Abstract
Classical eutectic growth models are based on the use of eutectic composition. These models neglect the effect of primary phase formation, and their direct use in the rapid solidification process of off-eutectic (hypoeutectic and hypereutectic) alloys is absent. Combining the effect of the primary phase in the eutectic transformation and an off-eutectic composition, the solidification growth model is derived in the present work. The effect of the model and material parameters on solidification kinetics is discussed in comparison with experimental data. Computational results on the off-eutectic growth model show that the model agrees well with experimental data on the solidification kinetics of Ni–B and Ti–Si alloys.
1. Introduction
Eutectic alloys, especially off-eutectic (hypoeutectic and hypereutectic) alloys, are widely studied in experiments and used in industry [1]. The study of eutectic and off-eutectic alloys is important to compare alloy properties obtained on the ground [2] and under microgravity conditions [3]. Usually, the microstructure of off-eutectic alloys is represented by lamellar colonies. Such lamellas are accompanied by the appearance of dendrites of the growth governing phase with the coexistence of the two structures over some range of off-eutectic melt compositions [4,5,6,7].
Zimmermann et al. [8] reported the results of a series of experiments conducted on an Al–Cu alloy system. They found that an oscillatory lamellar microstructure appears in the off-eutectic region, and destabilization is first caused by the occurrence of an oscillatory morphology that persists over a wide range of compositions and growth rates. Bandaru et al. [9] performed a numerical study on oscillatory and ramped freezing of off-eutectic mixtures in the absence of convection and under the steady state regimes of solidification. Carvalho et al. [10] studied directionally solidified off-eutectic mullite–zirconia fibers. They found that the microstructure of the mullite–zirconia eutectic varies from planar coupled eutectic through mullite columnar growth with coarse zirconia inclusions to faceted mullite eutectic dendrites with increasing pulling rates.
For nucleation, Bluni et al. [11] reported nonreciprocal nucleation characteristics in off-eutectic Al–Zn alloys. As observed, aluminum is a better nucleant of zinc than zinc of aluminium, such that elements with higher solid-liquid interfacial energies are better nucleates than vice versa. Note especially that, in their experiments, Bluni et al. did not measure the thermal gradient which may change the contact angle of nucleation and Gibbs–Thomson characteristics of nucleation. Therefore, the best element for nucleation in the Al–Zn alloys is still under study. Ohsaka et al. [12] formulated the Gibbs free energy change of off-eutectic binary alloys upon solidification. Barclay et al. [13] studied the halo formation theory during the unidirectional solidification of off-eutectic alloys and suggested a model for the halo fraction.
Employing an abrupt increase in growth velocity to produce coupled eutectics in directional solidification of Al–40 wt% Cu off-eutectic alloys, Li et al. [14] found that primary Al2Cu dendrite growth velocities ranged from 5 to 100 μm/s and coupled eutectic growth velocities were 1 to 100 μm/s. Barcla et al. [15] studied off-eutectic composite solidification and properties in AI–Ni and AI–Co alloys and found that if the solidification rates were high enough, both alloys exhibited coupled zones skewed towards hypereutectic compositions. Zhu et al. [16] simulated the microstructural evolution of both hypoeutectic and hypereutectic spheroidal graphite irons. Their results showed that the growth of a graphite nodule is promoted by the approaching austenite. However, after the nodule is engulfed by the austenite, its growth velocity decreases dramatically, as it is controlled by the solid diffusion of carbon through the austenite shell.
Jackson and Hunt [17,18] established the first detailed analytical model (JH model) for diffusion-limited growth of regular eutectic as the coupled growth of α and β phases. Then, Trivedi et al. [19] extended the JH model to eutectic growth under rapid solidification conditions (TMK model). Taking the interface solute trapping into account, Kurz et al. [20] analyzed the failure of local equilibrium at the solid–liquid interface at high growth velocity within the framework of the JH and TMK models.
Li et al. [21] neglected solute trapping but incorporated kinetic and thermal undercooling into eutectic growth in the analysis of solidification in the bulk undercooled melt (LZ model). Gao [22] studied the growth kinetics of the eutectic dendrite in the presence of an incident flow based on the LZ model. Using the same hypotheses as the JH model, Senninger and Voorhees [23] proposed a model for eutectic growth in two-phase multicomponent alloys. They found that a small addition of a ternary alloying element with a small diffusivity to a binary alloy can significantly alter the spacing of the lamellar eutectic.
Xu and Galenko [24,25] considered the transition to diffusionless growth in eutectic binary alloys. They developed a model to analyze the atomic diffusion ahead of lamellar eutectic couples growing into a supercooled liquid, as well as rod eutectic coupled growth [26,27].
As a general note, one must note that the classical eutectic growth models [17,18] are based on eutectic composition alloys and a single transition in solidification. This hypothesis might be applicable for directional solidification but not true for undercooled rapid solidification since there are often several separate transitions for off-eutectic alloys. Although the classical eutectic theories considered the composition change, it was discovered that the composition effect was mainly on the expression of each eutectic fraction, and they never considered the separate primary phase as the first forming phase [17,18]. For example, the primary α-Ni dendrite phase (Figure 1a) forms before the eutectic transition in the hypoeutectic Ni–Ni3B alloy, while the primary Ni3B phase (Figure 1b) forms before the eutectic transition in the hypereutectic Ni–Ni3B alloy. The composition has little effect on the ratio of the two eutectic phases, but it has a significant effect on the fraction of the primary phase, as well as the eutectic transition kinetics. Therefore, the straightforward use of classical eutectic models describing off-eutectic alloys is questionable.
