The Investigation of New Phosphate–Titanite Glasses According to Optical, Physical, and Shielding Properties
Abstract
:1. Introduction
2. Materials and Methods
2.1. Sample Preparation
2.2. Optical Properties
2.3. Shielding Properties
3. Results and Discussion
3.1. Physical and Optical Parameters
3.2. Radiation Shielding Properties
4. Conclusions
Author Contributions
Funding
Institutional Review Board Statement
Informed Consent Statement
Data Availability Statement
Acknowledgments
Conflicts of Interest
References
- Ravindranadh, K. Bioactive glasses for technological and clinical applications. Int. J. Chem. Sci. 2016, 14, 1339–1348. [Google Scholar]
- Vesselin, D.; Takayuki, K. Classification of Simple Oxides: A Polarizability Approach. J. Solid-State Chem. 2002, 163, 100–112. [Google Scholar] [CrossRef]
- Larry, L.H. The story of Bioglass. J. Mater. Sci. Mater. Med. 2006, 17, 967–978. [Google Scholar]
- Kim, J.H.; Kim, D.K.; Lee, O.J.; Ju, H.W.; Lee, J.M.; Moon, B.M.; Park, H.J.; Kim, D.W.; Lee, J.H.; Park, C.H. Osteoinductive silk fibroin/titanium dioxide/hydroxyapatite hybrid scaffold for bone tissue engineering. Int. J. Biol. Macromol. 2016, 82, 160–167. [Google Scholar] [CrossRef] [PubMed]
- Itiravivong, P.; Promasa, A.; Laiprasert, T.; Techapongworachai, T.; Kuptniratsaikul, S.; Thanakit, V.; Heimann, R.B. Comparison of tissue reaction and osteointegration of metal implants between hydroxyapatite/Ti alloy coat: An animal experimental study. J. Med. Assoc. Thai. 2003, 86 (Suppl. S2), S422–S431. [Google Scholar]
- Awad, N.K.; Edwards, S.L.; Morsi, Y.S. A review of TiO2 NTs on Ti metal: Electrochemical synthesis, functionalization and potential use as bone implants. Mater. Sci. Eng. C Mater. Biol. Appl. 2017, 76, 1401–1412. [Google Scholar] [CrossRef]
- Ke, D.; Robertson, S.F.; Dernell, W.S.; Bandyopadhyay, A.; Bose, S. Effects of MgO and SiO2 on Plasma-Sprayed Hydroxyapatite Coating: An in Vivo Study in Rat Distal Femoral Defects. ACS Appl. Mater. Interfaces 2017, 9, 25731–25737. [Google Scholar] [CrossRef]
- Su, E.P.; Justin, D.F.; Pratt, C.R.; Sarin, V.K.; Nguyen, V.S.; Oh, S.; Jin, S. Effects of titanium nanotubes on the osseointegration, cell differentiation, mineralisation and antibacterial properties of orthopaedic implant surfaces. Bone Jt. J. 2018, 100-B (Suppl. SA1), 9–16. [Google Scholar] [CrossRef]
- Al-Harbi, N.; Al-Hadeethi, Y.; Bakry, A.B. Mechanical and radiation shielding features of bioactive glasses: SiO2-Na2O-CaO-P2O5-B2O3 for utilization in dental applications. J. Non-Cryst. Solids 2021, 552, 120489. [Google Scholar] [CrossRef]
- Alalawi, A.; Al-Buriahi, M.S.; Rammah, Y.S. Radiation shielding properties of PNCKM bioactive glasses at nuclear medicine energies. Ceram. Int. 2020, 46, 15027–15033. [Google Scholar] [CrossRef]
- Kilicoglu, O.; Tekin, H.O. Bioactive glasses with TiO2 additive: Behavior characterization against nuclear radiation and determination of buildup factors. Ceram. Int. 2020, 46, 10779–10787. [Google Scholar] [CrossRef]
- Kilicoglu, O.; Tekin, H.O. Bioactive glasses and direct effect of increased K2O additive for nuclear shielding performance: A comparative investigation. Ceram. Int. 2020, 46, 1323–1333. [Google Scholar] [CrossRef]
