Next Article in Journal
Design of Titanium Alloys Insensitive to Thermal History for Additive Manufacturing
Next Article in Special Issue
The Influence of CaF2 Doping on the Sintering Behavior and Microwave Dielectric Properties of CaO-B2O3-SiO2 Glass-Ceramics for LTCC Applications
Previous Article in Journal
Preparation and Performance of Highly Stable Cathode Material Ag2V4O11 for Aqueous Zinc-Ion Battery
 
 
Font Type:
Arial Georgia Verdana
Font Size:
Aa Aa Aa
Line Spacing:
Column Width:
Background:
Article

Sintering Characteristics and Microwave Dielectric Properties of BaTi4O9 Ceramics with CuO–TiO2 Addition

1
Institute of Advanced Ceramics, College of Materials Science and Engineering, Fuzhou University, Fuzhou 350108, China
2
College of Zijin Mining, Fuzhou University, Fuzhou 350108, China
*
Author to whom correspondence should be addressed.
Crystals 2023, 13(4), 566; https://doi.org/10.3390/cryst13040566
Submission received: 9 March 2023 / Revised: 21 March 2023 / Accepted: 23 March 2023 / Published: 27 March 2023
(This article belongs to the Special Issue Microwave Dielectric Ceramics)

Abstract

Sintering characteristics, phase evolutions, microstructures, and microwave dielectric properties have been investigated for BaTi4O9 ceramics prepared by traditional low temperature sintering using CuO–TiO2 (CT) additions as aids. The sintering temperature of BaTi4O9 ceramics was found to evidently reduce from 1350 °C to about 1100 °C with a very small amount of 0.5 wt% CT addition. When the CT addition increased to beyond 0.5 wt%, however, it was not expected to further lower the sintering temperature. Meantime, the secondary phases of Ba4Ti13O30, BaTiO3, and TiO2 were observed in these BaTi4O9-based ceramics when the CT content was beyond 2 wt%. With the introduction of the CT addition, the permittivity (ε) had little enhancement, and the temperature coefficient of the resonant frequency (τf) was improved to near zero. The BaTi4O9 ceramics with 0.5 wt% CT additions, sintered at 1100 °C, exhibited excellent microwave dielectric properties, such as ε = 36.9, Q × f = 23100 GHz, and τf = 2.5 ppm/°C. In addition, the densification mechanism and variations of the microwave dielectric properties have also been discussed with the crystal phase and microstructure’s evolution.

1. Introduction

In the past several decades, great attention has been paid to microwave dielectric ceramics due to their wide applications in mobile and satellite telecommunication systems. Generally, to meet the demands, suitable permittivity (ε), low dielectric loss, and near-zero temperature coefficients of resonate frequencies (τf) are required for these microwave dielectric ceramics [1,2,3,4,5,6] For application in base stations or satellite telecommunications, high Qf values, middle permittivity (25 < e < 50), and near zero tf (−10 ppm/°C < tf < 10 ppm/°C) are usually required in microwave dielectric ceramics [3]. A series of compounds with middle permittivity, such as BaTi4O9, Ba2Ti9O20, (Zr,Sn)TiO4, Ba(Zn1/3Nb2/3)O3, CaTiO3–NdAlO3, and CaLa4Ti4O15 have been developed for practical applications [3,4,5,6,7]. Recently, some novel dielectric ceramics with middle permittivity have been explored [8,9,10,11]. Among these dielectric ceramics with middle permittivity, TiO2-rich compounds of BaTi4O9 exhibit excellent microwave dielectric properties such as a middle permittivity of 37–39, a high Qf of 21,000–37,000 GHz, and near-zero temperature coefficients of 15 ppm/°C [6,7].
Recently, low temperature co-fired technologies have been developed to meet the demand of the miniaturization of microwave devices. Thus, the sintering temperatures of microwave dielectric ceramics need to match with the internal electrodes of Ag and Ag-Pd with a low melting point, which are required low temperature co-fired ceramics (LTCC). BaTi4O9 exhibits excellent microwave dielectric properties such as a middle permittivity of 37–39, a high Qf of 21,000–37,000 GHz, and near-zero temperature coefficients of 15 ppm/°C. However, its sintering temperature is as high as 1350 °C, which is too high for application in the field of LTCC. In addition, lowering the sintering temperature is helpful for energy saving. Therefore, it is interesting to lower the sintering temperature of BaTi4O9 microwave dielectric ceramics. For application in the field of LTCC, considering energy savings, two methods are, usually, adopted to reduce the sintering temperatures of dielectric ceramics with high sintering temperatures. One is to prepare the ceramics derived from nano-powder. The other is the introduction of glass or oxides with low melting temperatures to liquid phase sintering. The latter method has often been adopted to lower the sintering temperature of microwave dielectric ceramics [12,13,14,15,16]. In addition, some advanced sintering methods such as cold sintering [17] and microwave sintering [18] have been adopted to prepare functional ceramics at low temperatures. Considering the economic, energy saving, and production efficiencies, liquid phase sintering is the most well-known approach for the low temperature sintering of microwave dielectric ceramics.
Some studies have reported on the low temperature sintering of BaTi4O9 ceramics. BaO–ZnO–B2O3, La2O3–B2O3–CaO, B–La–Mg–Ti–O, and B2O3–ZnO–La2O3 glass and BaCuB2O5 and BaB2O4 compounds have been adopted as sintering aids to reduce the sintering temperatures of BaTi4O9 ceramics [14,15,16,19,20,21]. As shown in Table 1, sintering temperatures can be significantly lowered from 1350 °C to about 900 °C. For example, after the introduction of 27.5 wt% BaO–ZnO–B2O3 glass, the sintering temperature of BaTi4O9–based ceramics is considerably decreased to 925 °C, and excellent microwave dielectric properties such as ε = 26.4, Q × f = 27,300 GHz, and τf = 3.3 ppm/°C are achieved [15]. Some examples of glass such as La2O3–B2O3–CaO and B–La–Mg–Ti–O are even added in at concentrations as high as 50–70 wt% [19,21]. As stated above, although these glasses or compounds can effectively reduce the sintering temperature of BaTi4O9 ceramics, high-content aids, for example, 20%, have often been added in order to reduce the sintering temperature. The consequent results are the deterioration of the microwave dielectric properties. One is the degradation of the Qf value, the other is that the temperature coefficient is not zero. Therefore, it is important and urgent to prepare high Qf values and near-zero temperature coefficient BaTi4O9 microwave dielectric ceramics with a small amount of sintering aid.
CuO is a common sintering aid for dielectric ceramics [22]. However, CuO, sometimes, does not reduce the sintering temperature enough to meet well the demands of the LTCC. Thus, CuO-based binary sintering aids are investigated. In previous studies, e.g., [23,24,25], once TiO2 was introduced to CuO, the liquid phase temperature reduced to the eutectic temperature of the CuO–TiO2 binary system. After the investigation of details via differential scanning calorimetry (DSC) and thermogravimetric (TG) analysis, in conjunction with hot-stage microscopy, the eutectic temperature and composition of the CuO–TiO2 system was certified as 1010 ± 10 °C and 83 CuO:17 TiO2, respectively [23]. However, a computed eutectic temperature of 919 °C and a composition of 16.7 mol% TiO2 at pO2 = 1 atm have been reported by Lu et al. [24] for the CuO–TiO2 system, which is shown in Figure 1. Although there is little variation in eutectic temperature and composition in these investigations, the eutectic temperature was low enough to act as a sintering aid. Thus, CuO–TiO2 may be a prospect sintering aid for microwave dielectric ceramics. In the present work, the eutectic composition of CuO–TiO2 has been chosen as a sintering aid to lower the sintering temperature of BaTi4O9 microwave dielectric ceramics. The sintering behaviors, microstructures, and microwave dielectric properties of BaTi4O9 ceramics have been investigated in detail. Additionally, the sintering mechanisms and variations of microwave dielectric properties have been also discussed with the crystal phase and microstructure’s evolution.