Figure 1.
Primary phase and eutectic phase in the Ni–Ni3B alloy: (a) hypoeutectic alloy and (b) hypereutectic alloy. 1—primary phase α-Ni, 2—eutectic phase Ni/Ni3B, 3—primary phase Ni3B.
In the present study, we consider the influence of the existence of primary phases, combining the theory of diffusion-controlled and diffusionless transformation [28] with using similar hypotheses as the classical theory [17,18,19,20,21,22]. Thus, considering the effect of the primary phase, a model for off-eutectic growth is derived and solved in comparison with the accessible experimental data.
2. Model Equations
2.1. The Model Statement
Many studies have shown that the diffusion coefficient for both liquid and solid phases changes with concentration. For instance, in Al–Cu hypoeutectic alloys, the diffusion coefficient of liquid was found to decrease with increasing solution content [29]. In contrast, the diffusion coefficient of the solid phase was found to increase with the solution content [30]. As a result, it is difficult to determine whether the composition increased or decreased the transformation rate.
The concentration change in the off-eutectic can directly lead to the primary phase fraction change. With the primary phase existence, the eutectic reaction only occurs in the interdendritic region (Figure 2); therefore, the characteristic length scale for eutectic pattern formation is longer than that without the primary phase. On the other hand, with the presence of the primary phase, the residual liquid decreases, and the solidification area decreases. Therefore, it is difficult to determine whether the concentration change increases or reduces the growth velocity. In what follows, the concentration effect on the off-eutectic alloy is measured by taking the diffusion coefficient change into account.
Figure 2.
Scheme of the eutectic phase diagram (a) and the growing lamellar eutectic structure in the presence of the primary (dendritic) phase (b).
As an additional assumption, we have to especially note that the characteristic length scale of the temperature field (minimum) is one thousand times larger than the characteristic solute diffusion length scale. Therefore, we do not consider this amulti scale problem of thermal and chemical diffusion.
Assume that for the eutectic composition alloy, there is no primary phase, and the diffusion coefficient is D. Then, one can accept that far from the eutectic composition, almost the whole liquid phase becomes the primary phase before the eutectic transition, and the diffusion coefficient is Dp. According to the Darken law, the diffusion for any concentration can be given as
where Dp = kDD and kD is constant, representing the difference ratio of the diffusion coefficient in the eutectic composition and far from the eutectic composition, where the microstructure is mainly the primary phase. fp and fe are the phase fractions of the primary phase and eutectic phase, respectively, such that fp + fe = 1. Neglecting the effect of eutectic undercooling on the primary phase, the primary phase fractionis determined according to the level law:
where CE is the eutectic composition, C∞ is the alloy concentration, and Cs is one of the eutectic phase compositions. Equation (2a) indicates that the primary phase fraction fp is a function of the concentration determined by the initial composition C∞. From Equations (1) and (2), one obtains
Dc = fpDp + feD,
fp = (CE − C∞)/(CE − Cs)
fe = (C∞ − Cs)/(CE − Cs)
Dc = (fpkD + fe)D
If kD > 1, the overall diffusion coefficient (3) in the eutectic composition has the minimum value. In contrast, if kD < 1, the overall diffusion coefficient (3) in the eutectic composition reaches the maximum value. When the primary phase does not exist (fp = 0), or it has no effect on the diffusion coefficient, i.e., kD = 1, the diffusion coefficient Dc = D.
Defining the composition factor kC as
the diffusion coefficient (3) for the primary phase becomes [28]
kC = fpkD + fe,
2.2. Diffusion Equation for Eutectic Growth
Consider the solidification of a binary system consisting of atoms A and B and having a eutectic point with equilibrium temperature TE and concentration CE, as shown in Figure 2a. ΔCα and ΔCβ are the concentration differences between phases α and β and eutectic point CE, respectively.
Assume that undercooling ΔT in the liquid provides a motion of the interface with velocity V comparable to the solute diffusion speed VD in the bulk liquid [31]. The diffusion in the α and β phases, which have the form of the lamellar eutectic microstructure, is neglected. Then, for the concentration C(x,y) of B atoms in the liquid A solidifying in a steady-state regime, the two-dimensional diffusion equation is given by [32]
This equation is valid for concentration C(x,y) in the spatial reference frame (x, y) moving at a constant velocity V at the interface z = 0. For eutectic transformation, the boundary conditions are as follows:
where Sα and Sβ represent half of the interlamellar spacing for each phase such that λ = 2(Sα + Sβ) is the lamellar spacing (see Figure 2b).
- periodicity: in the x direction, C(x + λ) = C(x), here λ = 2(Sα + Sβ)
- symmetry: ∂C/∂x = 0 for x = 0 and x = λ/2 = Sα+ Sβ
- far-field: C = C∞ for z→∞
- symmetry: ∂C/∂x = 0 for x = 0 and x = λ/2 = Sα+ Sβ
- far-field: C = C∞ for z→∞
Equations (6) and (7) have an analytical solution to the problem of lamellar eutectic patterns under local nonequilibrium conditions in the solute diffusion field [28]. This general solution for the growth of periodic lamellas is described by
C= C∞, V ≥ VD
To calculate Fourier coefficients, the boundary conditions from mass conservations are needed:
- -
- solute balance at the interface for the α phase (0 ≤ x < Sα)
- -
- solute balance at the interface for the β phase (Sα ≤ x < Sα + Sβ)
Here, kα and kβ are the velocity-dependent solute partitioning functions for the α phase and β phase, respectively, at the interface; Clα and Clβ are the concentrations of the α phase and β phase in the liquid, respectively. Csα and Csβ are the concentrations of the α phase and β phase in the solid (see Figure 2b).
