Effects of NH4SCN Additive in the FAPbI3 Perovskite Films in a Sequential Deposition Method
Abstract
1. Introduction
2. Materials and Methods
2.1. Materials and Synthesis Process of FAPbI Perovskite
2.2. Characterization
3. Results and Discussion
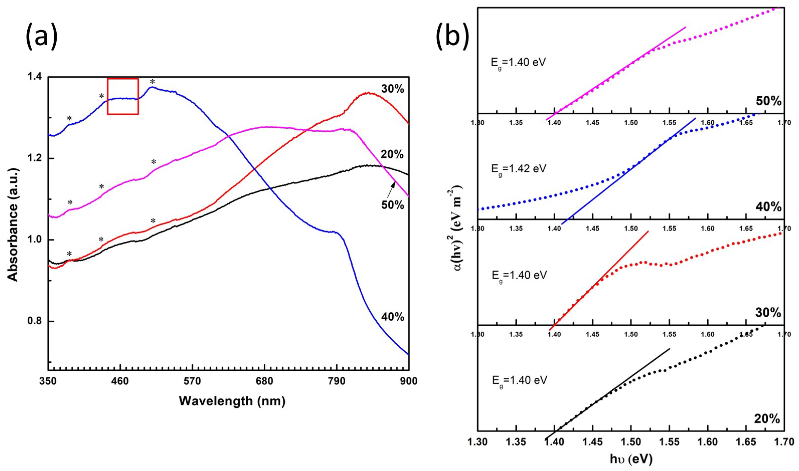
3.1. FAPbI Films
3.2. Intermediate Layer
3.3. Stability of Perovskite Films
4. Conclusions
Supplementary Materials
Author Contributions
Funding
Data Availability Statement
Acknowledgments
Conflicts of Interest
Abbreviations
| NHSCN | Ammonium Thiocyanate |
| PBI | Lead (II) Iodide |
| FAPbI | Formamidinium Lead Halide |
| I | Iodine |
| SCN | Thiocyanate |
| HOIP | Hybrid Organic-Inorganic Perovskite |
| PCE | Power Conversion Efficiency |
| MAPbI | Methylammonium Lead Halide |
| FAI | Formamidinium Iodide |
| NH | Ammonium |
| DMF | Dimethylformamide |
| r.p.m. | Revolution Per Minute |
| IPA | Isopropanol |
| UV-VIS-NIR | Ultraviolet Visible Near Infrared |
| SEM | Scanning Electron Microscope |
| XRD | X Ray Difraction |
| FWHM | Full Width at Half Maximum |
| E | Bandgap |
| Pb(SCN) | Lead (II) Thiocyanate |
| EDS | Energy Dispersive Espectroscopy |
| MAI | Methylammonium Iodide |
References
- Brenner, T.M.; Egger, D.A.; Kronik, L.; Hodes, G.; Cahen, D. Hybrid organic-inorganic perovskites: Low-cost semiconductors with intriguing charge-transport properties. Nat. Rev. Mater. 2016, 1, 15007. [Google Scholar] [CrossRef]
- Wang, R.; Mujahid, M.; Duan, Y.; Wang, Z.K.; Xue, J.; Yang, Y. A Review of Perovskites Solar Cell Stability. Adv. Funct. Mater. 2019, 29, 1808843. [Google Scholar] [CrossRef]
- Ava, T.T.; Al Mamun, A.; Marsillac, S.; Namkoong, G. A Review: Thermal Stability of Methylammonium Lead Halide Based Perovskite Solar Cells. Appl. Sci. 2019, 9, 188. [Google Scholar] [CrossRef]
- Chen, Q.; Marco, N.D.; Song, T.B. Under the spotlight: The organic-inorganic hybrid halide perovskite for optoelectronic applications. Nano. Today 2015, 10, 355. [Google Scholar] [CrossRef]
- Conings, B.; Drijkoningen, J.; Gauquelin, N.; Babayigit, A.; D’Haen, J.; D’Olieslaeger, L.; Ethirajan, A.; Verbeeck, J.; Manca, J.; Mosconi, E.; et al. Intrinsic Thermal Instability of Methylammonium Lead Trihalide Perovskite. Adv. Energy Mater. 2015, 5, 1500477. [Google Scholar] [CrossRef]
- Li, Y.; Zhang, T.; Xu, F.; Wang, Y.; Li, G.; Yang, Y.; Zhao, Y. CH3NH3Cl Assisted Solvent Engineering for Highly Crystallized and Large Grain Size Mixed-Composition (FAPbI3)0.85(MAPbBr3)0.15 Perovskites. Crystals 2017, 7, 272. [Google Scholar] [CrossRef]
- Ummadisingu, A.; Grätzel, M. Revealing the detailed path of sequential deposition for metal halide perovskite formation. Sci. Adv. 2018, 4, e1701402. [Google Scholar] [CrossRef]
- Chen, H.; Chen, Y.; Zhang, T.; Liu, X.; Wang, X.; Zhao, Y. Advances to High-Performance Black-Phase FaPbI3 Perovskite for efficient and stable Photovoltaics. Small Struct. 2021, 2, 2000130–2000145. [Google Scholar] [CrossRef]
- Wang, J.F.; Zhu, L.; Zhao, B.G.; Zhao, Y.L.; Song, J.; Gu, X.Q.; Qiang, Y.H. Surface engineering of perovskite films for efficient solar cells. Sci. Rep. 2017, 7, 14478. [Google Scholar] [CrossRef]