2. Materials and Methods

CuO–TiO2 (CT) additions were prepared according to 83.3 mol% CuO-16.7 mol%TiO2, using CuO (99.0%) and TiO2 (99.0%) reagent powder. The weighted powder was ground for 12 h by ball milling in distilled water. Afterwards, the mixtures were dried to become a sintering additive. BaTi4O9 powder was synthesized by conventional solid-state reaction methods at a high temperature. According to the formula of BaTi4O9, raw materials of BaCO3 (99.8%) and TiO2 (99.0%) were weighed and ground in a polyethylene jar for 12 h by ball milling in distilled water. The ground powder was dried at 90 °C for 24 h and then calcined at 1200 °C for 2 h in air to obtain the single phase of the BaTi4O9. The calcined BaTi4O9 powder with a 0–10 wt% CT addition was reground for 8 h using distilled water. After drying, 5% PVA solution was added as a binder for granulation to the mixed powder. The granulated powder was pressed into pellets with a 13 mm diameter and a 2–6 mm thickness at a pressure of 100 MPa. To remove the PVA binder, the pellets were heated to 600 °C with a heating rate of 5 °C/min and a dwelling time of 2 h. After burning out the binder, the pellets were sintered in air by traditional liquid sintering at the temperature range of 1000–1125 °C with a dwelling time of 3 h to obtain the dense BaTi4O9-based ceramics. The heating rate was 5°C/min and cooled with the furnace after dwelling.
Thermogravimetry and differential thermal analysis (TG–DSC) were carried out by a synchronous thermal analyzer (STA 449C, NETZSCH, Germany), with a heating rate of 10 °C/min in an N2 atmosphere from room temperature to 1150 °C. The bulk densities of the sintered samples were determined by the Archimedes method. The shrinkage (h) of the BaTi4O9-based ceramics was calculated from the diameter difference before and after sintering. The equation was h = (r0 − r1)/m0 × 100%, where r0 and r1 were the diameters before and after sintering, respectively. The mass loss (d) of the pellets was evaluated by the mass difference before and after sintering, i.e., d = (m0 − m1)/m0 × 100%, where m0 and m1 were the masses before and after sintering, respectively. The crystalline phases of the dense BaTi4O9-based ceramics were identified by powder X-ray diffraction (XRD, XD−5A, CuKα, λ = 1.5406 × 10−10 m, Shimadzu, Japan). The polished and thermally etched surfaces of the sintered samples were observed by environmental scanning electron microscopy (ESEM, XL30 ESEM–TMP, Philips, Netherlands). Microwave dielectric properties of sintered samples were measured by the TE01δ mode [26], using a vector network analyzer (R3767BH, Advantest, Japan). Additionally, the temperature coefficient of the resonant frequency τf was calculated from the temperature coefficient of the dielectric constant τε, according to the equation of τf = −1/2τε − α, where α was the linear expansion coefficient (~6–10 ppm/°C). τε was measured in the temperature range of 25 to 85 °C using a precise LCR meter (Agilent 4284A, Agilent, Malaysia) at 1 MHz.

