Kaïtasov, O.; Trouslard, P. Multiple ion beam irradiation and implantation: JANNUS project. Nucl. Instrum. Methods Phys. Res. Sect. B Beam Interact. Mater. Atoms 2005, 240, 124–127. [Google Scholar] [CrossRef]
- Rogala, M.; Klusek, Z.; Rodenbücher, C.; Waser, R.; Szot, K. Quasi-two-dimensional conducting layer on TiO2(110) introduced by sputtering as a template for resistive switching. Appl. Phys. Lett. 2013, 102, 131604. [Google Scholar] [CrossRef]
- Pabón, B.; Beltrán, J.; Sánchez-Santolino, G.; Palacio, I.; López-Sánchez, J.; Rubio-Zuazo, J.; Rojo, J.; Ferrer, P.; Mascaraque, A.; Muñoz, M.; et al. Formation of titanium monoxide (001) single-crystalline thin film induced by ion bombardment of titanium dioxide (110). Nat. Commun. 2015, 6, 6147. [Google Scholar] [CrossRef] [PubMed]
- Lusvardi, V.; Barteau, M.; Chen, J.; Eng, J.; Frühberger, B.; Teplyakov, A. An NEXAFS investigation of the reduction and reoxidation of TiO2(001). Surf. Sci. 1998, 397, 237–250. [Google Scholar] [CrossRef]
- Bennett, R.A. The re-oxidation of the substoichiometric TiO2(110) surface in the presence of crystallographic shear planes. PhysChemComm 2000, 3, 9–14. [Google Scholar] [CrossRef]
- Kashiwaya, S.; Morasch, J.; Streibel, V.; Toupance, T.; Jaegermann, W.; Klein, A. The Work Function of TiO2. Surfaces 2018, 1, 73–89. [Google Scholar] [CrossRef]
- Onishi, H.; Iwasawa, Y. Dynamic Visualization of a Metal-Oxide-Surface/Gas-Phase Reaction: Time-Resolved Observation by Scanning Tunneling Microscopy at 800 K. Phys. Rev. Lett. 1996, 76, 791–794. [Google Scholar] [CrossRef]
- Li, M.; Hebenstreit, W.; Gross, L.; Diebold, U.; Henderson, M.; Jennison, D.; Schultz, P.; Sears, M. Oxygen-induced restructuring of the TiO2(110) surface: A comprehensive study. Surf. Sci. 1999, 437, 173–190. [Google Scholar] [CrossRef]
- Gorai, P.; Hollister, A.G.; Pangan-Okimoto, K.; Seebauer, E.G. Kinetics of oxygen interstitial injection and lattice exchange in rutile TiO2. Appl. Phys. Lett. 2014, 104, 191602. [Google Scholar] [CrossRef]
- Schierbaum, K.; Fischer, S.; Torquemada, M.; de Segovia, J.; Román, E.; Martín-Gago, J. The interaction of Pt with TiO2(110) surfaces: A comparative XPS, UPS, ISS, and ESD study. Surf. Sci. 1996, 345, 261–273. [Google Scholar] [CrossRef]
- Lo, W.J.; Chung, Y.W.; Somorjai, G.A. Electron spectroscopy studies of the chemisorption of O2, H2 and H2O on the TiO2(l00) surfaces with varied stoichiometry: Evidence for the photogeneration of Ti3+ and for its importance in chemisorption. Surf. Sci. 1978, 71, 199–219. [Google Scholar]
- Borodin, A.; Reichling, M. Characterizing TiO2(110) surface states by their work function. Phys. Chem. Chem. Phys. 2011, 13, 15442–15447. [Google Scholar] [CrossRef] [PubMed]
- Onishi, H.; Aruga, T.; Egawa, C.; Iwasawa, Y. Adsorption of CH3OH, HCOOH and SO2 on TiO2(110) and stepped TiO2(441) surfaces. Surf. Sci. 1988, 193, 33–46. [Google Scholar] [CrossRef]
- Onda, K.; Li, B.; Petek, H. Two-photon photoemission spectroscopy of TiO2(110) surfaces modified by defects and O2 or H2O adsorbates. Phys. Rev. B 2004, 70, 045415. [Google Scholar] [CrossRef]
- Imanishi, A.; Tsuji, E.; Nakato, Y. Dependence of the Work Function of TiO2 (Rutile) on Crystal Faces, Studied by a Scanning Auger Microprobe. J. Phys. Chem. C 2007, 111, 2128–2132. [Google Scholar] [CrossRef]