From Equation (8), it follows that if V ≥ VD, the lamellar eutectic structure does not form. Therefore, the case of V < VD is considered first. A discussion of the high-rate regime V ≥ VD will be provided second.
2.3. Fourier Coefficients
To obtain the solution for B0 and Bn, the treatments of TMK [19] are used with the two special types of phase diagrams. The solution for the concentration gradient ahead of the eutectic interface is found by differentiating Equation (8a) with respect to z.
Substituting Equation (10) into Equation (9) and integrating it, one can obtain the Fourier coefficients for the two-case phase diagram:
Case I: cigar-shaped phase diagram [19]
For this type of phase diagram, the solidus and the liquidus lines are parallel below the eutectic temperature. In this case, for any undercooling, one obtains Clα − Csα = ΔCα = const and Clβ − Csβ = ΔCβ = const [19], leading to the following expressions for the Fourier coefficients:
where ΔC0 = ΔCα + ΔCβ.
Case II: equal distribution coefficients for the two phases [21]
For this case, k is an arbitrary constant, but kα = kβ = k, leading to the following expression: ΔCα + ΔCβ = ΔC0 = 1 − k. Additionally, for this type of phase diagram, the solid concentration Csα of the α phase increases with CE, and the solid concentration Csβ of the β phase increases with (1 − CE). Generally, if the solid solubility of the two eutectic phases is small, the equations of case II can be used. Then, expressions for the Fourier coefficients are
where pn = 2nπ/Pe with the eutectic Peclet number Pe = Vλ/(2D).
2.4. Interfacial Chemical Composition
For the undercooling calculation, the interfacial average composition in liquid is obtained from the TMK model [19]. Using Equation (8a), the results are as follows:
- -
- in front of the α-phase
- -
- in front of the β-phase
The function P in Equation (13) is obtained according to the above two cases of the phase diagram as follows:
Case I: cigar-shaped phase diagram
Case II: diagram with equal distribution coefficients
As a result, expressions (13)–(15) completely define the concentration at the interface. Note that if k→1, case II transforms to case I.
2.5. Interfacial Undercooling(V < VD)
The undercooling at the interface “liquid—eutectic pattern” consists of four terms: constitutional undercooling (ΔTc), curvature undercooling (due to the Gibbs–Thomson effect) (ΔTr), kinetic undercooling (ΔTk), and thermal undercooling (ΔTt). The sum of the first three terms comprises the so-called interfacial undercooling. For each phase, it is given by
where TE is the equilibrium eutectic temperature, miv is the velocity-dependent liquidus line slope, Γi is the Gibbs–Thomson coefficient (ratio of the surface energy to melting entropy per unit volume), θi is the contact angle at the triple point junction (see Figure 2b in which “i = α or β”), Si is half the width of the lamellar structure, and μi is the effective kinetic coefficient for the growth of each eutectic phase. Following the procedure described by the TMK model [19], the average undercooling at the interface for the lamellar eutectic pattern is obtained by inserting average values for the concentrations and and curvatures and of the α phase and β phase, respectively. From Equation (16), the undercoolings at the front of the α-phase and β-phase are described by [19]
The solid-liquid interfaces of regular lamellar eutectics are usually assumed to be isothermal. Therefore, one can accept the equality ΔTα = ΔTβ = ΔTI. To eliminate the terms involving CE, we combine Equation (13) with Equation (17) and find the interfacial undercooling as [19]
where
Now, consider the macrointerface as the dendritic surface with the dendrite tip radius R, which is much larger than the interlamellar spacing, λ << R (Figure 3). Considering the transition from a eutectic pattern to a eutectic dendrite at high undercooling, the thermal undercooling can be described as
where ΔH = fαΔHα + fβΔHβ is the weighted heat of fusion of two eutectic phases and Cp is the specific heat of the liquid. Iv(Pt) is the Ivantsov function.
Figure 3.
Eutectic dendrites growing from the undercooled state.
Combining Equations (18)–(23), one obtains the melt undercooling ΔT as the sum of ΔTI and ΔTt:
To analyze the behaviour of the interlamellar spacing λ, we apply the minimum undercooling principle [21] given by the natural condition ∂ΔT/∂λ = 0. Using Equation (24) leads to the following relationship for the lamellar spacing as a function of velocity:
From Equations (25) and (26), the relationship of undercooling and interlamellar spacing is obtained as
As a result of Solutions (24)–(27), the growth velocity (V) and lamellar spacing (λ) are determined as a function of the melt undercooling (ΔT). Under local equilibrium conditions in the diffusion field, VD→∞ and kC→1, and the system of Equations (24)–(27) transforms to the expression ΔT-V-λ previously obtained in the LZ model (with thermal and kinetic contributions to undercooling) or TMK model (without thermal and kinetic contributions to undercooling).
2.6. Solute Distribution Coefficient and Liquidus Line Slope
To obtain the model predictions, the solute distribution coefficient is needed first. Using generalized Fick’s law that accounts for the finite relaxation time of the diffusion flux into its steady state, one can find the solute segregation coefficient (see overview [28] and references therein):
k(V,VD) = 1 V ≥ VD
For a eutectic alloy, the initial composition for two different phases becomes different, such that the solid concentration is for the α-phase and for the β phase in the steady-state regime of solidification. Then, taking the concentration effect into account, Equation (28) becomes
k(V,VD, kC) = 1 V ≥ VD
Second, the liquidus line slope m = (Tm−Te)/CE means the change in liquidus temperature with a composition that allows us to predict the melting points for the α phase and β phase. Hence, a general case of kinetic liquidus can be described (see overview [28] and references therein):
where mi is the liquidus line slope of the α phase or β phase in the equilibrium phase diagram of the phase state in the coordinates “temperature-concentration”.
