Abstract
The extensive use of synthetic materials in modern society presents a great challenge to environmental and water quality. As such, numerous studies were dedicated to the removal of emerging contaminants from water using novel materials as sorbents or catalysts. With large reserves and low material costs, Earth material has also attracted great attention for contaminant removal. Halloysite is a 1:1 layered clay mineral with moderate cation exchange capacity that can be used for the removal of cationic contaminants. On the other hand, as it may bear positive charges on the aluminum hydroxyl sheets, it could be used to remove anionic contaminants. In this study, the removal of a cationic dye, methylene blue (MB), and an anionic dye, alizarin red S (ARS), from the water was evaluated from single and mixed solutions. The results suggested that from single solutions, MB removal was via cation exchange while ARS removal could have originated from anion exchange. From mixed solutions, their removal was mutually increased, which may be due to a synergistic effect in the presence of a type of charged dyes serving as counterions to enhance the sorption of dyes of opposite charges. This finding suggests that halloysite may serve as a sorbent for the removal of organic contaminants of different charges at the same time, which is a new perspective that needs further evaluation and expansion.
1. Introduction
Due to the extensive use of dyes in modern industries, studies on the treatment of dye-polluted wastewater are gaining urgent attention [1]. In general, dye removal could be classified as sorptive or degradative removal. For sorptive removal, the advantages are fast removal efficacy and low material and processing costs if Earth materials are used. However, the disadvantages are the need to dispose of or regenerate the sorbents once saturated with the contaminants. In contrast, for degradative removal, the advantages are the degradation of toxic parent contaminants into less toxic or non-toxic intermediates or final products. However, the disadvantages are a slow degradation rate and/or high material cost for catalysts to be used to enhance complete degradation. Biodegradation would be effective for certain types of contaminants under aerobic and anaerobic conditions. However, for mixed contaminants, choosing optimal degradation conditions to remove all contaminants may not be an easy task.
For sorptive dye removal, sorbents commonly evaluated include chars from biowaste, naturally occurring Earth materials, and synthetic materials of high efficiency with high material costs. For example, sepiolite was evaluated for the removal of basic red 46, a cationic dye, and direct blue 85, an anionic dye, with capacities of 110 and 332 mg/g [2]. Still, most of the studies were focused on the removal of single dyes using different types of sorbents. Common interactions between the sorbents and the dyes include electrostatic, complexation, and hydrophobic interactions depending on the types of sorbents and dyes. Water-soluble dyes are often in a cationic or anionic with counterions to balance the charges. As such, sorbents of opposite charges to the dyes are often utilized. Limited studies were conducted recently on the removal of dyes of opposite charges from single or binary systems. Sorption of direct blue 15, an anionic dye, on halloysite resulted in a capacity of 98 mg/g, or about 100 mmol/kg [3]. However, the mechanisms for the removal of dyes of opposite charges from binary solutions were rarely addressed.
Alizarin red S (ARS) is an anionic dye with Na+ as the balancing counterion ion. It is a typical dihydroxyanthraquinone used as a traditional dye originally derived from the roots of plants of the Madder genus [4]. ARS staining has been used for decades to evaluate calcium-rich deposits by cells in culture [5]. However, it also reacts with magnesium and other alkaline earth elements, as well as complexing with other divalent transition metals [4]. It is a salt of anthraquinone that belongs to the cluster of relatively stable pollutants, and due to its complicated aromatic rings, it is not biologically or physiochemical degradable [6]. Sorbents for ARS removal from water were mostly organic materials, such as synthetic carbon nanotubes [7]. Sorption of ARS on raw cuttlebone nano-powder (CBNP), a biomass waste, reached a capacity of 71 mg/g and was attributed to the formation of the ARS-Ca complex [8]. Inorganic materials used include layered double hydroxide (LDH), which bears net positive charges on the surfaces [9].
Methylene blue (MB), on the other hand, is a cationic dye with Cl− as the balancing counterion ion. It is an inhibitor of nitric oxide synthase and guanylate cyclase commonly used in medicine and clinical diagnosis [10]. It was studied for its potential use to determine the cation exchange capacity (CEC) of montmorillonite (MMT) [11]. Numerous studies were conducted for the removal of MB from water using different types of sorbents. For clay minerals, extensive tests were evaluated such as kaolinite [12], halloysite [13], montmorillonite [14], palygorskite, and sepiolite [15].
Halloysite nanoclays (HNCs) are 1:1 layered clay minerals made of one SiO4 tetrahedral sheet and one Al(OH)6 octahedral sheet, with the former making the outer surface of the nanotube with negative charges and the latter making the inner surface of the nanotube with positive charges [16]. This type of structure was often used for surface modification of cationic surfactant to the outer surface or anionic surfactant to the inner surface [17]. Additionally, due to the partially positively charged Al(OH)6 octahedral sheets, sorption of an anionic dye methyl orange (MO) on the HNC resulted in a capacity of 25 mg/g or 76 mmol/kg [18].
Although extensive studies were conducted to evaluate dye removal from a single solution, the removal of mixed dye from a binary solution using HNCs as a sorbent was limited. Sorption of MO and rhodamine 6G (R6G), a cationic dye, on HNCs resulted in capacities of 20 and 40 mg/g, respectively [19]. A study on anionic dye MO and cationic dye MB removal using HNCs resulted in a preferred sorption of MB over MO, with the MB removal of 12.5 mg/g in comparison to 2.1 mg/g for MO removal [20]. The MB removal from the binary MB + MO solution was higher than its removal from the single MB solution of equal concentration [20]. In a different study, MO and MB removal from single solutions by halloysite resulted in capacities of 104 and 185 mg/g [21]. The MB removal was attributed to cation exchange, but the CEC value of the HNC was not provided in these studies. Sorption of an anionic dye, acid red (AR), and a cationic dye, brilliant green (BG), by HNCs resulted in capacities of 12.5 and 13.9 mg/g, respectively [22]. Again, no CEC value was provided. Still, in these studies, the discussion on mechanisms of anionic and cation dye removal from the binary solution was less addressed or incomplete.
In this study, we chose HNC as the sorbent due to its dual charges on opposite sides [16]. In addition, we chose alizarin red S (ARS), an anionic dye with Na+, as the balancing counterion ion, and methylene blue (MB), a cationic dye with Cl−, as the balancing counterion ion, in order to study the interactions between HNCs and color dyes of different charges in single and mixed solution systems. Our goals were to assess whether the different surface charges of the HNC will play a significant role in the removal of color dyes of different charges and to determine whether a synergistic effect could be found for the uptake of mixed dyes of opposite charges in comparison to single dyes or mixed dyes of the same charge. The utilization of clay minerals for the removal of contaminants from the solution could be expanded and maximized.
