Abstract
The successful growth of single crystals of a cubic Laves-phase material HoAl2 with the space group Fd-3m is reported in this study. The crystals were grown by a floating-zone method with five laser diodes as a heat source. Al-rich feed rods were prepared as compensation for heavy evaporation during the growth. The nominal ratio for the feed rods was optimized as Ho:Al = 1:2.5. Single crystals of HoAl2 with a length of 50 mm were first grown in this technique. Obtaining the large-sized crystal by the floating-zone method enabled us to systematically explore the physical properties using the same batch crystal. The crystal possessed a second-ordered ferromagnetic transition at 29 K and a first-ordered spin-reorientation transition at 20 K. The bulk physical properties, such as specific heat, magnetic susceptibility, isothermal magnetization, and thermal expansion measurements, were measured. Additionally, a magnetocaloric effect was evaluated by the magnetic entropy change. We demonstrate that anisotropic physical properties along the principal axes ([100], [110], and [111]) emerged below the magnetically ordered states, in contrast to the isotropic behavior in the paramagnetic state.
1. Introduction
The magnetocaloric effect is a thermodynamic phenomenon of temperature change on a magnetic material controlled by an external magnetic field in adiabatic conditions [1,2]. Magnetic refrigeration is a promising application based on the magnetocaloric effect because of its potential for being environmentally friendly and highly efficient [3]. The material design exhibiting an efficient magnetocaloric effect has been a central key to the practical use of magnetic refrigeration. One of the efficiencies of the magnetocaloric effect can be assessed by the magnetic entropy change in the material, defined as the difference in entropy between the magnetized and demagnetized process. Ferromagnetic materials have usually been targeted because these materials should generally gain larger magnetic entropy change between the demagnetized (higher entropy) and magnetized (lower entropy) process near the transition temperature [4]. As the transition temperature widely varies from material to material, we can focus on the design of the material by demonstrating the excellent magnetocaloric effect at the focused temperature. Among the target temperature ranging from room temperature for air conditioners to extremely low temperatures, one of the focused temperatures is approximately 20 K which liquefies hydrogen as a next-generation clean-energy source [5,6].
Very recently, an active magnetic regenerative refrigerator combined with a superconducting magnet has been developed and succeeded in liquefying hydrogen [7]. This opens a new window to hydrogen liquefaction through the novel magnetic refrigeration technique in addition to the conventional gas compression/expansion technique. Here, HoAl2 was selected as a magnetic refrigerant among the materials because this material has a large magnetic entropy change around the temperature for hydrogen liquefaction.
HoAl2 has the cubic Laves-phase structure with the space group Fd-3m (No. 227) [8]. The crystal structure is illustrated in Figure 1. HoAl2 exhibits a ferromagnetic transition around 30 K as well as another spin-reorientation transition at 20 K [9]. For the above magnetic refrigeration, the HoAl2 polycrystalline material with a total weight of 250 g was filled inside the refrigerator as stamped particles with a diameter of 300–500 μm [7]. Additionally, a gas-atomization process was applied to make spherical polycrystalline particles with a diameter of 200–400 μm [10]. Producing many particles with homogeneous quality is one of the important factors for efficient liquefaction. Since the quality of the produced particles is directly linked to the liquefaction efficiency, it is useful to assess the variation in quality based on a “standard dataset” obtained from the reference material, preferably high-quality single crystals of HoAl2. In addition, the materials are exposed to both the cryogenic cycle and the application/removal of the magnetic fields during the liquefaction [7,11]. Since the crystalline material generally has anisotropic physical properties such as thermal contraction/expansion and magnetostriction, these may affect the sample durability under these extreme circumstances. Acquiring the anisotropic physical properties is an important task, and the investigation using a single crystal is in high demand.
Figure 1.
Crystal structure of a cubic Laves-phase material HoAl2 with the space group Fd-3m (No. 227).
Physical properties of the single-crystalline HoAl2 grown by the Czochralski and Bridgman methods have been presented both experimentally and theoretically [9,12,13,14,15,16]. However, to our knowledge, crystal growth with a floating-zone technique has not been reported. An advantage of the floating-zone method is minimized contamination level during the growth procedure due to the absence of the crucible, as well as the possibility to obtain large and homogeneous crystals [17]. These enable us to perform characterization by several experimental techniques using the same batch of grown crystals. In this paper, we first present the successful growth of HoAl2 crystals by the floating-zone technique with five laser diodes as the heat source [18,19]. Although we found that the procedure for the growth process of another intermetallic system NdAlGe [20] was partly applicable to the growth of HoAl2, we mention improved steps, such as the fabrication of Al-rich feed rods to compensate for the heavy evaporation during the growth of HoAl2. We show the thermodynamic physical properties such as specific heat, magnetic susceptibility, magnetization, and thermal expansion of the grown crystals. Throughout the measurements, the anisotropic physical properties are revealed in the ferromagnetic ordered state along the principal axes, in sharp contrast to the isotropic behavior in the paramagnetic state.
2. Materials and Methods
2.1. Growth by the Floating-Zone Technique
We employed a floating-zone technique using a laser diode as the heat source (L-FZ 2000, Quantum Design Japan, Tokyo, Japan) with five 400 W GaAs-based 940 nm laser heads for the growth of HoAl2 single crystals. Since the laser emission can be sharply focused, a steep temperature gradient can be created between the laser-heated narrower molten zone and the grown crystal. That provides a stable molten zone during crystal growth. Additionally, we optimized the distribution profile of the vertical irradiation intensity along the length of the rod, improving from a “flat” to a “bell-shaped” form, while the original flat temperature profile was kept along the radial direction of the rod (see Figure 2 of [19]). Such a modified profile reduces thermal stress inside the grown crystals. HoAl2 single crystals were grown using a laser-diode floating-zone furnace where five laser diodes provide the mentioned vertically bell-shaped distribution of temperature at the focal point.
2.2. Feed and Seed Rods Preparation
When we first attempted the crystal growth of HoAl2 using the feed rod with the nominal stoichiometric ratio Ho:Al = 1:2, the molten zone was stable during the growth process. However, we found high volatility from the feed rods, and the evaporated powder was deposited inside the quartz tube. The grown bulk crystal finally collapsed into powder when it was left in the air overnight. The collapsed powder was composed of Ho2O3, and HoN after probably absorbing the air, together with HoAl2 as the main phase by the X-ray diffraction measurements. Additionally, the evaporated powder was identified as aluminum. To grow the stoichiometric crystals, we made the Al-rich feed rods. The nominal ratio was finally optimized as Ho:Al = 1:2.5 to compensate for the Al evaporation during the growth. We denote the feed rod as HoAl2.5 hereafter. For making a feed rod, polycrystalline ingots of HoAl2.5 were first prepared using an arc-melting furnace under an Ar atmosphere (Techno Search Corp., Model SE-11399, Tokyo, Japan) with Ho (3N) and Al (5N) as starting materials. The ingot with a button shape was inverted and melted several times to ensure homogeneity. No weight loss by evaporation was detected at this stage. Next, the ingots with a typical weight of 15 g were powdered using an agate mortar and pestle. We shaped the powder into a cylindrical rod in a tubular rubber balloon and then applied hydrostatic pressure of 40 MPa for 5 min. The uniformly shaped rods removed from the balloon were sintered for 24 h at 1123 K in a tube furnace under flowing Ar gas at 3 L/min. Here, the Ar gas was circulated by using a yttria-stabilized zirconia-based oxygen pump heated at 873 K. The oxygen pump produced an extremely low oxygen partial pressure below 10−28 atm (Canon Machinery Inc., Model ULOCE-530, Shiga, Japan) [21]. Finally, the sintered rod with typically 5.5 mm diameter was cut into two unequal parts. The longer (shorter) parts 95 mm (30 mm) in length were designated as the feed (seed) rods. Based on the experience of working in ruthenates [22], great care was taken in all the preparation steps to prevent contamination risk.