- Schultz, T.; Lenz, T.; Kotadiya, N.; Heimel, G.; Glasser, G.; Berger, R.; Blom, P.W.M.; Amsalem, P.; de Leeuw, D.M.; Koch, N. Reliable Work Function Determination of Multicomponent Surfaces and Interfaces: The Role of Electrostatic Potentials in Ultraviolet Photoelectron Spectroscopy. Adv. Mater. Interfaces 2017, 4, 1700324. [Google Scholar] [CrossRef]
- Kowalczyk, D.A.; Rogala, M.; Szałowski, K.; Belić, D.; Dąbrowski, P.; Krukowski, P.; Lutsyk, I.; Piskorski, M.; Nadolska, A.; Krempiński, P.; et al. Two-Dimensional Crystals as a Buffer Layer for High Work Function Applications: The Case of Monolayer MoO3. ACS Appl. Mater. Interfaces 2022, 14, 44506–44515. [Google Scholar] [CrossRef]
- Lira, E.; Hansen, J.; Huo, P.; Bechstein, R.; Galliker, P.; Lægsgaard, E.; Hammer, B.; Wendt, S.; Besenbacher, F. Dissociative and molecular oxygen chemisorption channels on reduced rutile TiO2(110): An STM and TPD study. Surf. Sci. 2010, 604, 1945–1960. [Google Scholar] [CrossRef]
- Wendt, S.; Sprunger, P.T.; Lira, E.; Madsen, G.K.H.; Li, Z.; Hansen, J.; Matthiesen, J.; Blekinge-Rasmussen, A.; Lægsgaard, E.; Hammer, B.; et al. The Role of Interstitial Sites in the Ti3d Defect State in the Band Gap of Titania. Science 2008, 320, 1755–1759. [Google Scholar] [CrossRef]
- Thomas, A.G.; Flavell, W.R.; Mallick, A.K.; Kumarasinghe, A.R.; Tsoutsou, D.; Khan, N.; Chatwin, C.; Rayner, S.; Smith, G.C.; Stockbauer, R.L.; et al. Comparison of the electronic structure of anatase and rutile TiO2 single-crystal surfaces using resonant photoemission and x-ray absorption spectroscopy. Phys. Rev. B 2007, 75, 035105. [Google Scholar] [CrossRef]
- Setvín, M.; Daniel, B.; Mansfeldova, V.; Kavan, L.; Scheiber, P.; Fidler, M.; Schmid, M.; Diebold, U. Surface preparation of TiO2 anatase (101): Pitfalls and how to avoid them. Surf. Sci. 2014, 626, 61–67. [Google Scholar] [CrossRef]
- Zhang, L.; Li, M.; Diebold, U. Characterization of Ca impurity segregation on the TiO2(110) surface. Surf. Sci. 1998, 412–413, 242–251. [Google Scholar] [CrossRef]
- Samoylov, A.M.; Popov, V.N. Titanium Dioxide (TiO2) and Its Applications; Elsevier: Amsterdam, The Netherlands, 2021. [Google Scholar] [CrossRef]
- Möls, K.; Aarik, L.; Mändar, H.; Kasikov, A.; Niilisk, A.; Rammula, R.; Aarik, J. Influence of phase composition on optical properties of TiO2: Dependence of refractive index and band gap on formation of TiO2-II phase in thin films. Opt. Mater. 2019, 96, 109335. [Google Scholar] [CrossRef]
- Cao, S.; Chan, T.-S.; Lu, Y.-R.; Shi, X.; Fu, B.; Wu, Z.; Li, H.; Liu, K.; Alzuabi, S.; Cheng, P.; et al. Photocatalytic pure water splitting with high efficiency and value by Pt/porous brookite TiO2 nanoflutes. Nano Energy 2020, 67, 104287. [Google Scholar] [CrossRef]
- Misawa, K.; Sekine, Y.; Kusukubo, Y.; Sohara, K. Photocatalytic degradation of atmospheric fine particulate matter (PM2.5) collected on TiO2 supporting quartz fibre filter. Environ. Technol. 2018, 41, 1266–1274. [Google Scholar] [CrossRef] [PubMed]
- Haider, A.J.; Jameel, Z.N.; Al-Hussaini, I.H. Review on: Titanium Dioxide Applications. Energy Procedia 2019, 157, 17–29. [Google Scholar] [CrossRef]
- Nassau, K.; Miller, A. Strontium titanate: An index to the literature on properties and the growth of single crystals. J. Cryst. Growth 1988, 91, 373–381. [Google Scholar] [CrossRef]
