Global Instability of Rod Eutectic Growth in Directional Solidification
Abstract
1. Introduction
2. Mathematical Formulation of Rod Eutectic Growth
2.1. Unsteady Mathematical Model of Rod Eutectic Growth
2.2. Steady Basic State of Rod Eutectic Growth
2.3. Linear Perturbed States of Rod Eutectic Growth
- As ,
- As or :
- At the interface , the interface conditions linearized at can be written as follows:
- (1)
- the Gibbs–Thomson condition:
- (2)
- the mass balance condition:
- At the triple phase junction, , the connection condition for the perturbed interface isand the connection condition of the perturbation interface derivative is
3. Multiple Variables Expansion Form of the Perturbed System
3.1. The System with Multiple Variables
- As ,
- As or :
- The interface , and we have
- I.
- the Gibbs–Thomson condition:Here, is an undetermined parameter, which needs to be determined by using boundary conditions and connection conditions, and its specific value varies with the growth conditions of eutectic.
- II.
- the mass balance condition:
3.2. Leading Order Approximate System
- 1.
- As ,
- 2.
- At the tips of the solid phases: or :
- 3.
- At the interface, letting , we have
- (1).
- the Gibbs–Thomson condition:
- (2).
- The mass balance condition:
- (3).
- The connection conditions at the triple junction as follows:
- 4.
- According to the expression of , we can discuss it in the following three cases:
- (1).
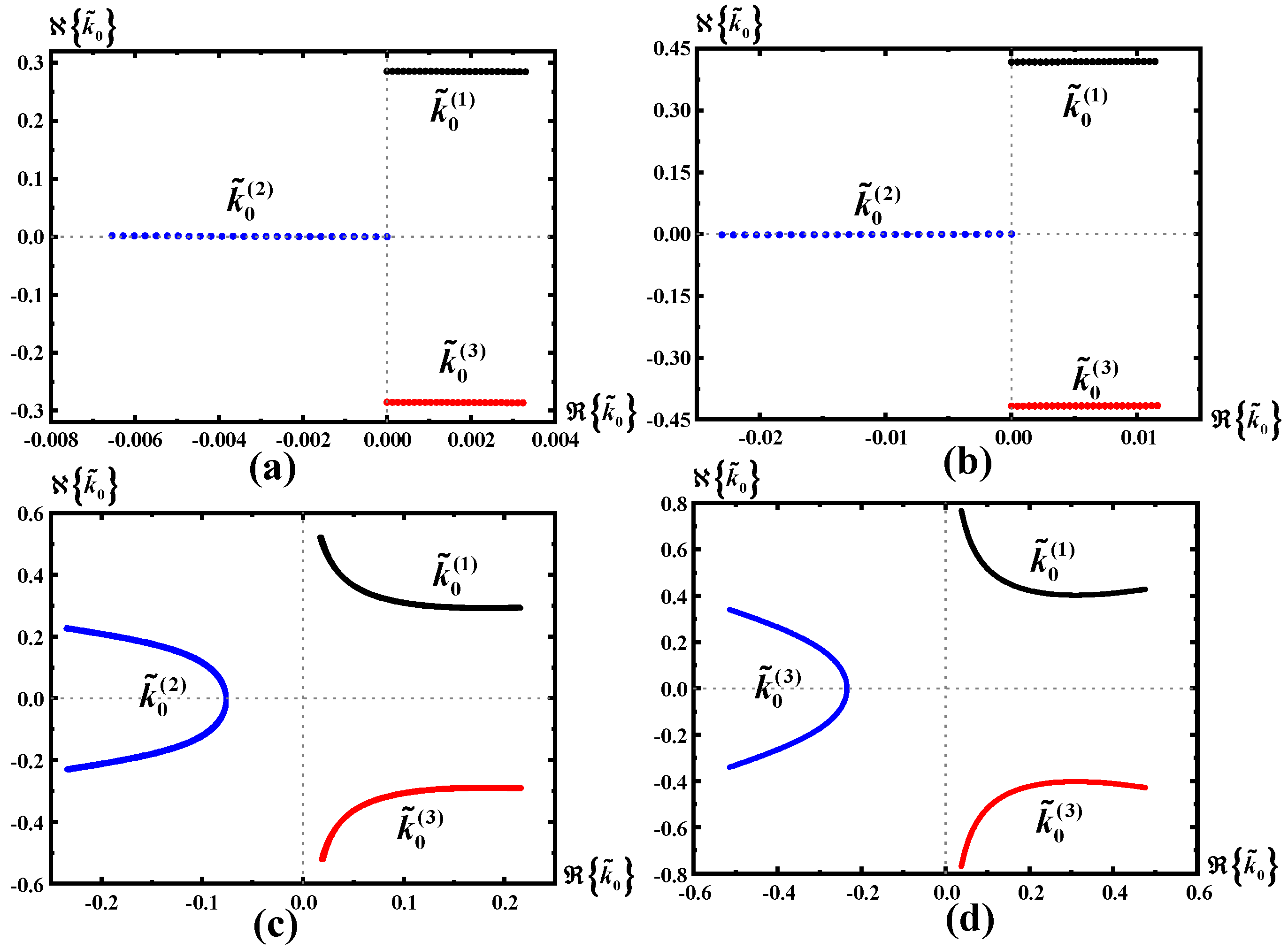
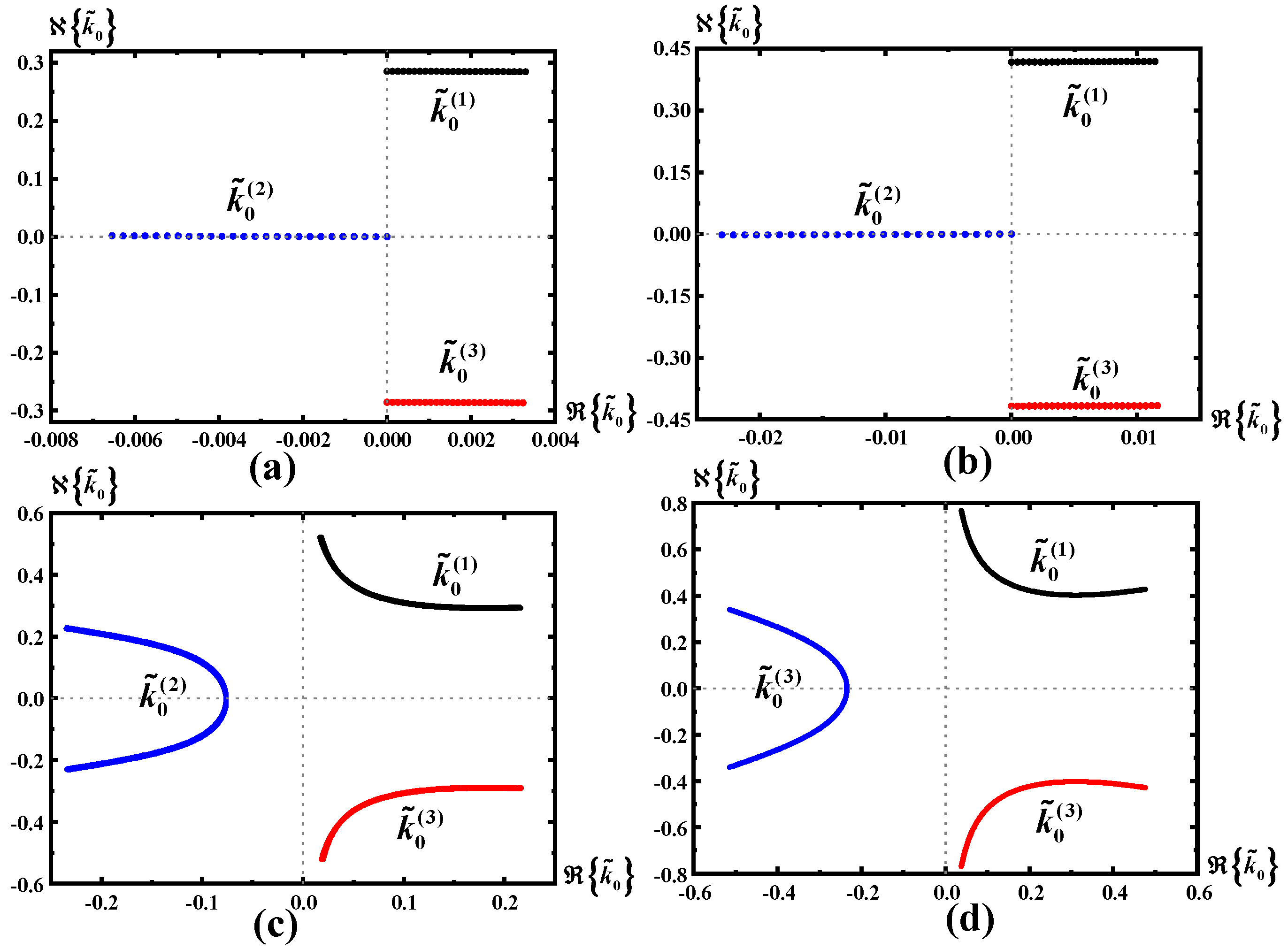
- For the case , for the and , and will be imaginary numbers; from Equation (32), we deduce thatwhere , , and we assign the values to the parameters in Equation (34) and obtain Figure 2:
- (2).
- As , Equation (32) cannot be applied in this case, in which case and .
- (3).
- For the case , for the and , and will be real numbers; from Equation (32), we deduce thatwhere , , and we assign the values to the parameters in Equation (35) and obtain Figure 3:
4. Perturbed State Solutions in the Subinterval and Quantization Condition
5. The Global Steady (ST) Mode of Perturbed States
6. Conclusions
Author Contributions
Funding
Data Availability Statement