2. Materials and Methods
2.1. Materials
The MB used had an IUPAC name: [7-(Dimethylamino)phenothiazin-3-ylidene]-dimethylazanium chloride with a CAS # of 61-73-4. It was purchased from Sigma Aldrich (St. Louis, MO, USA). It is a heterocyclic aromatic chemical compound, has a chemical formula of C16H18N3SCl, and has a molecular weight of 319.85 g/mol. It has a pKa value of 3.8 [23,24] and a solubility of 43.6 g/L [25]. Other studies showed that it is in MB+ form in pH 0–14 with no pKa values. Due to protonation on different atoms, it may have different resonance forms. It could also form different aggregations under different initial concentrations [26]. ARS, also called Mordant Red 3, Alizarin Carmine, has an IUPAC name of sodium 3,4-dihydroxy-9,10-dioxo-9,10-dihydroanthracene-2-sulfonate with a CAS# of 130-22-3. It has a formula of C14H7NaO7S, with Na+ as the counterion, and a molecular weight of 342.25 g/mol. It was purchased from Fisher Sci. (Waltham, MA, USA). Its solubility in water was listed as soluble on most websites. It has pKa values of 5.49 and 10.85 [14]. Their molecular structures and pH-speciation relation are illustrated in Figure 1.
Figure 1.
Molecular structures of ARS (a) and MB (b) and their pH-speciation diagrams (c,d).
The HNC was purchased from Sigma-Aldrich. It is in a tubular form due to the misfit between the octahedral and tetrahedral sheets. Its specific surface area (SSA) value analyzed by a BET method is 65 m2/g [27], while its CEC value is 120 meq/kg [28]. A CEC of 115 meq/kg was also reported [27]. The zeta potential (ζ) of the HNC were all negative in an aqueous solution over a pH range of 1.5 to 12, indicating overall negative charges on the external surfaces [29]. As the halloysite bears positive charges on the inner surface that is made of an Al(OH)6 sheet, anion exchange is often noticed with a capacity of 10.5 mmol/kg [18].
2.2. Dye Sorption Study
For the sorption study, the solids and liquids used were 0.2 g and 10 mL, respectively. The water used to make the solutions was ultrapure water type I water (18 MΩ·cm). For the isotherm study, the initial concentrations varied from 0.0 to 2.5 mM. For all other studies, the initial concentration was fixed at 2.0 mM. For the ionic strength study, the solution ionic strength was adjusted to 0.001, 0.01, 0.1, and 1.0 NaCl. For the temperature study, mixing was maintained at 23, 33, 43, and 53 °C. For the pH study, the 5.0 mM stock solution was properly diluted with DI water, whose pH was made at 3, 5, 7, 9, and 11. Then, the solution pH was periodically monitored and adjusted until the final values were close to 3–11, with an interval close to 1. The mixtures were shaken for 24 h at 150 rpm, except for the kinetic study, for which the mixing time varied between 1/4 and 24 h. After shaking, the mixtures were centrifuged for 10 min at 3500 rpm. Then, the supernatants were filtered with 0.22 micrometer syringe filters made of cellulose acetate (Corning, NY, USA) before being analyzed by a UV-Vis method for equilibrium dye concentrations.
2.3. Instrumental Analyses
The equilibrium dye concentrations were determined using a UV-Vis spectrophotometer (Model Go Direct® SpectroVis® Plus, made by Vernier Science Education, Beaverton, OR, USA). The wavelength for the isosbestic point of ARS was 460 nm [30]. However, in this study, wavelengths of 420 and 530 nm were used and the calibrations were made with 0.00 to 0.10 mM ARS solutions under pH 3, 5, 7, 9, and 11. The equilibrium ARS concentrations were determined using the calibration curves corresponding to the pH at equilibrium. For MB, wavelengths of 680, 605, and 585 nm corresponded to the absorbance maximum of an MB monomer, dimer, trimer, and tetramer [31]. The dimer constant KD of MB is 2380 M−1 [32], under which the monomer and dimer concentration at the initial MB concentration of 2.5 mM would be 0.63 and 0.94 mM. However, at the equilibrium, the MB concentrations were less than 1.0 mM. Thus, 680 and 605 nm were used to determine the equilibrium MB concentrations in the solution. Additionally, as the counterion of MB is Cl−, the equilibrium Cl− concentration was also analyzed to determine whether dimeric sorption with Cl− as the bridging anion was possible.
The solid samples after dye sorption were dried naturally and then subject to instrumental analyses, such as X-ray diffraction (XRD), to determine whether the sorption sites were external or in the interlayer. Fourier-transform infrared (FTIR) was used to determine the bonding and interactions of the functional groups with the mineral surfaces, and a molecular dynamic simulation was used to decipher and confirm the speculations from other analyses and to determine the configurations of sorbed dye molecules on the mineral surfaces.
The equilibrium Cl− concentration was analyzed using ion chromatography (IC) with a PRP-100 anion exchange column. The X-ray diffraction (XRD) patterns were recorded using a Shimadzu 6100 X-ray Diffractometer with a Ni-filtered CuKα radiation at 30 kV and 40 mA. Samples were scanned from 5 to 55° (2θ) at a scanning speed of 2°/min. The FTIR analyses were performed using a Shimadzu 8100 spectrometer equipped with a quartz ATR. Samples were scanned from 400 to 4000 cm−1 at a resolution of 2 cm−1.
The molecular simulation was performed using Materials Studio 6.0 software with the ‘FORCITE” module. The supercells were built based on 4a × 4b. The number of dye molecules used for the simulation was calculated from the SSA of 65 m2/g [27] and the amount of dye sorbed from the isotherm study. For the dye sorption from the single solution, the number of MB and ARS molecules used was 8 and 3 per 4a × 4b. For dye sorption from the binary solution, the number of MB and ARS molecules used was 8 and 6 per 4a × 4b. The simulation was performed at 298 K and a constructed model was optimized geometrically.
3. Results
3.1. Sorption Isotherm from Single and Mixed Solutions
Sorption of ARS and MB from single and mixed solutions on the HNC was fitted to several isotherm models, and the fitted parameters are listed in Table 1. For MB sorption from the single solution, the Langmuir isotherm model fitted the experimental data well (Figure 2a). The Langmuir isotherm is expressed as:
where the solute concentration in the solution (mmol/L) and amount of solute sorbed (mmol/kg) on the solid at equilibrium are represented by CL and CS, respectively. The parameters Sm (mmol/kg) and KL (L/mmol) are the Langmuir parameters, with the former reflecting the sorption capacity on the solid and the latter showing the affinity of the solute for the solid surfaces. It can be re-arranged into a linear form:
so that the Sm and KL can be determined through linear regression. The fitted parameters are Sm = 118 mmol/kg and KL = 845 L/mmol for MB sorption on the HNC from a single solution, respectively. The Sm value for MB sorption is about the same as the CEC value of 120 meq/kg for the HNC [28]. Similarly, the Sm value of basic red dye sorption on sepiolite matched with its CEC of 0.27 meq/g) [1]. In comparison, the Sm value was 130 mmol/kg and KL was 550 L/mmol for Safranin O (SO), also a cationic dye, with sorption on the same HNC [33]. Moreover, an Sm value of 149 mmol/kg and KL of 3350 L/mmol were found for toluidine blue (TB), also a cationic dye, with sorption on the same HNC [34]. Thus, MB sorption on the HNC could be attributed to cation exchange. For ARS sorption on the HNC from a single solution, the fitted Langmuir parameters were Sm = 45 mmol/kg and KL = 6.4 L/mmol, with an r2 value of 0.88. In comparison, MO sorption on the HNC had a capacity of 76 mmol/kg, while the anion exchange capacity (AEC) of the mineral was 10.5 mmol/kg [18].
CS = (KLSmCL)/(1 + KLCL)
Table 1.