- Lyu, M.; Park, N.G. Effect of Additives FA, MA, Cs, Rb, NH4, Cl, Br, I) in FAPbI3 on Photovoltaic Parameters of Perovskite Solar Cells. Solar RRL 2020, 4, 20000331. [Google Scholar] [CrossRef]
- Zhang, H.; Hou, M.; Xia, Y.; Wei, Q.; Wang, Z.; Cheng, Y.; Chen, Y.; Huang, W. Synergistic effect of anions and cations in additives for highly efficient and stable perovskite solar cells. J. Mater. Chem. 2018, 6, 9264–9270. [Google Scholar] [CrossRef]
- Tai, Q.; You, P.; Sang, H.; Liu, Z.; Hu, C.; Chan, H.L.; Yan, F. Efficient and stable perovskite solar cells prepared in ambient aire irrespective of the humidity. Nat. Commun. 2016, 7, 11105. [Google Scholar] [CrossRef]
- Lu, H.; Liu, Y.; Ahlawat, P.; Mishra, A.; Tress, W.R.; Eickemeyer, F.T.; Yang, Y.; Fu, F.; Wang, Z.; Avalos, C.E.; et al. Vapor-assisted deposition of highly efficient, stable black-phase FAPbI3 perovskite solar cells. Science 2020, 370, eabb8985. [Google Scholar] [CrossRef]
- Mozaffari, M.; Behjat, A.; Mirjalili, B.F. The effect of solution process control on the formation of the α-FAPbI3 perovskite: FAPbI3 versus MAPbI3 solar cells. Sol. Energy 2018, 174, 780–785. [Google Scholar] [CrossRef]
- Yang, S.; Liu, W.; Zuo, L.; Zhang, X.; Chen, J.; Li, C.Z.; Wu, G.; Chen, H. Thiocyanate Assisted Performance Enhancement for Formamidinium Based Planar Perovskite Solar Cells through Single One-step Solution Process. J. Mater. Chem. 2016, 4, 9430–9436. [Google Scholar] [CrossRef]
- Zhu, L.; Cao, H.; Xue, C.; Zhang, H.; Qin, M.; Wang, J.; Wen, K.; Fu, Z.; Jiang, T.; Xu, L.; et al. Unveiling he additivie-assisted oriented growth of perovskite crystallite for high performance light-emitting diodes. Nat. Commun. 2021, 12, 5081. [Google Scholar] [CrossRef]
- Imran, M.; Khan, N. Perovskite phase formation in formamidinium–methylammonium lead iodide bromide (FAPbI3)1−x(MAPbBr3)x materials and their morphological, optical and photovoltaic properties. Appl. Phys. 2019, 125, 575. [Google Scholar] [CrossRef]
- Rahimnejad, S.; Kovalenko, A.; Forés, S.M.; Aranda, C.; Guerrero, A. Coordination Chemistry Dictates the Structural Defects in Lead Halide Perovskites. ChemPhysChem 2016, 17, 2795–2798. [Google Scholar] [CrossRef]
- Zhang, Y.; Seulgi, K.; Lee, D.K.; Park, N. CH3NH3PbI3 and HC(NH2)2PbI3 Powders Synthesized from Low-Grade PbI2: Single Precursor for High-Efficiency Perovskite Solar Cells. ChemSusChem 2018, 11, 1813–1823. [Google Scholar] [CrossRef]
- Targhi, F.F.; Jalili, Y.S.; Kanjouri, F. MAPbI3 and FAPbI3 perovskites as solar cells: Case study on structural, electrical and optical properties. Results Phys. 2018, 10, 616–627. [Google Scholar] [CrossRef]
- Ma, F.; Li, J.; Li, W.; Lin, N.; Wang, L.; Qiao, J. Stable α/δ phase junction of formamidinium lead iodide perovskites for enhuanced near-infrared emission. Chem. Sci. 2017, 8, 800–805. [Google Scholar] [CrossRef] [PubMed]
- Yang, F.; Dong, L.; Jang, D.; Tam, K.C.; Zhang, K.; Li, N.; Guo, F.; Li, C.; Arrivé, C.; Bertrand, M.; et al. Fully Solution Processed Pure α-Phase Formamidinium Lead Iodide Perovskite Solar Cells for Scalable Production in Ambient Condition. Adv. Energy Mater. 2020, 10, 2001869. [Google Scholar] [CrossRef]