3. Results

Figure 2 shows the DSC and TG curves of BaTi4O9 powder with 0.5% and 5% CT additions as the function of temperature. As shown in Figure 1, an evident mass loss around 900 °C can be observed for BaTi4O9 powder with 0.5% CT, and a corresponding sharp endothermal peak appears in the DSC curve. This endothermal peak can be ascribed to the formation of the CuO–TiO2 liquid phase, which is in agreement with the eutectic temperature of the CuO–TiO2 binary reported by Lu et al. [24]. This is about 100 °C lower than the other reported values of eutectic temperatures in CuO–TiO2 systems [23,25]. Although the CT addition is only 0.5%, the mass loss is as high as about 0.65%, which suggests that some BaTi4O9 dissolved into the eutectic liquid phase of the CuO–TiO2 system. This is helpful for the densification of BaTi4O9 ceramics [27]. However, no evident mass loss is observed for the BaTi4O9 powder with a 5.0% CT addition when the temperature is beyond 800 °C. This is, evidently, different from that of the BaTi4O9 powder with a 0.5% CT addition. Furthermore, the corresponding endothermal peak becomes weak and wide in the DSC curve. The variation between the two DSC and TG curves for BaTi4O9 powder with 0.5% and 5% CT additions suggests that reaction occurs in the powders of the BaTi4O9 and CuO–TiO2 addition, which results in the elevating of the liquid phase temperature. This results in no evident mass loss.
After sintering at different temperatures, the mass loss in Figure 3 is for the sintered BaTi4O9 ceramics with different contents of CT additions. The larger mass loss is observed for the BaTi4O9 ceramics with the higher CT addition. The mass loss is beyond 2.0% for the BaTi4O9 ceramics with a 10% CT addition. The mass loss is in the range of 0.55–0.85% for the BaTi4O9 ceramics with 0.5–5.0% CT addition. Although the dwelling time is 3 h and the sintering temperature is higher than eutectic temperature of CT, it should be noted that the value of mass loss is lower than the corresponding mass loss at a eutectic temperature of around 900 °C in the TG curve for BaTi4O9 powder with a 0.5 wt% CT addition. This is due to the N2 atmosphere flow during the TG–DSC measurement. In addition, a low mass loss of 0.85% is observed for the BaTi4O9 ceramics with a 5.0% CT addition, which is also consistent with the result of the TG–DSC. For every BaTi4O9 ceramic with a different addition of CT content, four pellets are measured to evaluate the mass loss before and after sintering. The discrepancy of mass loss is below 0.025%.
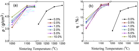
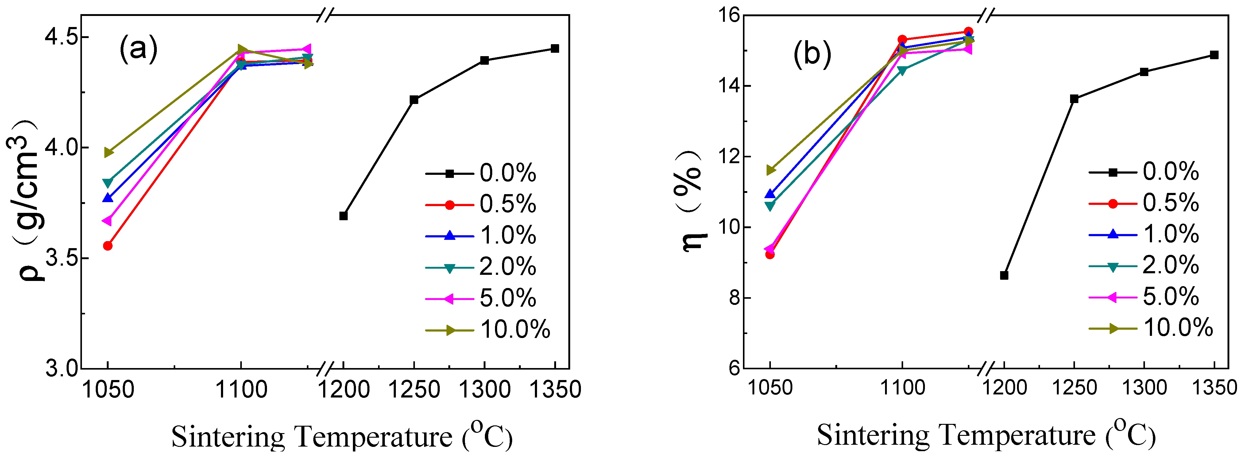
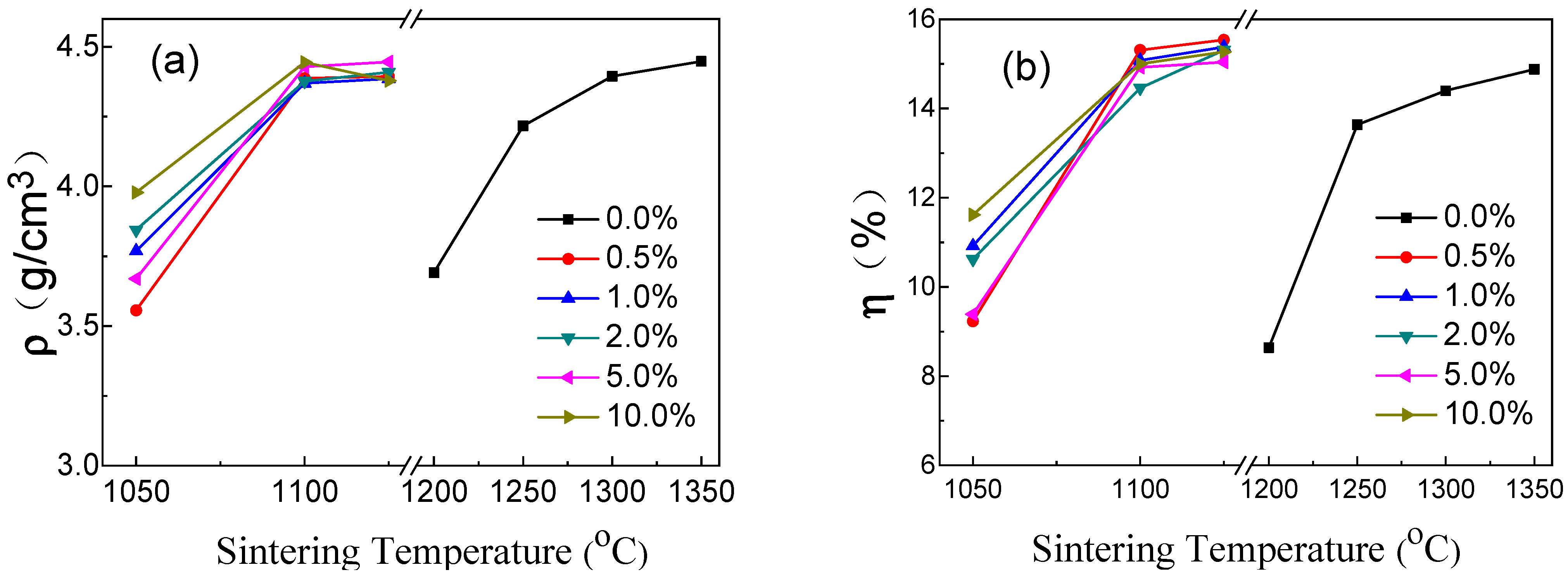
The density (r) and shrinkage (h) of BaTi4O9 ceramics with various amounts of CT additions are shown in Figure 4. Without CT addition, pure BaTi4O9 ceramics are densely sintered at a high temperature of 1350 °C, which is consistent with previous reports [14,15]. After the introduction of a very small amount of CT (0.5%), the dense BaTi4O9-based ceramics with the density of about 4.4 g/cm3 can be achieved at 1100 °C, which is evidently lower than the sintering temperature of 1350 °C for pure BaTi4O9 ceramics. However, with the increase in the CT addition, despite the density sintering at 1050 °C showing evident enhancements, the sintering temperature for the dense BaTi4O9-based ceramics is still around 1100 °C, which has little variation with the CT content. As shown in Figure 4a, similar trends of shrinkage are observed for the BaTi4O9-based ceramics with a CT addition. Additionally, the BaTi4O9 ceramics with a CT addition exhibit higher shrinkages, which are beyond 15%.
Figure 5 demonstrates XRD patterns of dense BaTi4O9 ceramics with different contents of CT addition. According to the XRD patterns, all the diffraction peaks can be ascribed to the BaTi4O9 phase (JCPDS File No. 34-0070) for the BaTi4O9-based ceramics with a small amount of CT addition (below 2.0%). Otherwise, the secondary phases of BaTiO3 (JCPDS File No. 05-0626), Ba4Ti13O30 (JCPDS File No. 35-0750), and TiO2 (JCPDS File No. 73-2224) are observed when the CT addition is above 2.0%. It has been reported that even a small deviation in BaTi4O9 can result in the formation of many stable TiO2-rich compounds such as Ba4Ti13O30 and Ba2Ti9O20 in the BaO–TiO2 system [28,29,30]. With increasing CT additions, the intensities of the Ba4Ti13O30 phase diffraction peaks are evidently enhanced, which indicates that the content of the Ba4Ti13O30 phase gradually increases. When the CT content further increases to 10%, the Ba4Ti13O30 phase becomes the major phase. This phase evolution may be due to the introduction of the CT to BaTi4O9. Combining the results of the TG–DSC and mass loss suggests that a partial reaction occurs between CT and BaTi4O9 during the sintering. When the temperature is elevated to a eutectic temperature of the CuO–TiO2 system (around 900 °C), the liquid phase of the CT appears during the sintering. The CT liquid phase has two effects. One promotes the densification of BaTi4O9-based ceramics. The other induces the decomposition and partial dissolution of BaTi4O9 in the liquid phase because the Ti content of Ba4Ti13O30 is lower than that of BaTi4O9. According to the phase evolution, the reaction equation can be depicted as follows,
4 BaTi4O9 = Ba4Ti13O30 + 3 TiO2
BaTi4O9 = BaTiO3 + 4 TiO2