2.3. Crystal Growth
The sintered feed rod (HoAl2.5) was attached to a platinum hock in the upper shaft with a molybdenum wire, and the seed rod was mounted on an alumina holder in the lower shaft. As the growth space was isolated from the outside environment by a quartz tube, the desired gas atmosphere and pressure were selected throughout the crystal growth. For the HoAl2 growth, a gas mixture of Ar (96%) and H2 (4%) was used for reduction. An additional thinner quartz tube of smaller diameter was installed inside the main tube to prevent damage to the outer tube by evaporating Al. The melting started from the bottom edge of the feed rod with increasing laser power. Then, the molten feed rod was attached to the upper end of the seed rod. The growth began with necking twice to ensure high crystallinity as a polycrystalline seed rod was used. The molten zone was stabilized at both feed and growth speeds of 5 mm/h after the second necking. The growth was performed at 0.3 MPa under a flow rate of 1 L/min to suppress the evaporation. To grow under homogenized molten liquid and temperature distribution, the feed and seed were rotated at 10 rpm in opposite directions. A stable molten zone was formed during the growth process until the end without cracks in the sintered feed rods prepared using the given procedure. After growth, the crystal was carefully removed from the furnace. The crystal grown using the HoAl2.5 rod was kept in bulk without collapsing to powder after the crystal was left in the air. We observed successful growth using a feed rod with the nominal ratio of Ho:Al = 1:2.2, and the crystal did not collapse under air. However, the grown crystal from the HoAl2.2 rod was still off-stoichiometry, suggesting Al deficiency, as described later.
2.4. Characterization
To check the phase purity, the ground single crystals were measured with powder X-ray diffraction using Cu Kα radiation at room temperature (MiniFlex600, Rigaku, Tokyo, Japan). The grown crystals were cut along the principle crystallographic axes ([100], [110], and [111] directions) by determining their orientations using a back-scattered X-ray Laue diffraction technique (SA-HF3S, Rigaku Co., Ltd., Tokyo, Japan, and s-Laue, Pulstec Industrial Co., Ltd., Shizuoka, Japan). The chemical composition of the grown crystals was analyzed using inductively coupled plasma optical emission spectrometry (ICP-OES).
Thermodynamically bulk physical properties of the grown crystals were measured down to 2 K using a Physical Property Measurement System (Dynacool, Quantum Design). The specific heat (CP) as a function of temperature (T) was performed by a relaxation method. The magnetic susceptibility between 2 and 300 K was measured in a magnetic field (H) of 0.01 T under both zero-field-cooled (ZFC) and field-cooled (FC) conditions. Here, the ZFC and FC refer to cooling conditions before and after applying a static magnetic field to the sample, respectively. The isothermal magnetization (M) at various temperatures was measured up to 9 T. The thermal expansion was performed by a capacitive-based method [23] with decreasing temperature at the control of 0.1 K/min. The magnetic entropy change (ΔSM) along the magnetic field directions of [100], [110], and [111] was deduced from the thermodynamic Maxwell relation, [4], which was obtained from the magnetization (M) measurement as a function of temperature measured up to 5 T under the FC process.
3. Results and Discussion
3.1. Growth of HoAl2 Crystals
A photograph of the HoAl2 crystal with a length of 50 mm grown under stable conditions is demonstrated in Figure 2a. The evaporated Al powder from the rod was deposited on the internal surface of the quartz tube and the shafts. No sign of the molten liquid dropping during the growth was spotted on the crystal surface, indicating stable temperature control. Figure 3 presents the powder X-ray diffraction profile of a partially crushed crystal. For comparison, an X-ray diffraction profile of HoAl2 from a database (PDF-2 03-065-7339 (ICDD, 2021)) [24] is added with red color. All peaks were sharp and well indexed to the Fd-3m space group without detecting impurity phases. The lattice parameters were deduced to be a = 0.7838 nm, which was consistent with the previous report [25]. The back-scattered Laue photos of the crystal along the axes [100], [110], and [111] after polishing are presented in Figure 2b–d, respectively, with sharp and clear spots from the bulk crystal. We can clearly see the four-, two-, and three-fold symmetry in the photos of [100], [110], and [111], respectively, reflecting the crystal symmetry of the cubic structure (Fd-3m). ICP-OES suggests the molar ratios of Ho:Al = 1.00:1.97, and 1.00:2.00 in the grown crystals for the HoAl2.2 and HoAl2.5 nominal compositions of the feed rods, respectively. Each ratio was identical to the different positions of the grown crystal within the experimental error, indicating the homogeneity of the grown crystal. This certifies that the stoichiometric crystal was grown from the HoAl2.5 feed rod where excess Al compensated for the evaporation, whereas the crystal grown from the HoAl2.2 feed rod still had Al deficiency. The possibility of Al embedding into the grown crystals when using off-stoichiometric (Al-rich) feed rods had to be verified following our experience in growing Ru-embedded Sr2RuO4 [26]. Any signals of quantum oscillatory effects originating from aluminum were not detected within the experimental resolution when the measured AC susceptibility of the grown material was at 30 mK. Since the AC susceptibility measurement using a field modulation technique [27] is a powerful tool that can detect the micrometer-size metal inclusions inside the bulk material, our results strongly suggest that there is no effect of Al embedding on the bulk physical properties of HoAl2. Hereafter, we show the bulk physical properties of the stoichiometric crystal HoAl2 (grown from the feed rod of HoAl2.5). Here, the thermodynamic physical properties in bulk were measured with dimensions of 2.0 mm and a weight of 47 mg after cutting and polishing along the principal axes ([100], [110], and [111]), as shown in Figure 2e. Appendix A shows the sample dependence between HoAl2 and HoAl1.97 found in the specific heat measurements.
Figure 2.
(a) A photograph of the grown HoAl2 crystal after the floating-zone method using five laser diodes as the heat source. The crystal was obtained after necking twice at the beginning of the growth. (b–d) Back-scattered Laue photos along the principal axes [100], [110], and [111], respectively. (e) A photograph of the HoAl2 crystal after cutting and polishing along the principal axes for the measurements of the thermodynamic physical properties used in this study.
Figure 3.
Powder X-ray diffraction pattern with indices of the partially crushed HoAl2 crystal using Cu Kα radiation at room temperature. For comparison, an X-ray diffraction profile of HoAl2 from a database (PDF-2 03-065-7339 (ICDD, 2021)) [24] is added with red color.
3.2. Bulk Thermodynamic Properties of the Grown Crystal
In Figure 4, the temperature dependence of the specific heat (CP) for the stoichiometric HoAl2 without field represents a clear lambda-type anomaly with a second-ordered transition temperature at 29 K defined by the midpoint of the jump. The transition corresponds well to the onset of the ferromagnetic transition at TC from the paramagnetic state. Another sharp transition was seen at 20 K (TSR), defined at the peak, which corresponds to a first-ordered spin-reorientation transition [9]. The results certify that the observed phase transitions occur in bulk. No other transitions from impurity phases were detected in our experimental resolution down to 2 K except for these two sharp ones. For comparison, the CP of Al-deficient HoAl1.97 crystal is shown in Appendix A (Figure A1). We can see that the TC of HoAl1.97 is lower than that of the stoichiometric HoAl2. On the other hand, TSR seems almost identical. It should be noted that we were careful about evaluating the specific heat value for the first-ordered transition when the relaxation method is applied.
Figure 4.
Temperature dependence of specific heat (CP) of HoAl2 crystal under zero field. Clear transitions with a second-ordered and a first-ordered feature are seen at TC = 29 K and TSR = 20 K, respectively.