- Al-Hadeethi, Y.; Al-Buriahi, M.S.; Sayyed, M.I. Bioactive glasses and the impact of Si3N4 doping on the photon attenuation up to radiotherapy energies. Ceram. Int. 2020, 46, 5306–5314. [Google Scholar] [CrossRef]
- Tekin, H.O.; Kavaz, E.; Altunsoy, E.E.; Kilicoglu, O.; Agar, O.; Erguzel, T.T.; Sayyed, M.I. An extensive investigation on gamma-ray and neutron attenuation parameters of cobalt oxide and nickel oxide substituted bioactive glasses. Ceram. Int. 2019, 45, 9934–9949. [Google Scholar] [CrossRef]
- Kotomin, E.A.; Popov, A.I. Radiation-induced point defects in simple oxides. Nucl. Instrum. Methods Phys. Res. B 1998, 141, 1–15. [Google Scholar] [CrossRef]
- Girard, S.; Alessi, A.; Richard, N.; Martin-Samos, L.; de Michele, V.; Giacomazzi, L.; Agnello, S.; di Francesca, D.; Morana, A.; Winkler, B.; et al. Overview of radiation induced point defects in silica-based optical fibers. Rev. Phys. 2019, 4, 100032. [Google Scholar] [CrossRef]
- Hussein, K.I.; Alqahtani1, M.S.; Algarni, H.; Zahran, H.; Yaha, I.S.; Grelowska, I.; Reben, M.; Yousef, E.S. MIKE: A new computational tool for investigating radiation, optical and physical properties of prototyped shielding materials. J. Instrum. 2021, 16, T07004. [Google Scholar] [CrossRef]
- Hubbell, J.H.; Seltzer, S.M. Tables of X-ray Mass Attenuation Coefficients and Mass Energy-Absorption Coefficients 1 keV to 20 MeV for Elements Z = 1 to 92 and 48 Additional Substances of Dosimetric Interest; 1995-PL; National Institute of Standards and Technology: Gaithersburg, MD, USA, 1995. [Google Scholar]
- Chilton, A.B.; Shultis, J.K.; Faw, R. Principle of Radiation Shielding, 1st ed.; Prentic-Halle: Englewood Cliffs, NJ, USA, 1984. [Google Scholar]
- Kıbrıslı, O.; Ersundu, A.E.; Ersundu, M.Ç. Dy3+ doped tellurite glasses for solid-state lighting: An investigation through physical, thermal, structural and optical spectroscopy studies. J. Non-Cryst. Solids 2019, 513, 125–136. [Google Scholar] [CrossRef]
- Agar, O. Study on gamma ray shielding performance of concretes doped with natural sepiolite mineral. Radiochim. Acta 2018, 106, 1009–1016. [Google Scholar] [CrossRef]
- Tekin, H.O.; Kavaz, E.; Papachristodoulou, A.; Kamislioglu, M.; Agar, O.; Altunsoy Guclu, E.E.; Kilicoglu, O.; Sayyed, M.I. Characterization of SiO2–PbO–CdO–Ga2O3 glasses for comprehensive nuclear shielding performance: Alpha, proton, gamma, neutron radiation. Ceram. Int. 2019, 45, 19206–19222. [Google Scholar] [CrossRef]
- Mostafa, A.M.A.; Issa Shams, A.M.; Sayyed, M.I. Gamma ray shielding properties of PbO–B2O3–P2O5 doped with WO3. J. Alloys Compd. 2017, 708, 294–300. [Google Scholar] [CrossRef]
- Rammah, Y.S.; Sayyed, M.I.; Ali, A.A.; Tekin, H.O.; El-Mallawany, R. Optical properties and gamma-shielding features of bismuth borate glasses. Appl. Phys. A 2018, 124, 83. [Google Scholar] [CrossRef]
- Sayyed, M.I.; Kawa, M.K.; Gaikwad, D.K.; Agar, O.; Gawai, U.P.; Baki, S.O. Physical, structural, optical and gamma radiation shielding properties of borate glasses containing heavy metals (Bi2O3/MoO3). J. Non-Cryst. Solids 2019, 507, 30–37. [Google Scholar] [CrossRef]
- Kyong-Soo, H.; Miae, K.; Myoung, G.H.; Jong, P.K.; Jang, -H.Y.; Jong, H.K.; Ho-Soon, Y.; Hyun, G.K. Red-emission properties and crystallization behavior in Eu2O3-TeO2 glasses. J. Non-Cryst. Solids 2019, 505, 400–405. [Google Scholar]