Acknowledgments
Conflicts of Interest
References
- Xu, J.-J.; Li, X.-M.; Chen, Y.-Q. Global steady state solutions for lamellar eutectic growth in directional solidification. J. Cryst. Growth 2014, 401, 93–98. [Google Scholar] [CrossRef]
- Chen, Y.-J.; Davis, S. Instability of triple junctions in lamellar eutectic growth. Acta Mater. 2001, 49, 1363–1372. [Google Scholar] [CrossRef]
- Zhang, A.; Guo, Z.; Xiong, S.-M. Quantitative phase-field lattice-Boltzmann study of lamellar eutectic growth under natural convection. Phys. Rev. E 2018, 97, 053302. [Google Scholar] [CrossRef] [PubMed]
- Akamatsu, S.; Bottin-Rousseau, S.; Şerefoğlu, M.; Faivre, G. A theory of thin lamellar eutectic growth with anisotropic interphase boundaries. Acta Mater. 2012, 60, 3199–3205. [Google Scholar] [CrossRef]
- Akamatsu, S.; Bottin-Rousseau, S.; Faivre, G. Determination of the Jackson–Hunt constants of the In–In2Bi eutectic alloy based on in situ observation of its solidification dynamics. Acta Mater. 2011, 59, 7586–7591. [Google Scholar] [CrossRef]
- Faivre, G.; Bottin-Rousseau, S.; Akamatsu, S. The trajectory of subboundary grooves during directional solidification of dilute alloys. Comptes Rendus Phys. 2013, 14, 149–155. [Google Scholar] [CrossRef]
- Wang, W.-M.; Liu, J.-M.; Pan, X.; Liu, Z. Monte-Carlo simulation of regular lamellar eutectic growth in binary systems. Mater. Sci. Eng. A 2002, 336, 129–134. [Google Scholar] [CrossRef]
- Xu, J.; Zhang, T.; Galenko, P.K. Rod eutectic growth in bulk undercooled melts. Math. Methods Appl. Sci. 2021, 45, 8022–8031. [Google Scholar] [CrossRef]
- Meng, G.-H.; Lin, X.; Huang, W.-D. Interlamellar spacing and average interface undercooling of irregular eutectic in steady-state growth. Trans. Nonferrous Met. Soc. China 2008, 18, 405–409. [Google Scholar] [CrossRef]
- Nestler, B.; Wheeler, A. A multi-phase-field model of eutectic and peritectic alloys: Numerical simulation of growth structures. Phys. D Nonlinear Phenom. 2000, 138, 114–133. [Google Scholar] [CrossRef]
- Wang, L.; Lin, X.; Wang, M.; Huang, W. Solid–liquid interfacial energy and its anisotropy measurement from double grain boundary grooves. Scr. Mater. 2013, 69, 1–4. [Google Scholar] [CrossRef]