The decomposition of BaTi4O9 results in more TiO2, which will increase the TiO2 content of the CuO–TiO2 system. Consequently, the composition of the CT addition is away from the eutectic composition, shifts to TiO2, and ends in the CuO–TiO2 system. This results in the temperature corresponding to the liquid phase of CuO–TiO2 system rising and the noncongruent melting occurring, according to the theory of phase diagram. Therefore, a sharp endothermal peak and an evident mass loss are observed in the TG-DSC curves for BaTi4O9 powder with a 0.5% CT. However, no strong endothermal peak or evident mass loss are observed in the BaTi4O9 powder with a 5% CT addition. Thus, the sintering temperature of the BaTi4O9-based ceramics lowers to just around 1100 °C and does not further decrease when the CT addition further increases in the range of 0.5–10.0%. The sintering behaviors are closely related with the phase evolution.
Figure 6 gives SEM images of the dense BaTi4O9 ceramics with different amounts of CT additions. The present ceramics exhibit little porosity, which is consistent with the high densities in Figure 4a. After the introduction of the CT addition, the grains of BaTi4O9 ceramics are evidently smaller because the lower sintering temperature suppresses the grain growth. Additionally, some white regular grains in the BaTi4O9-based ceramics with a 1.0% or more CT addition clearly exist, and this content increases with the increase in the CT addition. Thus, this also certifies that partial reaction occurs between the CT and BaTi4O9 during the sintering. These grains correspond to the secondary phases of BaTiO3, Ba4Ti13O30, and TiO2. Additionally, there are a few grains with abnormal grain growths for the BaTi4O9-based ceramics with a 0.5% and 1.0% CT, as shown in Figure 5b,c. In addition, as shown in Figure 5e,f, melting phenomena are clearly observed for the BaTi4O9-based ceramics with a 5.0% and 10.0% CT. This indicates that more liquid phases are formed in the BaTi4O9-based ceramics during sintering.
From the variations in sintering behaviors and structure evolutions, the sintering mechanisms of BaTi4O9-based ceramics with CT additions can be concluded as follows. As per the TG–DSC results and the investigation of the CuO–TiO2 system, the BaTi4O9-based ceramics with CT additions exhibit liquid phase sintering. According to the sintering theory of liquid phase sintering, the extensive densification of ceramics is associated with a low liquid solubility in solid combinations and a high solid solubility in the liquid [27]. When the temperature is elevated to the eutectic point of CuO–TiO2, the liquid phase occurs during the sintering. As stated above, the sintering temperature of BaTi4O9 can be reduced from 1350 °C to about 1100°C with a very small amount of CT addition, e.g., 0.5%. In conclusion, BaTi4O9 has a high solid solubility in the liquid of CuO–TiO2. XRD patterns demonstrate that the secondary phases of BaTiO3, Ba4Ti13O30, and TiO2 are formed during sintering, which means that the decomposition of BaTi4O9 results in the formation of BaTiO3/Ba4Ti13O30 and TiO2. Once the decomposition occurs, the content of TiO2 increases. This results in composition shifts to the end of the rich TiO2 in the CuO–TiO2 system. Consequently, the liquid temperature rises and noncongruent melting occurs. Therefore, as shown in the TG–DSC curves, no strong endothermal peaks and evident mass losses are observed in the BaTi4O9 powder with a 5% CT addition. Thus, sintering temperature has little change with different contents of CT addition. However, more melting phenomena are observed in the SEM images for BaTi4O9-based ceramics with higher contents of CT addition.
As a function of CT additions, the microwave dielectric properties of BaTi4O9 ceramics are shown in Figure 7. With the increase in CT addition, permittivity keeps around 37.0 in the CT range of 0–1% and then elevates to 41.0 for a 10% CT addition. The permittivity of dielectric ceramics, in general, depends on the density and permittivity of constitution phases. As stated above, all of the BaTi4O9-based ceramics with CT additions have high densities. For the BaTi4O9-based ceramics with a small amount of CT addition (below 2.0%), only the BaTi4O9 phase is observed in the XRD patterns. Otherwise, the secondary phases of BaTiO3, Ba4Ti13O30, and TiO2 with high permittivity are formed. Therefore, the variation in permittivity with CT addition is consistent with the phase evolution of BaTi4O9-based ceramics. However, there is a rapid decrease in the Qf values of the BaTi4O9 ceramics with a small amount of CT addition. When the CT addition is 10.0%, the Qf value rapidly deteriorates to below 10,000 GHz. This is likely because of the large amount of the BaTiO3 and Ba4Ti13O30 secondary phase with a high dielectric loss [16,28,31]. Compared to permittivity, there is an opposite trend for the temperature coefficient of the resonant frequency τf. The value of τf is around zero in the CT range of 0–1% and rapidly decreases when the CT addition is beyond 1%. Table 1 lists the microwave dielectric properties of some BaTi4O9-based ceramics sintered at low temperatures. Although previous studies studied sintering temperatures of only about 900 °C, there are two aspects that should be noted. One is that these investigations adopted larger content additions, such as 20%, which are far above that of the present work. The other is that the BaTi4O9-based ceramics exhibit low permittivity or high τf values. The excellent microwave dielectric properties of ε = 36.9, Q × f = 23,100 GHz, and τf = 2.5 ppm/°C are achieved for the BaTi4O9 ceramics sintered at 1100 °C with only a 0.5% CT addition.