3. Results
In this section, different effects of material parameters on the kinetics of solidification are demonstrated. In particular, the effects of bulk interdiffusion, atomic redistribution at the interface, and peculiarity of the phase diagram (through different values of the liquidus line slope) are discussed.
3.1. Comparison with Other Models
Compared to the LZ model [21], the present model adds the parameters VD and kD, but the calculation process remains as simple as that of the LZ model. Figure 4 shows the ΔT-V curves calculated from different models with the same parameters: CE = 50 at.%, k = kα = kβ = 0.04, Te = 1400 K, CSα = CSβ = 0.02 at.%, and mα = mβ = 500 K/at.%. The ΔT-V curve calculated from the JH model with the constant diffusion coefficient D shows an n-power relationship. The ΔT-V curve of the TMK model exhibits saturation (Figure 4), appearing mainly due to the temperature dependence of the diffusion coefficient. The kinetic curve for the LZ model lies lower than that of the TMK model and JH model because the kinetic undercooling maintains the coupled eutectic growth to higher undercooling. If μ is large enough, the kinetic curve for the LZ model may quantitatively converge with the prediction of the TMK model (Figure 4).
Figure 4.
The calculated curves of different models with the same material parameters: CE = 50 at.%, k = kα = kβ = 0.04, Te = 1400 K, CSα = CSβ = 0.02 at.%, mα = mβ = 500 K/at.%, and VD = 0.4 m/s.