Sorption parameters of ARS and MB on the HNC for the isotherm and kinetic studies.
Figure 2.
Sorption isotherms of MB (diamond) and ARS (circle) on the HNC from single (a) and binary (b) solutions.
In addition to the Langmuir sorption model, the Freundlich isotherm was also used to fit the experimental data. It is expressed as:
where KF is the Freundlich isotherm constant and 1/n is the intensity of the adsorption. The sorption is favorable when 1/n is greater than zero (0 < 1/n < 1) but unfavorable when 1/n is greater than 1 [35]. For MB sorption from a single solution, the fitted parameters are r2 = 0.83, KF = 39 L/kg, and 1/n = 0.29, respectively. For ARS sorption on the HNC from a single solution, the Freundlich isotherm fit the experimental data and was slightly better than the Langmuir data, with an r2 value of 0.92, KF = 39 L/kg, and 1/n = 0.29, respectively. ARS and brilliant blue FCF removal by Abelmoschus esculentus stem powder followed the Langmuir sorption isotherm [36]. ARS sorption on synthetic LDH resulted in a removal capacity of 29 mg/g [9]. Sorption of MO on the HNC reached a capacity of 13.56 mg/g or 38 mmol/kg, but no interactions or mechanisms were discussed, although the HNC in that study had a ζ potential of 2.75 [37].
CS = KFCL1/n
For MB sorption from a mixed solution, both the Langmuir and Freundlich isotherms fit the data relatively well, with r2 = 0.94 and Sm and KL values of 175 mmol/kg and 6.4 L/mmol, and KF and 1/n values of 352 L/kg and 0.61 with r2 = 0.94. However, for ARS sorption from binary solution, the Sm and KL values are 192 mmol/kg and 1.2 L/mmol with r2 = 0.79 and KF = 94 L/kg, and 1/n = 0.51 with r2 = 0.94. The extremely high Sm value for ARS sorption from a binary solution may indicate the synergistic effects of the present cationic dye MB on ARS sorption.
In comparison, sorption of brilliant green, a cationic dye, and acid red, an anionic dye, from single solutions on the HNC resulted in capacities of 13.9 and 12.5 mg/g, which is about 29 and 31 mmol/kg [22]. Additionally, sorption of malachite green (MG), a cationic dye, and acid blue 25 (AB25), an anionic dye on synthesized ball clay, a manganese dioxide nanocomposite (BC-MNC), resulted in capacities of 58 and 1250 mg/g, respectively [38].
3.2. Sorption Kinetics from Single and Mixed Solutions
Sorption kinetics of MB and ARS on the HNC from single and mixed solutions are illustrated in Figure 3. From a single solution at an initial concentration of 2.0 mM, the sorption of ARS and MB on the HNC was fast, reaching equilibrium in about an hour or less (Figure 3a). In contrast, ARS and MB sorption from mixed solutions was slightly slower. Still, the equilibrium could be achieved in 4 h (Figure 3b). Several kinetic models were used to fit the experimental data, and the pseudo-second-order kinetics fit the experimental best based on the comparison of r2 values. The r2 values are 0.992 and 0.999, 0.89 and 0.93, and 0.74 and 0.57 when pseudo-second-order, Elovich, and first-order kinetic models were used to fit the experimental data of ARS and MB sorption from the single solution. Thus, only the fitting by the pseudo-second-order kinetics was presented in this study. It has the form of:
qt = (kqe2t)/(1 + kqet)
Figure 3.
Kinetics of MB (diamond) and ARS (circle) sorption on the HNC from single (a) and binary (b) solutions. The lines are pseudo-second-order and fit the observed data.
It can be re-arranged into a linear form:
t/qt = 1/(kqe2) + t/qe
In the above equations, the rate constant and initial rate of dye sorption on the HNC are represented by k (kg/mmol/h) and kqe2 (mmol/kg/h), and the amounts of dye sorbed at time t and equilibrium are represented by qt and qe (mmol/kg), respectively. The fitted values are listed in Table 1. For single dye sorption, the qe values are 33.3 and 99.6 mmol/kg for ARS and MB, in comparison to 73 and 94 mmol/kg from mixed dye solutions. Additionally, the initial rates kqe2 and the rate constants k are higher for sorption from a single solution in comparison to a binary solution. ARS sorption on synthetic LDH followed pseudo-second-order kinetics, with a k value of 0.008 L/mg/min [9]. Sorption of phosphate on the HNC resulted in a capacity of 42 mmol/kg, and equilibrium was reached in hours [39]. However, the AEC value of the HNC was not provided.
3.3. The Effects of an Equilibrium Solution pH, Ionic Strength, and Temperature
Overall, the equilibrium solution pH had minimal influence on the sorption of MB and ARS from single and binary solutions (Figure 4a,b). The results suggested that organic cations have a higher affinity for the sorbent via electrostatic interactions in comparison to inorganic cations. A slight increase in MB sorption on untreated and treated rice was found as the solution pH increased [40]. In comparison, MB sorption on kaolinite showed a minimum of around pH 4 [41]. However, the solution pH was the initial or equilibrium pH was not mentioned. For MB sorption on a different NHC, sorption increased from 64 to 66 mg/g as the solution pH increased from 4 to 10 [13].
Figure 4.
The influence of an equilibrium solution pH (a,b), ionic strength (c,d), and temperature (e,f) on ARS (circle) and MB (diamond) sorption from a single solution (a,c,e) and mixed solutions (b,d,f) on halloysite.
For ARS sorption from a single solution, as solution pH increased, ARS sorption decreased from about 36 to 16 mmol/kg (Figure 4a), indicating increased repulsion between the anion and more negatively charged mineral surfaces. Higher pH values promoted an increase in the solubility of alizarin (AZ) in an aqueous solution, resulting in a negative influence on AZ sorption on halloysite, which decreased from 9.82 mg/g at pH = 9 to 4.81 mg/g at pH = 13 [42]. Relative ARS removal by a biosorbent of mustard husk decreased from 100% at pH 2 to 45–50% at pH 9–10 at initial concentrations of 25, 50, and 100 mg/L [43]. Similarly, ARS removal decreased slightly, while brilliant blue FCF removal increased slightly by Abelmoschus esculentus stem powder as the solution pH increased [36].
Sorption of MB from a single dye solution is invariable (about 100 mmol/kg) under different ionic strength conditions, indicating that the organic cation has a higher affinity in comparison to inorganic cations (Figure 4c). In contrast, the sorption of ARS from a single solution changed from 30 to 43 mmol/kg as the solution ionic strength increased from 0.001 to 1 M of NaCl, indicating that higher ionic strength may help ARS sorption on the HNC, possibly due to increased dimer concentration under high ionic strength conditions.
Similar results were observed for MB and ARS sorption from mixed solutions (Figure 4d). As ionic strength increased from 0.001 to 1 M NaCl, the MB and ARS sorption increased from 95 to 99 and from 66 to 89 mmol/kg. The MB sorption values from the binary solution are similar to those from the single solution. However, for ARS sorption, the amount sorbed doubled from the mixed solution in comparison to that from the single solution, again suggesting a synergistic effect of co-present cationic dye MB on anionic dye ARS sorption.