4. Conclusions

The effects of the addition of CuO–TiO2 (CT) on sintering behaviors, phase evolutions, microstructures, and microwave dielectric properties have been investigated for BaTi4O9 ceramics. The sintering temperatures of BaTi4O9 ceramics were found to evidently reduce from 1350 °C to about 1100 °C with a very small amount of CT addition, e.g., 0.5%. However, the sintering temperatures of BaTi4O9-based ceramics did not further decrease with the increase in CT addition. Furthermore, the secondary phases of Ba4Ti13O30, BaTiO3, and TiO2 are observed in these BaTi4O9-based ceramics with a 2.0–10.0% CT addition. With a small amount of CT introduction, not only have the sintering behaviors been improved, but, also, the excellent microwave dielectric properties of ε = 36.9, Q × f = 23,100 GHz, and τf = 2.5 ppm/°C were achieved for the BaTi4O9 ceramics sintered at 1100 °C with a 0.5% CT addition. The variations in microwave dielectric properties and sintering mechanisms have also been discussed with TG–DSC, crystal phases, and microstructure evolutions.

Author Contributions

Conceptualization, M.G., D.T. and X.Z.; methodology, H.G.; formal analysis, P.Z. and Q.L.; resources, M.G., D.T. and X.Z.; writing—original draft preparation, H.G.; writing—review and editing, H.G. and X.Z. All authors have read and agreed to the published version of the manuscript.

Funding

The authors gratefully acknowledge the support of the National Natural Science Foundation of China (52102126) and the Natural Science Foundation of Fujian Province (2021J05123).

Data Availability Statement

The data and materials that support the findings of this study are available from the corresponding author upon reasonable request.

Conflicts of Interest

The authors declare no conflict of interest.