The kinetic curve given by the present model may lie lower or higher than the other models that depend on the value of solute diffusion speed (VD) (Figure 4). If VD is large enough and the solute distribution coefficient is the same as that of the LZ model, then the kinetic curve of the present model becomes the same as that of the LZ model. In the range of small undercooling, the kinetic curves of all models become quantitatively and qualitatively similar due to the smallest growth velocity in comparison with the intensity of the interface and bulk diffusion processes.
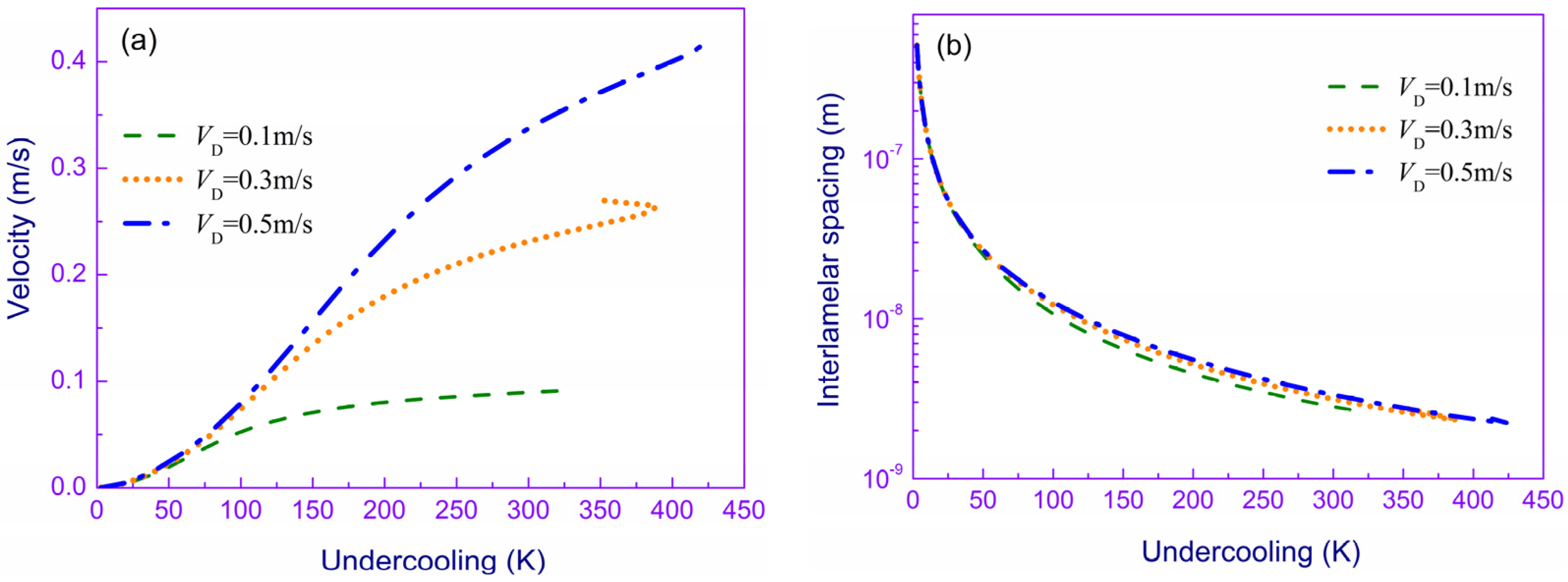
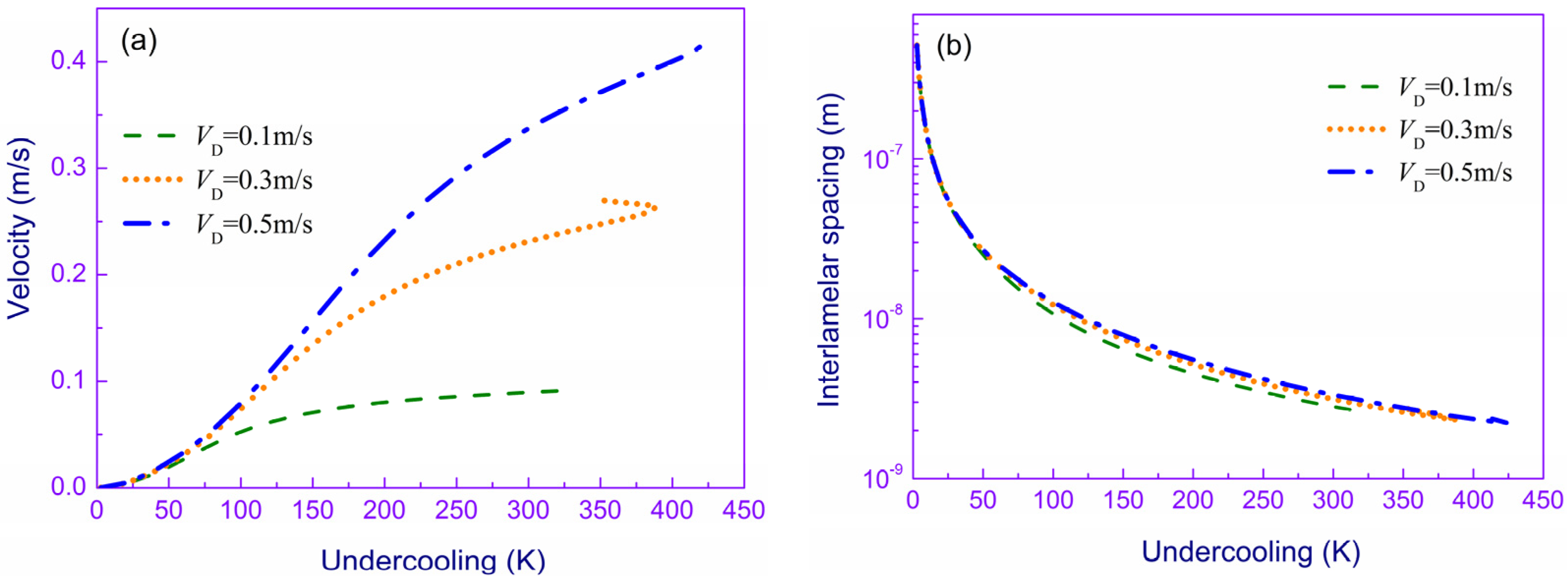
3.2. Effect of VD on ΔT-V and λ-ΔT
The solute diffusion speed (VD) limits the critical growth velocity for the eutectic reaction from diffusion-limited growth to a diffusionless transition [32]. Figure 5a shows the ΔT-V curves changing with different VD. It can be found that a smaller VD leads to a lower ΔT-V curve. Figure 5b shows λ-ΔT curves in which the value of VD mainly affects the maximal undercooling but has a small effect on the value of λ. This is due to the smaller diffusion coefficient D, and if V→VD, the lamellar eutectic growth is gradually suppressed in such a case.
Figure 5.
Effect of VD on the growth velocity and interlamellar spacing: (a) ΔT-V; (b) λ-ΔT.
3.3. Effect of kD on ΔT-V and λ-ΔT Curves
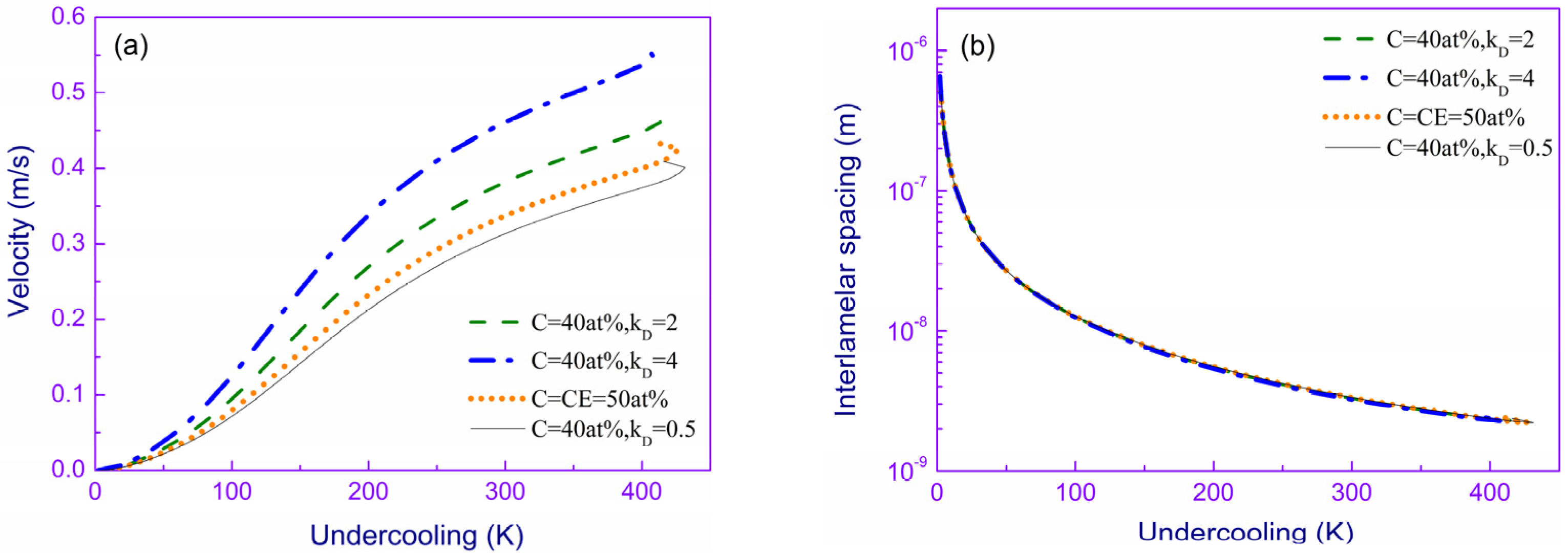
Figure 6 shows the effect of the composition factor kD on the ΔT-V and λ-ΔT curves with a eutectic composition (CE = 50 at.%) and hypoeutectic composition (CE = 40 at.%). For the eutectic composition, kD has no effect on the relation of ΔT-V-λ because kc from Equation (4) is always equal to 1. For off-eutectic hypoeutectic alloys, the results depend on the value of kD relative to 1.