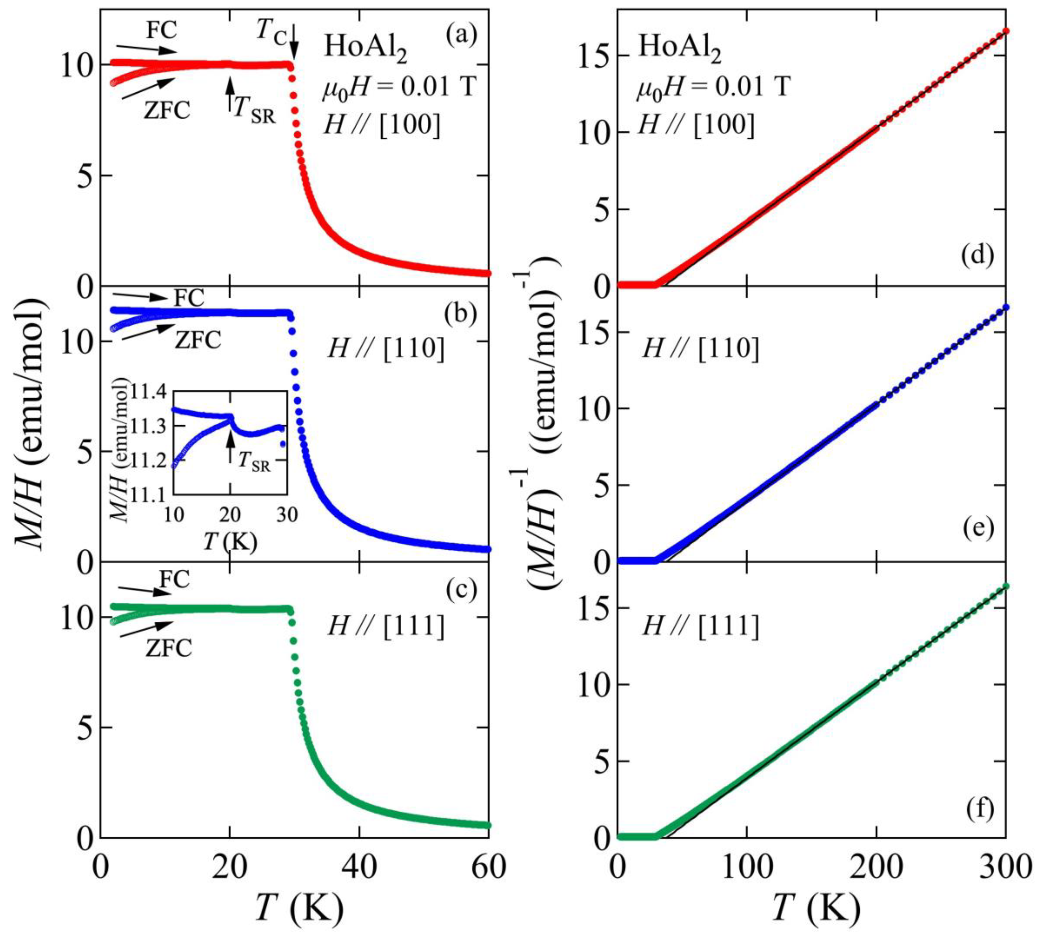
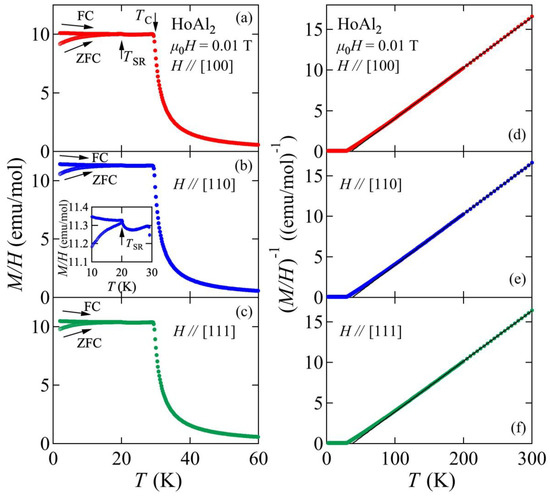
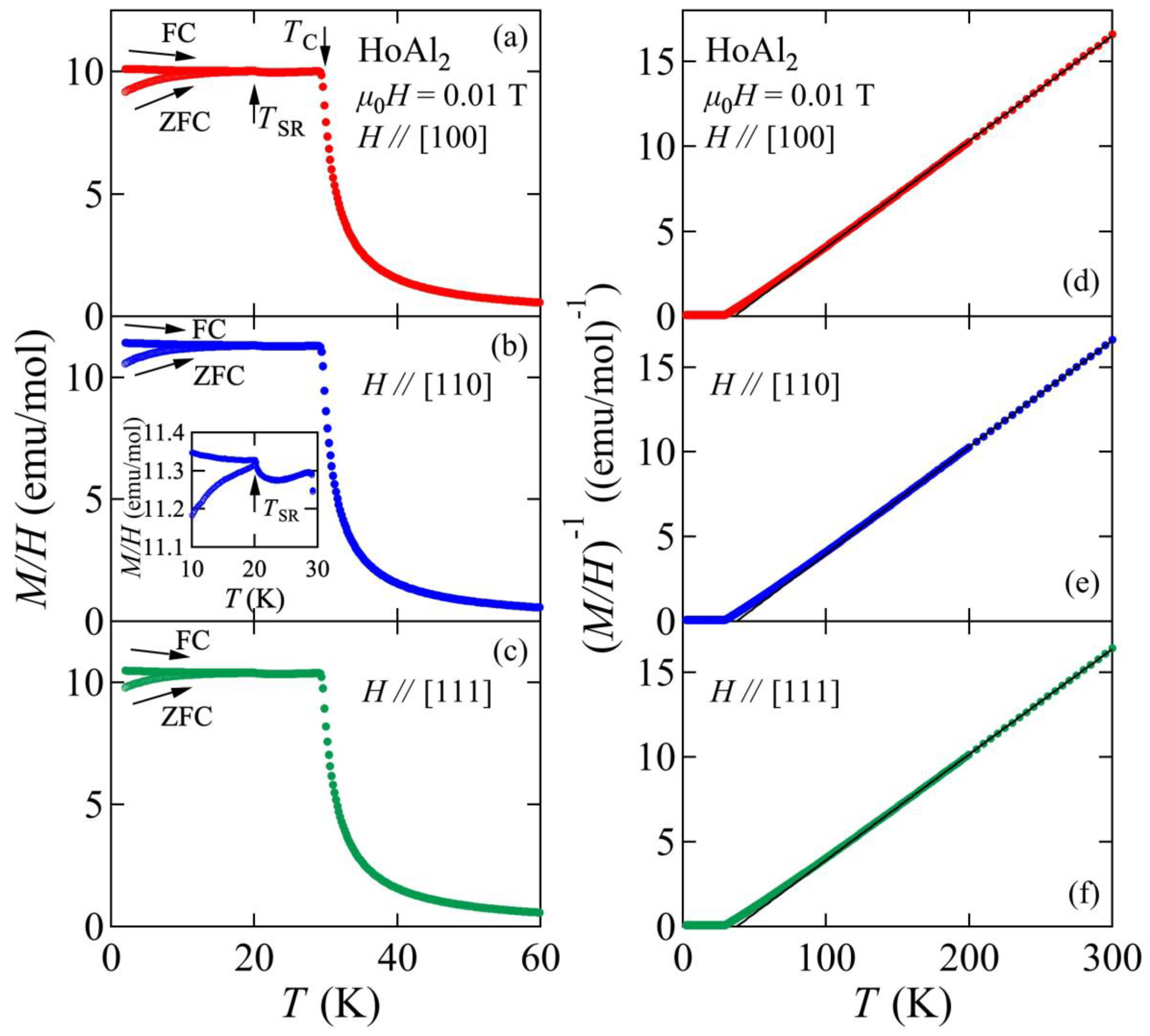
In Figure 5a–c, temperature dependences of the magnetic susceptibility (M/H) were presented under the applied magnetic field of 0.01 T under H//[100], [110], and [111], respectively. A clear ferromagnetic transition (TC) at 29 K as well as the spin-reorientation transition at 20 K (TSR) was seen in all field directions. Both TC and TSR correspond to the transitions seen at the specific heat in Figure 4. The hysteresis between ZFC and FC process is clearly observed below TSR as demonstrated in the inset of Figure 5b. The inverse magnetic susceptibility (M/H)−1 as a function of temperature along the field directions [100], [110], and [111] in Figure 5d–f, respectively, involves the black lines, which represent the fits to the Curie–Weiss law, . Here, kB, NA, and μB are the Boltzmann constant, Avogadro’s number, and the Bohr magneton, respectively. The effective magnetic moments (μeff) determined from the fits between 110 and 300 K were μeff = 11.1 μB, 11.0 μB, and 11.2 μB under H//[100], [110], and [111], respectively. These values match with the theoretical value of the free Ho3+ with a total angular momentum of J = 8, which corresponds to μeff = 10.6 μB. This suggests that the nature of the 4f electrons is well localized. The χ0 is a small temperature-independent term and typically represents Larmor diamagnetic and Pauli paramagnetic contributions. The values from the fits were +7.65 × 10−4, +6.20 × 10−4, and +5.87 × 10−4 emu/mol for H//[100], [110], and [111], respectively. The Weiss temperatures under H//[100], [110], and [111] were obtained as θP = +34.6 K, +33.4 K, and +36.1 K, respectively. The positive values of θP indicate a ferromagnetic coupling. Thus, the magnetic susceptibility measurements reveal almost isotropic behavior in the paramagnetic region, as found in the previous result that reports only under H//[100] and [110] [15].