References

  1. Sebastian, M.T.; Ubic, R.; Jantunen, H. Low-loss dielectric ceramic materials and their properties. Int. Mater. Rev. 2015, 53, 392–412. [Google Scholar] [CrossRef]
  2. Lou, W.; Song, K.; Hussain, F.; Khesro, A.; Zhao, J.; Bafrooei, H.B.; Zhou, T.; Liu, B.; Mao, M.; Xu, K.; et al. Microwave dielectric properties of Mg1.8R0.2Al4Si5O18 (R = Mg, Ca, Sr, Ba, Mn, Co, Ni, Cu, Zn) cordierite ceramics and their application for 5G microstrip patch antenna. J. Eur. Ceram. Soc. 2022, 42, 2254–2260. [Google Scholar] [CrossRef]
  3. Reaney, I.M.; Iddles, D. Microwave dielectric ceramics for resonators and filters in mobile phone networks. J. Am. Ceram. Soc. 2006, 89, 2063–2072. [Google Scholar] [CrossRef]
  4. Cao, X.X.; Wang, J.L.; Li, X.M.; Wu, X.; Zheng, X.H. Enhanced Sintering Behaviour and Microwave Dielectric Properties of CaLa4Ti4O15 Ceramics with ZnO-B2O3 Addition. Glass Phys. Chem. 2019, 45, 126–132. [Google Scholar] [CrossRef]
  5. Xiao, E.; Li, J.; Wang, J.; Xing, C.; Guo, M.; Qiao, H.; Dou, G.; Shi, F. Phonon characteristics and dielectric properties of BaMoO4 ceramic. J. Materiomics 2018, 4, 383–389. [Google Scholar] [CrossRef]
  6. Weng, M.H.; Liang, T.J.; Huang, C.L. Lowering of sintering temperature and microwave dielectric properties of BaTi4O9 ceramics prepared by the polymeric precursor method. J. Eur. Ceram. Soc. 2002, 22, 1693–1698. [Google Scholar] [CrossRef]
  7. Ji, G.; Wang, J.; Bai, X.; Hao, M.; Chen, G.; He, J.; Fan, T.; Zhang, Z.; Chen, C.; Fu, C. Effects of MnO2 and WO3 co-doping and sintering temperature on microstructure, microwave dielectric properties of Ba2Ti9O20 microwave ceramics. Ceram. Int. 2022, 48, 10713–10720. [Google Scholar] [CrossRef]
  8. Xiao, E.; Cao, Z.; Li, J.; Li, X.H.; Liu, M.; Yue, Z.; Chen, Y.; Chen, G.; Song, K.; Zhou, H.; et al. Crystal structure, dielectric properties, and lattice vibrational characteristics of LiNiPO4 ceramics sintered at different Temperatures. J. Am. Ceram. Soc. 2020, 103, 2528–2539. [Google Scholar] [CrossRef]
  9. Liu, S.; Chen, X.; Zhang, P.; Wen, Q.; Ma, L.; Li, H. A novel microwave dielectric ceramic La5Sn4O15 with medium-permittivity and low loss. Ceram. Int. 2023, 49, 95–100. [Google Scholar] [CrossRef]
  10. Bao, J.; Guo, W.; Kimura, H.; Zhang, Y.; Du, J.; Zhou, Y.; Ma, Y.; Wu, H.; Yue, Z. Crystal structures, bond characteristics, and dielectric properties of novel middle-εr Ln3NbO7 (Ln=Nd, Sm) microwave dielectric ceramics with opposite temperature coefficients. Ceram. Int. 2022, 48, 36900–36907. [Google Scholar] [CrossRef]
  11. Zhou, H.; Miao, Y.; Xu, J.; Gong, J.; Chen, X.; Fang, L. Novel middle permittivity ceramic Ba4CoTi11O27: Sintering characteristic, cations distribution, crystal structure and microwave dielectric properties. Ceram. Int. 2015, 41, 5191–5195. [Google Scholar] [CrossRef]
  12. An, Z.; Lv, J.; Wang, X.; Xu, Y.; Zhang, L.; Shi, F.; Guo, H.; Zhou, D.; Liu, B.; Song, K. Effects of LiF additive on crystal structures, lattice vibrational characteristics and dielectric properties of CaWO4 microwave dielectric ceramics for LTCC applications. Ceram. Int. 2022, 48, 29929–29937. [Google Scholar] [CrossRef]
  13. Yang, M.; Wei, S.; Su, S.; Chao, M.; Guo, J.; Wang, H.; Tang, X.; Jiao, Y.; Liang, E. The influence of ZrMgMo3O12 on the dielectric properties of BaTi4O9. Ceram. Int. 2020, 46, 10250–10255. [Google Scholar] [CrossRef]
  14. Lü, X.; Lin, H. Investigation on low-temperature reactive viscous flow sintering behavior of lanthanum-borate glass-ceramic with BaTi4O9 ceramic filler. J. Eur. Ceram. Soc. 2020, 40, 4035–4046. [Google Scholar] [CrossRef]
  15. Ren, H.; Xie, T.; Dang, M.; Jiang, S.; Lin, H.; Luo, L. Sintering mechanism and microwave dielectric properties of BaTi4O9-BBZ composite for LTCC technology. Ceram. Int. 2017, 43, 12863–12869. [Google Scholar] [CrossRef]
  16. Chu, Y.J.; Jeann, J.H. Low-fire processing of microwave BaTi4O9 dielectric with crystalline CuB2O4 and BaCuB2O5 additives. Ceram. Int. 2013, 39, 5151–5158. [Google Scholar] [CrossRef]
  17. Li, X.; Xue, X.; Lin, Q.; Qi, Z.; Wang, H.; Zhao, Y.; Guo, J. Cold sintered temperature stable xLi2MoO4-(1−x)(LiBi)0.5MoO4 microwave dielectric ceramics. J. Eur. Ceram. Soc. 2023, 43, 1477–1482. [Google Scholar] [CrossRef]
  18. Nandihalli, N.; Gregory, D.H.; Mori, T. Energy-Saving Pathways for Thermoelectric Nanomaterial Synthesis: Hydrothermal/Solvothermal, Microwave-Assisted, Solution-Based, and Powder Processing. Adv. Sci. 2022, 9, 2106052. [Google Scholar] [CrossRef] [PubMed]
  19. Ren, H.; Yao, X.; Xie, T.; Dang, M.; Peng, M.; Jiang, S.; Lin, H.; Luo, L. Low temperature sintering process, phase evolution and dielectric properties of BaTi4O9-filled B-La-Mg-Ti-O glass/ceramic composites. J. Mater. Sci. Mater. Electron. 2017, 28, 18646–18655. [Google Scholar] [CrossRef]
  20. Guan, E.; Chen, W.; Luo, L. Low firing and microwave dielectric properties of BaTi4O9 with B2O3–ZnO–La2O3 glass addition. Ceram. Int. 2007, 33, 1145–1148. [Google Scholar] [CrossRef]