- Shelby, J.E. Introduction to Glass Science and Technology, 2nd ed.; The Royal Society of Chemistry: Cambridge, UK, 1997; pp. 138–161. ISBN 0-85-404639-9. [Google Scholar]
- Kumar, A.; Gaikwad, D.K.; Obaid, S.S.; Tekin, H.O.; Agar, O.; Sayyed, M.I. Experimental studies and Monte Carlo simulations on gamma ray shielding competence of (30+x)PbO–10WO3–10Na2O−10MgO–(40-x)B2O3-glasses. Prog. Nucl. Energy 2020, 119, 103047. [Google Scholar] [CrossRef]
- Ahmadi, F.; Ebrahimpour, Z.; Asgari, A.; Ghoshal, S.K. Insights into spectroscopic aspects of Er 3 + doped sulfophosphate glass embedded with titania nanoparticles. Opt. Mater. 2020, 111, 110650. [Google Scholar] [CrossRef]
- Monge, M.A.; Gonzalez, R.; Munoz Santiuste, J.E.; Pareja, R.; Chen, Y.; Kotomin, E.A. Photoconversion and dynamic hole recycling process in anion vacancies in neutron-irradiated MgO crystals. Phys. Rev. B 1999, 60, 3787–3791. [Google Scholar] [CrossRef]
- Davis, E.A.; Mott, N.F. Conduction in non-crystalline systems V. Conductivity, optical absorption and photoconductivity in amorphous semiconductors. Philos. Mag. 1970, 22, 179. [Google Scholar] [CrossRef]
- Elkhoshkhany, N.; Reda, A.; Embaby, A.M. Preparation and study of optical, thermal, and antibacterial properties of vanadate–tellurite glass. Ceram. Int. 2017, 43, 15635–15644. [Google Scholar] [CrossRef]
- Upender, G.; Prasad, M. Vibrational, optical and EPR studies of TeO2-Nb2O5-Al2O3-V2O5glass system doped with vanadium. Optik 2016, 127, 10716–10726. [Google Scholar]
- Divina, R.; Naseer, K.A.; Marimuthu, K.; Alajerami, Y.S.M.; Al-Buriahi, M.S. Effect of different modifier oxides on the synthesis, structural, optical, and gamma/beta shielding properties of bismuth lead borate glasses doped with europium. J. Mater. Sci. Mater. Electron. 2020, 31, 21486–21501. [Google Scholar] [CrossRef]
- Chen, Q.; Naseer, K.A.; Marimuthu, K.; Kumar, P.S.; Miao, B.; Mahmoud, K.A.; Sayyed, M.I. Influence of modifier oxide on the structural and radiation shielding features of Sm3+-doped calcium telluro-fluoroborate glass systems. J. Aust. Ceram. Soc. 2021, 57, 275–286. [Google Scholar] [CrossRef]
- Sathiyapriya, G.; Naseer, K.A.; Marimuthu, K.; Kavaz, E.; Alalawi, A.; Al-Buriahi, M.S. Structural, optical and nuclear radiation shielding properties of strontium barium borate glasses doped with dysprosium and niobium. J. Mater. Sci. Mater. Electron. 2021, 32, 8570–8592. [Google Scholar] [CrossRef]
- Naseer, K.A.; Marimuthu, K.; Mahmoud, K.A.; Sayyed, M.I. Impact of Bi2O3 modifier concentration on barium–zincborate glasses: Physical, structural, elastic, and radiation-shielding properties. Eur. Phys. J. Plus 2021, 136, 116. [Google Scholar] [CrossRef] [PubMed]
- Hazlin, M.A.; Halimah, M.K.; Muhammad, F.D.; Faznny, M.F. Optical properties of zinc borotellurite glass doped with trivalent dysprosium ion. Physica B 2017, 510, 38–42. [Google Scholar] [CrossRef]
- Schott Co. Radiation Shielding Glasses. Available online: https://www.schott.com/advanced_optics/english/products/optical-materials/special-materials/radiation-shielding-glasses/index.html (accessed on 24 February 2022).