- Szot, K.; Speier, W.; Bihlmayer, G.; Waser, R. Switching the electrical resistance of individual dislocations in single-crystalline SrTiO3. Nat. Mater. 2006, 5, 312–320. [Google Scholar] [CrossRef]
- Yang, H.; Yan, F.; Lin, Y.; Wang, T. Novel Strontium Titanate-Based Lead-Free Ceramics for High-Energy Storage Applications. ACS Sustain. Chem. Eng. 2017, 5, 10215–10222. [Google Scholar] [CrossRef]
- Pervez, N.K.; Hansen, P.J.; York, R.A. High tunability barium strontium titanate thin films for rf circuit applications. Appl. Phys. Lett. 2004, 85, 4451. [Google Scholar] [CrossRef]
- Shibuya, K.; Ohnishi, T.; Kawasaki, M.; Koinuma, H.; Lippmaa, M.L.M. Metallic LaTiO3/SrTiO3 Superlattice Films on the SrTiO3(100) Surface. Jpn. J. Appl. Phys. 2004, 43, L1178. [Google Scholar] [CrossRef]
- Singh, R.K.; Narayan, J.; Singh, A.K.; Krishnaswamy, J. In situ processing of epitaxial Y-Ba-Cu-O high Tc superconducting films on (100) SrTiO3 and (100) YS-ZrO2 substrates at 500–650 °C. Appl. Phys. Lett. 1989, 54, 2271–2273. [Google Scholar] [CrossRef]
- Aschauer, U.; Spaldin, N.A. Competition and cooperation between antiferrodistortive and ferroelectric instabilities in the model perovskite SrTiO3. J. Phys. Condens. Matter 2014, 26, 122203. [Google Scholar] [CrossRef]
- Merkle, R.; Maier, J. How Is Oxygen Incorporated into Oxides? A Comprehensive Kinetic Study of a Simple Solid-State Reaction with SrTiO3as a Model Material. Angew. Chem. Int. Ed. 2008, 47, 3874–3894. [Google Scholar] [CrossRef]
- Szot, K.; Rodenbücher, C.; Bihlmayer, G.; Speier, W.; Ishikawa, R.; Shibata, N.; Ikuhara, Y. Influence of Dislocations in Transition Metal Oxides on Selected Physical and Chemical Properties. Crystals 2018, 8, 241. [Google Scholar] [CrossRef]
- Mansfeldova, V.; Zlamalova, M.; Tarabkova, H.; Janda, P.; Vorokhta, M.; Piliai, L.; Kavan, L. Work Function of TiO2 (Anatase, Rutile, and Brookite) Single Crystals: Effects of the Environment. J. Phys. Chem. C 2021, 125, 1902–1912. [Google Scholar] [CrossRef]
- Krok, F.; Kolodziej, J.; Such, B.; Czuba, P.; Struski, P.; Piatkowski, P.; Szymonski, M. Dynamic force microscopy and Kelvin probe force microscopy of KBr film on InSb(001) surface at submonolayer coverage. Surf. Sci. 2004, 566–568, 63–67. [Google Scholar] [CrossRef]
- Hashimoto, S.; Tanaka, A. Alteration of Ti 2p XPS spectrum for titanium oxide by low-energy Ar ion bombardment. Surf. Interface Anal. 2002, 34, 262–265. [Google Scholar] [CrossRef]
- Cieślik, K.; Wrana, D.; Szajna, K.; Bełza, W.; Rogala, M.; Rodenbücher, C.; Dąbczyński, P.; Szot, K.; Krok, F. Tuning the electronic properties of a clean TiO2(1 1 0) surface via repeated sputtering and annealing: A KPFM and LC-AFM study. Appl. Surf. Sci. 2021, 571, 151303. [Google Scholar] [CrossRef]
- Setvin, M.; Hulva, J.; Parkinson, G.S.; Schmid, M.; Diebold, U. Electron transfer between anatase TiO 2 and an O 2 molecule directly observed by atomic force microscopy. Proc. Natl. Acad. Sci. USA 2017, 114, E2556–E2562. [Google Scholar] [CrossRef] [PubMed]
- Humphrey, D.S.; Pang, C.L.; Chen, Q.; Thornton, G. Electron induced nanoscale engineering of rutile TiO2 surfaces. Nanotechnology 2018, 30, 025303. [Google Scholar] [CrossRef] [PubMed]
- Du, Y.; Deskins, N.A.; Zhang, Z.; Dohnalek, Z.; Dupuis, M.; Lyubinetsky, I. Formation of O adatom pairs and charge transfer upon O2 dissociation on reduced TiO2(110). Phys. Chem. Chem. Phys. 2010, 12, 6337–6344. [Google Scholar] [CrossRef]