Figure 6.
Effect of kD on the model calculation: (a) ΔT-V; (b) λ-ΔT.
If kD > 1, the growth velocity is higher than that of the eutectic composition. The increase in kD leads to an increase in the distance between the eutectic curve and the off-eutectic curve. The farther the composition was from the eutectic point, the larger the gap between the growth rate and eutectic composition was (see left panel in Figure 6).
If 0 < kD < 1, the growth velocity of the off-eutectic alloy is lower than that of the eutectic composition (see the left panel in Figure 6). The farther away the composition was from the eutectic point, the larger the gap between the growth rate and eutectic components was.
Finally, kD has a very small effect on lamellar spacing (right panel in Figure 6).
4. Comparisons with Experiments
In a comparison of the present model predictions with experiments, Figure 7a shows the experimental results of ΔT-V for different compositions of Ni–B hypoeutectic alloy. The experimental method has been described elsewhere [33]. In the hypoeutectic alloy (boron content < 16.5 at.% B), the average growth velocity is larger than that of the eutectic alloy (boron content ≈ 16.5 at.% B) in the measured undercooling range. Using the present model Equations (24)–(27), it can be found that the calculated results from eutectic to hypoeutectic composition are consistent with the experimental results if kD = 5 (Figure 7a). Figure 7b shows the experimental data for the ΔT-V relationship obtained in the hypereutectic Ni–B alloy (boron content > 16.5 at.% B). Due to the method used [33], the experimental data have a large scatter in a rather wide range of undercoolings. The overall trend of theoretical predictions, however, still shows the trend of experimentally measured data ΔT-V correctly. The average growth velocity of the hypereutectic alloy is also larger than that of the eutectic alloy (boron content ≈ 16.5 at.% B). Using the present model Equations (24)–(27), the theoretical predictions are consistent with the experimental data if kD = 5 (Figure 7b).
Figure 7.
Experimental results and model predictions of off-eutectic Ni–B alloy growth velocity: (a) hypoeutectic alloy and (b) hypereutectic alloy. Material parameters for calculations are taken from Table 1.
To further show the applicability of the present model, the relationship between the growth velocity and the undercooling of Ti–Si eutectic alloy measured experimentally by Luo et al. [34] was used. As shown in Figure 8, the experimental data can be described well in an undercooling range of 50 K to 243 K. When the undercooling is smaller than 50 K, our model disagrees with the experimental data. The reason why we obtained such deviation of the theory from experimental measurements is that the robust accuracy of measurements lies in the undercooling range higher than 40–50 K for electrostatic and electromagnetic levitation methods. Additionally, if the undercooling is higher than 243 K, the growth mode can be drastically changed. Instead of coupled growth of eutectic lamellas, one can obtain strongly irregular eutectics, which obviously cannot be described by the present model.
Figure 8.
Eutectic growth velocity in solidifying Ti86.33Si13.67 alloy. The present model calculations (the solid curve) are shown in comparison with experimental results [34]. Material parameters for calculations are taken from Table 2.
5. Discussion
The experimental results show that the growth velocity for off-eutectic alloys is always larger than that for eutectic alloys due to the composition effect. The change in composition leads to the diffusion coefficient change that provides the following effects:
- (1)
- The primary phase prevents the eutectic phase from growing fastest [36].
- (2)
- The diffusion coefficient of the solid phase increases with increasing composition; however, the liquid phase decreases with increasing alloy composition [29,30], and the mixture of liquid diffusion and solid diffusion leads to a possible increase or decrease in the growth velocity of the off-eutectic alloy.
- (3)
- For hypoeutectic alloys, the composition is far from the eutectic point, and the liquid phase fraction is relatively small during solidification after the primary transition, such that the solidification rate should be faster. For hypereutectic alloys and before eutectic transformation, the presence of the primary phase increases the nucleation rate of eutectic patterns.
All these results lead to the growth velocity of the eutectic transition for the off-eutectic composition being larger than that for the eutectic composition for a given undercooling.
Finally, one should mark that we only analyzed the growth of phases, i.e., their ability to grow for the formed undercooling in the bulk phases and at the solid–liquid interface. However, we also know that the microstructure formation in eutectic mixtures is always a process that is usually dictated by the competition between the growth and nucleation of phases. Therefore, the analysis of rapid (off) eutectic solidification with a coupled process which includes the growth of phases and their nucleation is seen by us as a future advancement of the present work.
