The Effect of Isoniazid–Maltitol Solid Dispersions on Aqueous Solubility and Permeability
Abstract
:1. Introduction
2. Materials and Methods
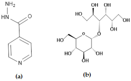
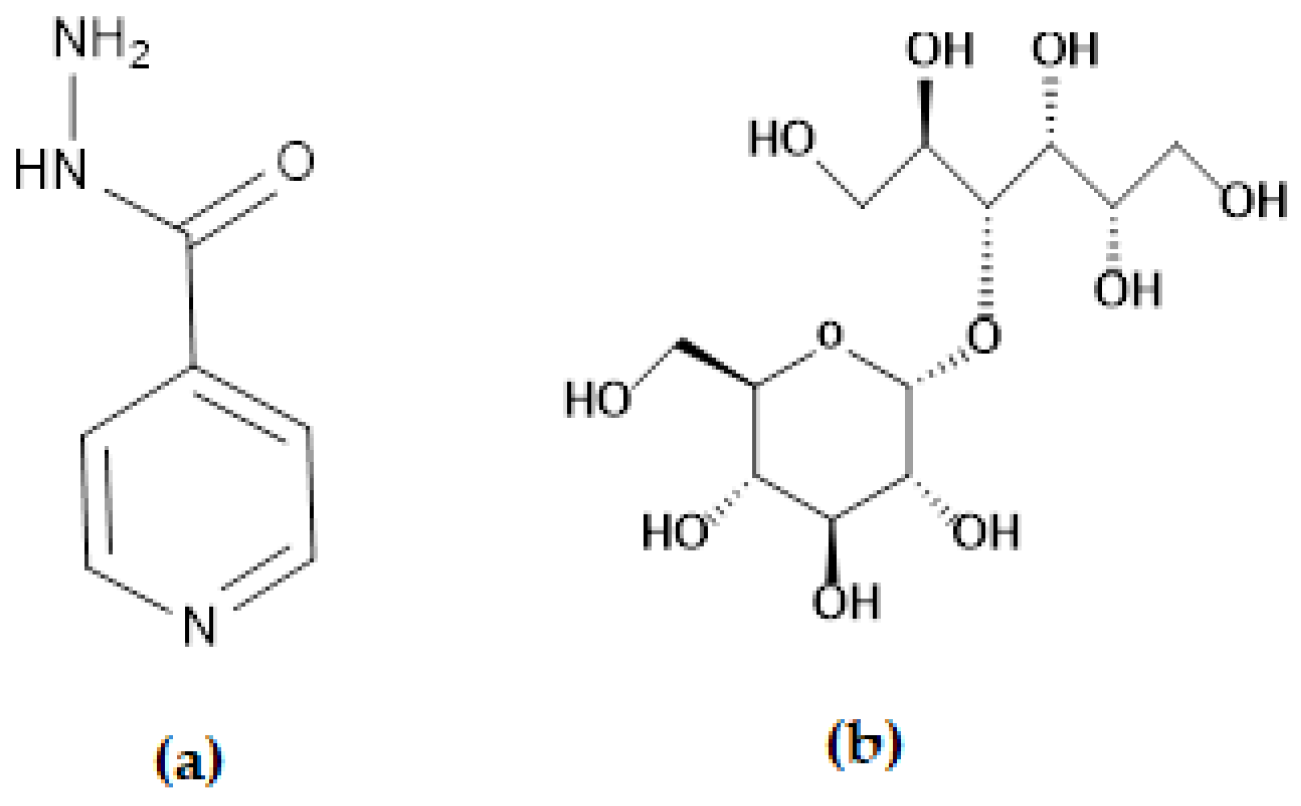
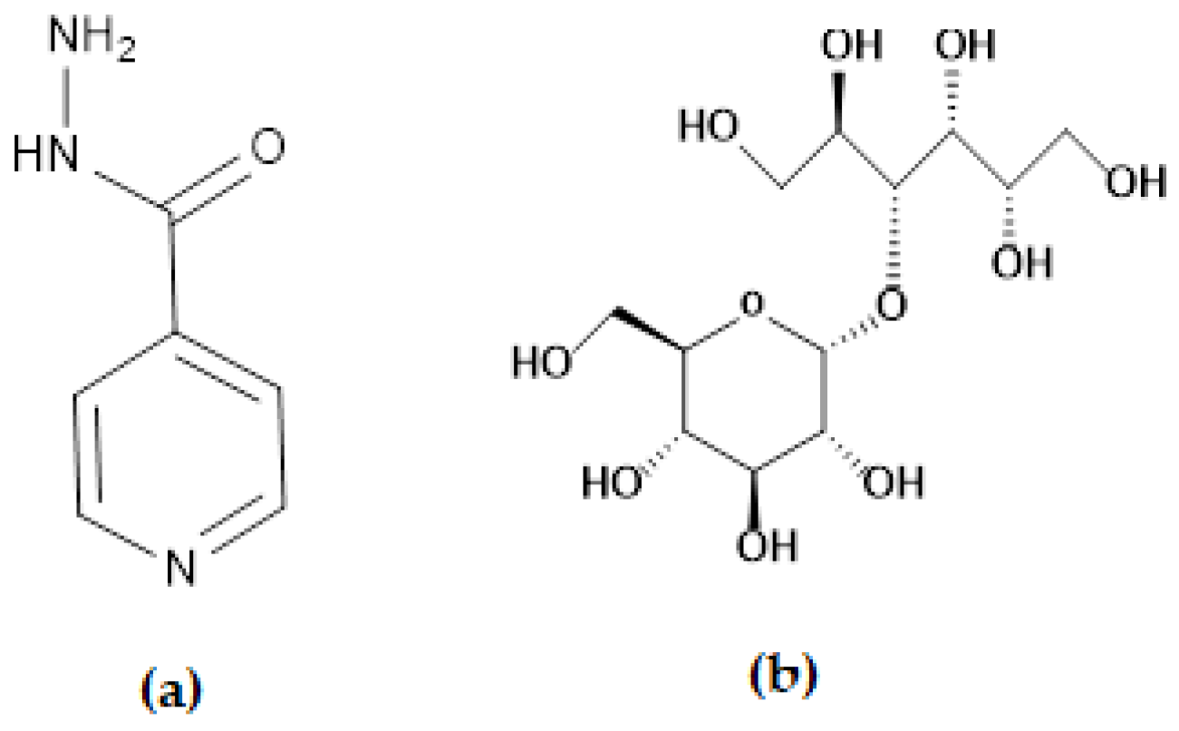
2.1. Materials
2.2. Methods
2.2.1. Preparation of Physical Mixtures
2.2.2. Preparation of Solid Dispersions
2.2.3. Physicochemical Characterization of Prepared Solid Dispersions
Differential Scanning Calorimetry (DSC)
Hot-Stage Microscopy (HSM)
Fourier-Transform Infrared Spectroscopy (FTIR)
Powder X-ray Diffraction (PXRD)
Scanning Electron Microscopy (SEM)
INH Content in SDs
Equilibrium Solubility Studies
Parallel Artificial Membrane Permeability Assay (PAMPA)
3. Results and Discussion
3.1. Solid-State Solubility of MAL–INH in Varying Molar Weight Ratios
3.2. Physicochemical Characterization of INH–MAL SDs Prepared via Heat Fusion
3.2.1. Thermal Analysis
3.2.2. FTIR Analysis
3.2.3. PXRD Analysis
3.2.4. SEM Analysis
3.2.5. Equilibrium Solubility Testing
3.3. INH Permeability Testing through Parallel Artificial Membrane Permeation (PAMPA) Assay
4. Conclusions
Author Contributions
Funding
Institutional Review Board Statement
Informed Consent Statement
Data Availability Statement
Conflicts of Interest
References
- Becker, C.; Dressman, J.; Amidon, G.; Junginger, H.; Kopp, S.; Midha, K.; Shah, V.; Stavchansky, S.; Barends, D. Biowaiver Monographs for Immediate Release Solid Oral Dosage Forms: Isoniazid. J. Pharm. Sci. 2007, 96, 522–531. [Google Scholar] [CrossRef] [PubMed]
- European Medicines Agency. ICH Guideline M9 on Biopharmaceutics Classification System Based Biowaivers; European Medicines Agency: Amsterdam, The Netherlands, 2018; Volume 44. [Google Scholar]
- Isoniazid. In Handbook of Anti-Tuberculosis Agents; Elsevier: Amsterdam, The Netherlands, 2008; Volume 88, pp. 112–116. Available online: https://www.sciencedirect.com/science/article/pii/S1472979208700118?via%3Dihub (accessed on 26 August 2023).