- Xu, J.-J.; Chen, Y.-Q.; Li, X.-M. Global instabilities of lamellar eutectic growth in directional solidification. J. Cryst. Growth 2014, 401, 99–105. [Google Scholar] [CrossRef]
- Lei, W.; Cao, Y.; Xin, L.; Kun, C.; Huang, W. Globular to lamellar transition during anomalous eutectic growth. Model. Simul. Mater. Sci. Eng. 2020, 28, 065014. [Google Scholar] [CrossRef]
- Tu, Z.; Zhou, J.; Tong, L.; Guo, Z. A phase-field study of lamellar eutectic growth with solid-solid boundary anisotropy. J. Cryst. Growth 2019, 532, 125439. [Google Scholar] [CrossRef]
- Akamatsu, S.; Bottin-Rousseau, S. Numerical Simulations of Locked Lamellar Eutectic Growth Patterns. Metall. Mater. Trans. A 2021, 52, 4533–4545. [Google Scholar] [CrossRef]
- Zhang, A.; Guo, Z.; Jiang, B.; Song, J.; Pan, F.; Xiong, S. Effect of laser shock on lamellar eutectic growth: A phase-field study. Int. J. Heat Mass Transf. 2021, 52, 4533–4545. [Google Scholar] [CrossRef]
- Sullivan, E.; Tomko, J.; Skelton, J.; Fitz-Gerald, J.; Hopkins, P.; Floro, J. Lamellar instabilities during scanning laser melting of Al–Cu eutectic and hypoeutectic thin films. J. Alloy. Compd. 2021, 865, 158800. [Google Scholar] [CrossRef]
- Pusztai, T.; Rátkai, L.; Horváth, L.; Gránásy, L. Phase-field modelling of directional melting of lamellar and rod eutectic structures. Acta Mater. 2022, 227, 117678. [Google Scholar] [CrossRef]
- Legese, S.S.; Olu, F.E. A Review of Lamellar Eutectic Morphologies for Enhancing Thermoelectric and Mechanical Performance of Thermoelectric Materials. J. Indian Inst. Sci. 2022, 102, 237–279. [Google Scholar] [CrossRef]
- Liu, S.; Lee, J.; Trivedi, R. Dynamic effects in the lamellar–rod eutectic transition. Acta Mater. 2011, 59, 3102–3115. [Google Scholar] [CrossRef]
- Teng, J.; Liu, S.; Trivedi, R. Growth and morphology of rod eutectics. Acta Mater. 2008, 56, 2819–2833. [Google Scholar] [CrossRef]
- Şerefoğlu, M.; Napolitano, R.E.; Plapp, M. Phase-field investigation of rod eutectic morphologies under geometrical confinement. Phys. Rev. E 2011, 84, 011614. [Google Scholar] [CrossRef]
