Abstract
We report an ab initio study of Sb2S3, Sb2Se3, and Bi2S3 sesquichalcogenides at hydrostatic pressures of up to 60 GPa. We explore the possibility that the C2/m, C2/c, the disordered Im-3m, and the I4/mmm phases observed in sesquichalcogenides with heavier cations, viz. Bi2Se3, Bi2Te3, and Sb2Te3, could also be formed in Sb2S3, Sb2Se3, and Bi2S3, as suggested from recent experiments. Our calculations show that the C2/c phase is not energetically favorable in any of the three compounds, up to 60 GPa. The C2/m system is also unfavorable for Sb2S3 and Bi2S3; however, it is energetically favorable with respect to the Pnma phase of Sb2Se3 above 10 GPa. Finally, the I4/mmm and the disordered body-centered cubic-type Im-3m structures are competitive in energy and are energetically more stable than the C2/m phase at pressures beyond 30 GPa. The dynamical stabilities of the Pnma, Im-3m, C2/m, and I4/mmm structural phases at high pressures are discussed for the three compounds.
1. Introduction
A great deal of attention has been paid to the family of AX sesquichalcogenides in the last decade since the identification of the trigonal tetradymite-like R-3m phases of the group-15 sesquichalcogenides SbTe, BiSe, and BiTe as 3D topological insulators [1,2]. Such topological insulators are a state of quantum matter where the bulk is a trivial insulator, whereas the surface states are topologically-protected conducting states due to time-reversal symmetry and strong spin-orbit coupling. Respective properties allow for potential applications in the fields of spintronics as well as for quantum computing [3].
These sesquichalcogenides have also been well studied in relation to their thermoelectric properties and as phase change materials [4,5].
Stibnite (SbS), bismuthinite (BiS) and antimonselite (SbSe) minerals belong to group-15 sesquichalcogenides. Such systems do not crystallize into the tetradymite-type structure at room conditions, but instead into the orthorhombic US-type (Pnma) structure (Figure 1b). Several technological applications can be considered for such compounds. These include, applications for photovoltaic solar cells, X-ray computed tomography detectors, fuel cells, biomolecules and gas sensors, solid-state batteries, fiber lasers, and photoelectrochemical devices [6,7,8,9,10,11,12,13,14,15,16].
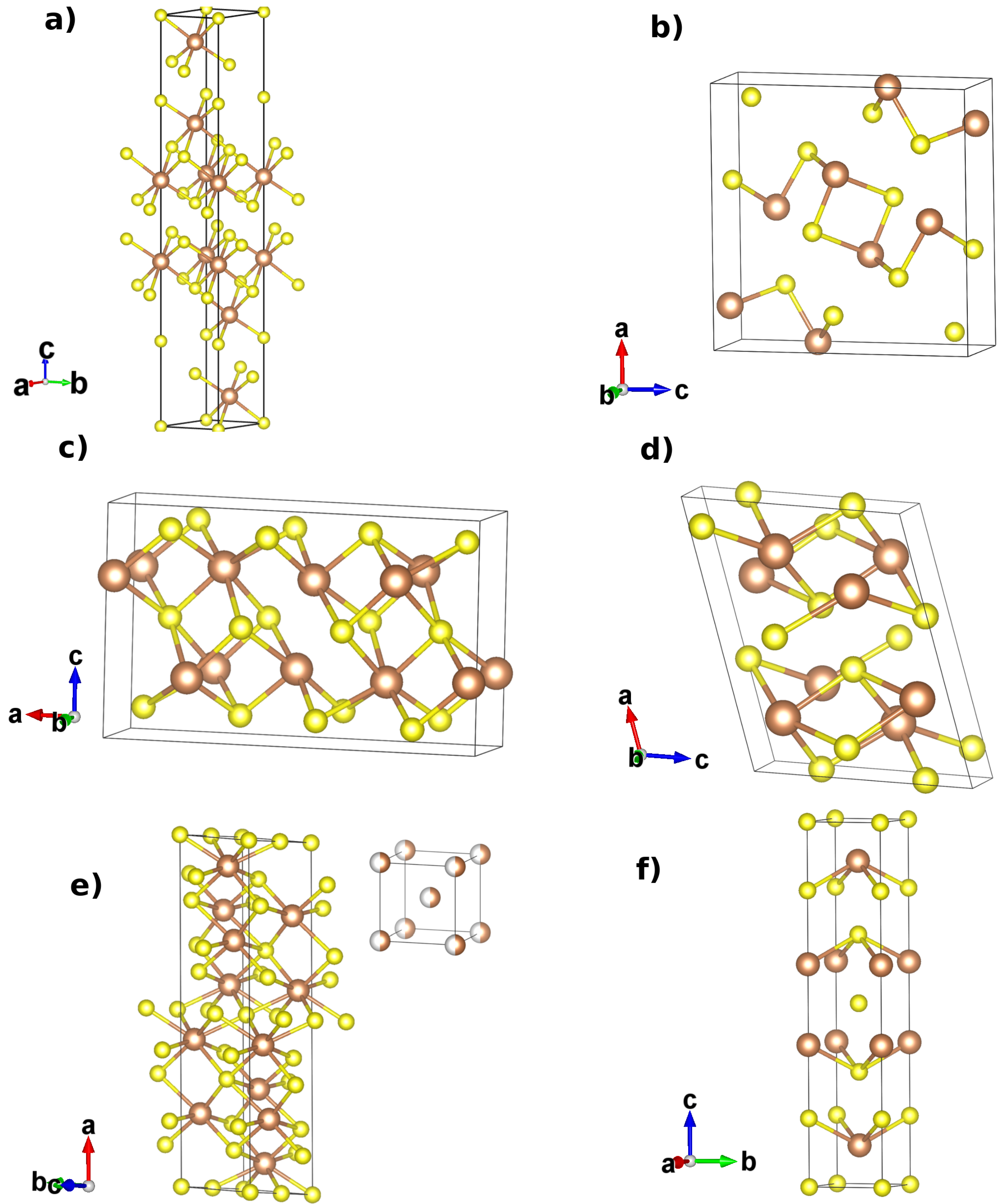
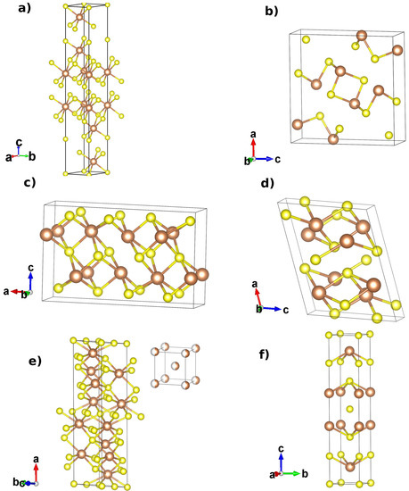
Figure 1.
Unit-cell representations of the crystal structures of the R-3m (Z = 1) (a), Pnma (Z = 4) (b), C2/m (Z = 2) (c), C2/c (Z = 2) (d), the C2/m 9-/10-fold structure used to model the disordered bcc-type Im-3m phase (Z = 2) (e), and the I4/mmm (Z = 1) (f), and AX sesquichalcogenide structures (A = Sb, Bi; X = S, Se). The A cations and X anions are shown as brown and yellow spheres, respectively.
High-pressure (HP) studies of SbTe, BiSe, and BiTe have shown that they undergo pressure-induced phase transitions (PTs) to monoclinic C2/m and C2/c structures, to the disordered solid solution Im-3m phase, and to the body-centered tetragonal I4/mmm structure [17,18,19,20,21,22,23,24,25,26]. These HP studies have shown a plethora of interesting properties, such as enhanced thermoelectric properties [27,28] and superconductivity, which could be of topological nature [29,30,31,32,33]. Therefore, there is a fundamental interest in identifying if the above mentioned HP phases can be associated to group-15 sesquichalcogenides with the Pnma structure crystallizing at room pressure. Since the Pnma structure has also been identified as a possible HP post-perovskite phase of the (Mg,Fe)SiO and NaFeN compounds [34,35], the study of SbS, BiS and SbSe at HPs could also provide useful information about the structures and stability of ABO orthorhombic minerals at pressure conditions close to those of the Earth’s mantle.
Initial experimental HP studies of SbS, BiS, and SbSe have shown that the Pnma structure is stable under compression, with first-order PTs occurring at around 50 GPa [36,37,38,39,40,41]. A comparative study between experimental and theoretical analysis suggested that the Pnma structure of the three US-type sesquichalcogenides should actually be stable up until 50 GPa [39]. Moreover, another work has reported that the crystalline Pnma phase for SbSe is in fact stable even at 70 GPa [42]. Curiously enough, HP studies have found that Pnma-type SbSe becomes a topological superconductor at around 10 GPa and at a low temperature value of 2.5 K [43], exhibiting highly conducting spin-polarized surface states, and similar to what occurs for BiSe [44]. Moreover, HP superconductivity has been recently found in amorphous SbSe and attributed to the crystallization of the material in a phase with possible “metavalent” bonding as that present in tetradymite-like SbTe, BiSe, BiTe [45,46].