- Hebbink, G.A.; Dickhoff, B.H.J. Application of Lactose in the Pharmaceutical Industry. In Lactose: Evolutionary Role, Health Effects, and Applications; Elsevier Inc.: Amsterdam, The Netherlands, 2019; pp. 175–229. ISBN 9780128117200. [Google Scholar]
- França, M.; Martins Marcos, T.; Costa, P.F.; Bazzo, G.; Nicolay Pereira, R.; Gerola, A.; Stulzer, H. Eutectic Mixture and Amorphous Solid Dispersion: Two Different Supersaturating Drug Delivery System Strategies to Improve Griseofulvin Release Using Saccharin. Int. J. Pharm. 2022, 615, 121498. [Google Scholar] [CrossRef] [PubMed]
- Williams, H.D.; Trevaskis, N.L.; Charman, S.A.; Shanker, R.M.; Charman, W.N.; Pouton, C.W.; Porter, C.J.H. Strategies to Address Low Drug Solubility in Discovery and Development Strategies to Address Low Drug Solubility in Discovery and Development. Pharmacol. Rev. 2013, 65, 315–499. [Google Scholar] [CrossRef] [PubMed]
- Tran, T.T.D.; Tran, P.H.L. Molecular Interactions in Solid Dispersions of Poorly Water-Soluble Drugs. Pharmaceutics 2020, 12, 745. [Google Scholar] [CrossRef] [PubMed]
- Huang, R.; Han, J.; Wang, R.; Zhao, X.; Qiao, H.; Chen, L.; Li, W.; Di, L.; Zhang, W.; Li, J. Surfactant-Free Solid Dispersion of BCS Class IV Drug in an Amorphous Chitosan Oligosaccharide Matrix for Concomitant Dissolution in Vitro–Permeability Increase. Eur. J. Pharm. Sci. 2019, 130, 147–155. [Google Scholar] [CrossRef] [PubMed]
- Vasconcelos, T.; Prezotti, F.; Araújo, F.; Lopes, C.; Loureiro, A.; Marques, S.; Sarmento, B. Third-Generation Solid Dispersion Combining Soluplus and Poloxamer 407 Enhances the Oral Bioavailability of Resveratrol. Int. J. Pharm. 2021, 595, 120245. [Google Scholar] [CrossRef]
- Panizzon, G.P.; Bueno, F.G.; Ueda-Nakamura, T.; Nakamura, C.V.; Dias Filho, B.P. Manufacturing Different Types of Solid Dispersions of BCS Class Iv Polyphenol (Daidzein) by Spray Drying: Formulation and Bioavailability. Pharmaceutics 2019, 11, 492. [Google Scholar] [CrossRef]
- Narula, A.; Sabra, R.; Li, N. Mechanisms and Extent of Enhanced Passive Permeation by Colloidal Drug Particles. Mol. Pharm. 2022, 19, 3085–3099. [Google Scholar] [CrossRef]
- Andrews, G.P.; Qian, K.; Jacobs, E.; Jones, D.S.; Tian, Y. High Drug Loading Nanosized Amorphous Solid Dispersion (NASD) with Enhanced in Vitro Solubility and Permeability: Benchmarking Conventional ASD. Int. J. Pharm. 2023, 632, 122551. [Google Scholar] [CrossRef]
- Lenhart, A.; Chey, W.D. A Systematic Review of the Effects of Polyols on Gastrointestinal Health and Irritable Bowel Syndrome. Adv. Nutr. 2017, 8, 587–596. [Google Scholar] [CrossRef]
- Grembecka, M. Sugar Alcohols. In Encyclopedia of Food Chemistry; Elsevier: Amsterdam, The Netherlands, 2018; pp. 265–275. ISBN 9780128140451. [Google Scholar]
- Embuscado, M.E. Polyols. In Optimising Sweet Taste in Foods; Spillane, W.J., Ed.; Woodhead Publishing: Sawston, UK, 2006; pp. 153–174. ISBN 9781845690083. [Google Scholar]