Under a different temperature, MB and ARS sorption on the HNC showed some differences from single or binary solutions (Figure 4e,f). The thermodynamic parameters of solute sorption on a solid surface are related to the solute distribution coefficient Kd by:
where the ΔH and ΔS represent the changes in enthalpy and entropy after solute sorption, R and T are gas constants, and temperature is K. The ΔH and ΔS can be used to calculate the change in free energy ΔG after solute sorption by:
lnKd = −ΔH/(RT) + ΔS/R
ΔG = ΔG − TΔG
The calculated thermodynamic parameters of MB and ARS sorption using Equations (6) and (7) are listed in Table 2. Sorption is endothermic as the ΔH values are all positive. The ΔG values are small and negative, suggesting spontaneous dye sorption on the HNC and suggesting that the interactions between the dye molecule and the mineral surface are relatively weak, such as electrostatic interactions. Moreover, the ΔG values are slightly more negative for MB sorption in comparison to ARS sorption, which agrees with the overall negative charges of the HNC under the tested pH condition, as the isoelectric point of the HNC is about 2.5 [18], above which the overall surface charge is negative, although most studies showed negative zeta potential in pH 1.5–12 [29].
Table 2.
Thermodynamic parameters of ARS and MB sorption on the HNC.
3.4. XRD Analyses
The XRD patterns of the crystalline MB and the HNC after MB sorption from a single solution of different initial concentrations is illustrated in Figure 5a. After an extensive internet search, the XRD pattern of crystalline MB was not found. Still, the XRD patterns of the HNC after MB sorption showed no MB crystal peaks, suggesting that there is no precipitation of MB on the HNC surfaces. Additionally, the d-spacing of the HNC did not change after sorption of different amounts of MB, suggesting that the site for MB sorption was limited to the external surfaces.
Figure 5.
XRD patterns of the HNC after MB (a) and ARS (b) sorption from a single solution of different initial concentrations and a mixed solution of different initial concentrations (c). Both dyes have the same initial concentration, as indicated by the concentration values above each line.
An XRD pattern of ARS was presented in a study to investigate the composite of hybrid pigments made from ARS on a mixed oxide host, but no detailed indexing was mentioned [44]. An XRD of ARS was mentioned but no diffraction patterns were present in another study [45]. For crystalline ARS in this study, the peaks at 26.38, 31.72, and 45.44° were attributed to the reflections of crystallographic faces (−304), (222), and (−434) [46]. For the HNC, its XRD peak locations remained the same before and after ARS sorption from different initial concentrations (Figure 5b), suggesting that ARS sorption was also on the external surfaces of the inner tube of the HNC.
The XRD patterns of the HNC after MB and ARS sorption from a mixed solution of equal concentrations also showed no changes in d-spacing (Figure 5c), indicating that the sorption sites for both dyes of opposite charges were also on the external surfaces. As the SSA of halloysite would not change much before and after dye sorption, the elevated dye sorption from a mixed solution may indicate multi-layer sorption, which was confirmed from molecular dynamic simulations (see later).
3.5. FTIR Analyses
The interactions of the HNC with AO showed characteristic peaks at 3612, 1706, and 1083 cm−1, an indication of the formation of polar bonding between the Al/Si of HNT and the amino group (–NH2) of AO [47]. Alternatively, the interaction of the HNC with AO was dominated by cation exchange, and the intense band at 1502 cm−1 was attributed to an aliphatic σCN stretch vibration shifting to 1508 cm−1 after AO sorption on the HNC, suggesting the ammonium group interacted with the negatively charged SiO4 sheet [48].
For ARS, the characteristic bands were assigned as follows: 3448 cm−1 for ν (OH) from hydrogen bonding; 1634 cm−1 for ν (10-C=O); 1589 cm−1 for ν (9-C=O); 1546 cm−1 and 1499 cm−1 for ν (Ar C=C); 1191 cm−1 for ν (C–O); 1069 cm−1 for νas(SO3); 1037 cm−1 for νs(SO3); and 1127 cm−1 for carbonyl C–C–C [49]. Alternatively, bands at 3499 cm−1 were assigned to –OH stretching; 3084 cm−1 to –CH aromatic stretching; and 1068 cm−1 to C–O stretching [50]. The band of C=O at 1666 cm−1 shifted to 1642 cm−1 due to inter-molecular and intra-molecular H-bonding interactions [51]. In another study, the bands at 1671 cm−1 and 1578 cm−1 were assigned to an aromatic C=C bond; the bands at 3512 cm−1 and 1825 cm−1 for the OH stretching and multiple bonded CO group; and the bands at 2859 cm−1 for the C-H stretch [52]. Additionally, the C=O stretching at 10- and 9-positions occurred at 1669 and 1636 cm−1 [53]. In this study, band assignments were used from [54]. The FTIR of the ARS matched with these band assignments relatively well (Table 3, Figure 6). After ARS sorption from a single solution, most of the bands remained at the same location, and they were barely visible due to the low ARS sorption (up to 45 mmol/kg, or 14 mg/g).
Table 3.
Band assignment for ARS crystal and ARS after being sorbed on the HNC.
Figure 6.
FTIR spectra of the HNC after MB (a) and ARS (b) sorption from a single solution of different initial concentrations and a mixed solution of different initial concentrations (c) and their enlargement at 1100 to 1700 cm−1 (d–f). Both dyes have the same initial concentration as indicated by the numbers.
In a previous study, the presence of OH groups at 3100–3500 cm−1 indicated that the MB used was in a hydrated form [55]. In this study, for the pure MB, the band was absent, indicating that the solid MB is not hydrated. Additionally, some of the vibration bands were assigned based on the studies of [55,56,57]. Most importantly, the C-N, C=N, and C=S+ bands were visible for the MB solid (Table 4).
Table 4.
Band assignment for MB crystal and MB after sorption on the HNC.
For the FTIR of the HNC sorbed with MB from a single solution of different initial concentrations, the typical MB bands were all visible (Figure 6) even though the intensities were extremely low, as the MB sorption was only up to 118 mmol/kg, or about 34 mg/g.
3.6. Molecular Dynamic Simulations
The results of the simulation for ARS sorption on the HNC at the sorption capacity are illustrated in Figure 7. At an ARS sorption capacity of 45.3 mmol/kg, SSA is not a limiting factor for ARS sorption on the HNC. As such, a patchy ARS monolayer formed on the Al(OH)6 octahedral sheet of the HNC. The interaction may come from electrostatic interactions between the positively charged Al(OH)6 octahedral sheet [16] and ARS anions. On the contrary, at an MB sorption capacity of 118 mmol/kg, patchy MB bilayers formed on the surface of the SiO4 tetrahedral sheet (Figure 7). Under this condition, the SSA became the limiting factor. Additionally, at the MB sorption capacity, the amount of MB sorbed is about the same as the CEC of the HNCm and the MB is in cationic form, with Cl− as the counterion. The Cl− analyses showed that the equilibrium Cl− concentrations are less than the initial Cl− concentrations. At the MB sorption capacity, the Cl− sorbed is about 30 mmol/kg, about a quarter of the MB sorbed. This amount of Cl− sorption accounted for the formation of a patchy MB bilayer on HNC surfaces. The simulation showed the bridging effect of counterion Cl− for MB sorption (Figure 7).