It must be noted, however, that some experimental HP studies have suggested that several first- and second-order PTs occur for SbS up to 50 GPa [47,48,49]. Furthermore, it has also been suggested that the HP phases of SbS could be similar to those observed for heavier sesquichalcogenides such as BiSe, BiTe, and SbTe. Moreover, a theoretical study of BiS at HP predicts the system to be unstable under compression, and decomposing into another stoichiometric system [50]. Therefore, there remains the question for whether the different structural phases (C2/m, C2/c, and disordered Im-3m and I4/mmm) observed for heavier cation sesquichalcogenides could be observed at HP on the three US-type minerals, and at different pressure conditions.
In this work, we report theoretical simulations between 0 GPa and 60 GPa of the Pnma and hypothetical R-3m, C2/m, and C2/c; and the disordered Im-3m and I4/mmm phases for SbS, SbSe, and BiS (Figure 1), with a view to assessing which, if any, are likely to be observed at HP. This work complements a previous study in which we examined the stability of the tetradymite-like (R-3m) phase with respect to the Pnma phase, up until 10 GPa, for the three US-type minerals [51].
2. Theoretical Methodology
The six studied crystalline phases (Pnma, R-3m, C2/c, C2/m, disordered Im-3m, and I4/mmm) for SbS, BiS, and SbSe were simulated within the framework of density-functional theory (DFT) [52]. The Vienna Ab initio Simulation Package (VASP) package [53] was used within the projector augmented-wave (PAW) scheme. The datasets included six valence electrons for S[3s3p] and Se[4s4p], and 15 valence electrons for Sb[4d5s5p] and Bi[5d6s6p]. Total energy convergence was achieved with a plane-wave kinetic-energy cut-off of 600 eV. The Perdew-Burke-Ernzerhof parameterization revised for solids (PBEsol), of the generalized-gradient approximation (GGA) exchange-correlation (xc) functional [54], was considered for all the calculations.
The sampling of the Brillouin-zone (BZ) was converged with -centered Monkhorst-Pack [55] grids employing adequate meshes for the different structural phases of the three compounds: Pnma-6 × 10 × 6, R-3m-12 × 12 × 12, C2/m-6 × 12 × 6, C2/c-10 × 10 × 8, disordered Im-3m (using a C2/m conventional cell)-6 × 12 × 12, and I4/mmm-12 × 12 × 12.
The Im-3m phase is a body-centered cubic (bcc) disordered structure, considered as a disordered solid solution, and it has been theoretically predicted and experimentally found for BiTe [17]. For sesquichacogenides with AX stoichiometry, the bcc lattice site (2a Wyckoff position) is randomly occupied by 40% of A cations and 60% of X anions. This means that such a structure is a disordered phase with a mixture of cations and anions randomly sharing the same bcc crystallographic position and forming an A-X substitutional alloy [17]. Due to the theoretical difficulty in simulating the disordered Im-3m structure, we have used a 9/10-fold C2/m structure (the formation of 9/10 chemical A-X bonds), as was previously employed for BiTe [17] and BiSe [22]. Moreover, it has been observed that the 9/10-fold C2/m structure presents a bcc-like structural order, in agreement with the observed XRD patterns [17,49], therefore giving support to employ the calculated intermediate bcc-like monoclinic C2/m phase to confirm the experimental presence of the disordered Im-3m system.
For the structural relaxations, the atomic positions and the unit-cell parameters were allowed to change during the ionic relaxation, for different volume values. From these relaxations, we obtained the respective external pressure for the specific isotropic volume compression. The pressure-volume (P-V) curves for all the compounds were fitted to a third-order Birch-Murnaghan equation of state [56,57] to obtain the equilibrium volume, bulk modulus, and respective pressure derivative. The enthalpy (H) curves were computed by considering the relation, , where E is the total electronic energy of the system, p is pressure, and V is the volume. The analysis and comparison of the H curves for the different polymorphs provides deep insight regarding the thermodynamic stability of each phase for increasing pressure values, up until the studied pressure range (60 GPa).
Lattice dynamics calculations, within the harmonic approximation, were performed at different pressure points, which were found to be energetically favorable. These were considered for the Pnma, the disordered Im-3m, and the tetragonal phases. We have also calculated the phonon band structure for the C2/m system of SbSe to confirm the dynamical stability at the pressure point where the energetic stability is evidenced (20 GPa). The phonon properties were computed by using the supercell finite-displacement method implemented in the Phonopy package [58], with VASP being used as the second-order force calculator. Supercells were expanded up to 2 × 4 × 2 for the Pnma systems, and 2 × 2 × 2 for the disordered and tetragonal phases, enabling the exact calculation of frequencies at the zone center () and inequivalent zone-boundary wavevectors, which were then interpolated to obtain phonon-dispersion curves.
Since our calculations on the Pnma phases for the three compounds under study were in good agreement with the overall data found in the literature [51], we have proceeded in carrying out a theoretical study of the hypothetical R-3m, C2/m, and C2/c; and disordered Im-3m and I4/mmm phases of SbS, BiS, and SbSe, to probe whether such polymorphs could be energetically competitive under hydrostatic pressure.
3. Results and Discussion
3.1. Energetic Stability
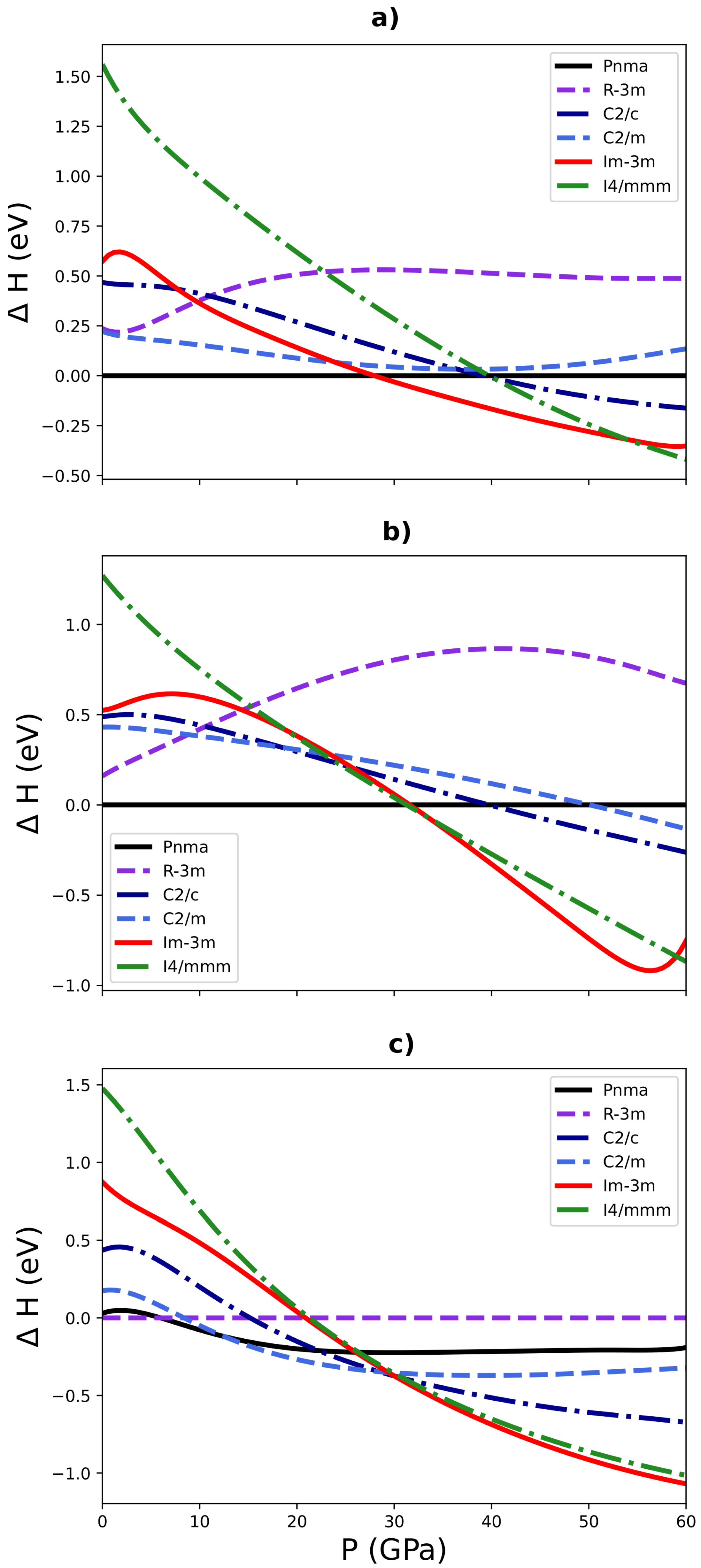
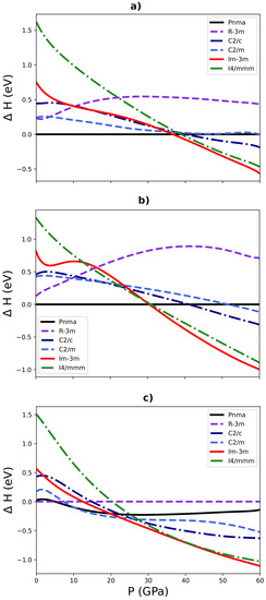
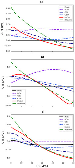
Figure 2a–c shows the pressure-dependence of the enthalpy differences relative to the stable phase at ambient pressure between the six above mentioned phases of SbS, BiS, and SbSe, respectively. The values of the predicted transition pressures between the different phases are summarized in Table 1.