- Priya, K.; Gupta, V.R.M.; Srikanth, K. Natural Sweeteners: A Complete Review. J. Pharm. Res. 2011, 4, 2034–2039. [Google Scholar]
- Krishnamoorthy, V.; Priya, V.; Prasad, R. Physicochemical Characterization and in Vitro Dissolution Behavior of Olanzapine-Mannitol Solid Dispersions. Braz. J. Pharm. Sci. 2012, 48, 243–255. [Google Scholar] [CrossRef]
- Kearsley, M.W.; Deis, R.C. Maltitol Powder. In Sweeteners and Sugar Alternatives in Food Technology; Wiley: Hoboken, NJ, USA, 2012; pp. 295–308. ISBN 9780470659687. [Google Scholar]
- Bourduche, F.; Sanchez-Ballester, N.M.; Bataille, B.; Lefèvre, P.; Sharkawi, T. Structure-Property Relationship of Amorphous Maltitol as Tableting Excipient. AAPS PharmSciTech 2020, 21, 281. [Google Scholar] [CrossRef]
- Ngilirabanga, J.B.; Aucamp, M.; Pires Rosa, P.; Samsodien, H. Mechanochemical Synthesis and Physicochemical Characterization of Isoniazid and Pyrazinamide Co-Crystals with Glutaric Acid. Front. Chem. 2020, 8, 595908. [Google Scholar] [CrossRef]
- Medarević, D.; Djuriš, J.; Barmpalexis, P.; Kachrimanis, K.; Ibrić, S. Analytical and Computational Methods for the Estimation of Drug-Polymer Solubility and Miscibility in Solid Dispersions Development. Pharmaceutics 2019, 11, 372. [Google Scholar] [CrossRef] [PubMed]
- Almeida e Sousa, L.; Dömötör, K.J.; Paiva, M.; Cacela, C. Drug-Polymer Solubility Determination: A New Thermodynamic Model Free from Lattice Theory Assumptions. Pharm. Res. 2019, 36, 175. [Google Scholar] [CrossRef] [PubMed]
- Chavan, R.B.; Thipparaboina, R.; Kumar, D.; Shastri, N.R. Co Amorphous Systems: A Product Development Perspective Co Amorphous Systems: A Product Development Perspective. Int. J. Pharm. 2016, 515, 403–415. [Google Scholar] [CrossRef]
- Hirasawa, N.; Okamoto, H.; Danjo, Z. Lactose as a Low Molecular Weight Carrier of Solid Dispersions for Carbamazepine and Ethenzamide. Chem. Pharm. Bull. 1999, 3, 417–420. [Google Scholar] [CrossRef]
- Coates, J. Interpretation of Infrared Spectra, A Practical Approach. In Encyclopedia of Analytical Chemistry; Meyers, R.A., Ed.; John Wiley & Sons Ltd.: Chichester, UK, 2000; pp. 10815–10837. [Google Scholar]
- Zhang, K.; Fellah, N.; Shtukenberg, A.G.; Hu, C.; Ward, M.D. Drug Isoniazid†. CrystEngComm 2020, 22, 2705–2708. [Google Scholar] [CrossRef]
- Shi, K.; Li, M. Optimisation of Pharmaceutical Cocrystal Dissolution Performance through a Synergistic Precipitation Inhibition. Pharm. Res. 2023, 40, 2051–2069. [Google Scholar] [CrossRef]
- ICH Committee. International Conference on Harmonization (ICH). Guidance for Industry: Q1A(R2) Stability Testing of New Drug Substances and Products. 2003. Available online: https://www.ema.europa.eu/en/ich-q1a-r2-stability-testing-new-drug-substances-drug-products-scientific-guideline (accessed on 26 August 2023).