Figure 5.
Temperature dependencies of the magnetic susceptibility (M/H) of HoAl2 under the applied field along (a) H//[100], (b) H//[110], and (c) H//[111]. Measurements were performed at 0.01 T under zero-field-cooled (open circles) and field-cooled (closed circles) processes. The inset shows the hysteresis between ZFC and FC processes. Inverse magnetic susceptibility, (M/H)−1, as a function of temperature under (d) H//[100], (e) H//[110], and (f) H//[111]. Solid black lines represent fits to the Curie–Weiss law between 110 and 300 K.
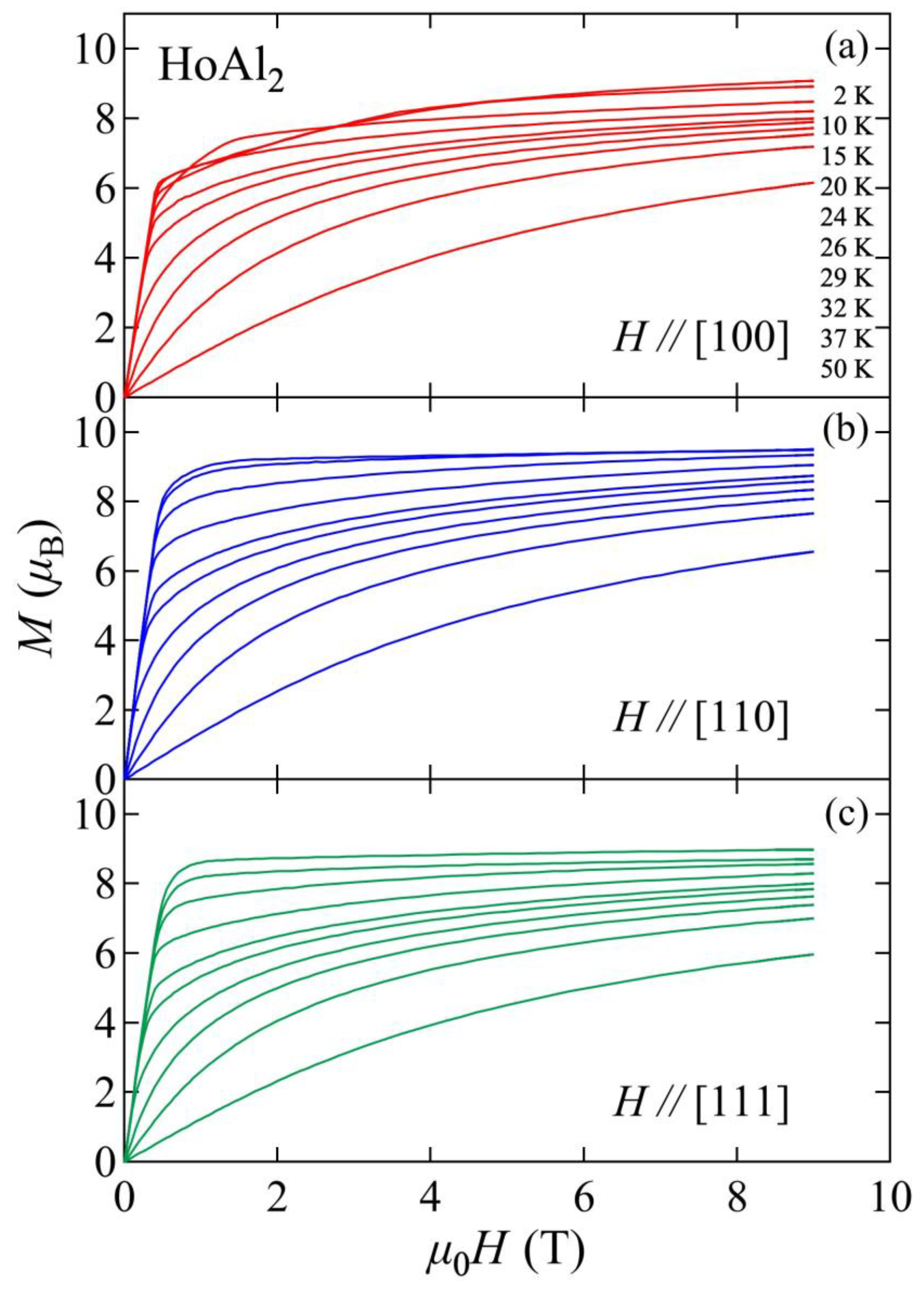
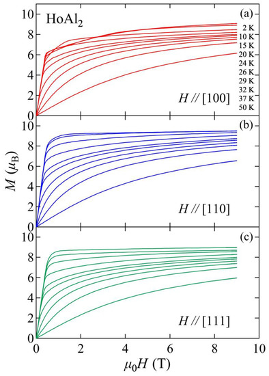
The isothermal magnetization of HoAl2 under H//[100], [110], and [111] at several temperatures between 2 and 50 K in Figure 6a–c, respectively, was taken after the field cooling process. The rapid increase at lower fields was gradually suppressed under any field directions as the temperature increased. Under H//[100], the upward behavior around 2 T observed at low temperatures was suppressed with increasing temperature. At a high field, the magnetization is saturated toward the full moment (10 μB), which corresponds to a free Ho3+ (J = 8) with the g-factor gJ = 5/4, irrespective of the field directions. The remnant magnetization that was seen under all the field directions disappears at TC.
Figure 6.
Isothermal magnetization (M) of HoAl2 under (a) H//[100], (b) H//[110], and (c) H//[111] up to 9 T at several temperatures across the magnetic phase transitions (TC and TSR). The data were taken under the field-cooled processes at 2, 10, 15, 20, 24, 26, 29, 32, 37 and 50 K.