  21. Wei, J.; Mao, H.; Zhang, W.; Shi, J. Study on low temperature sintering behavior and dielectric properties of BaTi4O9/La2O3-B2O3-CaO microwave dielectric ceramic. In Proceedings of the 2021 6th International Seminar on Advances in Materials Science and Engineering (ISAMSE 2021), Hangzhou, China, 13–15 August 2021; Volume 2021, p. 012082. [Google Scholar] [CrossRef]
  22. Yu, S.Q.; Tang, B.; Zhang, X.; Zhang, S.R.; Zhou, X.H. Improved High-Q Microwave Dielectric Ceramics in CuO-Doped BaTi4O9–BaZn2Ti4O11 System. J. Am. Ceram. Soc. 2012, 95, 1939–1943. [Google Scholar] [CrossRef]
  23. Nie, J.; Chan, J.M.; Qin, M.; Zhou, N.; Luo, J. Liquid-like grain boundary complexion and sub-eutectic activated sintering in CuO-doped TiO2. Acta Mater. 2017, 130, 329–338. [Google Scholar] [CrossRef]
  24. Lu, F.H.; Fang, F.X.; Chen, Y.S. Eutectic reaction between copper oxide and titanium dioxide. J. Eur. Ceram. Soc. 2001, 21, 1093–1099. [Google Scholar] [CrossRef]
  25. Rubia, M.A.; Reinosa, J.J.; Leret, P.; Romero, J.J.; Frutos, J.; Fernández, J.F. Experimental determination of the eutectic temperature in air of the CuO–TiO2 pseudobinary system. J. Eur. Ceram. Soc. 2012, 32, 71–76. [Google Scholar] [CrossRef]
  26. Fan, X.C.; Chen, X.M. Complex-permittivity measurement on high-Q materials via combined numerical approaches. IEEE Trans. Microw. Theory Tech. 2005, 53, 3130–3134. [Google Scholar] [CrossRef]
  27. German, R.M. Sintering Theory and Practice, 2nd ed.; Wiley-Interscience: Hoboken, NJ, USA, 1996; pp. 226–227. [Google Scholar]
  28. Luo, T.; He, L.; Yang, H.; Yu, H.; Yu, H. Phase evolution and microwave dielectric properties of BaTi4O9 ceramics prepared by reaction sintering method. Int. J. Appl. Ceram. Soc. 2019, 16, 146–151. [Google Scholar] [CrossRef]
  29. Ren, H.; Xie, T.; Dang, M.; Yao, X.; Jiang, S.; Zhao, X.; Lin, H.; Luo, L. The influence of BBZ glass on phase evolution, sintering behavior and dielectric properties of BaTi4O9 ceramics. J. Mater. Sci. Mater. Electron. 2017, 28, 19090–19097. [Google Scholar] [CrossRef]
  30. Zhang, J.; Yue, Z.; Luo, Y.; Zhang, X.; Li, L. Understanding the thermally stimulated relaxation and defect behavior of Ti-containing microwave dielectrics: A case study of BaTi4O9. Mater. Des. 2017, 130, 479–487. [Google Scholar] [CrossRef]
  31. Templeton, A.; Wang, X.; Penn, S.J.; Webb, S.J.; Cohen, S.F.; Alford, N.M. Microwave Dielectric Loss of Titanium Oxide. J. Am. Ceram. Soc. 2000, 83, 95–100. [Google Scholar] [CrossRef]
Figure 1. The calculated CuO–TiO2 phase diagram at pO2 = 1 atm, as reported by Lu et al. [24]. The eutectic temperature and composition are 919 °C and 16.7 mol% TiO2, respectively.
Figure 1. The calculated CuO–TiO2 phase diagram at pO2 = 1 atm, as reported by Lu et al. [24]. The eutectic temperature and composition are 919 °C and 16.7 mol% TiO2, respectively.
Crystals 13 00566 g001
Figure 2. DSC and TGA curves of BaTi4O9 powder with (a) 0.5% and (b) 5.0% CT additions.
Figure 2. DSC and TGA curves of BaTi4O9 powder with (a) 0.5% and (b) 5.0% CT additions.
Crystals 13 00566 g002
Figure 3. Mass loss of BaTi4O9 ceramics with different contents of CT additions, sintered at different temperatures.
Figure 3. Mass loss of BaTi4O9 ceramics with different contents of CT additions, sintered at different temperatures.
Crystals 13 00566 g003
Figure 4. Densities (a) and shrinkages (b) of BaTi4O9 ceramics with different contents of CT additions.
Figure 4. Densities (a) and shrinkages (b) of BaTi4O9 ceramics with different contents of CT additions.
Crystals 13 00566 g004
Figure 5. XRD patterns of dense BaTi4O9 ceramics with different contents of CT addition.
Figure 5. XRD patterns of dense BaTi4O9 ceramics with different contents of CT addition.
Crystals 13 00566 g005
Figure 6. SEM images of BaTi4O9 dense ceramics with different CT additions, (a) 0%, (b) 0.5%, (c) 1.0%, (d) 2.0%, (e) 5.0%, (f) 10.0%.
Figure 6. SEM images of BaTi4O9 dense ceramics with different CT additions, (a) 0%, (b) 0.5%, (c) 1.0%, (d) 2.0%, (e) 5.0%, (f) 10.0%.
Crystals 13 00566 g006
Figure 7. Microwave dielectric properties of BaTi4O9 ceramics with different content of CT addition.
Figure 7. Microwave dielectric properties of BaTi4O9 ceramics with different content of CT addition.
Crystals 13 00566 g007
Table 1. Comparison of microwave dielectric properties of BaTi4O9 ceramics with different additions.
Table 1. Comparison of microwave dielectric properties of BaTi4O9 ceramics with different additions.
AdditioneQf (GHz)τf (ppm/°C)Ts (°C)Ref.
27.5 wt% BaO-ZnO-B2O3 glass26.427,3003.3925[15]
0.34–4.47 vol% CuB2O4 and BaCuB2O536–4013,000–21,00020–40925[16]
70 wt% B-La-Mg-Ti-O glass20.4924,000145860[19]
20 wt% B2O3-ZnO-La2O3 glass27~20,0006.5900[20]
50 wt% La2O3-B2O3-CaO glass268000150875[21]
0.5 wt% CuO–TiO237.023,1002.51100This work
Disclaimer/Publisher’s Note: The statements, opinions and data contained in all publications are solely those of the individual author(s) and contributor(s) and not of MDPI and/or the editor(s). MDPI and/or the editor(s) disclaim responsibility for any injury to people or property resulting from any ideas, methods, instructions or products referred to in the content.