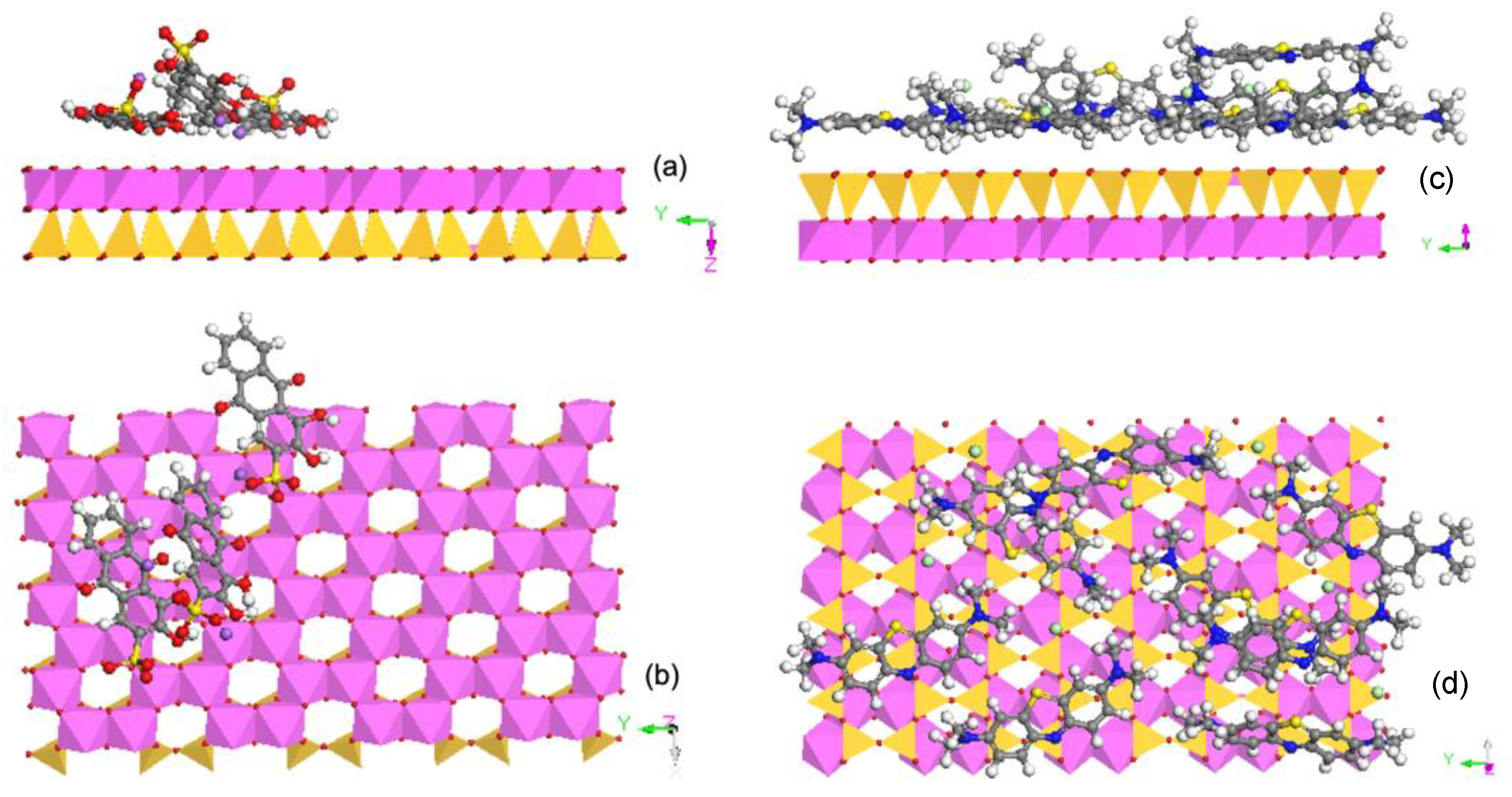
Figure 7.
A molecular dynamic simulation showing ARS sorption on an ab plane of the HNC in the presence of counterion Na+ projected along the a (a) and c (b) directions. For ARS, red: O; yellow: S; grey: C; white: H; purple: Na+ (Left). MB sorption on the ab plane of the HNC in the presence of counterion Cl− projected along the a (c) and c (d) directions. For MB, blue: N; yellow: S; grey: C; white: H; green: Cl− (Right).
For MB and ARS sorption from a mixed solution, the simulation showed that most of the ARS sorption was on the Al(OH)6 octahedral sheet, while most of the MB sorbed was on the SiO4 tetrahedral sheet (Figure 8). However, some ARS sorbed on top of the MB monolayer. Similarly, some MB sorbed on top of the ARS monolayer on the Al(OH)6 octahedral sheet. They looked like a patchy bilayer sorption but with different dye molecules of different electric charges. In this case, the function of counterion to bridge the dye molecules is no longer needed. It is the opposite surface charge of the present dye that contributed to elevated ARS and MB sorption.
Figure 8.
A molecular dynamic simulation showing ARS and MB sorption from a mixed solution on the ab plane projected along the a direction (a) and c direction on the SiO4 tetrahedral sheet (b) and the Al(OH)6 octahedral sheet (c). See Figure 7 for a detailed color notation of the different atoms.
3.7. Discussion
The presence of ARS may be involved in salt type and chelate type; both would involve interactions between the O on the ARS with divalent cations, predominately Ca2+ [4]. In addition, three species of the oxidized form of ARS would be present depending on solution pH and electrochemical reduction, which may lead to the dissociation of four phenolic hydroxyl groups with increasing pH values, resulting in a total of seven different species with negative charges located in different O [30]. The formation of Ca-ARS was noticed and used for the Ca stain [58]. Additionally, the formation of ARS with Ca could involve two ARS molecules [4]. However, the amount of present Ca2+ in the HNC is minimal, ranging from non-detectable to 0.40% for a dozen halloysite samples [59]. The HNC in this study is very pure [17]. Thus, none of the above-mentioned interactions may play a major role. Within the tested initial MB concentrations, monomers of MB prevail, and may form mixtures only with dye dimers [26]. The equilibrium between monomer and dimer is governed by:
where KD is the dimerization constant and [M] and [D] are the monomer and dimer concentrations of the dye, respectively. For MB, the KD values are about 2000 M−1 in the earlier studies and 6000 M−1 in most studies, and may be up to 20,770 M−1 at 282 K [60]. At the highest initial concentration of 2.5 mM, the monomer and dimer concentrations would be 0.68 and 0.91, 0.42 and 1.04, and 0.23 and 1.13 mM under these KD values. Thus, dimeric MB sorption contributed significantly to MB on HNC surfaces from a single solution, as can be seen in Figure 7c.