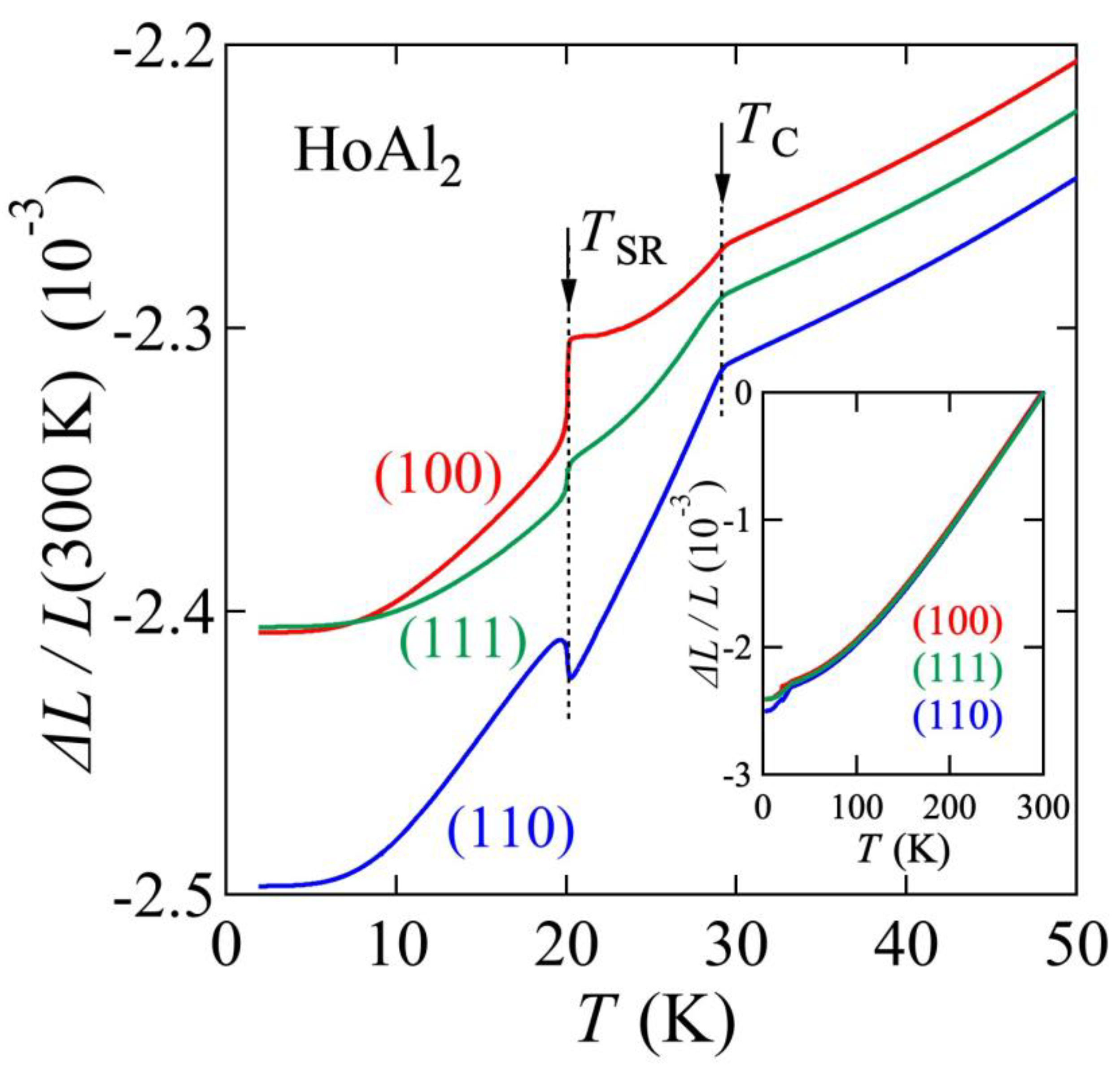
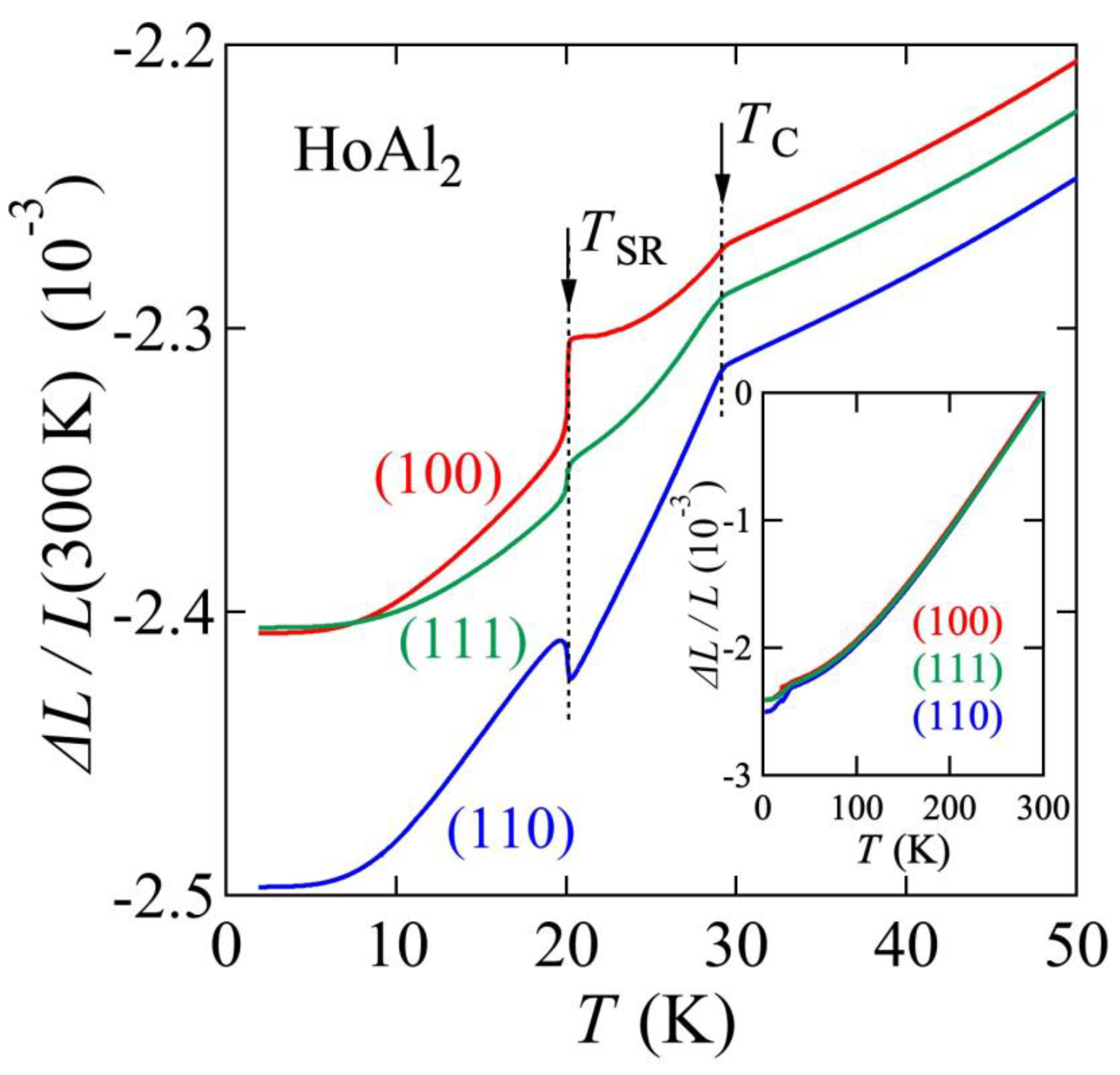
In Figure 7, the linear thermal expansions as a function of temperature, where the index i refers to the principal crystallographic axes (100), (110), and (111), represent a clear kink at TC = 29 K for all , corresponding to the second-ordered ferromagnetic transition. In addition, a jump is seen at TSR = 20 K, indicating the first-ordered transition associated with the spin reorientation. As shown in the inset of Figure 7, the is almost isotropic at the paramagnetic region. In contrast, we can see the anisotropic behavior below TC: on cooling, the decreases along all the directions with the largest response to the (110) direction. Additionally, the along the (100) and (111) directions decrease suddenly at TSR, whereas the along the (110) direction increases. This result may be related to the spin-reorientation transition toward the (110) direction. Thus, the thermal expansion experiments offer directionally bulk information along the independent crystallographic axes throughout the magneto-volume coupling in the magnetically ordered phase.