- Parisi, A.; Plapp, M. Defects and multistability in eutectic solidification patterns. Europhys. Lett. 2010, 90, 26010. [Google Scholar] [CrossRef]
- Akamatsu, S.; Bottin-Rousseau, S.; Perrut, M.; Faivre, G.; Witusiewicz, V.; Sturz, L. Real-time study of thin and bulk eutectic growth in succinonitrile–(d)camphor alloys. J. Cryst. Growth 2007, 299, 418–428. [Google Scholar] [CrossRef]
- Serefoglu, M.; Napolitano, R. On the selection of rod-type eutectic morphologies: Geometrical constraint and array orientation. Acta Mater. 2008, 56, 3862–3873. [Google Scholar] [CrossRef]
- Şerefoǧlu, M.; Bottin-Rousseau, S.; Akamatsu, S.; Faivre, G.; Kaya, M.S. Dynamics of rod eutectic growth patterns in confined geometry. IOP Conf. Ser. Mater. Sci. Eng. 2012, 27, 012030. [Google Scholar] [CrossRef]
- Perrut, M.; Akamatsu, S.; Bottin-Rousseau, S.; Faivre, G. Long-time dynamics of the directional solidification of rodlike eutectics. Phys. Rev. E 2009, 79, 032602. [Google Scholar] [CrossRef]
- Basit, S.; Birinci, S.; Maraşlı, N. Growth of rod structure with static electrical field in the Al–Ni eutectic system. J. Mater. Sci. Mater. Electron. 2020, 31, 14055–14068. [Google Scholar] [CrossRef]
- Galenko, P.K.; Xu, J. Rapid eutectic growth: From rod growth to diffusionless solidification. Philos. Trans. R. Soc. A Math. Phys. Eng. Sci. 2022, 380, 20200305. [Google Scholar] [CrossRef]
- Ludwig, A.; Leibbrandt, S. Generalised ‘Jackson–Hunt’ model for eutectic solidification at low and large Peclet numbers and any binary eutectic phase diagram. Mater. Sci. Eng. A 2004, 375, 540–546. [Google Scholar] [CrossRef]
- Meng, G.; Xie, H.; Lin, X. Estimation of rod-like phase spacing in melt-grown eutectic composites. Sci. China Technol. Sci. 2014, 57, 1794–1801. [Google Scholar] [CrossRef]
- Trivedi, R.; Wang, N. Theory of rod eutectic growth under far-from-equilibrium conditions: Nanoscale spacing and transition to glass. Acta Mater. 2012, 60, 3140–3152. [Google Scholar] [CrossRef]
- Li, X.-M.; Xu, F. Uniformly valid asymptotic solutions of rod eutectic growth in directional solidification for contact angles being the normal order. J. Cryst. Growth 2017, 468, 945–949. [Google Scholar] [CrossRef]