6. Conclusions
The eutectic growth model considering the composition effect on crystallization kinetics is proposed based on the theory for the transformations in off-eutectic alloys.
The effects of solute diffusion speed (VD) and composition factor (kD) on the theoretical predictions are discussed. If VD = ∞ and kD = 1, the present model predictions converge with the results of the LZ model [21], but with novel advancements, such as the composition effect on the solidification kinetics.
A comparison of the present model predictions with the growth velocity for off-eutectic Ni–B and Ti–Si alloys found experimentally shows the model’s consistency in describing the solidification kinetics at small and large values of undercooling.
Author Contributions
Conceptualization, J.X.; methodology, J.X. and P.K.G.; validation, J.X. and P.K.G.; formal analysis, J.X. and P.K.G.; investigation, J.X.; resources, J.X.; data curation, J.X.; writing—original draft preparation, J.X. and P.K.G.; writing—review and editing, J.X. and P.K.G.; visualization, J.X. and P.K.G.; supervision, P.K.G.; funding acquisition, J.X. and P.K.G. All authors have read and agreed to the published version of the manuscript.
Funding
The authors gratefully acknowledge financial support from the Russian Science Foundation (No. 21-19-00279), the German Space Center Space Management (No. 50 WM1941), and the Science and Technology Program of Shaanxi Province (No. 2016KJXX-87).
Data Availability Statement
Data sharing not applicable. No new data were created or analyzed in this study. Data sharing is not applicable to this article.
Acknowledgments
The authors especially thank Markus Rettenmayr for discussions on this work.
Conflicts of Interest
The authors declare no conflict of interest.
References
- Gong, C.; Tu, H.; Wu, C.; Wang, J.; Su, X. Study on microstructure and mechanical properties of hypereutectic Al–18Si alloy modified with Al-3B. Materials 2018, 11, 456. [Google Scholar] [CrossRef]
- Fang, Y.; Galenko, P.K.; Liu, D.; Hack, K.; Rettenmayr, M.; Lippmann, S. Thermodynamic description of metastable fcc/liquid phase equilibria and solidification kinetics in Al-Cu alloys. Philos. Trans. R. Soc. A 2022, 380, 20200327. [Google Scholar] [CrossRef]
- Matson, D.M.; Battezzati, L.; Galenko, P.K.; Gandin, C.-A.; Gangopadhyay, A.K.; Henein, H.; Kelton, K.F.; Kolbe, M.; Valloton, J.; Vogel, S.C.; et al. Electromagnetic levitation containerless processing of metallic materials in microgravity: Rapid solidification. NPJ Microgravity 2023, 9, 65. [Google Scholar] [CrossRef] [PubMed]
- Zhu, M.F.; Hong, C.P. Modelling of irregular eutectic microstructures in solidification of Al-Si alloys. Metall. Mater. Trans. A 2004, 35, 1555–1563. [Google Scholar] [CrossRef]
- Yang, C.; Gao, J. Modeling of free eutectic growth and competitive solidification in undercooled near-eutectic alloys based on in situ measurements. J. Mater. Sci. 2015, 50, 268–278. [Google Scholar] [CrossRef]
- Kurz, W.; Fisher, D.J. Fundamentals of Solidification; Trans Tech: Aedermannsdorf, Switzerland, 1984. [Google Scholar]
- Tassa, M.; Hunt, D. The measurement of Al-Cu dendrite tip and eutectic interface temperatures and their use for predicting the extent of the eutectic range. J. Cryst. Growth 1976, 34, 38–48. [Google Scholar] [CrossRef]
- Zimmermann, M.; Karma, A.; Carrard, M. Oscillatory lamellar microstructure in off-eutectic Al-Cu alloys. Phys. Rev. B 1990, 42, 833–837. [Google Scholar] [CrossRef] [PubMed]
- Ramarao, B.V.; Wilcox, W.R. Influence of oscillatory and ramped freezing rates on off-eutectic solidification. J. Cryst. Growth 1983, 63, 39–46. [Google Scholar] [CrossRef]
- Carvalho, R.G.; Pires, M.S.; Fernandes, A.J.S.; Silva, R.F.; Costa, F.M. Directionally solidified eutectic and off-eutectic mullite–zirconia fibres. J. Eur. Ceram. Soc. 2013, 33, 953–963. [Google Scholar] [CrossRef]
- Bluni, S.T.; Notis, M.R.; Marder, A.R. Nucleation characteristics and microstructure in off-eutectic Al-Zn alloys. Acta Metall. Et Mater. 1995, 43, 1775–1782. [Google Scholar] [CrossRef]
- Ohsaka, K.; Trinh, E.H.; Lin, J.C.; Perepezko, J.H. Free energy change of off-eutectic binary alloys on solidification. Scr. Metall. Mater. 1991, 25, 945–948. [Google Scholar] [CrossRef]
- Barclay, R.S.; Niessen, P.; Kerr, H.W. Halo formation during unidirectional solidification of off-eutectic binary alloys. J. Cryst. Growth 1973, 20, 175–182. [Google Scholar] [CrossRef]
- Li, S.M.; Quan, Q.R.; Li, X.L.; Fu, H.Z. Increasing the growth velocity of coupled eutectics in directional solidification of off-eutectic alloys. J. Cryst. Growth 2011, 314, 279–284. [Google Scholar] [CrossRef]