Figure 7.
Temperature dependences of thermal expansion . Here, the index i refers to the principal crystallographic axes [100], [110], and [111], respectively.
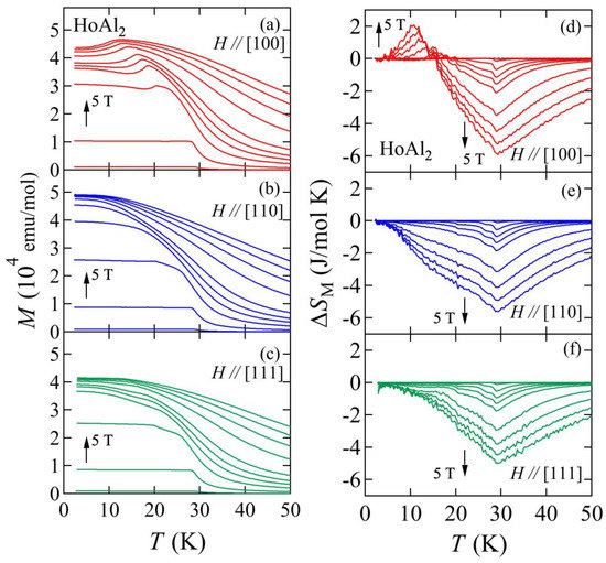
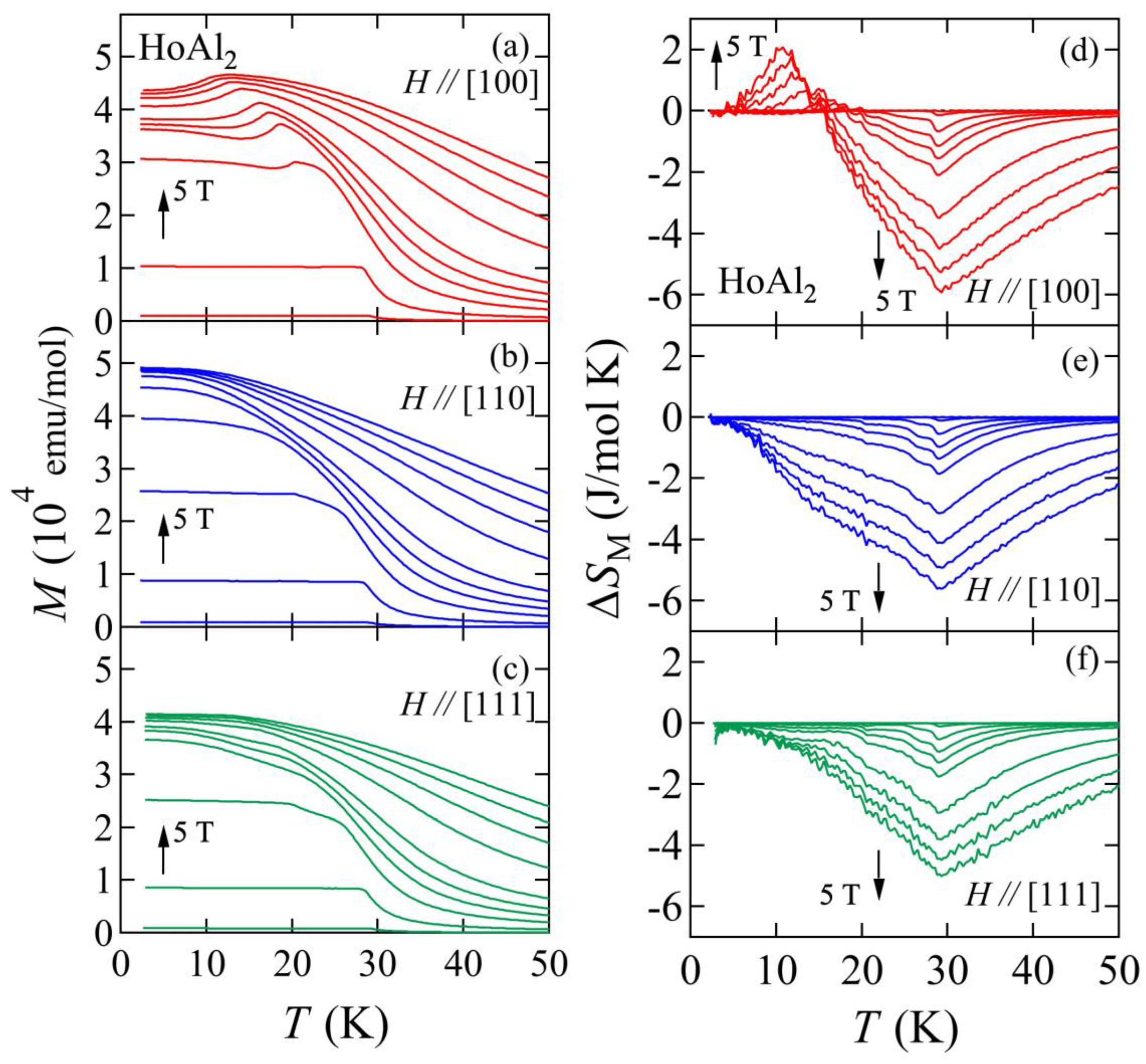
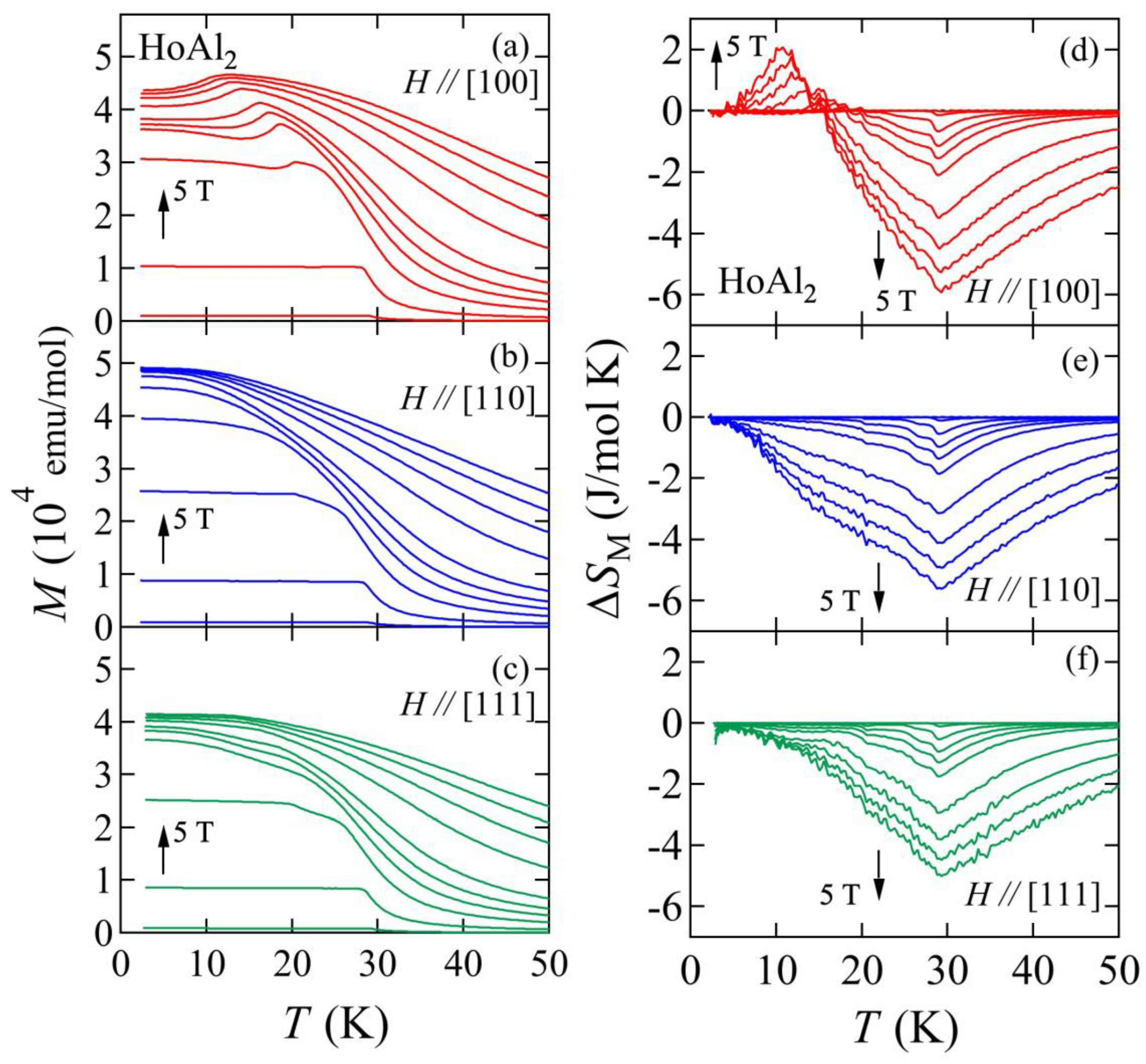
To evaluate the magnetic entropy change ΔSM of single-crystalline HoAl2, the temperature dependences of the magnetization (M vs. T) of HoAl2 under H//[100], [110], and [111] under various static magnetic fields up to 5 T were plotted in Figure 8a–c, respectively. These were measured under the FC process. The Maxwell relation as mentioned above was applied to evaluate the magnetic entropy change ΔSM. The ΔSM as the functions of temperature under H//[100], [110], and [111] are shown in Figure 8d–f, respectively, for various applied fields up to 5 T. The ΔSM has a minimum near TC for all the field directions. The minimum values obtained for a field change between 0 and 5 T are −5.9, −5.8, and −4.9 J/K mol under H//[100], [110], and [111], respectively. These negative ΔSM with relatively large values around 30 K indicates the entropy release (gain) under magnetization (demagnetization) independent of the magnetic field directions. This result of being nearly field-independent might be advantageous as a magnetic refrigerant where polycrystalline particles are used [7,10]. Additionally, under H//[110] and [111], a convex (concave) upward behavior was seen around 20 K, although overall ΔSM behavior became negative. The ΔSM under H//[100] showed a positive peak at low temperatures as well as a negative peak around 30 K. Similar sign change can be seen in the previous report [15]. The anisotropic behavior around 20 K might be associated with the spin-reorientation transition. These results indicate that the main contribution in ΔSM originates from the paramagnetic to the ferromagnetic transition at TC irrespective of the field directions, and the spin orientation transition induces the anisotropic behavior in ΔSM.
Figure 8.
Temperature dependence of magnetization of HoAl2 under (a) H//[100], (b) H//[110], and (c) H//[111]. The applied magnetic fields are 0.01, 0.1, 0.3, 0.5, 0.7, 1, 2, 3, 4, and 5 T. The data were taken under field-cooled processes. The magnetic entropy change ΔSM as a function of temperature under (d) H//[100], (e) H//[110], and (f) H//[111].
4. Summary
Single crystals of a cubic Laves-phase ferromagnet HoAl2 were successfully grown by the laser diode-based floating-zone method. Here, the laser diodes as the heat source provided the vertically bell-shaped distribution of temperature at the focal point. Since Al evaporation was inevitable during the growth, we prepared Al-rich feed rods to compensate for the evaporation. The nominal ratio was optimized as Ho:Al = 1:2.5 to grow the stoichiometric crystals. Finally, a large-size crystal with a 50 mm length was obtained under stable conditions.