- Katsube, D.; Ojima, S.; Inami, E.; Abe, M. Atomic-resolution imaging of rutile TiO2(110)-(1 × 2) reconstructed surface by non-contact atomic force microscopy. Beilstein J. Nanotechnol. 2020, 11, 443–449. [Google Scholar] [CrossRef] [PubMed]
- Petrik, N.G.; Kimmel, G.A. Electron- and Hole-Mediated Reactions in UV-Irradiated O2 Adsorbed on Reduced Rutile TiO2(110). J. Phys. Chem. C 2010, 115, 152–164. [Google Scholar] [CrossRef]
- Yim, C.M.; Pang, C.L.; Thornton, G. Oxygen Vacancy Origin of the Surface Band-Gap State of TiO2(110). Phys. Rev. Lett. 2010, 104, 036806. [Google Scholar] [CrossRef]
- Kim, Y.K.; Hwang, C.-C. Photoemission study on the adsorption of ethanol on clean and oxidized rutile TiO2(110)-1×1 surfaces. Surf. Sci. 2011, 605, 2082–2086. [Google Scholar] [CrossRef]
- Sohn, S.-D.; Kim, S.H.; Kwak, S.K.; Shin, H.-J. Defect-associated adsorption of monoethanolamine on TiO2(1 1 0): An alternative way to control the work function of oxide electrode. Appl. Surf. Sci. 2018, 467–468, 1213–1218. [Google Scholar] [CrossRef]
- Zhou, C.; Ma, Z.; Ren, Z.; Mao, X.; Dai, D.; Yang, X. Effect of defects on photocatalytic dissociation of methanol on TiO2(110). Chem. Sci. 2011, 2, 1980–1983. [Google Scholar] [CrossRef]
- Wu, Z.; Xiong, F.; Wang, Z.; Huang, W. Thermal-, photo- and electron-induced reactivity of hydrogen species on rutile TiO2(110) surface: Role of oxygen vacancy. Chin. Chem. Lett. 2018, 29, 752–756. [Google Scholar] [CrossRef]
- Dohnálek, Z.; Kim, J.; Bondarchuk, O.; White, J.M.; Kay, B.D. Physisorption of N2, O2, and CO on Fully Oxidized TiO2(110). J. Phys. Chem. B 2006, 110, 6229–6235. [Google Scholar] [CrossRef]
- Wendt, S.; Schaub, R.; Matthiesen, J.; Vestergaard, E.; Wahlström, E.; Rasmussen, M.; Thostrup, P.; Molina, L.; Lægsgaard, E.; Stensgaard, I.; et al. Oxygen vacancies on TiO2(110) and their interaction with H2O and O2: A combined high-resolution STM and DFT study. Surf. Sci. 2005, 598, 226–245. [Google Scholar] [CrossRef]
- Schaub, R.; Thostrup, P.; Lopez, N.; Lægsgaard, E.; Stensgaard, I.; Nørskov, J.K.; Besenbacher, F. Oxygen Vacancies as Active Sites for Water Dissociation on RutileTiO2(110). Phys. Rev. Lett. 2001, 87, 266104. [Google Scholar] [CrossRef] [PubMed]
- Rodenbücher, C.; Wrana, D.; Meuffels, P.; Rogala, M.; Krok, F.; Szot, K. Electrical nanopatterning of TiO2 single crystal surfaces in situ via local resistance and potential switching. APL Mater. 2018, 6, 066105. [Google Scholar] [CrossRef]
- Rodenbücher, C.; Meuffels, P.; Speier, W.; Ermrich, M.; Wrana, D.; Krok, F.; Szot, K. Stability and Decomposition of Perovskite-Type Titanates upon High-Temperature Reduction. Phys. Status Solidi (RRL)–Rapid Res. Lett. 2017, 11, 1700222. [Google Scholar] [CrossRef]
- Wrana, D.; Rodenbücher, C.; Jany, B.R.; Kryshtal, O.; Cempura, G.; Kruk, A.; Indyka, P.; Szot, K.; Krok, F. A bottom-up process of self-formation of highly conductive titanium oxide (TiO) nanowires on reduced SrTiO3. Nanoscale 2018, 11, 89–97. [Google Scholar] [CrossRef] [PubMed]
- Silly, F.; Newell, D.T.; Castell, M.R. SrTiO3(001) reconstructions: The (2×2) to c(4×4) transition. Surf. Sci. 2006, 600, 219–223. [Google Scholar] [CrossRef]
- Kubo, T.; Nozoye, H. Surface structure of SrTiO3(100). Surf. Sci. 2003, 542, 177–191. [Google Scholar] [CrossRef]