Figure 2.
Calculated relative enthalpy vs. pressure curves, for the different possible phases (shown in Figure 1) of SbS (a), BiS (b), and SbSe (c), relative to the lowest-energy phase at ambient pressure: the Pnma phase for SbS and BiS, and the R-3m phase for SbSe.
Table 1.
Theoretical estimation of the pressure-induced phase transitions of R-3m →Pnma, Pnma→ disordered C2/m, C2/m→ disordered Im-3m, and Pnma→ disordered Im-3m for the SbSe, SbS, and BiS compounds (presented in units of GPa).
From the enthalpy plots (Figure 2), we observe that:
- At 0 GPa, the orthorhombic Pnma structure is energetically stable for BiS and SbS; however, for SbSe, it is the trigonal R-3m phase that is the most energetically favorable phase at 0 GPa [51].
- The two monoclinic C2/c and C2/m phases do not become energetically competitive with the ground-state system over the range of pressures examined. However, an exception occurs for the C2/m phase of the SbSe structure, which competes energetically with the Pnma polymorph at 9.9 GPa.
- The bcc-like disordered Im-3m structure is the most energetically stable phase at pressures above 35.1, 30.1, and 22.1 GPa for SbS, BiS, and SbSe, respectively.
- The body-centered tetragonal I4/mmm phase, although being quite close in energy to the bcc-like Im-3m structure (namely, for BiS close to 30 GPa, and for SbSe3 between 30 and 50 GPa), is never energetically favorable within the studied pressure range, for either of the three studied compounds.
With respect to the first point, referring to BiS and SbS, our calculations predict that the Pnma structure is energetically the most stable phase, up to 30 GPa, and in good agreement with experimental evidences that show the observation of this phase, both at room and also at HP conditions [30,31,32,33,45,46]. Surprisingly, however, our simulations indicate that the SbSe R-3m phase is the most stable polymorph at pressures below 4.8 GPa; being both the Pnma and R-3m phases, energetically competitive between 0 and 4.8 GPa [51].
Regarding the second point, our analysis further shows that the two monoclinic C2/c and C2/m phases are never energetically competitive in the three compounds throughout the studied pressure range up to 60 GPa; with the exception of the C2/m phase of the SbSe close to 10 GPa. These results are consistent with experimental analysis obtained from Refs. [30,31,32,33,45,46], in which no PT had been observed for the SbS and BiS systems up until ∼50 GPa. However, the respective results are not consistent with three recent studies reporting evidences of PTs in SbS [47,48,49]. A PT to an unknown phase was claimed to occur at around 15 GPa [47,48], and several transitions were also reported between 10 and 25 GPa, and tentatively proposed to be the R-3m, C2/c, and C2/m structural phases [49]. In this context, it must be stressed that our calculations are performed for pure hydrostatic conditions; therefore, it is not expected that a complete agreement occurs with experiments if non-hydrostatic conditions are considered for the experiments.
As for the third point, from a thermodynamic point of view, our results indicate that the bcc-like disordered Im-3m phase, initially identified for BiSe, BiTe, and SbTe [17,19,22], seems to be energetically favorable at HP for our three materials of interest. These results are consistent with the observation of such a phase at around 50 GPa for SbSe [36] and above 25 GPa for SbS [47,48,49]. However, our results do not agree with those found for BiS [37,40], for which a disorder, attributed mostly to a pressure-induced amorphization (PIA), has been observed above 50 GPa. Notably, PIA in BiS is consistent with a recent theoretical work that claims that a respective system is unstable above 31.5 GPa, decomposing into a mixture of BiS and BiS compounds [50]. In this context, it must be stressed that the existence of a bcc-like structure at HP is not only expected for AX sesquichalcogenides, but also for AX (A=Ge,Sn,Pb) chalcogenides [59,60]. All these compounds have in common the property of being cataloged as evidencing metavalent bonding at room pressure, such as SnTe, PbS, PbSe, PbTe, SbTe, BiSe, or BiTe [46]; or as being compounds with p-type covalent bonds that develop metavalent bonding at HP when approaching a six-fold coordination, such as GeSe, SnSe, AsS, and also US-type sesquichalcogenides [61,62], and ultimately, they will reach eight-fold coordination typical of bcc-like metals at very HP.
With respect to the fourth point, the I4/mmm structure was firstly proposed for BiSe by combining experimental and theoretical data [25]. It was found that the structural phase transition pathway for BiSe followed the sequence: R-3m → C2/m → C2/c → I4/mmm, when the quasi-hydrostatic pressure was considered. The C2/c phase would, however, be suppressed when nonhydrostatic pressure conditions are taken into account [25]. These results are also compatible with Raman analysis and XRD data performed on BiSe, where it was evidenced that the stability of the I4/mmm phase was up to 81.2 GPa [24]. Moreover, it has also been claimed [26], that the alloying of BiSe with BiTe enables transitions to occur from the monoclinic phases, up to the disordered Im-3m at ∼19 GPa, which then would be surpassed energetically by the tetragonal I4/mmm polymorph at ∼23 GPa. Curiously enough, the energetic competition between the C2/m, C2/c, and I4/mmm phases is observed at HP for all three US-type sesquichalcogenides (if we discard the disordered Im-3m phase), and the I4/mmm structure would indeed be energetically the most favorable polymorph at very HP. However, the disordered Im-3m phase is always energetically more competitive than I4/mmm for the US-type sesquichalcogenides, and so this latter phase is, a priori, not expected to be observed at HP.
Finally, we have to mention that we have also performed the enthalpy calculations by employing two further xc functionals, in order to confirm the present theoretical data (see Appendix A). The employed functionals were the PBE-D2 method of Grimme (which takes into account the dispersion correction term) [63], and LDA [64]. From the analysis of the plots (Figure A1 and Figure A2) we can infer similar energetic trends of the six polymorphs; however, mild differences are observed between the two competing phases of the disordered Im-3m and I4/mmm—detailed discussion is found in Appendix A.
In summary, the agreement of our results regarding the observation of the disordered Im-3m phase for SbSe and SbS, but not for BiS, suggests that thermodynamic stability is not sufficient to explain the lack of the HP disordered phase for the latter compound. In the following section, we discuss the dynamical stability of the Pnma, C2/m, Im-3m, and I4/mmm phases as a function of pressure, in order to provide a deeper understanding regarding this question.
3.2. Dynamical Stability
Energetic stability is a necessary, but it is not a sufficient condition for a structural phase to be synthetically accessible. One should also probe the dynamical stability of the system, which requires the study of the phonon frequencies. If imaginary frequencies emerge (as represented by negative frequencies in the phonon dispersion curves), we can analyze the results by considering that the system is at a potential-energy maximum (transient state), undergoing a phase transition, and therefore cannot be kinetically stable at the given temperature and/or pressure conditions [65,66,67,68,69,70].
In this section, we consider the phonon properties of different phases for the three compounds, which were observed to be energetically the most favorable (Figure 2) at different pressure values, namely:
- The C2/m phase of SbSe at 20 GPa.
- The disordered bcc-type Im-3m phase of the three compounds above 30 GPa.
- The Pnma phase of the three compounds at 50 GPa.
- The I4/mmm phase of the three compounds at HP.
