Effect of Chlorine Addition on Texture and Superconducting Performance of YBa2Cu3O7−δ-Coated Conductors
Abstract
:1. Introduction
2. Experimental Method
3. Results and Discussion
3.1. Surface Morphology and Texture with Cl and Cl-Free
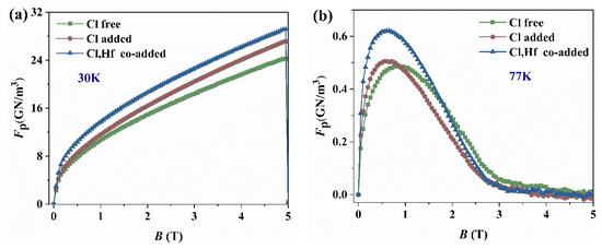
3.2. Superconducting Performance at Various Temperatures and Magnetic Fields
3.3. Thermodynamic Physicochemical Theoretical Analysis
4. Conclusions
Author Contributions
Funding
Conflicts of Interest
References
- Maiorov, B.; Wang, H.; Foltyn, S.R.; Li, Y.; DePaula, R.F.; Stan, L.; Arendt, P.N.; Civale, L. Influence of naturally grown nanoparticles at the buffer layer in the flux pinning in YBa2Cu3O7 coated conductors. Supercond. Sci. Technol. 2006, 19, 891–895. [Google Scholar] [CrossRef]
- Liu, Y.; Du, G. Preparation and Flux-Pinning Properties of Multilayered Yttrium Barium Copper Oxide Thin Films Containing Alternating Barium Zirconate and Yttria Nanostructures. J. Electron. Mater. 2011, 40, 1512–1516. [Google Scholar] [CrossRef]
- Wang, W.; Pu, M.; Yang, Y.; Zhang, H.; Cheng, C.; Zhao, Y. Enhanced flux-pinning in fluorine-free MOD YBCO films by chemical doping. Phys. C Supercond. 2010, 470, 1261–1265. [Google Scholar] [CrossRef]
- Díez-Sierra, J.; López-Domínguez, P.; Rijckaert, H.; Rikel, M.; Hänisch, J.; Khan, M.Z.; Falter, M.; Bennewitz, J.; Huhtinen, H.; Schäfer, S.; et al. High Critical Current Density and Enhanced Pinning in Superconducting Films of YBa2Cu3O7−δ Nanocomposites with Embedded BaZrO3, BaHfO3, BaTiO3, and SrZrO3 Nanocrystals. ACS Appl. Nano Mater. 2020, 3, 5542–5553. [Google Scholar] [CrossRef]
- Cai, C.; Holzapfel, B.; Hänisch, J.; Fernández, L.; Schultz, L. High critical current density and its field dependence in mixed rare earth (Nd,Eu,Gd)Ba2Cu3O7−δ thin films. Appl. Phys. Lett. 2004, 84, 377–379. [Google Scholar] [CrossRef]
- Erbe, M.; Cayado, P.; Freitag, W.; Ackermann, K.; Langer, M.; Meledin, A.; Hanisch, J.; Holzapfel, B. Comparative study of CSD-grown REBCO films with different rare earth elements: Processing windows and T c. Supercond. Sci. Technol. 2020, 33, 094002. [Google Scholar] [CrossRef]
- Li, M.Y.; Fang, Q.; Hu, X.F.; Liu, Z.Y.; Guo, Y.Q.; Lu, Y.M.; Bai, C.Y.; Cai, C.B. Microstructures Property and Improved J c of Eu-Doped YBa2Cu3.6O7−δ Thin Films by Trifluoroacetate Metal Organic Deposition Process. J. Supercond. Nov. Magn. 2016, 30, 1137–1143. [Google Scholar] [CrossRef]
- Troitskii, A.V.; Antonova, L.K.; Demikhov, T.E.; Skuratov, V.A.; Semina, V.K.; Mikhailova, G.N. The effect of Xe ion irradiation (40, 80 MeV) on HTS-2G GdBa2Cu3O7−x. Phys. C Supercond. Its Appl. 2020, 572, 135361. [Google Scholar] [CrossRef]
- Liu, L.; Liu, J.; Zhang, S.; Zeng, J.; Zhai, P.; Hu, P.; Xu, L.; Li, Z.; Ai, W.; Cai, C.; et al. Radiation effect of swift heavy ions on current-carrying capability of commercial YBCO coated conductors. Appl. Phys. A 2020, 126, 1–6. [Google Scholar] [CrossRef]
- Gu, Y.; Cai, C.; Liu, Z.; Liu, J.; Liu, L.; Huang, R. Effect of Ta irradiation on microstructure and current carrying properties of YBCO coated conductors with element doping. J. Appl. Phys. 2021, 130, 085304. [Google Scholar] [CrossRef]
- Gupta, A.; Jagannathan, R.; Cooper, E.I.; Giess, E.A.; Landman, J.I.; Hussey, B.W. Superconducting oxide films with high transition temperature prepared from metal trifluoroacetate precursors. Appl. Phys. Lett. 1988, 52, 2077–2079. [Google Scholar] [CrossRef]