- Bottin-Rousseau, S.; Witusiewicz, V.T.; Hecht, U.; Fernandez, J.; Laveron-Simavilla, A.; Akamatsu, S. Coexistence of rod-like and lamellar eutectic growth patterns. Scr. Mater. 2021, 207, 114314. [Google Scholar] [CrossRef]
- Şerefoğlu, M.; Bottin-Rousseau, S.; Akamatsu, S. Lamella-rod pattern transition and confinement effects during eutectic growth. Acta Mater. 2022, 242, 118425. [Google Scholar] [CrossRef]
- Kellner, M.; Kunz, W.; Steinmetz, P.; Hötzer, J.; Nestler, B. Phase-field study of dynamic velocity variations during directional solidification of eutectic NiAl-34Cr. Comput. Mater. Sci. 2018, 145, 291–305. [Google Scholar] [CrossRef]
- Hassan, N.; Minakshi, M.; Ruprecht, J.; Liew, W.Y.H.; Jiang, Z.T. A Binary Salt Mixture LiCl-LiOH for Thermal Energy Storage. Materials 2023, 16, 1434. [Google Scholar] [CrossRef]
- Baral, A.; Das, D.P.; Minakshi, M.; Ghosh, M.K.; Padhi, D.K. Probing Environmental Remediation of RhB Organic Dye Using α-MnO2 under Visible- Light Irradiation: Structural, Photocatalytic and Mineralization Studies. ChemistrySelect 2016, 1, 4277–4285. [Google Scholar] [CrossRef]
- Wu, R.Z.; Yan, Y.D.; Wang, G.X.; Murr, L.E.; Han, W.; Zhang, Z.W.; Zhang, M.L. Recent progress in magnesium-lithium alloys. Int. Mater. Rev. 2015, 60, 65. [Google Scholar] [CrossRef]
- Dong, H.; Wang, L.; Liu, K.; Wang, L.; Jiang, B.; Pan, F. Microstructure and deformation behaviors of two Mg-Li dual-phase alloys with an increasing tensile speed. Mater. Des. 2016, 90, 157. [Google Scholar]
- Mahmudi, R.; Shalbafi, M.; Karami, M.; Geranmayeh, A. Effect of Li content on the indentation creep characteristics of cast Mg–Li–Zn alloys. Mater. Des. 2015, 75, 184–190. [Google Scholar] [CrossRef]
- Qu, Z.; Wu, L.; Wu, R.; Zhang, J.; Zhang, M.; Liu, B. Microstructures and tensile properties of hot extruded Mg-5Li-3Al-2Zn-xRE (rare earths) alloys. Mater. Des. 2014, 54, 792. [Google Scholar] [CrossRef]
- Zhu, T.; Cui, C.; Zhang, T.; Wu, R.; Betsofen, S.; Leng, Z.; Zhang, J.; Zhang, M. Influence of the combined addition of Y and Nd on the microstructure and mechanical properties of Mg–Li alloy. Mater. Des. 2014, 57, 245. [Google Scholar] [CrossRef]