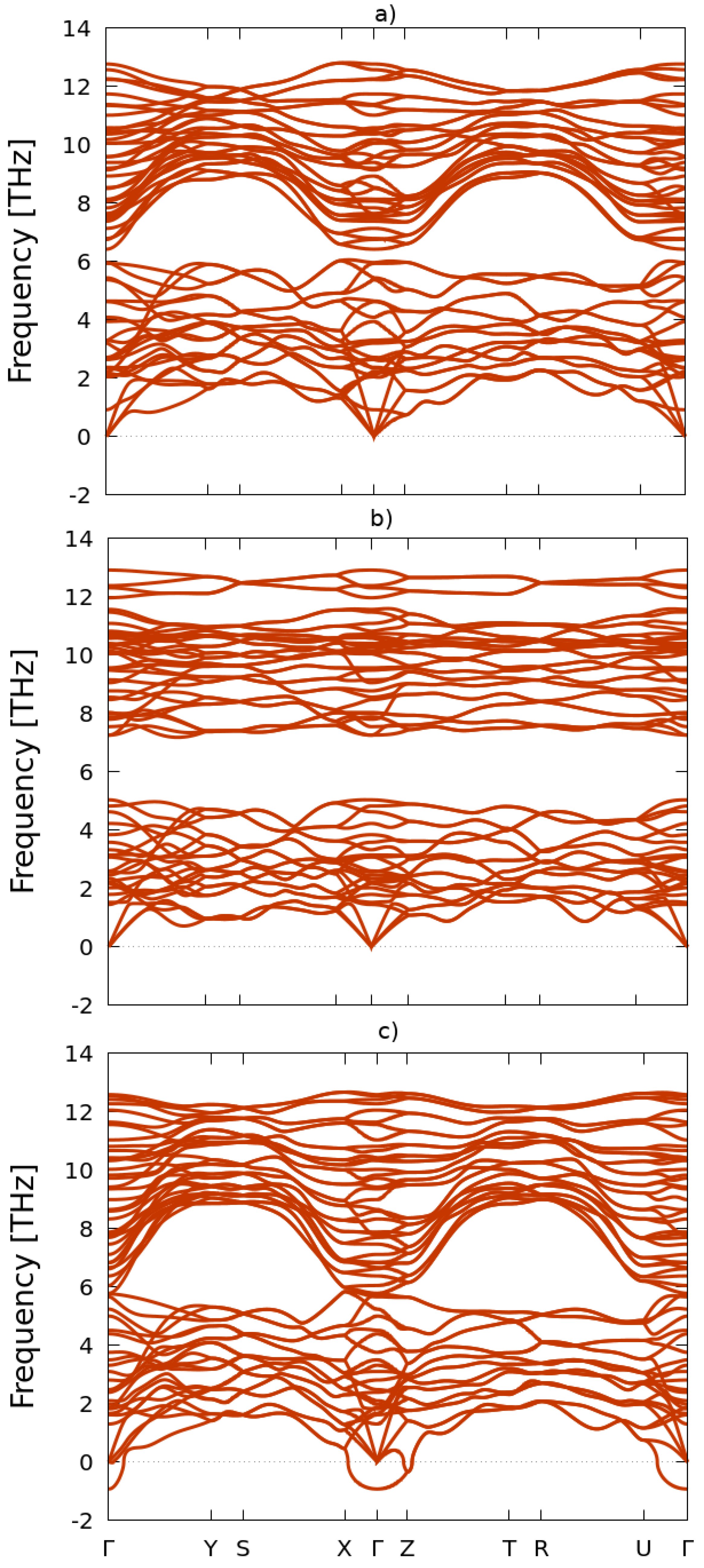
3.2.1. The C2/m Phase of SbSe at 20 GPa
By analyzing the enthalpies as a function of pressure (Figure 2), we observe that the C2/m phase in SbSe is thermodynamically the most stable phase between 10 and 20 GPa. In order to confirm the dynamical stability, we have performed the phonon dispersion curves of respective system at 20 GPa (Figure 3). The dispersion curves do not evidence any imaginary modes; therefore, we may conclude that the C2/m phase in SbSe is dynamically stable in this pressure range and could potentially be observed after the Pnma phase, although it has not yet been experimentally observed [36].
Figure 3.
Harmonic phonon dispersion curves of the C2/m phase of the SbSe compound at 20 GPa.
3.2.2. The Disordered bcc-Type Im-3m Phase of the Three Compounds above 30 GPa
To assess the possibility of dynamical stability for the disordered Im-3m phases of the three compounds at HP, we have evaluated the phonon dispersion curves at pressure values of 30 GPa, which is close to the transition pressures observed in Figure 2; and at higher pressures of 50 (SbSe) and 60 GPa (SbS, BiS).
As illustrated in Figure 4, all three disordered structures at 30 GPa show imaginary modes along the dispersion curves, thus indicating that these structures are dynamically unstable at this pressure range.
Figure 4.
Harmonic phonon dispersion curves of the disordered bcc-like Im-3m phases of SbS (a), BiS (b), and SbSe (c); and calculated at 30 GPa (left), and 50 (SbSe) or 60 GPa (SbS and BiS; right). The BZ q−vector description represents the C2/m space−group, according to the symmetry of the employed cell.
The phonon dispersion curves of SbS and BiS still present imaginary modes at 60 GPa (Figure 4), thus indicating that neither compound is likely to adopt this phase up to this pressure range. We note, however, that the dynamical instabilities found for SbS and BiS both decrease (the imaginary, soft modes shift to higher frequency values, towards positive values) with increasing pressure, suggesting that this phase could in principle become stable at pressures above 60 GPa. In this context, we must note that Efthimiopoulos et al. [37] had observed a pressure-induced amorphization above 50 GPa for BiS; however, the authors were not able to identify the phase to be the disordered Im-3m structure, even at 65 GPa. On the other hand, the experimental data for SbS, suggests that the disordered bcc-like phase exists between 28.2 and 50.2 GPa [49]. However, it must be noted that experimental measurements detailed in Ref. [49] were carried out under non-hydrostatic behavior due to the employed pressure-transmitting medium.
Finally, our calculations suggest that the Im-3m phase becomes dynamically stable in SbSe already at 50 GPa; a result that is in agreement with the experimental observation of this phase at around 50 GPa [36].
In the light of the above results regarding the disordered Im-3m phase of SbS, BiS, and SbSe, we can speculate that the stability of the disordered solid solution in group-15 sesquichalcogenides seems to be related to the sizes of cations and anions. Since the Im-3m phase is consistently being evidenced at HP for sesquichalcogenides with heavier cations and anions (SbSe, SbTe, BiSe, and BiTe), the observation of such a HP phase could be related to the radius sizes [71] of Se, Te, Sb, and Bi (atomic radii: , , , and pm, respectively). Stemming on these values, we can infer that the disordered solid solutions are energetically favorable in sesquichalcogenides if the atomic radii of the cation and anion differ by less than pm, or if the size ratio between them is smaller than ∼1.55 (case of BiSe). In this context, SbS, which shows a radius difference of between and of 37 pm (141 − 104 = 37 pm) and a size ratio of 1.35, meets the criteria for the observation of the disordered Im-3m phase at HP. However, BiS, which evidences a larger radius difference (78 pm) and ratio (1.75) between B and S, does not satisfy the above criteria. Such results would therefore be consistent with the amorphous phase observed for BiS at HP [37,40].
Finally, it must be considered, and as suggested in Ref. [17], that the atomic radii between the anion and cation tend to become approximately equal at HP due to a higher probability of charge transfer from cation to anion. Therefore, HP inherently creates a favorable environment for the disordered solid solutions due to the decrease in the difference between the cation and anion atomic radii. This means that we cannot discard that the disordered solid solution in BiS could occur at very HP values, namely, when the difference between the two radii decreases below 65 pm and when the ratio decreases below 1.55.
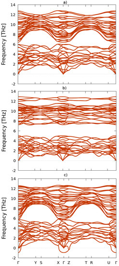
3.2.3. The Pnma Phase of the Three Compounds at 50 GPa
In order to study the dynamical stability of the well known low-pressure Pnma phase at HP, we present in Figure 5 the phonon dispersion curves of the respective phase for SbS, BiS, and SbSe at 50 GPa.
Figure 5.
Harmonic phonon dispersion curves of the Pnma phase of SbS (a), BiS (b), and SbSe (c), calculated at 50 GPa.
Curiously enough, we find that the Pnma phase for SbSe is already unstable at 50 GPa; therefore, a PT should occur at smaller pressures to the C2/m phase, and ultimately, to the disordered Im-3m phase, as previously commented. On the other hand, the Pnma phase for SbS and BiS is still dynamically stable at 50 GPa, although thermodynamically, it is not the most stable phase (Figure 2). These results, together with the dynamical instability observed for the disordered phase of SbS and BiS at 50 GPa (Figure 4) and the thermodynamic instability of the C2/m and C2/c phases, suggest that only the Pnma structure should be observed up to 50 GPa for both compounds, unless there is a decomposition, as theoretically predicted for BiS [50].
3.2.4. The I4/mmm Phase of the Three Compounds at HP
By considering the enthalpy curves of the three compounds (Figure 2), we can infer that the I4/mmm phase is very close in energy with the disordered Im-3m system at pressures above 30 GPa. We therefore have carried out phonon calculations to probe the dynamical stability of this phase, and for all three compounds.
With regard to the SbS system, we observe that only at 60 GPa is the I4/mmm structural phase dynamically stable (Figure 6). Below this pressure value, imaginary modes are observed in the vicinity of the -point, which harden for increasing pressure points. This result, together with the dynamic instability of the disordered Im-3m phase still at 60 GPa, suggests that both the I4/mmm and Im-3m structures are not expected to be observed at pressures below 60 GPa; however, any of these systems could potentially be observed above this pressure range.
Figure 6.
Harmonic phonon dispersion curves of the I4/mmm phase of the SbS compound between 30 and 60 GPa.
With respect to the BiS compound (Figure 7), we observe that the I4/mmm phase is already dynamically stable at 50 GPa, maintaining the stability at 60 GPa. Therefore, the I4/mmm phase could in fact be observed at above 40 GPa, if there was no sample decomposition, as theoretically predicted [50].
Figure 7.
Harmonic phonon dispersion curves of the I4/mmm phase of the BiS compound between 30 and 60 GPa.