KD = [D]/[M]2
Alizarin is also capable of forming dimers with ligand complexation with a free reactive ligand, and Ca2+ could bridge the dimer [61]. Again, due to the high purity of the HNC [17] in this study, it is unlikely that Ca2+ would be present on HNC surfaces and be responsible for ARS uptake. Thus, for ARS sorption from a single solution, it may be due to the electrostatic interactions between the negatively charged ARS molecules and positively charged Al(OH)6 sheets, which resulted in an ARS sorption capacity of 45 mmol/kg, in comparison to 118 mmol/kg for MB sorption. A recent study showed the ACE value was only 10.5 meq/kg [18], while its CEC value was 120 meq/kg [28], which explained the lower ARS sorption in comparison to the MB sorption. Additionally, the MO sorption on the HNC was attributed to physical sorption, such as electrostatic attraction between the MO monomer or dye aggregation in the HNTs lumen and Al-OH2+ on the inner surface of the HNC [18]. Due to the opposite charges of ARS and MB, one molecule after being sorbed on the HNC surface may serve as a bridging ion to promote sorption of other dye molecules of opposite charges. In this case, the sorbed MB cations may interact with ARS via electrostatic interactions to promote more ARS sorption. Meanwhile, the hydrophobic portion of the MB may interact with the hydrophobic portion of ARS via hydrophobic interactions. The combination of these interactions resulted in a drastic increase in ARS sorption capacity to 192 mmol/kg. Meanwhile, the MB sorption increased from 118 in a single solution to 175 mmol/kg in a mixed solution (Table 1). As such, it is possible that in the presence of the HNC, enhancement of sorption of molecules of opposite charges could be achieved. However, as this study only tested a cationic dye MB and an anionic dye ARS to show this type of enhancement, more tests on organic molecules of opposite charges are needed before this speculation could be realized as a perspective for the HNC.
4. Conclusions
In this study, due to its opposite charges on inner and outer surfaces, the HNC was used as a sorbent to remove dye molecules of opposite charges. Cationic dye MB removal from a single solution matched with its CEC value of 120 meq/kg, suggesting that cation exchange played a dominant role. In contrast, the anionic dye ARS removal from a single solution was 45 mmol/kg, perhaps due to its lower AEC value. When both dyes were present in a binary solution, a significant increase in MB and ARS sorption capacities from 118 to 175 mmol/kg and from 45 to 192 mmol/kg was noticed. The drastic increase in sorption capacities for both dyes in the mixed solution strongly suggested synergistic interactions between the dye molecules of opposite charges. The synergistic effect may be due to salt bridging of sorbed ionic dyes to attract another type of dye of opposite charge and hydrophobic interactions. In addition, as the HNC has both positive and negative charges on opposite sides of the layered structure, this is definitely an advantage of using the HNC for the removal of mixed contaminants of opposite charges from the solution. As such, further exploration of the potential use of the HNC is also needed in future studies.
Author Contributions
Conceptualization, Z.L. and Q.W.; methodology, Z.L. and W.Z.; investigation, W.Z., K.C., and S.X.; resources, Z.L.; data curation, W.Z., X.W. and S.X.; writing—original draft preparation, Z.L.; writing—review and editing, Z.L.; visualization, Z.L. and X.W.; supervision, Z.L. and Q.W.; project administration, Z.L.; funding acquisition, Z.L. and Q.W. All authors have read and agreed to the published version of the manuscript.
Funding
The research is partially funded by WiSys and partially supported by the grant No. T2020008 from the Science Foundation of Education Commission of Hubei Province of China.
Data Availability Statement
The data are available upon request.
Acknowledgments
We thank Anna M. Benko, Shimadzu Analytical Instrumentation Laboratory and Research Center, Department of Chemistry and Biochemistry, University of Wisconsin Milwaukee, for her help in obtaining the FTIR spectra.
Conflicts of Interest
The authors declare no conflict of interest.
References
- Shabir, M.; Yasin, M.; Hussain, M.; Shafiq, I.; Akhter, P.; Nizami, A.S.; Jeon, B.H.; Park, Y.K. A review on recent advances in the treatment of dye-polluted wastewater. J. Ind. Eng. Chem. 2022, 112, 1–19. [Google Scholar] [CrossRef]
- Santos, S.C.R.; Boaventura, R.A.R. Adsorption of cationic and anionic azo dyes on sepiolite clay: Equilibrium and kinetic studies in batch mode. J. Environ. Chem. Eng. 2016, 4, 1473–1483. [Google Scholar] [CrossRef]
- Ukkund, S.J.; Puthiyillam, P.; Anqi, A.E.; Taqui, S.N.; Ali, M.A.; Syed, U.T.; Alghamdi, M.N.; Siddiqui, M.I.H.; Alshehri, H.M.; Safaei, M.R.; et al. A recent study on remediation of direct blue 15 dye using halloysite nanotubes. Appl. Sci. 2021, 11, 8196. [Google Scholar] [CrossRef]
- Lemlikchi, W.; Sharrock, P.; Fiallo, M.; Nzihou, A.; Mecherri, M.O. Hydroxyapatite and Alizarin sulfonate ARS modeling interactions for textile dyes removal from wastewaters. Procedia Eng. 2014, 83, 378–385. [Google Scholar] [CrossRef]
- Gregory, C.A.; Gunn, W.G.; Peister, A.; Prockop, D.J. An Alizarin red-based assay of mineralization by adherent cells in culture: Comparison with cetylpyridinium chloride extraction. Anal. Biochem. 2004, 329, 77–84. [Google Scholar] [CrossRef]
- Mukherjee, T.; Rahaman, M. Removal of alizarin red S dye from aqueous solution by electrocoagulation process. Int. J. Res. Eng. Appl. Manag. 2018, 4, 287–290. [Google Scholar] [CrossRef]
- Rheima, A.M.; Mahmood, R.S.; Hussain, D.H.; Abbas, Z.S. Study the adsorption ability of alizarin red dye from their aqueous solution on synthesized carbon nanotubes. Digest J. Nanomater. Biostruct. 2021, 16, 11–18. [Google Scholar] [CrossRef]
- Rahbar, N.; Tabatabaie, K.; Ramezani, Z. Adsorption of alizarin red S dye on raw endoskeleton nanopowder of cuttlefish (Sepia Pharaonis) from water solutions: Mechanism, kinetics and equilibrium modeling. J. Water Wastewater 2022, 32, 1–11. [Google Scholar]