- Agar, O.; Khattari, Z.Y.; Sayyed, M.I.; Tekin, H.O.; Al-Omari, S.; Maghrabi, M.; Zaid, M.H.M.; Kityk, I.V. Evaluation of the shielding parameters of alkaline earth based phosphate glasses using MCNPX code. Results Phys. 2019, 12, 101–106. [Google Scholar] [CrossRef]









| Sample Code | Composition (mol%) | Density in gcm−3 ± 0.037 | Refractive Index |
|---|---|---|---|
| PCKNT1 | 45P2O5-20CaO-15CaCl2-8KF-10Na2O-2TiO2 | 2.657 | 1.616 |
| PCKNT2 | 45P2O5-20CaO-15CaCl2-8KF-10Na2O-4TiO2 | 2.6792 | 1.637 |
| PCKNT3 | 45P2O5-20CaO-15CaCl2-8KF-10Na2O-6TiO2 | 2.6827 | 1.649 |
| Sample Code | VM (cm3/mol) | VO (cm3/mol) | OPD (mol−1) | Energy Gap, Eopt (eV) | Urbach Energy, ∆E (eV) |
|---|---|---|---|---|---|
| PCKNT1 | 37.460 | 14.464 | 69.139 | 3.403 | 0.2964 |
| PCKNT2 | 37.284 | 14.285 | 70.000 | 3.324 | 0.2914 |
| PCKNT3 | 37.369 | 14.208 | 70.379 | 3.279 | 0.3031 |
| Sample Code | Metallization (M) (±0.001) | Third-Order Non-Linear Susceptibility χ(3) × 10−14 (esu) | Nonlinear Refractive Indices, n2, × 10−13 (esu) | ||
|---|---|---|---|---|---|
| TPNK1 | 5.195 | 13.090 | 0.407 | 4.61 | 6.97 |
| TPNK2 | 5.310 | 13.383 | 0.402 | 5.44 | 8.22 |
| TPNK3 | 5.402 | 13.613 | 0.400 | 5.97 | 9.02 |
| Energy | LAC (cm−1) | |||||
|---|---|---|---|---|---|---|
| (keV) | PCKNT1 | PCKNT2 | PCKNT3 | PCKNT1 | PCKNT2 | PCKNT3 |
| 15 | 10.90102 | 11.16849 | 11.43404 | 28.96401 | 29.92261 | 30.67410 |
| 20 | 4.774876 | 4.893544 | 5.011364 | 12.68685 | 13.11078 | 13.44399 |
| 30 | 1.548614 | 1.585303 | 1.621729 | 4.114668 | 4.247342 | 4.350612 |
| 40 | 0.751224 | 0.766921 | 0.782506 | 1.996003 | 2.054735 | 2.099228 |
| 45 | 0.576625 | 0.587683 | 0.598662 | 1.532093 | 1.574521 | 1.606031 |
| 50 | 0.464047 | 0.472114 | 0.480124 | 1.232974 | 1.264889 | 1.288029 |
| 60 | 0.334767 | 0.339434 | 0.344067 | 0.889477 | 0.909411 | 0.923029 |
| 80 | 0.227503 | 0.229457 | 0.231396 | 0.604476 | 0.614760 | 0.620767 |
| 100 | 0.184884 | 0.185867 | 0.186844 | 0.491237 | 0.497976 | 0.501247 |
| 140 | 0.149130 | 0.149470 | 0.149808 | 0.396238 | 0.400461 | 0.401891 |
| 150 | 0.143928 | 0.144200 | 0.144470 | 0.382417 | 0.386341 | 0.387570 |
| 160 | 0.139497 | 0.139716 | 0.139934 | 0.370643 | 0.374327 | 0.375400 |
| 170 | 0.135584 | 0.135761 | 0.135938 | 0.360247 | 0.363732 | 0.364680 |
| 180 | 0.132166 | 0.132312 | 0.132456 | 0.351165 | 0.354489 | 0.355340 |