Finally, we observed that the the tetragonal I4/mmm phase for SbSe is only dynamically stable at 40 GPa (Figure 8), since there is a localized imaginary mode at the high-symmetry M-point, at any other pressure value. These results differ from the remaining two S-based compounds, and evidence that the disordered Im-3m phase will be the only (thermodynamically and dynamically) stable phase for the SbSe compound at very HP (since the Pnma is also unstable at 50 GPa, Figure 5c), and as discussed in the previous subsection.
Figure 8.
Harmonic phonon dispersion curves of the I4/mmm phase of the SbSe compound between 30 and 60 GPa.
4. Conclusions
We have carried out a comprehensive set of total energy and lattice dynamics calculations in order to investigate the stabilities of six possible structural phases, viz. Pnma, R-3m, C2/m, and C2/c; and disordered Im-3m and I4/mmm for the SbS, BiS, and SbSe sesquichalcogenides under hydrostatic pressures up to 60 GPa. Our theoretical results have been commented in the light of the available experimental data.
We find that the Pnma phase is energetically more stable at room pressure for the SbS and BiS compounds. Curiously, the trigonal R-3m phase is the most energetically favorable phase for SbSe at 0 GPa, although from an experimental perspective, this compound is synthesized in the Pnma phase. In fact, we find that the Pnma phase is dynamically stable for SbS and BiS up to 50 GPa, but not for SbSe at this pressure value.
From our calculations, we observe that the monoclinic C2/m and C2/c systems for the three compounds are energetically less favorable throughout the studied pressure range, and they are not expected to be observed at HP under hydrostatic conditions, except for SbSe between 10 and 20 GPa. Moreover, the C2/m phase of SbSe is dynamically stable at 20 GPa, so a pressure-induced phase transition from the Pnma to the C2/m system could be observed between 10 and 20 GPa under hydrostatic conditions.
The disordered bcc-like Im-3m phase is predicted to be the most energetically stable phase above 35, 30, and 22 GPa for SbS, BiS, and SbSe, respectively; however, this structure is dynamically unstable for SbS and BiS up to 60 GPa, and for SbSe up to 50 GPa. Therefore, this HP phase is expected to occur for SbSe above 50 GPa, in good agreement with experiments, and perhaps above 60 GPa for the other two compounds.
With respect to the I4/mmm phase, we have learned that the structure is not energetically competitive with the Im-3m phase, throughout the studied pressure range, and for the three compounds; however, this phase is close in energy to the Im-3m phase for BiS at 30 GPa, and for SbSe, close to 38 GPa. On the other hand, the I4/mmm system is dynamically stable for BiS above 50 GPa, and for SbSe, quite close to 40 GPa. Therefore, this phase could potentially be observed for the former compound at HP; however, not for SbSe.
Curiously enough, we must mention that through symmetry analysis, the I4/mmm →Fmmm→ C2/m structural transition pathway may occur as a second-order phase transition. We have, however, not considered the intermediate Fmmm system, since, and to the best of our knowledge, such a phase has not yet been experimentally observed for sesquichalcogenides at HP, and therefore, respective analysis would be out the scope of the present work.
We hope that this work will stimulate further investigation of the sesquichalcogenides at HP in order to clarify which pressure-induced phase transitions are observed under hydrostatic and non-hydrostatic conditions.
Author Contributions
E.L.d.S., M.C.S., P.R.-H., and A.M. performed the ab initio calculations. F.J.M. supervised the work and comparison with experimental data. E.L.d.S. and F.J.M. wrote the manuscript. All authors have read and agreed to the published version of the manuscript.
Funding
This publication is part of the Project MALTA Consolider Team network (RED2018-102612-T), financed by MINECO/AEI/10.13039/501100003329; by I+D+i project PID2019-106383GB-42/43, financed by MCIN/AEI/10.13039/501100011033; by projects PROMETEO CIPROM/2021/075 (GREENMAT) and MFA/2022/025 (ARCANGEL), financed by Generalitat Valenciana; and by the European Union Horizon 2020 research and innovation programme under the Marie Sklodowska-Curie grant, agreement No. 785789-COMEX.
Data Availability Statement
The data that support the work presented within this paper are available from the corresponding author upon reasonable request.
Acknowledgments
E.L.d.S acknowledges the High Performance Computing Chair—an R&D infrastructure (based at the University of Évora; PI: M. Avillez), endorsed by Hewlett Packard Enterprise, and involving a consortium of higher education institutions, research centers, enterprises, and public/private organizations; and the Portuguese Foundation of Science and Technology with the CEEC individual fellowship, 5th edition, with Reference 2022.00082.CEECIND.
Conflicts of Interest
The authors declare no conflict of interest.
Appendix A. Comparison of Enthalpy vs. Pressure Behavior for Different Exchange-Correlation Functionals
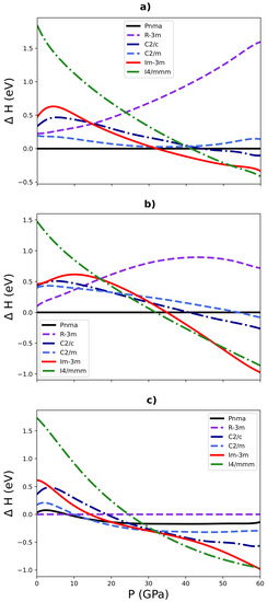
In order to confirm the enthalpy variation as the pressure increases for the six studied phases presented in Figure 2, and obtained by employing the PBEsol functional, we observe that the energetic trends are functional-independent. In Figure A1 and Figure A2, we present enthalpy results carried out by considering the PBE-D2 and the LDA functional, respectively. For PBE-D2 (Figure A1), the transition pressures are very close to those obtained with PBEsol. Moreover, for the SbSe system, the energetic trends are also comparable to those of PBEsol, namely, that the R-3m phase is energetically the most stable at room pressure, and that the C2/m phase shows a small interval range of stability before the disordered Im-3m phase takes over the energetic configurational space. The I4/mmm system is energetically competitive, with the disordered phase at a slightly lower pressure range when compared to the results obtained with PBEsol. For SbS and BiS, the tetragonal I4/mmm phase becomes energetically the most stable at pressures close to 60 GPa. The results obtained with the LDA functional (Figure A2) also show similar trends; however, the transition pressures are slightly higher than for PBEsol. Moreover, a competition between the two monoclinic phases and I4/mmm seems to occur in SbSe slightly, before the latter phase becomes the most stable phase. At around 60 GPa, the disordered phase stabilizes, becoming the most stable structure for SbSe. In addition, for the BiS compound, we observe a pressure range, at which the I4/mmm becomes energetically the most stable (∼30–45 GPa), which then is energetically taken over by the disordered Im-3m phase at above 45 GPa.
Figure A1.
PBE+vdW enthalpy vs. pressure curves, for the different possible phases (shown in Figure 1) of SbS (a), BiS(b), and SbSe (c), relative to the lowest-energy phase at ambient pressure: the Pnma phase for SbS and BiS, and the R-3m phase for SbSe.
Figure A1.
PBE+vdW enthalpy vs. pressure curves, for the different possible phases (shown in Figure 1) of SbS (a), BiS(b), and SbSe (c), relative to the lowest-energy phase at ambient pressure: the Pnma phase for SbS and BiS, and the R-3m phase for SbSe.

Figure A2.
LDA enthalpy vs. pressure curves, for the different possible phases (shown in Figure 1) of SbS (a), BiS (b), and SbSe (c), relative to the lowest-energy phase at ambient pressure: the Pnma phase for SbS and BiS, and the R-3m phase for SbSe.
Figure A2.
LDA enthalpy vs. pressure curves, for the different possible phases (shown in Figure 1) of SbS (a), BiS (b), and SbSe (c), relative to the lowest-energy phase at ambient pressure: the Pnma phase for SbS and BiS, and the R-3m phase for SbSe.

Appendix B. Evolution of the Lattice Parameters of Sb2S3, Bi2S3, and Sb2Se3 as a Function of Pressure
In Table A1, Table A2 and Table A3, we present the lattice parameters of the different studied compounds at pressure values where stability (thermodynamic and dynamical) is evidenced. Since the C2/c structure is never stable throughout the studied pressure range, we do not present the respective theoretical values for any of the compounds. As for SbS and BiS, we only present the lattice parameters related to the Pnma phase, at 0 and 30 GPa, since this is the pressure range for which the structure is energetically more favorable; and where none of the remaining phases satisfy both of the stability conditions that we mentioned previously.
Table A1.
Theoretical estimation (PBEsol) of the lattice parameters of the SbS compound, for the Pnma structural phase, for different pressure values, at which the system is both energetically and dynamically stable (presented in units of Å).
Table A1.
Theoretical estimation (PBEsol) of the lattice parameters of the SbS compound, for the Pnma structural phase, for different pressure values, at which the system is both energetically and dynamically stable (presented in units of Å).
| SbS | 0 GPa | 10 GPa | 20 GPa | 30 GPa |
|---|---|---|---|---|
| a | 11.24 | 10.30 | 10.02 | 9.82 |
| b | 3.83 | 3.72 | 3.63 | 3.58 |
| c | 10.91 | 10.24 | 9.83 | 9.53 |
Table A2.