The crystal exhibited a second-ordered ferromagnetic transition at TC = 29 K and a first-ordered spin-reorientation transition at TSR = 20 K. These transitions occurred in bulk. The isothermal magnetization showed a typical ferromagnetic behavior along the field directions [110] and [111]. For the magnetization under H//[100], the upward behavior around 2 T observed at low temperatures was suppressed with increasing temperature. The magnetic entropy changes under the applied field along the principal axes had a relatively similar minimum value around TC, and the anisotropy became obvious at lower temperatures. In particular, the magnetic entropy change under H//[100] showed a positive peak at lower temperatures. The linear thermal expansion measurements to detect the directional information also revealed an anisotropic behavior below TC. The anisotropic behavior in the ordered state is in sharp contrast to the almost isotropic behavior shown in the paramagnetic region beyond TC. We emphasize that the floating-zone technique is useful for the crystal growth of intermetallic alloys because this method enables us to systematically investigate the fundamental properties of materials throughout a variety of experimental probes using the same batch with large crystals. We believe that these “standard dataset” should contribute to bridging the future application as a properly establishing the magnetic refrigerant.
Author Contributions
N.K. planned the project. N.K. grew and characterized the bulk crystals. T.K., M.H. and H.Y. analyzed the ICP-OES. N.K. wrote the manuscript with input from all co-authors. All authors have read and agreed to the published version of the manuscript.
Funding
This work has been supported by the KAKENHI Grants-in-Aid for Scientific Research (Grant Nos. 18K0475, 21H01033, and 22K19093), and the Core-to-Core Program (No. JPJSCCA20170002) from the Japan Society for the Promotion of Science (JSPS), and the JST-Mirai Program (Grant No. JPMJMI18A3).
Data Availability Statement
The data supporting the findings of this study are available from the corresponding authors upon reasonable request.
Acknowledgments
We acknowledge Yoshio Kaneko for the fruitful advice about the laser floating-zone furnace, and Taichi Terashima, Ayumi Kawaguchi, Takanobu Hiroto, Takeshi Shimada, Akira Kamimura, John McArthur, Noritaka Kimura, Naohiro Kaga, Yuta Maegawa, Tohru Nagasawa, and Nobuyuki Ochiai for their technical support.
Conflicts of Interest
The authors declare no conflict of interest.
Appendix A
In Figure A1, we present the specific heat as a function of the temperature of the stoichiometric HoAl2 and Al-deficiency HoAl1.97 crystals. The sample dependence shows that the aluminum deficiency suppresses the ferromagnetic transition temperature at TC, whereas it has little effect on the spin reorientation temperature at TSR. Additionally, we can see that the peak height is suppressed, and the peak width becomes broadened at TSR for the Al deficiency sample, although we need to be careful to evaluate the specific heat with the first-ordered phase transition when the relaxation method is applied for the measurements.
Figure A1.
Temperature dependence of specific heat (CP) of the stoichiometric HoAl2 and Al-deficiency HoAl1.97 crystals.
Figure A1.
Temperature dependence of specific heat (CP) of the stoichiometric HoAl2 and Al-deficiency HoAl1.97 crystals.