- Yu, Y.; Wang, C.; Grice, C.R.; Shrestha, N.; Chen, J.; Zhao, D.; Liao, W.; Cimaroli, A.J.; Roland, P.J.; Ellingson, R.J.; et al. Improving the Performance of Formamidinium and Cesium Lead Triiodide Perovskite Solar Cells using Lead Thiocyanate Additives. ChemSusChem 2016, 9, 3288–3297. [Google Scholar] [CrossRef] [PubMed]
- Lin, P.Y.; Loganathan, A.; Raifuku, I.; Li, M.H.; Chiu, Y.Y.; Chang, S.T.; Fakharuddin, A.; Lin, C.F.; Guo, T.F.; Schmidt-Mende, L.; et al. Pseudo-Halide Perovskite Solar Cells. Adv. Energy Mater. 2021, 11, 2100818. [Google Scholar] [CrossRef]
- Balaji, G.; Joshi, P.H.; Abbas, H.A.; Zhang, L.; Kottokkaran, R.; Samiee, M.; Noack, M.; Dalal, V.L. CH3NH3PbI3 from non-iodide lead salts for perovskite solar cells via the formation of PbI2. Phys. Chem. Chem. Phys. 2015, 17, 10369–10372. [Google Scholar] [CrossRef]
- Zhang, J.; Song, Y.; Dong, X.; Jiang, H.; Tang, J.; Li, H. Umbrella-like CdS single crystal: Exposed (002) facets and enhanced photocatalytic properties. J. Mater. Sci. 2020, 55, 11167–11176. [Google Scholar] [CrossRef]
- Dong, H.; Wu, Z.; Xi, J.; Xu, X.; Zuo, L.; Lei, T.; Zhao, X.; Zhang, L.; Hou, X.; Jen, A.K.Y. Pseudohalide-Induced Recrystallization Engineering for CH3NH3PbI3 Film and Its Application in Highly Efficient Inverted Planar Heterojunction Perovskite Solar Cells. Adv. Funct. Mater. 2018, 28, 1704836. [Google Scholar] [CrossRef]
- Cai, Y.; Wang, S.; Sun, M.; Li, X.; Xiao, Y. Mixed cations and mixed halide perovskite solar cell with lead thiocyanate additive for high efficiency and long-term moisture stability. Org. Electron. 2018, 53, 249–255. [Google Scholar] [CrossRef]
- Ke, W.; Xiao, C.; Wang, C.; Saparov, B.; Duan, H.S.; Zhao, D.; Xiao, Z.; Schulz, P.; Harvey, S.P.; Liao, W.; et al. Employing Lead Thiocyanate Additive to Reduce the Hysteresis and Boost the Fill Factor of Planar Perovskite Solar Cells. Adv. Mater. 2016, 28, 5214–5221. [Google Scholar] [CrossRef]
- Lou, Y.; Niu, Y.; Yang, D.; Xu, Q.; Hu, Y.; Shen, Y.; Ming, J.; Chen, J.; Zhang, L.; Zhao, Y. Rod-shaped thiocyanate-induced abnormal band gap broadening in SCN− doped CsPbBr3 perovskite nanocrystals. Nano Res. 2018, 11, 2715–2723. [Google Scholar] [CrossRef]
- Ahrl, S.T.; Björk, N.O.; Portanova, R.O. Metal halide and pseudohalide complexes in Dimethyl sulfoxide solution. VI. Enthalpy measurements on the Zinc(II) Chloride, Bromide, Iodide and Thiocyanate Systems. Acta Chem. Scand. 1976, 30a, 270–276. [Google Scholar] [CrossRef]
- Chen, Y.; Li, B.; Huang, W.; Gao, D.; Liang, Z. Efficient and reproducible CH3NH3PbI(3−x)(SCN)x perovskite based planar solar cells. Chem. Commun. 2015, 60, 11997–11999. [Google Scholar] [CrossRef]
- Park, B.W.; Kwon, H.W.; Lee, Y.; Lee, D.Y.; Kim, M.G.; Kim, G.; Kim, K.j.; Kim, Y.K.; Im, J.; Shin, T.J.; et al. Stabilization of formamidinium lead triiodide alpha-phase with isopropylammonium chloride for perovskite solar cells. Nat. Energy 2021, 6, 419–428. [Google Scholar] [CrossRef]
- Moreno-Romero, P.M.; Rodríguez-Castañeda, C.A.; Corpus-Mendoza, A.N.; Torres-Herrera, D.M.; Prias-Barragán, J.J.; Hu, H. Formation of a nanoporous PbI2 layer framework via 4-tBP additive to improve the performance and stability of two-step prepared hybrid perovskite solar cells under ambient conditions. Int. J. Energy Res. 2022, 46, 23133–23144. [Google Scholar] [CrossRef]