Theoretical estimation (PBEsol) of the lattice parameters of the BiS compound, for the Pnma structural phase, for different pressure values, at which the system is both energetically and dynamically stable (presented in units of Å).
Table A2.
Theoretical estimation (PBEsol) of the lattice parameters of the BiS compound, for the Pnma structural phase, for different pressure values, at which the system is both energetically and dynamically stable (presented in units of Å).
| BiS | 0 GPa | 10 GPa | 20 GPa | 30 GPa |
|---|---|---|---|---|
| a | 11.19 | 10.59 | 10.38 | 10.22 |
| b | 3.96 | 3.82 | 3.74 | 3.67 |
| c | 10.94 | 10.32 | 9.94 | 9.64 |
Table A3.
Theoretical estimation (PBEsol) of the lattice parameters of the SbSe compound, for the different structural phases that are both energetically and dynamically stable within the range of studied pressures (presented in units of Å).
Table A3.
Theoretical estimation (PBEsol) of the lattice parameters of the SbSe compound, for the different structural phases that are both energetically and dynamically stable within the range of studied pressures (presented in units of Å).
| SbSe | ||
|---|---|---|
| Pnma | 10 GPa | a = 10.77, b = 3.83, c = 10.69 |
| 15 GPa | a = 10.63, b = 3.77, c = 10.48 | |
| 20 GPa | a = 10.50, b = 3.72, c = 10.35 | |
| R-3m | 0 GPa | a = 4.01, c = 28.16 |
| C/2m | 20 GPa | a = 13.15, b = 3.55, c = 8.06 |
| disordered Im-3m | 50 GPa | a = 13.55, b = 4.49, c = 5.50 |
| I4/mmm | 40 GPa | a = 3.26, c = 15.84 |
Appendix C. Mode Mapping of the Disordered Im-3m Phase of Sb2Se3 at 30 GPa
By observing the phonon dispersion curves of the disordered Im-3m phase in SbSe at 30 GPa (Figure 4c), we may notice that the instability mode is localized at a high-symmetry point, the M-point, which is defined as being a zone-boundary instability (or anti-ferroelectric instability, resulting in an anti-phase periodic distortion). Since the negative mode is localized, it is therefore possible to map out the anharmonic potential energy surfaces by following the eigenvectors associated with this instability/displacement, and thus, to be able to obtain a lower energy structure corresponding to the minima of the potential energy surface. For these calculations, we use the open-source MODEMAP package [72,73]. A sequence of displaced structures in a commensurate supercell (1 × 2 × 2) expansion is generated by displacing along the phonon eigenvectors over a range of amplitudes of the normal-mode coordinate Q. The total energies of the “frozen phonon” structures are evaluated from single-point DFT calculations. The E(Q) curves are then fitted to a polynomial function, with the number of terms depending on the form of the potential well.
The displacements associated with the disordered bcc high-pressure structure result from the condensation of these soft M-modes, leading to a lower energy system and an enlarged primitive unit-cell. The displacement involves two Se atoms at the center of the cell, namely at (0.50000, 0.75000, 0.50000) and (0.50000, 0.25000, 0.50000). Both atoms evidence mild distortions along the x- and z-directions, minimizing the energy to 3.63 meV when compared to the original disordered Im-3m phase at Q = 0 (Figure A3).
Figure A3.
Double −well potential−energy surfaces for the phonon instabilities associated with the high-symmetry M−point negative modes (Figure 4). The normal-mode coordinates Q have been normalized so that the minima are located at Q = ±1, and the energy differences are those calculated in a 1 × 2 × 2 supercell. The bottom figures represent the structure at Q = 0 (left) and at Q = 1 (right).
Figure A3.
Double −well potential−energy surfaces for the phonon instabilities associated with the high-symmetry M−point negative modes (Figure 4). The normal-mode coordinates Q have been normalized so that the minima are located at Q = ±1, and the energy differences are those calculated in a 1 × 2 × 2 supercell. The bottom figures represent the structure at Q = 0 (left) and at Q = 1 (right).

References
- Chen, Y.L.; Analytis, J.G.; Chu, J.H.; Liu, Z.K.; Mo, S.K.; Qi, X.L.; Zhang, H.J.; Lu, D.H.; Dai, X.; Fang, Z.; et al. Experimental Realization of a Three-Dimensional Topological Insulator, Bi2Te3. Science 2009, 325, 178. [Google Scholar] [CrossRef]
- Zhang, H.; Liu, C.X.; Qi, X.L.; Dai, X.; Fang, Z.; Zhang, S.C. Topological insulators in Bi2Se3, Bi2Te3 and Sb2Te3 with a single Dirac cone on the surface. Nat. Phys. 2009, 5, 438. [Google Scholar] [CrossRef]
- Hasan, M.Z.; Kane, C.L. Colloquium: Topological insulators. Rev. Mod. Phys. 2010, 82, 3045. [Google Scholar] [CrossRef]
- Venkatasubramanian, R.; Siivola, E.; Colpitts, T.; O’Quinn, B. Thin-film thermoelectric devices with high room-temperature figures of merit. Nature 2001, 413, 597. [Google Scholar] [CrossRef] [PubMed]
- Martinez, J.C.; Lu, L.; Ning, J.; Dong, W.; Cao, T.; Simpson, R.E. The Origin of Optical Contrast in Sb2Te3-Based Phase-Change Materials. Phys. Status Solidi B 2020, 257, 1900289. [Google Scholar] [CrossRef]
- Sa Moon, S.J.; Itzhaik, Y.; Yum, J.H.; Zakeeruddin, S.M.; Hodes, G.; Gräzel, M. Sb2S3-Based Mesoscopic Solar Cell using an Organic Hole Conductor. J. Phys. Chem. Lett. 2010, 1, 1524. [Google Scholar] [CrossRef]
- Patrick, C.E.; Giustino, F. Structural and Electronic Properties of Semiconductor-Sensitized Solar-Cell Interfaces. Adv. Funct. Mater. 2011, 21, 4663. [Google Scholar] [CrossRef]
- Zhou, Y.; Wang, L.; Chen, S.; Qin, S.; Liu, X.; Chen, J.; Xue, D.; Luo, M.; Cao, Y.; Cheng, Y.; et al. Thin-film Sb2Se3 photovoltaics with oriented one-dimensional ribbons and benign grain boundaries. Nat. Photonics 2015, 9, 409. [Google Scholar] [CrossRef]
- Wang, L.; Li, D.; Li, K.; Chen, C.; Deng, H.X.; Gao, L.; Zhao, Y.; Jiang, F.; Li, L.; Huang, F.; et al. Stable 6%-efficient Sb2Se3 solar cells with a ZnO buffer layer. Nat. Energy 2017, 2, 17046. [Google Scholar] [CrossRef]
- Rabin, O.; Perez, J.; Grimm, J.; Wojtkiewicz, G.; Weissleder, R. An X-ray computed tomography imaging agent based on long-circulating bismuth sulphide nanoparticles. Nat. Mater. 2006, 5, 118. [Google Scholar] [CrossRef]
- Yao, K.; Zhang, Z.; Liang, X.; Chen, Q.; Peng, L.M.; Yu, Y. Effect of H2 on the Electrical Transport Properties of Single Bi2S3 Nanowires. J. Phys. Chem. B 2006, 110, 21408. [Google Scholar] [CrossRef] [PubMed]
- Cademartiri, L.; Scotognella, F.; O’Brien, P.; Lotsch, B.; Thomson, J.; Petrov, S.; Kherani, N.; Ozin, G. Cross-Linking Bi2S3 Ultrathin Nanowires: A Platform for Nanostructure Formation and Biomolecule Detection. Nano Lett. 2009, 9, 1482. [Google Scholar] [CrossRef] [PubMed]
- Mamta; Singh, Y.; Maurya, K.K.; Singh, V.N. A review on properties, applications, and deposition techniques of antimony selenide. Sol. Energy Mater. Sol. Cells 2021, 230, 111223. [Google Scholar] [CrossRef]