References
- Tishin, A.M. Magnetocaloric Effect: From Theory to Practice. In Encyclopedia of Materials: Science and Technology; Buschow, K.H.J., Cahn, R.W., Flemings, M.C., Ilschner, B., Kramer, E.J., Mahajan, S., Veyssière, P., Eds.; Elsevier: Oxford, UK, 2001; pp. 5035–5041. [Google Scholar] [CrossRef]
- Pecharsky, V.K.; Gschneidner, K.A. Magnetocaloric Effect from Indirect Measurements: Magnetization and Heat Capacity. J. Appl. Phys. 1999, 86, 565. [Google Scholar] [CrossRef]
- Gschneidner, K.A. The Magnetocaloric Effect, Magnetic Refrigeration and Ductile Intermetallic Compounds. Acta Mater. 2009, 57, 18. [Google Scholar] [CrossRef]
- Gschneidner, K.A.; Pecharsky, V.K. Magnetocaloric Materials. Annu. Rev. Mater. Sci. 2000, 30, 387. [Google Scholar] [CrossRef]
- Zhu, Y.; Asamoto, K.; Nishimura, Y.; Kouen, T.; Abe, S.; Matsumoto, K.; Numazawa, T. Magnetocaloric Effect of (ErxR1−x)Co2 (R = Ho, Dy) for Magnetic Refrigeration between 20 and 80K. Cryogenics 2011, 51, 494. [Google Scholar] [CrossRef]
- Zhang, H.; Gimaev, R.; Kovalev, B.; Kamilov, K.; Zverev, V.; Tishin, A. Review on the Materials and Devices for Magnetic Refrigeration in the Temperature Range of Nitrogen and Hydrogen Liquefaction. Phys. B Condens. Matter 2019, 558, 65. [Google Scholar] [CrossRef]
- Kamiya, K.; Matsumoto, K.; Numazawa, T.; Masuyama, S.; Takeya, H.; Saito, A.T.; Kumazawa, N.; Futatsuka, K.; Matsunaga, K.; Shirai, T.; et al. Active Magnetic Regenerative Refrigeration Using Superconducting Solenoid for Hydrogen Liquefaction. Appl. Phys. Express 2022, 15, 053001. [Google Scholar] [CrossRef]
- Oesterreicher, H. Structural, Magnetic and Neutron Diffraction Studies on TbFe2-TbAl2, TbCo2-TbAl2 and HoCo2-HoAl2. J. Phys. Chem. Solids 1973, 34, 1267. [Google Scholar] [CrossRef]
- Williams, C.M.; Koon, N.C.; Das, B.N. Spin Reorientations in Single Crystal HoAl2. J. Appl. Phys. 1979, 50, 1669. [Google Scholar] [CrossRef]
- Yamamoto, T.D.; Takeya, H.; Saito, A.T.; Terashima, K.; Numazawa, T.; Takano, Y. Magnetocaloric Particles of the Laves Phase Compound HoAl2 Prepared by Electrode Induction Melting Gas Atomization. J. Magn. Magn. Mater. 2022, 547, 168906. [Google Scholar] [CrossRef]
- Numazawa, T.; Kamiya, K.; Utaki, T.; Matsumoto, K. Magnetic Refrigerator for Hydrogen Liquefaction. Cryogenics 2014, 62, 185. [Google Scholar] [CrossRef]
- Barbara, B.; Rossignol, M.F.; Boucherle, J.X. Magnetic Behavior of HoAl2 Single Crystal. Phys. Lett. A 1975, 55, 321. [Google Scholar] [CrossRef]
- Ibarra, M.R.; Lee, E.W.; del Moral, A.; Moze, O. Magnetic Anisotropy and Spin-Reorientation in HoAl2. Solid State Commun. 1985, 53, 183. [Google Scholar] [CrossRef]
- Ibarra, M.R.; Moze, O.; Algarabel, P.A.; Arnaudas, J.I.; Abell, J.S.; del Moral, A. Magnetoelastic Behaviour and the Spin-Reorientation Transition in HoAl2. J. Phys. C Solid State Phys. 1988, 21, 2735. [Google Scholar] [CrossRef]
- Patra, M.; Majumdar, S.; Giri, S.; Xiao, Y.; Chatterji, T. Magnetic, Magnetocaloric and Magnetoresistive Properties of Cubic Laves Phase HoAl2 Single Crystal. J. Phys. Condens. Matter 2014, 26, 046004. [Google Scholar] [CrossRef] [PubMed]
- Gil, L.A.; Campoy, J.C.P.; Plaza, E.J.R.; de Souza, M.V. Conventional and Anisotropic Magnetic Entropy Change in HoAl2 Ferromagnetic Compound. J. Magn. Magn. Mater. 2016, 409, 45. [Google Scholar] [CrossRef]
- Pistawala, N.; Rout, D.; Saurabh, K.; Bag, R.; Karmakar, K.; Harnagea, L.; Singh, S. Crystal Growth of Quantum Materials: A Review of Selective Materials and Techniques. Bull. Mater. Sci. 2021, 45, 10. [Google Scholar] [CrossRef]
- Ito, T.; Ushiyama, T.; Yanagisawa, Y.; Tomioka, Y.; Shindo, I.; Yanase, A. Laser-Diode-Heated Floating Zone (LDFZ) Method Appropriate to Crystal Growth of Incongruently Melting Materials. J. Cryst. Growth 2013, 363, 264. [Google Scholar] [CrossRef]
- Kaneko, Y.; Tokura, Y. Floating Zone Furnace Equipped with a High Power Laser of 1 KW Composed of Five Smart Beams. J. Cryst. Growth 2020, 533, 125435. [Google Scholar] [CrossRef]
- Kikugawa, N.; Terashima, T.; Kato, T.; Hayashi, M.; Yamaguchi, H.; Uji, S. Bulk Physical Properties of a Magnetic Weyl Semimetal Candidate NdAlGe Grown by a Laser Floating-Zone Method. Inorganics 2023, 11, 20. [Google Scholar] [CrossRef]
- Nagai, I.; Shirakawa, N.; Ikeda, S.-I.; Iwasaki, R.; Nishimura, H.; Kosaka, M. Highest Conductivity Oxide SrMoO3 Grown by a Floating-Zone Method under Ultralow Oxygen Partial Pressure. Appl. Phys. Lett. 2005, 87, 024105. [Google Scholar] [CrossRef]
- Bobowski, J.S.; Kikugawa, N.; Miyoshi, T.; Suwa, H.; Xu, H.-S.; Yonezawa, S.; Sokolov, D.A.; Mackenzie, A.P.; Maeno, Y. Improved Single-Crystal Growth of Sr2RuO4. Condens. Matter 2019, 4, 6. [Google Scholar] [CrossRef]
- Martien, D.; Williamsen, M.; Spagna, S.; Black, R.; DaPron, T.; Hogan, T.; Snow, D. An Ultrasensitive Differential Capacitive Dilatometer. IEEE Trans. Magn. 2019, 55, 1. [Google Scholar] [CrossRef]
- Pourarian, F. Exchange-Striction of Rare Earth-Al2 Laves Phase Compounds. J. Phys. Chem. Solids 1980, 41, 123. [Google Scholar] [CrossRef]
- Baran, S.; Duraj, R.; Szytuła, A. Magnetocaloric Effect and Transition Order in HoAl2. Acta Phys. Pol. A 2015, 127, 815. [Google Scholar] [CrossRef]
- Maeno, Y.; Ando, T.; Mori, Y.; Ohmichi, E.; Ikeda, S.; NishiZaki, S.; Nakatsuji, S. Enhancement of Superconductivity of Sr2RuO4 to 3 K by Embedded Metallic Microdomains. Phys. Rev. Lett. 1998, 81, 3765. [Google Scholar] [CrossRef]
- Shoenberg, D. Magnetic Oscillations in Metals; Cambridge University Press: Cambridge, UK, 2009; ISBN 9781316583173. [Google Scholar]
Disclaimer/Publisher’s Note: The statements, opinions and data contained in all publications are solely those of the individual author(s) and contributor(s) and not of MDPI and/or the editor(s). MDPI and/or the editor(s) disclaim responsibility for any injury to people or property resulting from any ideas, methods, instructions or products referred to in the content. |
© 2023 by the authors. Licensee MDPI, Basel, Switzerland. This article is an open access article distributed under the terms and conditions of the Creative Commons Attribution (CC BY) license (https://creativecommons.org/licenses/by/4.0/).