| 190 | 0.129059 | 0.129179 | 0.129299 | 0.342910 | 0.346098 | 0.346871 |
| 200 | 0.126231 | 0.126331 | 0.126430 | 0.335397 | 0.338466 | 0.339174 |
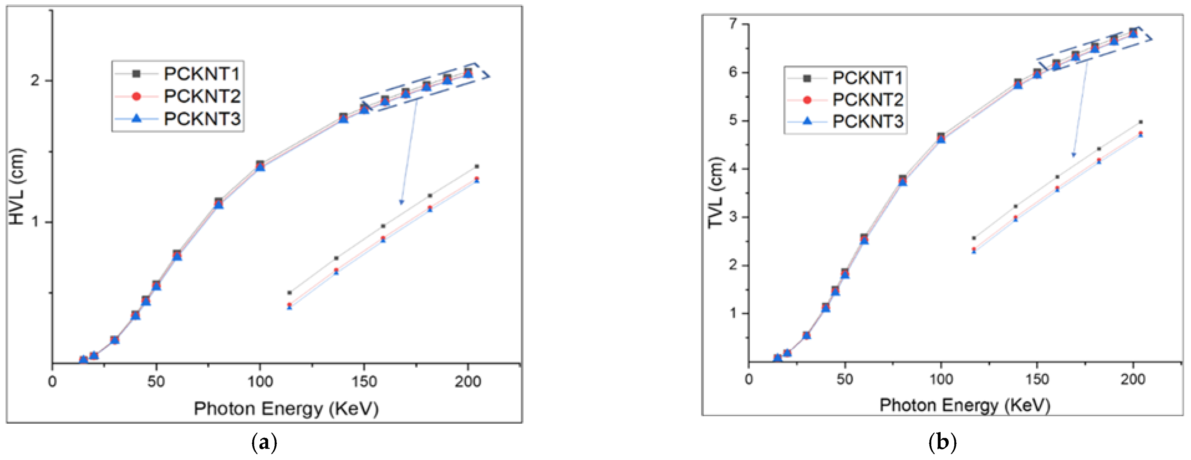
| Energy | HVL (cm) | TVL(cm) | MFP(cm) | ||||||
|---|---|---|---|---|---|---|---|---|---|
| (keV) | PCKNT1 | PCKNT2 | PCKNT3 | PCKNT1 | PCKNT2 | PCKNT3 | PCKNT1 | PCKNT2 | PCKNT3 |
| 15 | 0.023926 | 0.023160 | 0.022592 | 0.079409 | 0.076865 | 0.074982 | 0.034526 | 0.03342 | 0.032601 |
| 20 | 0.054624 | 0.052857 | 0.051547 | 0.181290 | 0.175428 | 0.171080 | 0.078822 | 0.076273 | 0.074383 |
| 30 | 0.168422 | 0.163161 | 0.159288 | 0.558976 | 0.541515 | 0.528661 | 0.243033 | 0.235441 | 0.229853 |
| 40 | 0.347194 | 0.337270 | 0.330121 | 1.152303 | 1.119366 | 1.095641 | 0.501001 | 0.486681 | 0.476366 |
| 45 | 0.452322 | 0.440134 | 0.431499 | 1.501214 | 1.460762 | 1.432102 | 0.652702 | 0.635114 | 0.622653 |
| 50 | 0.562056 | 0.547874 | 0.538031 | 1.865409 | 1.818341 | 1.785674 | 0.811047 | 0.790583 | 0.776380 |
| 60 | 0.779109 | 0.762031 | 0.750789 | 2.585789 | 2.529109 | 2.491797 | 1.124256 | 1.099612 | 1.083390 |
| 80 | 1.146448 | 1.127268 | 1.116361 | 3.804949 | 3.741295 | 3.705095 | 1.654326 | 1.626650 | 1.610911 |
| 100 | 1.410726 | 1.391633 | 1.382553 | 4.682062 | 4.618695 | 4.588561 | 2.035679 | 2.008128 | 1.995026 |
| 140 | 1.748948 | 1.730506 | 1.724350 | 5.804588 | 5.743383 | 5.722951 | 2.523734 | 2.497123 | 2.488240 |
| 150 | 1.812157 | 1.793752 | 1.788063 | 6.014374 | 5.953290 | 5.934410 | 2.614945 | 2.588387 | 2.580178 |
| 160 | 1.869722 | 1.851321 | 1.846030 | 6.205428 | 6.144355 | 6.126795 | 2.698012 | 2.671459 | 2.663824 |
| 170 | 1.923683 | 1.905249 | 1.900298 | 6.384517 | 6.323339 | 6.306904 | 2.775877 | 2.749278 | 2.742132 |
| 180 | 1.973429 | 1.954925 | 1.950245 | 6.549621 | 6.488207 | 6.472675 | 2.847661 | 2.820960 | 2.814207 |
| 190 | 2.020940 | 2.002325 | 1.997862 | 6.707306 | 6.645522 | 6.630710 | 2.916220 | 2.889358 | 2.882917 |
| 200 | 2.066209 | 2.047470 | 2.043198 | 6.857546 | 6.795356 | 6.781175 | 2.981542 | 2.954503 | 2.948337 |
| Energy | ||||||
|---|---|---|---|---|---|---|
| (keV) | PCKNT1 | PCKNT2 | PCKNT3 | PCKNT1 | PCKNT2 | PCKNT3 |
| 15 | 15.929 | 16.085 | 16.347 | 4.2 | 4.22 | 4.24 |
| 20 | 15.850 | 16.008 | 16.273 | 4.18 | 4.21 | 4.22 |
| 30 | 15.394 | 15.550 | 15.822 | 4.06 | 4.08 | 4.11 |