- Chen, S.; Liu, T.; Zheng, Z.; Ishaq, M.; Liang, G.; Fan, P.; Chen, T.; Tang, J. Recent progress and perspectives on Sb2Se3-based photocathodes for solar hydrogen production via photoelectrochemical water splitting. J. Energy Chem. 2022, 67, 508. [Google Scholar] [CrossRef]
- Li, Q.; Zhang, W.; Peng, J.; Yu, D.; Liang, Z.; Zhang, W.; Wu, J.; Wang, G.; Li, H.; Huang, S. Nanodot-in-Nanofiber Structured Carbon-Confined Sb2Se3 Crystallites for Fast and Durable Sodium Storage. Adv. Funct. Mater. 2022, 32, 2112776. [Google Scholar] [CrossRef]
- Ma, X.; Chen, W.; Tong, L.; Liu, S.; Dai, W.; Ye, S.; Zheng, Z.; Wang, Y.; Zhou, Y.; Zhang, W.; et al. Experimental demonstration of harmonic mode-locking in Sb2Se3-based thulium-doped fiber laser. Opt. Laser Technol. 2021, 143, 107286. [Google Scholar] [CrossRef]
- Zhu, L.; Wang, H.; Wang, Y.; Lv, J.; Yanmei, M.; Cui, Q.; Ma, Y.; Zou, G. Substitutional Alloy of Bi and Te at High Pressure. Phys. Rev. Lett. 2011, 106, 145501. [Google Scholar] [CrossRef]
- Einaga, M.; Ohmura, A.; Nakayama, A.; Ishikawa, F.; Yamada, Y.; Nakano, S. Pressure-induced phase transition of Bi2Te3 to a bcc structure. Phys. Rev. B 2011, 83, 092102. [Google Scholar] [CrossRef]
- Zhao, J.; Liu, H.; Ehm, L.; Chen, Z.; Sinogeikin, S.; Zhao, Y.; Gu, G. Pressure-Induced Disordered Substitution Alloy in Sb2Te3. Inor. Chem. 2011, 50, 11291. [Google Scholar] [CrossRef]
- Vilaplana, R.; Santamaría-Pérez, D.; Gomis, O.; Manjón, F.J.; González, J.; Segura, A.; Muñoz, A.; Rodríguez-Hernández, P.; Pérez-González, E.; Marín-Borrás, V.; et al. Structural and vibrational study of Bi2Se3 under high pressure. Phys. Rev. B 2011, 84, 184110. [Google Scholar] [CrossRef]
- Ma, Y.; Liu, G.; Zhu, P.; Wang, H.; Wang, X.; Cui, Q.; Liu, J.; Ma, Y. Determinations of the high-pressure crystal structures of Sb2Te3. J. Phys. Condens. Matter 2012, 24, 475403. [Google Scholar] [CrossRef]
- Liu, G.; Zhu, L.; Yanmei, M.; Lin, C.; Liu, J.; Ma, Y. Stabilization of 9/10-Fold Structure in Bismuth Selenide at High Pressures. J. Phys. Chem. C 2013, 117, 10045. [Google Scholar] [CrossRef]
- Zhao, J.; Liu, H.; Ehm, L.; Dong, D.; Chen, Z.; Gu, G. High-pressure phase transitions, amorphization, and crystallization behaviors in Bi2Se3. J. Phys. Condens. Matter 2013, 25, 125602. [Google Scholar] [CrossRef] [PubMed]
- Yu, Z.; Wang, L.; Hu, Q.; Zhao, J.; Yan, S.; Yang, K.; Sinogeikin, S.; Gu, G.; Mao, H.-k. Structural phase transitions in Bi2Se3 under high pressure. Sci. Rep. 2015, 5, 15939. [Google Scholar] [CrossRef]
- Hao, X.; Zhu, H.; Guo, Z.; Li, H.; Gong, Y.; Chen, D. Local insight to the structural phase transition sequence of Bi2Se3 under quasi-hydrostatic and nonhydrostatic pressure. J. Phys. Condens. Matter 2021, 33, 215402. [Google Scholar] [CrossRef]
- Tseng, Y.C.; Lin, C.M.; Jian, S.R.; Le, P.H.; Gospodinov, M.M.; Marinova, V.; Dimitrov, D.Z.; Luo, C.W.; Wu, K.H.; Zhang, D.Z.; et al. Structural and electronic phase transition in Bi2Se2.1Te0.9 under pressure. J. Phys. Chem. Solids 2021, 156, 110123. [Google Scholar] [CrossRef]
- Ovsyannikov, S.V.; Shchennikov, V.V. High-Pressure Routes in the Thermoelectricity or How One Can Improve a Performance of Thermoelectrics. Chem. Mater. 2010, 22, 635. [Google Scholar] [CrossRef]
- Ovsyannikov, S.V.; Shchennikov, V.V.; Vorontsov, G.V.; Manakov, A.Y.; Likhacheva, A.Y.; Kulbachinskii, V.A. Giant improvement of thermoelectric power factor of Bi2Te3 under pressure. J. App. Phys. 2008, 104, 053713. [Google Scholar] [CrossRef]
- Zhang, J.L.; Zhang, S.J.; Weng, H.M.; Zhang, W.; Yang, L.X.; Liu, Q.Q.; Feng, S.M.; Wang, X.C.; Yu, R.C.; Cao, L.Z.; et al. Pressure-induced superconductivity in topological parent compound Bi2Te3. Proc. Natl. Acad. Sci. USA 2011, 108, 24. [Google Scholar] [CrossRef]
- Zhang, C.; Sun, L.; Chen, Z.; Zhou, X.; Wu, Q.; Yi, W.; Guo, J.; Dong, X.; Zhao, Z. Phase diagram of a pressure-induced superconducting state and its relation to the Hall coefficient of Bi2Te3 single crystals. Phys. Rev. B 2011, 83, 140504. [Google Scholar] [CrossRef]
- Zhu, J.; Kong, P.P.; Zhang, S.J.; Yu, X.H.; Zhu, J.L.; Liu, Q.Q.; Li, X.; Yu, R.C.; Ahuja, R.; Yang, W.G.; et al. Superconductivity in Topological Insulator Sb2Te3 Induced by Pressure. Sci. Rep. 2013, 3, 2016. [Google Scholar] [CrossRef] [PubMed]
- Kong, P.P.; Zhang, J.L.; Zhang, S.J.; Zhu, J.; Liu, Q.Q.; Yu, R.C.; Fang, Z.; Jin, C.Q.; Yang, W.G.; Yu, X.H.; et al. Superconductivity of the topological insulator Bi2Se3 at high pressure. J. Phys. Condens. Matter 2013, 25, 362204. [Google Scholar] [CrossRef]
- Taguchi, T.; Ikeda, M.; Li, H.; Suzuki, A.; Yang, X.; Ishii, H.; Liao, Y.F.; Ota, H.; Goto, H.; Eguchi, R.; et al. Superconductivity of topological insulator Sb2Te3–ySey under pressure. J. Phys. Condens. Matter 2021, 33, 485704. [Google Scholar] [CrossRef] [PubMed]
- Crichton, W.A.; Bernal, F.L.M.; Guignard, J.; Hanfland, M.; Margadonna, S. Observation of the Sb2S3-type post-post-GdFeO3-perovskite: A model structure for high density ABX3 and A2X3 phases. arXiv 2014, arXiv:1410.2783. [Google Scholar] [CrossRef]
- Crichton, W.A.; Bernal, F.L.; Guignard, J.; Hanfland, M.; Margadonna, S. Observation of Sb2S3-type post-post-perovskite in NaFeF3. Implications for ABX3 and A2X3 systems at ultrahigh pressure. Mineral. Mag. 2016, 80, 659. [Google Scholar] [CrossRef]
- Efthimiopoulos, I.; Zhang, J.; Kucway, M.; Park, C.; Ewing, R.; Wang, Y. Sb2Se3 under pressure. Sci. Rep. 2013, 3, 2665. [Google Scholar] [CrossRef] [PubMed]
- Efthimiopoulos, I.; Kemichick, J.; Zhou, X.; Khare, S.; Ikuta, D.; Wang, Y. High-pressure Studies of Bi2S3. J. Phys. Chem. A 2014, 118, 1713. [Google Scholar] [CrossRef]
- Sorb, Y.A.; Rajaji, V.; Malavi, P.S.; Subbarao, U.; Halappa, P.; Peter, S.C.; Karmakar, S.; Narayana, C. Pressure-induced electronic topological transition in Sb2S3. J. Phys. Condens. Matter 2015, 28, 015602. [Google Scholar] [CrossRef] [PubMed]
- Ibañez, J.; Sans, J.A.; Popescu, C.; López-Vidrier, J.; Elvira-Betanzos, J.J.; Cuenca-Gotor, V.P.; Gomis, O.; Manjón, F.J.; Rodríguez-Hernández, P.; Muñoz, A. Structural, Vibrational, and Electronic Study of Sb2S3 at High Pressure. J. Phys. Chem. C 2016, 120, 10547. [Google Scholar] [CrossRef]
- Li, C.; Zhao, J.; Hu, Q.; Liu, Z.; Yu, Z.; Yan, H. Crystal structure and transporting properties of Bi2S3 under high pressure: Experimental and theoretical studies. J. Alloys Compd. 2016, 688, 329. [Google Scholar] [CrossRef]
- Cheng, H.; Zhang, J.; Yu, P.; Gu, C.; Ren, X.; Lin, C.; Li, X.; Zhao, Y.; Wang, S.; Li, Y. Enhanced Structural Stability of Sb2Se3 via Pressure-Induced Alloying and Amorphization. J. Phys. Chem. C 2020, 124, 3421. [Google Scholar] [CrossRef]
- Anversa, J.; Chakraborty, S.; Piquini, P.; Ahuja, R. High pressure driven superconducting critical temperature tuning in Sb2Se3 topological insulator. Appl. Phys. Lett. 2016, 108, 212601. [Google Scholar] [CrossRef]