- Barclay, R.S.; Kerr, H.W.; Niessen, P. Off-eutectic composite solidification and properties in Al-Ni and Al-Co alloys. J. Mater. Sci. 1971, 6, 1168–1173. [Google Scholar] [CrossRef]
- Zhu, M.; Zhang, L.; Zhao, H.; Stefanescu, D.M. Modeling of microstructural evolution during divorced eutectic solidification of spheroidal graphite irons. Acta Mater. 2015, 84, 413–425. [Google Scholar] [CrossRef]
- Jackson, K.A.; Hunt, J.D. Lamellar and rod eutectic growth. TMS AIME 1966, 236, 1129–1142. [Google Scholar] [CrossRef]
- Xu, J.; Zhang, B.; Galenko, P.K. Model of Eutectic Transformation Involving Intermetallic Compound. Acta Metall. Sin. 2021, 57, 1320–1332. [Google Scholar] [CrossRef]
- Trivedi, R.; Magnin, P.; Kurz, W. Theory of eutectic growth under rapid solidification conditions. Acta Metall. 1987, 35, 971–980. [Google Scholar] [CrossRef]
- Kurz, W.; Trivedi, R. Eutectic growth under rapid solidification conditions. Metall. Trans. A 1991, 22, 3051–3057. [Google Scholar] [CrossRef]
- Li, J.F.; Zhou, Y.H. Eutectic growth in bulk undercooled melts. Acta Mater. 2005, 53, 2351–2359. [Google Scholar] [CrossRef]
- Gao, J. A model for free growth of a lamellar eutectic dendrite with an incident flow. Philos. Trans. R. Soc. A 2018, 376, 20170209. [Google Scholar] [CrossRef] [PubMed]
- Senninger, O.; Voorhees, P.W. Eutectic growth in two-phase multicomponent alloys. Acta Mater. 2016, 116, 308–320. [Google Scholar] [CrossRef]
- Xu, J.; Galenko, P.K. Effects of local nonequilibrium in rapid eutectic solidification-Part 1: Statement of the problem and general solution. Math. Meth. Appl. Sci. 2021, 44, 12211–12220. [Google Scholar] [CrossRef]
- Xu, J.; Galenko, P.K. 2020 Effects of local nonequilibrium in rapid eutectic solidification-Part 2: Analysis of effects and comparison to experiment. Math. Meth. Appl. Sci. 2021, 44, 12271–12282. [Google Scholar] [CrossRef]
- Galenko, P.K.; Xu, J. Rapid eutectic growth: From rod growth to diffusionless solidification. Philos. Trans. R. Soc. A 2022, 380, 20200305. [Google Scholar] [CrossRef]
- Xu, J.; Zhang, T.; Galenko, P.K. Rod eutectic growth in bulk undercooled melts. Math. Meth. Appl. Sci. 2021, 45, 8022–8031. [Google Scholar] [CrossRef]
- Galenko, P.; Jou, D. Rapid solidification as nonergodic phenomenon. Phys. Rep. 2019, 818, 1–70. [Google Scholar] [CrossRef]
- Trybula, M.E.; Szafrański, P.W.; Korzhavyi, P.A. Structure and chemistry of liquid Al-Cu alloys: Molecular dynamics study versus thermodynamics-based modelling. J. Mater. Sci. 2018, 53, 8285–8301. [Google Scholar] [CrossRef]
- Liu, Y.; Zhang, L.; Du, Y.; Yu, D.; Liang, D. Atomic mobilities, uphill diffusion and proeutectic ferrite growth in Fe-Mn-C alloys. Calphad 2009, 33, 614–623. [Google Scholar] [CrossRef]
- Galenko, P.K.; Danilov, D.A. Model for free dendritic alloy growth under interfacial and bulk phase nonequilibrium conditions. J. Cryst. Growth 1999, 197, 992–1002. [Google Scholar] [CrossRef]
- Galenko, P.; Herlach, D. Diffusionless Crystal Growth in Rapidly Solidifying Eutectic Systems. Phys. Rev. Lett. 2006, 96, 150602. [Google Scholar] [CrossRef]
- Liu, F.; Xu, J.; Zhang, D.; Jian, Z. Solidification of Highly Undercooled Hypereutectic Ni-Ni3B Alloy Melt. Metall. Mater. Trans. A 2014, 45, 4810–4819. [Google Scholar] [CrossRef]
- Luo, Z.C.; Zheng, C.H.; Wang, H.P. Eutectic growth kinetics and microstructure evolution of highly undercooled Ti86.33Si13.67 alloy at electrostatic levitation state. Mater. Charact. 2022, 186, 111776. [Google Scholar] [CrossRef]
- Fiore, M.; Beneduce, F.; Azevedo, C. Assessment of the Ti-rich corner of the Ti-Si phase diagram using two sublattices to describe the Ti5Si3 phase. REM Int. Eng. J. Ouro Preto 2017, 70, 201–207. [Google Scholar] [CrossRef][Green Version]
- Shahani, A.J.; Xiao, X.; Voorhees, P.W. The mechanism of eutectic growth in highly anisotropic materials. Nat. Commun. 2016, 7, 12953. [Google Scholar] [CrossRef]
Disclaimer/Publisher’s Note: The statements, opinions and data contained in all publications are solely those of the individual author(s) and contributor(s) and not of MDPI and/or the editor(s). MDPI and/or the editor(s) disclaim responsibility for any injury to people or property resulting from any ideas, methods, instructions or products referred to in the content. |
© 2023 by the authors. Licensee MDPI, Basel, Switzerland. This article is an open access article distributed under the terms and conditions of the Creative Commons Attribution (CC BY) license (https://creativecommons.org/licenses/by/4.0/).