- De Stefani, C.; Lodovichi, J.; Albonetti, L.; Salvatici, M.C.; Quintela, J.C.; Bilia, A.R.; Bergonzi, M.C. Solubility and Permeability Enhancement of Oleanolic Acid by Solid Dispersion in Poloxamers and γ-CD. Molecules 2022, 27, 3042. [Google Scholar] [CrossRef] [PubMed]










| Sample | Equilibrium Solubility ± SD 1 (mg/mL) | Solubility Increase (%) |
|---|---|---|
| INH | 146.1 ± 2.4 | - |
| INH–MAL (3:1) PM | 149.7 ± 2.9 | 2.4 |
| INH–MAL (3:1) SD | 163.8 ± 4.3 | 12.1 |
| INH–MAL (2:1) PM | 155.3 ± 3.6 | 6.3 |
| INH–MAL (2:1) SD | 188.6 ± 2.7 | 29.1 |
| INH–MAL (1:1) PM | 155.9 ± 4.1 | 6.7 |
| INH–MAL (1:1) SD | 345.9 ± 1.1 | 136.8 |
| INH–MAL (1:2) PM | 136.1 ± 3.9 | - |
| INH–MAL (1:2) SD | 252.2 ± 1.3 | 72.6 |
| INH–MAL (1:3) PM | 135.5 ± 3.8 | - |
| INH–MAL (1:3) SD | 221.9 ± 3.0 | 51.9 |
| Sample | Mean Pe ± S.D at 480 min (10−6 cm/s) | Mean Pe ± S.D at 960 min (10−6 cm/s) | Mean Pe ± S.D at 1440 min (10−6 cm/s) | p-Value | Recovery (%) |
|---|---|---|---|---|---|
| INH | 3.8 ± 2.16 | 5.5 ± 0.07 | 5.4 ± 0.07 | - | 80.0 ± 1.37 |
| INH–MAL (1:1) PM | 5.0 ± 0.09 | 4.9 ± 0.74 | 5.9 ± 0.01 | 0.28 | 95.0 ± 0.71 |
| INH–MAL (1:1) SD | 7.1 ± 0.26 | 9.7 ± 2.26 | 9.9 ± 0.37 | 0.001 | 93.7 ± 0.71 |
| INH–MAL (1:2) PM | 4.5 ± 0.08 | 8.1 ± 1.53 | 8.2 ± 0.01 | 0.002 | 88.1 ± 0.77 |
| INH–MAL (1:2) SD | 5.3 ± 1.94 | 9.4 ± 0.40 | 9.2 ± 0.26 | 0.001 | 91.1 ± 0.70 |
| INH–MAL (1:3) PM | 2.1 ± 0.39 | 7.1 ± 1.59 | 9.7 ± 0.28 | 0.001 | 83.4 ±1.28 |
| INH–MAL (1:3) SD | 4.6 ± 1.80 | 7.5 ± 1.05 | 7.5 ± 0.18 | 0.007 | 83.5 ± 0.62 |
| INH–MAL (2:1) PM | 2.1 ± 0.25 | 5.3 ± 0.25 | 3.6 ± 0.09 | 0.011 | 82.1 ± 0.45 |
| INH–MAL (2:1) SD | 1.1 ± 0.11 | 3.2 ± 0.99 | 3.1 ± 0.01 | 0.004 | 100.9 ± 0.33 |
| INH–MAL (3:1) PM | 1.0 ± 0.48 | 3.2 ± 0.50 | 2.4 ± 0.02 | 0.002 | 80.9 ± 0.30 |
| INH–MAL (3:1) SD | 1.0 ± 1.01 | 2.8 ± 0.99 | 1.9 ± 0.38 | 0.002 | 83.0 ± 0.19 |
Disclaimer/Publisher’s Note: The statements, opinions and data contained in all publications are solely those of the individual author(s) and contributor(s) and not of MDPI and/or the editor(s). MDPI and/or the editor(s) disclaim responsibility for any injury to people or property resulting from any ideas, methods, instructions or products referred to in the content. |
© 2023 by the authors. Licensee MDPI, Basel, Switzerland. This article is an open access article distributed under the terms and conditions of the Creative Commons Attribution (CC BY) license (https://creativecommons.org/licenses/by/4.0/).
Share and Cite
Poka, M.S.; Milne, M.; Wessels, A.; Aucamp, M. The Effect of Isoniazid–Maltitol Solid Dispersions on Aqueous Solubility and Permeability. Crystals 2023, 13, 1568. https://doi.org/10.3390/cryst13111568
Poka MS, Milne M, Wessels A, Aucamp M. The Effect of Isoniazid–Maltitol Solid Dispersions on Aqueous Solubility and Permeability. Crystals. 2023; 13(11):1568. https://doi.org/10.3390/cryst13111568
Chicago/Turabian StylePoka, Madan Sai, Marnus Milne, Anita Wessels, and Marique Aucamp. 2023. "The Effect of Isoniazid–Maltitol Solid Dispersions on Aqueous Solubility and Permeability" Crystals 13, no. 11: 1568. https://doi.org/10.3390/cryst13111568
APA StylePoka, M. S., Milne, M., Wessels, A., & Aucamp, M. (2023). The Effect of Isoniazid–Maltitol Solid Dispersions on Aqueous Solubility and Permeability. Crystals, 13(11), 1568. https://doi.org/10.3390/cryst13111568