- Radovic, M.; Lampis, N.; Granozio, F.M.; Perna, P.; Ristic, Z.; Salluzzo, M.; Schlepütz, C.M.; di Uccio, U.S. Growth and characterization of stable SrO-terminated SrTiO3 surfaces. Appl. Phys. Lett. 2009, 94, 022901. [Google Scholar] [CrossRef]
- Kienzle, D.M.; Becerra-Toledo, A.E.; Marks, L.D. Vacant-Site Octahedral Tilings on SrTiO3(001), the (sqrt13 × sqrt13)R33.7°Surface, and Related Structures. Phys. Rev. Lett. 2011, 106, 176102. [Google Scholar] [CrossRef]
- González, M.S.M.; Aguirre, M.H.; Morán, E.; Alario-Franco, M.; Perez-Dieste, V.; Avila, J.; Asensio, M.C. In situ reduction of (100) SrTiO3. Solid State Sci. 2000, 2, 519–524. [Google Scholar] [CrossRef]
- Maus-Friedrichs, W.; Frerichs, M.; Gunhold, A.; Krischok, S.; Kempter, V.; Bihlmayer, G. The characterization of SrTiO3(001) with MIES, UPS(HeI) and first-principles calculations. Surf. Sci. 2002, 515, 499–506. [Google Scholar] [CrossRef]
- Susaki, T.; Makishima, A.; Hosono, H. Work function engineering via LaAlO3/SrTiO3 polar interfaces. Phys. Rev. B 2011, 84, 115456. [Google Scholar] [CrossRef]
- Ma, T.; Jacobs, R.; Booske, J.; Morgan, D. Understanding the interplay of surface structure and work function in oxides: A case study on SrTiO3. APL Mater. 2020, 8, 071110. [Google Scholar] [CrossRef]
- Wrana, D.; Cieślik, K.; Belza, W.; Rodenbücher, C.; Szot, K.; Krok, F. Kelvin probe force microscopy work function characterization of transition metal oxide crystals under ongoing reduction and oxidation. Beilstein J. Nanotechnol. 2019, 10, 1596–1607. [Google Scholar] [CrossRef] [PubMed]













Disclaimer/Publisher’s Note: The statements, opinions and data contained in all publications are solely those of the individual author(s) and contributor(s) and not of MDPI and/or the editor(s). MDPI and/or the editor(s) disclaim responsibility for any injury to people or property resulting from any ideas, methods, instructions or products referred to in the content. |
© 2023 by the authors. Licensee MDPI, Basel, Switzerland. This article is an open access article distributed under the terms and conditions of the Creative Commons Attribution (CC BY) license (https://creativecommons.org/licenses/by/4.0/).
Share and Cite
Cieślik, K.; Wrana, D.; Rogala, M.; Rodenbücher, C.; Szot, K.; Krok, F. The Effect of Reduction and Oxidation Processes on the Work Function of Metal Oxide Crystals: TiO2(110) and SrTiO3(001) Case. Crystals 2023, 13, 1052. https://doi.org/10.3390/cryst13071052
Cieślik K, Wrana D, Rogala M, Rodenbücher C, Szot K, Krok F. The Effect of Reduction and Oxidation Processes on the Work Function of Metal Oxide Crystals: TiO2(110) and SrTiO3(001) Case. Crystals. 2023; 13(7):1052. https://doi.org/10.3390/cryst13071052
Chicago/Turabian StyleCieślik, Karol, Dominik Wrana, Maciej Rogala, Christian Rodenbücher, Krzysztof Szot, and Franciszek Krok. 2023. "The Effect of Reduction and Oxidation Processes on the Work Function of Metal Oxide Crystals: TiO2(110) and SrTiO3(001) Case" Crystals 13, no. 7: 1052. https://doi.org/10.3390/cryst13071052
APA StyleCieślik, K., Wrana, D., Rogala, M., Rodenbücher, C., Szot, K., & Krok, F. (2023). The Effect of Reduction and Oxidation Processes on the Work Function of Metal Oxide Crystals: TiO2(110) and SrTiO3(001) Case. Crystals, 13(7), 1052. https://doi.org/10.3390/cryst13071052