- Wang, T.; Zhu, T.; Wu, R.; Miao, W.; Zhang, J.; Zhang, M. Microstructure and mechanical properties of LA51 and LA51-0.5Y alloys with different accumulated strains and rolling temperatures. Mater. Des. 2015, 85, 190. [Google Scholar] [CrossRef]
- Karami, M.; Mahmudi, R. Orientation-dependent microstructure and shear flow behavior of extruded Mg–Li–Zn alloys. Mater. Sci. Eng. A 2015, 636, 493–501. [Google Scholar] [CrossRef]
- Chen, D.; Jin, N.; Chen, W.; Wang, L.; Zhao, S.; Luo, D. Corrosion resistance of Ni/Cu/Ni-P triple-layered coating on Mg-Li alloy. Surf. Coat. Technol. 2014, 254, 440. [Google Scholar] [CrossRef]
- Xu, J.-J. Interfacial wave theory of solidification: Dendritic pattern formation and selection of growth velocity. J. Phys. Rev. A 1991, 43, 930. [Google Scholar]






Disclaimer/Publisher’s Note: The statements, opinions and data contained in all publications are solely those of the individual author(s) and contributor(s) and not of MDPI and/or the editor(s). MDPI and/or the editor(s) disclaim responsibility for any injury to people or property resulting from any ideas, methods, instructions or products referred to in the content. |
© 2023 by the authors. Licensee MDPI, Basel, Switzerland. This article is an open access article distributed under the terms and conditions of the Creative Commons Attribution (CC BY) license (https://creativecommons.org/licenses/by/4.0/).
Share and Cite
Gan, Y.; Li, X. Global Instability of Rod Eutectic Growth in Directional Solidification. Crystals 2023, 13, 548. https://doi.org/10.3390/cryst13030548
Gan Y, Li X. Global Instability of Rod Eutectic Growth in Directional Solidification. Crystals. 2023; 13(3):548. https://doi.org/10.3390/cryst13030548
Chicago/Turabian StyleGan, Yanlin, and Xiangming Li. 2023. "Global Instability of Rod Eutectic Growth in Directional Solidification" Crystals 13, no. 3: 548. https://doi.org/10.3390/cryst13030548
APA StyleGan, Y., & Li, X. (2023). Global Instability of Rod Eutectic Growth in Directional Solidification. Crystals, 13(3), 548. https://doi.org/10.3390/cryst13030548