- Fu, Y.; Meng, F.; Rowley, M.B.; Thompson, B.J.; Shearer, M.J.; Ma, D.; Hamers, R.J.; Wright, J.C.; Jin, S. Solution Growth of Single Crystal Methylammonium Lead Halide Perovskite Nanostructures for Optoelectronic and Photovoltaic Applications. J. Am. Chem. Soc. 2015, 137, 5810–5818. [Google Scholar] [CrossRef]
- Jin, B.; Cao, J.; Yuan, R.; Cai, B.; Wu, C.; Zheng, X. Strain Relaxation for Perovskite Lattice Reconfiguration. Adv. Energy Sustain. Res. 2022, 4, 2200143. [Google Scholar] [CrossRef]
- D’Innocenzo, V.; Srimath Kandada, A.R.; De Bastiani, M.; Gandini, M.; Petrozza, A. Tuning the Light Emission Properties by Band Gap Engineering in Hybrid Lead Halide Perovskite. J. Am. Chem. Soc. 2014, 136, 17730–17733. [Google Scholar] [CrossRef]
- Yi, C.; Luo, J.; Meloni, S.; Boziki, A.; Ashari-Astani, N.; Grätzel, C.; Zakeeruddin, S.M.; Röthlisberger, U.; Grätzel, M. Entropic stabilization of mixed A-cation ABX3 metal halide perovskites for high performance perovskite solar cells. Energy Environ. Sci. 2016, 9, 656–662. [Google Scholar] [CrossRef]
- Raval, P.; Kennard, R.M.; Vasileiadou, E.S.; Dahlman, C.J.; Spanopoulos, I.; Chabinyc, M.L.; Kanatzidis, M.; Manjunatha Reddy, G.N. Understanding Instability in Formamidinium Lead Halide Perovskites: Kinetics of Transformative Reactions at Grain and Subgrain Boundaries. ACS Energy Lett. 2022, 7, 1534–1543. [Google Scholar] [CrossRef]






Disclaimer/Publisher’s Note: The statements, opinions and data contained in all publications are solely those of the individual author(s) and contributor(s) and not of MDPI and/or the editor(s). MDPI and/or the editor(s) disclaim responsibility for any injury to people or property resulting from any ideas, methods, instructions or products referred to in the content. |
© 2023 by the authors. Licensee MDPI, Basel, Switzerland. This article is an open access article distributed under the terms and conditions of the Creative Commons Attribution (CC BY) license (https://creativecommons.org/licenses/by/4.0/).
Share and Cite
Miró-Zárate, J.L.; Elías-Espinosa, M.C.; Cervantes-Sodi, F.; Diliegros-Godines, C.J. Effects of NH4SCN Additive in the FAPbI3 Perovskite Films in a Sequential Deposition Method. Crystals 2023, 13, 795. https://doi.org/10.3390/cryst13050795
Miró-Zárate JL, Elías-Espinosa MC, Cervantes-Sodi F, Diliegros-Godines CJ. Effects of NH4SCN Additive in the FAPbI3 Perovskite Films in a Sequential Deposition Method. Crystals. 2023; 13(5):795. https://doi.org/10.3390/cryst13050795
Chicago/Turabian StyleMiró-Zárate, Jorge Luis, Miltón Carlos Elías-Espinosa, Felipe Cervantes-Sodi, and Carolina Janani Diliegros-Godines. 2023. "Effects of NH4SCN Additive in the FAPbI3 Perovskite Films in a Sequential Deposition Method" Crystals 13, no. 5: 795. https://doi.org/10.3390/cryst13050795
APA StyleMiró-Zárate, J. L., Elías-Espinosa, M. C., Cervantes-Sodi, F., & Diliegros-Godines, C. J. (2023). Effects of NH4SCN Additive in the FAPbI3 Perovskite Films in a Sequential Deposition Method. Crystals, 13(5), 795. https://doi.org/10.3390/cryst13050795