Share and Cite

MDPI and ACS Style

Guo, H.; Zhu, P.; Lin, Q.; Gao, M.; Tang, D.; Zheng, X. Sintering Characteristics and Microwave Dielectric Properties of BaTi4O9 Ceramics with CuO–TiO2 Addition. Crystals 2023, 13, 566. https://doi.org/10.3390/cryst13040566

AMA Style

Guo H, Zhu P, Lin Q, Gao M, Tang D, Zheng X. Sintering Characteristics and Microwave Dielectric Properties of BaTi4O9 Ceramics with CuO–TiO2 Addition. Crystals. 2023; 13(4):566. https://doi.org/10.3390/cryst13040566

Chicago/Turabian Style

Guo, Haoxuan, Peishu Zhu, Qingping Lin, Min Gao, Deping Tang, and Xinghua Zheng. 2023. "Sintering Characteristics and Microwave Dielectric Properties of BaTi4O9 Ceramics with CuO–TiO2 Addition" Crystals 13, no. 4: 566. https://doi.org/10.3390/cryst13040566

APA Style

Guo, H., Zhu, P., Lin, Q., Gao, M., Tang, D., & Zheng, X. (2023). Sintering Characteristics and Microwave Dielectric Properties of BaTi4O9 Ceramics with CuO–TiO2 Addition. Crystals, 13(4), 566. https://doi.org/10.3390/cryst13040566

Note that from the first issue of 2016, this journal uses article numbers instead of page numbers. See further details here.

Article Metrics

Back to TopTop