- Al-Salihi, K.J.; Alfatlawi, W.R. Synthesis and characterization of low-cost adsorbent and used for Alizarin yellow GG and alizarin Red S dyes removal from aqueous solutions. IOP Conf. Ser. Mater. Sci. Eng. 2021, 1094, 012175. [Google Scholar] [CrossRef]
- Ginimuge, P.R.; Jyothi, S. Methylene blue: Revisited. J. Anaesthesiol. Clin. Pharmacol. 2010, 26, 517–520. [Google Scholar] [CrossRef]
- Rytwo, G.; Serban, C.; Nir, S.; Margulies, L. Use of methylene blue and crystal violet for determination of exchangeable cations in montmorillonite. Clays Clay Miner. 1991, 39, 551–555. [Google Scholar] [CrossRef]
- Pavithra, K.G.; Kumar, P.S.; Jaikumar, V.; Rajan, P.S. Removal of colorants from wastewater: A review on sources and treatment strategies. J. Ind. Eng. Chem. 2019, 75, 1–19. [Google Scholar] [CrossRef]
- Zhao, M.; Liu, P. Adsorption behavior of methylene blue on halloysite nanotubes. Micropor. Mesopor. Mater. 2008, 221, 419–424. [Google Scholar] [CrossRef]
- Almeida, C.A.P.; Debacher, N.A.; Downsc, A.J.; Cotteta, L.; Mello, C.A.D. Removal of methylene blue from colored effluents by adsorption on montmorillonite clay. J. Colloid Interface Sci. 2009, 332, 46–53. [Google Scholar] [CrossRef]
- Mu, M.; Wang, A. Adsorption of dyes onto palygorskite and its composites: A review. J. Environ. Chem. Eng. 2016, 4, 1274–1294. [Google Scholar] [CrossRef]
- Vergaro, V.; Abdullayev, E.; Lvov, Y.M.; Zeitoun, A.; Cingolani, R.; Rinaldi, R.; Leporatti, S. Cytocompatibility and uptake of halloysite clay nanotubes. Biomacromolecules 2010, 11, 820–826. [Google Scholar] [CrossRef]
- Lvov, Y.; Wang, W.; Zhang, L.; Fakhrullin, R. Halloysite clay nanotubes for loading and sustained release of functional compounds. Adv. Mater. 2016, 28, 1227–1250. [Google Scholar] [CrossRef] [PubMed]
- Chen, H.; Yan, H.; Pei, Z.; Wu, J.; Li, R.; Jin, Y.; Zhao, J. Trapping characteristic of halloysite lumen for methyl orange. Appl. Surf. Sci. 2015, 347, 769–776. [Google Scholar] [CrossRef]
- Zhao, Y.; Abdullayev, E.; Lvov, Y. Nanotubular halloysite clay as efficient water filtration system for removal of cationic and anionic dyes. IOP Conf. Ser. Mater. Sci. Eng. 2014, 64, 012043. [Google Scholar] [CrossRef]
- Filice, S.; Bongiorno, C.; Libertino, S.; Compagnini, G.; Gradon, L.; Iannazzo, D.; La Magna, A.; Scalese, S. Structural characterization and adsorption properties of Dunino raw halloysite mineral for dye removal from water. Materials 2021, 24, 3676. [Google Scholar] [CrossRef]
- Ngulube, T.; Gumbo, J.R.; Masindi, V.; Maity, A. Evaluation of the efficacy of halloysite nanotubes in the removal of acidic and basic dyes from aqueous solution. Clay Miner. 2019, 54, 197–207. [Google Scholar] [CrossRef]
- Abdel-Fadeel, M.A.; Aljohani, N.S.; Al-Mhyawi, S.R.; Halawani, R.F.; Aljuhani, E.H.; Salam, M.A. A simple method for removal of toxic dyes such as Brilliant Green and Acid Red from the aquatic environment using halloysite nanoclay. J. Saudi Chem. Soc. 2022, 26, 101475. [Google Scholar] [CrossRef]
- He, X.; Male, K.B.; Nesterenko, P.N.; Brabazon, D.; Paull, B.; Luong, J.H. Adsorption and desorption of methylene blue on porous carbon monoliths and nanocrystalline cellulose. ACS Appl. Mater. Interface 2013, 5, 8796–8804. [Google Scholar] [CrossRef]
- Chen, F.; Zhao, E.; Kim, T.; Wang, J.; Hableel, G.; Reardon, P.J.T.; Ananthakrishna, S.J.; Wang, T.; Arconada-Alvarez, S.; Knowles, J.C.; et al. Organosilica nanoparticles with an intrinsic secondary amine: An efficient and reusable adsorbent for dyes. ACS Appl. Mater. Interface 2017, 9, 15566–15576. [Google Scholar] [CrossRef]
- Salazar-Rabago, J.J.; Leyva-Ramos, R.; Rivera-Utrilla, J.; Ocampo-Perez, R.; Cerino-Cordova, F.J. Biosorption mechanism of Methylene Blue from aqueous solution onto White Pine (Pinus durangensis) sawdust: Effect of operating conditions. Sustain. Environ. Res. 2017, 27, 32–40. [Google Scholar] [CrossRef]
- Klika, Z.; Čapková, P.; Horáková, P.; Valášková, M.; Malý, P.; Macháň, R.; Pospíšil, M. Composition, structure, and luminescence of montmorillonites saturated with different aggregates of methylene blue. J. Colloid Interface Sci. 2007, 311, 14–23. [Google Scholar] [CrossRef]
- Jiang, W.T.; Chang, P.H.; Tsai, Y.; Li, Z. Halloysite nanotubes as a carrier for the uptake of selected pharmaceuticals. Micropor. Mesopor. Mater. 2016, 220, 298–307. [Google Scholar] [CrossRef]
- Sanghavi, B.J.; Hirsch, G.; Karna, S.P.; Srivastava, A.K. Potentiometric stripping analysis of methyl and ethyl parathion employing carbon nanoparticles and halloysite nanoclay modified carbon paste electrode. Anal. Chim. Acta 2012, 735, 37–45. [Google Scholar] [CrossRef] [PubMed]
- Pasbakhsh, P.; Churchman, G.J.; Keeling, J.L. Characterisation of properties of various halloysites relevant to their use as nanotubes and microfibre fillers. Appl. Clay Sci. 2013, 74, 47–57. [Google Scholar] [CrossRef]
- Turcanu, A.; Bechtold, T. pH Dependent redox behaviour of Alizarin Red S (1, 2-dihydroxy-9, 10-anthraquinone-3-sulfonate)–Cyclic voltammetry in presence of dispersed vat dye. Dyes Pigment. 2011, 91, 324–331. [Google Scholar] [CrossRef]
- Li, Z.; Chang, P.H.; Jiang, W.T.; Jean, J.S.; Hong, H. Mechanism of methylene blue removal from water by swelling clays. Chem. Eng. J. 2011, 168, 1193–1200. [Google Scholar] [CrossRef]
- Florence, N.; Naorem, H. Dimerization of methylene blue in aqueous and mixed aqueous organic solvent: A spectroscopic study. J. Mol. Liq. 2014, 198, 255–258. [Google Scholar] [CrossRef]
- Hebert, J.; Wang, L.; Wang, X.; Baker, J.; Rivera, N.; Troedel, M.; Li, Z. Mechanisms of safranin O interaction with 1: 1 layered clay minerals. Separat. Sci. Technol. 2021, 56, 1985–1995. [Google Scholar] [CrossRef]
- Shi, Y.; Baker, J.; Feng, C.; Wang, X.; Li, Z. Removal of toluidine blue from water using 1: 1 layered clay minerals. Adv. Powder Technol. 2022, 33, 103608. [Google Scholar] [CrossRef]
- Al-Ghouti, M.A.; Da’ana, D.A. Guidelines for the use and interpretation of adsorption isotherm models: A review. J. Hazard. Mater. 2020, 393, 122383. [Google Scholar] [CrossRef]
- Rehman, R.; Abbas, A.; Murtaza, S.; Anwar, J.; Mahmud, T.; Akbar, S. Adsorption parameters optimization for removal of alizarin red-S and brilliant blue FCF dyes from water using Abelmoschus esculentus stem powder. J. Chem. Soc. Pak. 2013, 35, 443–448. [Google Scholar]