- Matskevich N., I. The Y-Ba-Cu-O-Cl system: Thermodynamic characteristics of 1:2:3 phases, thermodynamic stability. Thermochim. Acta 2000, 343, 7–10. [Google Scholar] [CrossRef]
- Motoki, T.; Ikeda, S.; Nakamura, S.I.; Honda, G.; Nagaishi, T.; Doi, T.; Shimoyama, J.I. Greatly enhanced flux pinning properties of fluorine-free metal–organic decomposition YBCO films by co-addition of halogens (Cl, Br) and metals (Zr, Sn, Hf). Supercond. Sci. Technol. 2018, 31, 044004. [Google Scholar] [CrossRef]
- Motoki, T.; Ikeda, S.; Honda, G.; Nagaishi, T.; Nakamura, S.-I.; Shimoyama, J.-I. Dramatic effects of chlorine addition on expanding synthesis conditions for fluorine-free metal–organic decomposition YBa2Cu3Oy films. Appl. Phys. Express 2017, 10, 23102. [Google Scholar] [CrossRef]
- Setoyama, Y.; Shimoyama, J.I.; Ogino, H.; Kishio, K. Improved Superconducting Properties of YBCO Melt-Solidified Bulks by Addition of Ba–Cu–O–Cl. IEEE Trans. Appl. Supercond. 2016, 26, 1–4. [Google Scholar] [CrossRef]
- Bean, C.P. Magnetization of Hard Superconductors. Phys. Rev. Lett. 1962, 8, 250–253. [Google Scholar] [CrossRef]
- Pinto, V.; Celentano, G.; Tomellini, M. Heterogeneous nucleation of YBCO via fluorine based MOD process: Thermodynamic and kinetic approach. Supercond. Sci. Technol. 2020, 33, 115006. [Google Scholar] [CrossRef]
- Chan, S.-W.; Bagley, B.G.; Greene, L.H.; Giroud, M.; Feldmann, W.L.; Jenkin, K.R.; Wilkins, B.J. Effect of the post-deposition processing ambient on the preparation of superconducting YBa2Cu3O7−x coevaporated thin films using a BaF2 source. Appl. Phys. Lett. 1988, 53, 1443–1445. [Google Scholar] [CrossRef]
- Dou, W.Z.; Liu, Z.Y.; Yu, J.; Yang, F.; Bai, C.Y.; Lu, Y.M.; Guo, Y.Q.; Cai, C.B. Phase Transition During Sintering Process Before Nucleation of TFA-MOD YBa2Cu3O7−δ Films. In Proceedings of the 2015 IEEE International Conference on Applied Superconductivity and Electromagnetic Devices (ASEMD), Shanghai, China, 20 November 2015; pp. 480–481. [Google Scholar]
- Azad, A.M.; Sreedharan, O.M.; Jacob, K.T. Standard Gibbs’ energies of formation of BaCuO2, Y2Cu2O5 and Y2BaCuO5. J. Mater. Sci. 1991, 26, 3374–3379. [Google Scholar] [CrossRef]










Publisher’s Note: MDPI stays neutral with regard to jurisdictional claims in published maps and institutional affiliations. |
© 2022 by the authors. Licensee MDPI, Basel, Switzerland. This article is an open access article distributed under the terms and conditions of the Creative Commons Attribution (CC BY) license (https://creativecommons.org/licenses/by/4.0/).
Share and Cite
Chen, M.; Liu, Z.; Li, M.; Yan, Z.; Huang, R.; Qian, S.; Chen, J.; Cai, C. Effect of Chlorine Addition on Texture and Superconducting Performance of YBa2Cu3O7−δ-Coated Conductors. Crystals 2022, 12, 925. https://doi.org/10.3390/cryst12070925
Chen M, Liu Z, Li M, Yan Z, Huang R, Qian S, Chen J, Cai C. Effect of Chlorine Addition on Texture and Superconducting Performance of YBa2Cu3O7−δ-Coated Conductors. Crystals. 2022; 12(7):925. https://doi.org/10.3390/cryst12070925
Chicago/Turabian StyleChen, Mingyue, Zhiyong Liu, Minjuan Li, Zhichao Yan, Rongtie Huang, Sida Qian, Jing Chen, and Chuanbing Cai. 2022. "Effect of Chlorine Addition on Texture and Superconducting Performance of YBa2Cu3O7−δ-Coated Conductors" Crystals 12, no. 7: 925. https://doi.org/10.3390/cryst12070925
APA StyleChen, M., Liu, Z., Li, M., Yan, Z., Huang, R., Qian, S., Chen, J., & Cai, C. (2022). Effect of Chlorine Addition on Texture and Superconducting Performance of YBa2Cu3O7−δ-Coated Conductors. Crystals, 12(7), 925. https://doi.org/10.3390/cryst12070925