- Kong, P.; Sun, F.; Xing, L.; Zhu, J.; Zhang, S.; Li, W.; Wang, X.; Feng, S.; Yu, X.; Zhu, J.; et al. Superconductivity in Strong Spin Orbital Coupling Compound Sb2Se3. Sci. Rep. 2014, 4, 6679. [Google Scholar] [CrossRef] [PubMed]
- Das, S.; Sirohi, A.; Kumar Gupta, G.; Kamboj, S.; Vasdev, A.; Gayen, S.; Guptasarma, P.; Das, T.; Sheet, G. Discovery of highly spin-polarized conducting surface states in the strong spin-orbit coupling semiconductor Sb2Se3. Phys. Rev. B 2018, 97, 235306. [Google Scholar] [CrossRef]
- Zhang, K.; Xu, M.; Li, N.; Xu, M.; Zhang, Q.; Greenberg, E.; Prakapenka, V.B.; Chen, Y.S.; Wuttig, M.; Mao, H.K.; et al. Superconducting Phase Induced by a Local Structure Transition in Amorphous Sb2Se3 under High Pressure. Phys. Rev. Lett. 2021, 127, 127002. [Google Scholar] [CrossRef]
- Cheng, Y.; Cojocaru-Mirédin, O.; Keutgen, J.; Yu, Y.; Küpers, M.; Schumacher, M.; Golub, P.; Raty, J.Y.; Dronskowski, R.; Wuttig, M. Understanding the Structure and Properties of Sesqui-Chalcogenides (i.e., V2VI3 or Pn2Ch3 (Pn = Pnictogen, Ch = Chalcogen) Compounds) from a Bonding Perspective. Adv. Mater. 2019, 31, 1904316. [Google Scholar] [CrossRef]
- Efthimiopoulos, I.; Buchan, C.; Wang, Y. Structural properties of Sb2S3 under pressure: Evidence of an electronic topological transition. Sci. Rep. 2016, 6, 24246. [Google Scholar] [CrossRef]
- Dai, L.; Liu, K.; Li, H.; Wu, L.; Hu, H.; Zhuang, Y.; Linfei, Y.; Pu, C.; Liu, P. Pressure-induced irreversible metallization accompanying the phase transitions in Sb2S3. Phys. Rev. B 2018, 97, 024103. [Google Scholar] [CrossRef]
- Wang, Y.; Yanmei, M.; Liu, G.; Wang, J.; Li, Y.; Li, Q.; Zhang, J.; Ma, Y.; Zou, G. Experimental Observation of the High Pressure Induced Substitutional Solid Solution and Phase Transformation in Sb2S3. Sci. Rep. 2018, 8, 14795. [Google Scholar] [CrossRef]
- Liu, G.; Yu, Z.; Liu, H.; Redfern, S.A.T.; Feng, X.; Li, X.; Yuan, Y.; Yang, K.; Hirao, N.; Kawaguchi, S.I.; et al. Unexpected Semimetallic BiS2 at High Pressure and High Temperature. J. Phys. Chem. Lett. 2018, 9, 5785. [Google Scholar] [CrossRef]
- da Silva, E.L.; Skelton, J.M.; Rodríguez-Hernández, P.; Muñoz, A.; Santos, M.C.; Martínez-García, D.; Vilaplana, R.; Manjón, F.J. A theoretical study of the Pnma and R-3m phases of Sb2S3, Bi2S3 and Sb2Se3. J. Mater. Chem. C 2022, 10, 15061. [Google Scholar] [CrossRef]
- Hohenberg, P.; Kohn, W. Inhomogeneous electron gas. Phys. Rev. 1964, 136, B864. [Google Scholar] [CrossRef]
- Kresse, G.; Furthmüller, J. Efficiency of ab-initio total energy calculations for metals and semiconductors using a plane-wave basis set. Comput. Mater. Sci. 1996, 6, 15. [Google Scholar] [CrossRef]
- Perdew, J.P.; Ruzsinszky, A.; Csonka, G.I.; Vydrov, O.A.; Scuseria, G.E.; Constantin, L.A.; Zhou, X.; Burke, K. Restoring the density-gradient expansion for exchange in solids and surfaces. Phys. Rev. Lett. 2008, 100, 136406, Erratum in Phys. Rev. Lett. 2009, 102, 039902. [Google Scholar] [CrossRef] [PubMed]
- Monkhorst, H.J.; Pack, J.D. Special Points for Brillouin-Zone Integrations. Phys. Rev. B 1976, 13, 5188. [Google Scholar] [CrossRef]
- Murnaghan, F.D. The Compressibility of Media under Extreme Pressures. Proc. Natl. Acad. Sci. USA 1944, 30, 244. [Google Scholar] [CrossRef]
- Birch, F. Finite Elastic Strain of Cubic Crystals. Phys. Rev. 1947, 71, 809. [Google Scholar] [CrossRef]
- Togo, A.; Oba, F.; Tanaka, I. First-principles calculations of the ferroelastic transition between rutile-type and CaCl2-type SiO2 at high pressures. Phys. Rev. B 2008, 78, 134106. [Google Scholar] [CrossRef]
- Gonzalez, J.M.; Nguyen-Cong, K.; Steele, B.A.; Oleynik, I.I. Novel phases and superconductivity of tin sulfide compounds. J. Chem. Phys 2018, 148, 194701. [Google Scholar] [CrossRef]
- Nguyen, L.T.; Makov, G. GeS Phases from First-Principles: Structure Prediction, Optical Properties, and Phase Transitions upon Compression. Cryst. Growth Des. 2022, 22, 4956. [Google Scholar] [CrossRef]
- Xu, M.; Jakobs, S.; Mazzarello, R.; Cho, J.Y.; Yang, Z.; Hollermann, H.; Shang, D.; Miao, X.; Yu, Z.; Wang, L.; et al. Impact of Pressure on the Resonant Bonding in Chalcogenides. J. Phys. Chem. C 2017, 121, 25447. [Google Scholar] [CrossRef]
- Cuenca-Gotor, V.P.; Sans, J.A.; Gomis, O.; Mujica, A.; Radescu, S.; Muñoz, A.; Rodríguez-Hernández, P.; da Silva, E.L.; Popescu, C.; Ibañez, J.; et al. Orpiment under compression: Metavalent bonding at high pressure. Phys. Chem. Chem. Phys. 2020, 22, 3352. [Google Scholar] [CrossRef] [PubMed]
- Grimme, S. Semiempirical GGA-Type Density Functional Constructed with a Long-Range Dispersion Correction. J. Comp. Chem. 2006, 27, 1787. [Google Scholar] [CrossRef] [PubMed]
- Perdew, J.P.; Zunger, A. Self-interaction correction to density-functional approximations for many-electron systems. Phys. Rev. B 1981, 23, 5048. [Google Scholar] [CrossRef]
- Born, M. On the stability of crystal lattices. I. In Mathematical Proceedings of the Cambridge Philosophical Society; Cambridge University Press: Cambridge, UK, 1940; Volume 36, p. 160. [Google Scholar] [CrossRef]
- Dove, M.T. Introduction to Lattice Dynamics; Cambridge University Press: Cambridge, UK, 1993. [Google Scholar] [CrossRef]
- Dove, M.T. Structure and Dynamics: An Atomic View of Materials; Oxford Master Series in Physics; Oxford University Press: Oxford, UK, 2003. [Google Scholar] [CrossRef]
- Dove, M.T. Review: Theory of displacive phase transitions in minerals. Am. Min. 2015, 82, 213. [Google Scholar] [CrossRef]
- Venkataraman, G. Soft modes and structural phase transitions. Bull. Mater. Sci. 1979, 1, 129. [Google Scholar] [CrossRef]
- Di Gennaro, M.; Saha, S.; Verstraete, M. Role of Dynamical Instability in the Ab Initio Phase Diagram of Calcium. Phys. Rev. Lett. 2013, 111, 025503. [Google Scholar] [CrossRef]
- Quadbeck-Seeger, H.J. World of the Elements: Elements of the World; Wiley-VCH: Weinheim, Germany, 2007. [Google Scholar] [CrossRef]
- Skelton, J.M.; Burton, L.A.; Parker, S.C.; Walsh, A.; Kim, C.E.; Soon, A.; Buckeridge, J.; Sokol, A.A.; Catlow, C.R.A.; Togo, A.; et al. Anharmonicity in the High-Temperature Cmcm Phase of SnSe: Soft Modes and Three-Phonon Interactions. Phys. Rev. Lett. 2016, 117, 075502. [Google Scholar] [CrossRef]
- Skelton, J.M. ModeMap. Available online: https://github.com/JMSkelton/ModeMap (accessed on 10 June 2019).
Disclaimer/Publisher’s Note: The statements, opinions and data contained in all publications are solely those of the individual author(s) and contributor(s) and not of MDPI and/or the editor(s). MDPI and/or the editor(s) disclaim responsibility for any injury to people or property resulting from any ideas, methods, instructions or products referred to in the content. |
© 2023 by the authors. Licensee MDPI, Basel, Switzerland. This article is an open access article distributed under the terms and conditions of the Creative Commons Attribution (CC BY) license (https://creativecommons.org/licenses/by/4.0/).