| 40 | 14.696 | 14.842 | 15.117 | 3.88 | 3.90 | 3.92 |
| 45 | 14.321 | 14.462 | 14.734 | 3.78 | 3.80 | 3.82 |
| 50 | 13.958 | 14.090 | 14.357 | 3.69 | 3.71 | 3.73 |
| 60 | 13.320 | 13.436 | 13.685 | 3.52 | 3.54 | 3.55 |
| 80 | 12.447 | 12.534 | 12.747 | 3.29 | 3.30 | 3.31 |
| 100 | 11.975 | 12.045 | 12.230 | 3.16 | 3.17 | 3.17 |
| 140 | 11.566 | 11.618 | 11.775 | 3.05 | 3.05 | 3.06 |
| 150 | 11.515 | 11.565 | 11.719 | 3.04 | 3.04 | 3.04 |
| 160 | 11.474 | 11.522 | 11.673 | 3.03 | 3.03 | 3.03 |
| 170 | 11.442 | 11.488 | 11.637 | 3.02 | 3.02 | 3.02 |
| 180 | 11.415 | 11.460 | 11.606 | 3.01 | 3.01 | 3.01 |
| 190 | 11.392 | 11.437 | 11.581 | 2.97 | 2.99 | 3.01 |
| 200 | 11.375 | 11.418 | 11.561 | 2.95 | 2.97 | 2.99 |
Publisher’s Note: MDPI stays neutral with regard to jurisdictional claims in published maps and institutional affiliations. |
© 2022 by the authors. Licensee MDPI, Basel, Switzerland. This article is an open access article distributed under the terms and conditions of the Creative Commons Attribution (CC BY) license (https://creativecommons.org/licenses/by/4.0/).
Share and Cite
Hussein, K.I.; Alqahtani, M.S.; Alzahrani, K.J.; Zahran, H.Y.; Alshehri, A.M.; Yahia, I.S.; Reben, M.; Yousef, E.S. The Investigation of New Phosphate–Titanite Glasses According to Optical, Physical, and Shielding Properties. Crystals 2022, 12, 941. https://doi.org/10.3390/cryst12070941
Hussein KI, Alqahtani MS, Alzahrani KJ, Zahran HY, Alshehri AM, Yahia IS, Reben M, Yousef ES. The Investigation of New Phosphate–Titanite Glasses According to Optical, Physical, and Shielding Properties. Crystals. 2022; 12(7):941. https://doi.org/10.3390/cryst12070941
Chicago/Turabian StyleHussein, Khalid I., Mohammed S. Alqahtani, Khloud J. Alzahrani, Heba Y. Zahran, Ali M. Alshehri, Ibrahim S. Yahia, Manuela Reben, and El Sayed Yousef. 2022. "The Investigation of New Phosphate–Titanite Glasses According to Optical, Physical, and Shielding Properties" Crystals 12, no. 7: 941. https://doi.org/10.3390/cryst12070941
APA StyleHussein, K. I., Alqahtani, M. S., Alzahrani, K. J., Zahran, H. Y., Alshehri, A. M., Yahia, I. S., Reben, M., & Yousef, E. S. (2022). The Investigation of New Phosphate–Titanite Glasses According to Optical, Physical, and Shielding Properties. Crystals, 12(7), 941. https://doi.org/10.3390/cryst12070941