- Wu, L.; Liu, X.; Lv, G.; Zhu, R.; Tian, L.; Liu, M.; Li, Y.; Rao, W.; Liu, T.; Liao, L. Study on the adsorption properties of methyl orange by natural one-dimensional nano-mineral materials with different structures. Sci. Rep. 2021, 11, 10640. [Google Scholar] [CrossRef]
- Thirumoorthy, K.; Krishna, S.K. Removal of cationic and anionic dyes from aqueous phase by Ball clay–Manganese dioxide nanocomposites. J. Environ. Chem. Eng. 2020, 8, 103582. [Google Scholar]
- Gray-Wannell, G.; Holliman, P.J.; Greenwell, H.C.; Delbos, E.; Hillier, S. Adsorption of phosphate by halloysite (7 Å) nanotubes (HNTs). Clay Miner. 2020, 55, 184–193. [Google Scholar] [CrossRef]
- El-Maghraby, A.; El Deeb, H.A. Removal of a basic dye from aqueous solution by adsorption using rice hulls. Glob. NEST J. 2011, 13, 90–98. [Google Scholar]
- Ghosh, D.; Bhattacharyya, K.G. Adsorption of methylene blue on kaolinite. Appl. Clay Sci. 2002, 20, 295–300. [Google Scholar] [CrossRef]
- Zhuang, G.; Rodrigues, F.; Zhang, Z.; Fonseca, M.G.; Walter, P.; Jaber, M. Dressing protective clothing: Stabilizing alizarin/halloysite hybrid pigment and beyond. Dye. Pigment. 2019, 166, 32–41. [Google Scholar] [CrossRef]
- Gautam, R.K.; Banerjee, S.; Gautam, P.K.; Rawat, V.; Kumar, A.; Singh, S.K.; Chattopadhyaya, M.C. Biosorption of an acidic dye, alizarin red S, onto biosorbent of mustard husk: Kinetic, equilibrium modeling and spectroscopic analysis. Asian J. Res. Chem. 2014, 7, 417–425. [Google Scholar]
- Marzec, A.; Szadkowski, B.; Rogowski, J.; Maniukiewicz, W.; Szynkowska, M.I.; Zaborski, M. Characteristics of hybrid pigments made from alizarin dye on a mixed oxide host. Materials 2019, 12, 360. [Google Scholar] [CrossRef] [PubMed]
- Algra, R.E.; Graswinckel, W.S.; Van Enckevort, W.J.P.; Vlieg, E. Alizarin crystals: An extreme case of solvent induced morphology change. J. Cryst. Growth 2005, 285, 168–177. [Google Scholar] [CrossRef]
- El-Nahass, M.M.; Zeyada, H.M.; El-Ghamaz, N.A.; Awed, A.S. Structural investigation, thermal analysis and AC conduction mechanism of thermally evaporated alizarin red S thin films. Optik 2018, 170, 304–313. [Google Scholar] [CrossRef]
- Rawtani, D.; Agrawal, Y.K. A study of the behavior of HNT with DNA intercalator acridine orange. BioNanoSci. 2013, 3, 52–57. [Google Scholar] [CrossRef]
- Jiang, W.T.; Tsai, Y.; Wang, X.; Tangen, H.J.; Baker, J.; Allen, L.; Li, Z. Sorption of acridine orange on non-swelling and swelling clay minerals. Crystals 2022, 12, 118. [Google Scholar] [CrossRef]
- Chin, Y.P.; Raof, S.F.A.; Sinniah, S.; Lee, V.S.; Mohamad, S.; Manan, N.S.A. Inclusion complex of Alizarin Red S with β-cyclodextrin: Synthesis, spectral, electrochemical and computational studies. J. Mol. Struct. 2015, 1083, 236–244. [Google Scholar] [CrossRef]
- Abdou, M.M.; Bondock, S.; El-Desouky, S.I.; Metwally, M.A. Synthesis, spectroscopic studies and technical evaluation of novel disazo disperse dyes derived from 3-(2-hydroxyphenyl)-2-pyrazolin-5-ones for dyeing polyester fabrics. Am. J. Chem. 2013, 3, 59–67. [Google Scholar]
- Awadallah, M.A.; Rashed, M.N.; Mohamed, A.E.; Cheira, M.F. The use of Alizarin modified bentonite for removal of some heavy metals ions from the wet process phosphoric acid. J. Sci. Res. Sci. 2018, 35, 483–505. [Google Scholar]
- Harikumar, P.S.; Joseph, L.; Dhanya, A. Photocatalytic degradation of textile dyes by hydrogel supported titanium dioxide nanoparticles. J. Environ. Eng. Ecolog. Sci. 2013, 2. [Google Scholar] [CrossRef]
- Holmgren, A.; Wu, L.; Forsling, W. Fourier transform infrared and Raman study of Alizarin Red S adsorbed at the fluorite–water interface. Spectrochim. Acta Part A Mol. Biomol. Spectrosc. 1999, 55, 1721–1730. [Google Scholar] [CrossRef]
- Legan, L.; Retko, K.; Ropret, P. Vibrational spectroscopic study on degradation of alizarin carmine. Microchem. J. 2016, 127, 36–45. [Google Scholar] [CrossRef]
- Djellali, S.; Touati, A.; Semmeq, A.; Kebaili, M.; Badawi, M.; Bonilla-Petriciolet, A. Unravelling the methylene blue adsorption mechanism on doped and nondoped polyaniline: A combined molecular modeling and experimental investigation. Int. J. Chem. Eng. 2022, 2022, 3181963. [Google Scholar] [CrossRef]
- Ovchinnikov, O.V.; Chernykh, S.V.; Smirnov, M.S.; Alpatova, D.V.; Vorob’Eva, R.P.; Latyshev, A.N.; Evlev, A.B.; Utekhin, A.N.; Lukin, A.N. Analysis of interaction between the organic dye methylene blue and the surface of AgCl (I) microcrystals. J. Appl. Spectrosc. 2007, 74, 809–816. [Google Scholar] [CrossRef]
- Alshehri, A.A.; Malik, M.A. Biogenic fabrication of ZnO nanoparticles using Trigonella foenum-graecum (Fenugreek) for proficient photocatalytic degradation of methylene blue under UV irradiation. J. Mater. Sci. Mater. Electron. 2019, 30, 16156–16173. [Google Scholar] [CrossRef]
- Puchtler, H.; Meloan, S.N.; Terry, M.S. On the history and mechanism of alizarin and alizarin red S stains for calcium. J. Histochem. Cytochem. 1969, 17, 110–124. [Google Scholar] [CrossRef] [PubMed]
- Ross, C.S.; Kerr, P.F. Halloysite and Allophane. In Shorter Contributions to General Geology; US Government Printing Office: Washington, DC, USA, 1934; pp. 135–148. [Google Scholar]
- Fernández-Pérez, A.; Marbán, G. Visible light spectroscopic analysis of methylene blue in water; what comes after dimer? ACS Omega 2020, 5, 29801–29815. [Google Scholar] [CrossRef]
- Myers, H.M. Calcium (II)-mediated doubling of Alizarin adsorption in vitro. Arch. Oral Biol. 1981, 26, 537–539. [Google Scholar] [CrossRef]
Disclaimer/Publisher’s Note: The statements, opinions and data contained in all publications are solely those of the individual author(s) and contributor(s) and not of MDPI and/or the editor(s). MDPI and/or the editor(s) disclaim responsibility for any injury to people or property resulting from any ideas, methods, instructions or products referred to in the content. |
© 2023 by the authors. Licensee MDPI, Basel, Switzerland. This article is an open access article distributed under the terms and conditions of the Creative Commons Attribution (CC BY) license (https://creativecommons.org/licenses/by/4.0/).







