Achievement of Unidirectional Aluminum Tin Oxide/UV-Curable Polymer Hybrid Film via UV Nanoimprinting Lithography for Uniform Liquid Crystal Alignment
Abstract
:1. Introduction
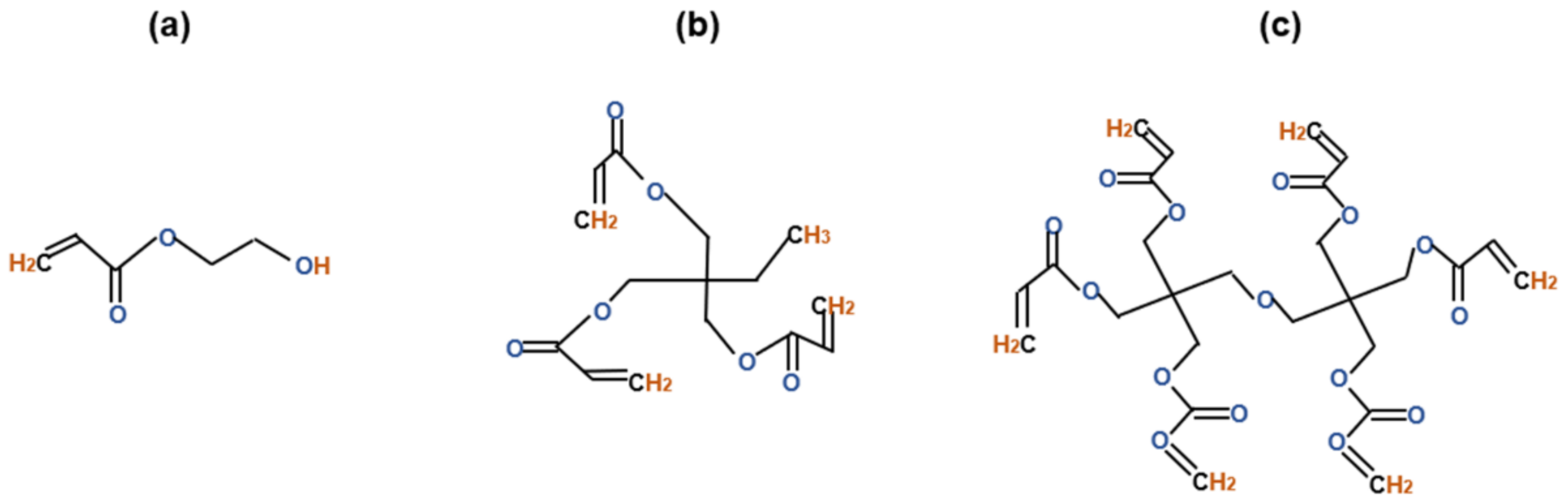
2. Materials and Methods
3. Results and Discussion
4. Conclusions
Author Contributions
Funding
Institutional Review Board Statement
Informed Consent Statement
Data Availability Statement
Conflicts of Interest
References
- Chen, Y.; Xu, D.; Wu, S.-T.; Yamamoto, S.; Haseba, Y.A. A low voltage and submillisecond-response polymer-stabilized blue phase liquid crystal. Appl. Phys. Lett. 2013, 102, 141116. [Google Scholar] [CrossRef] [Green Version]
- Song, D.-M.; Jung, K.-H.; Moon, J.-H.; Shin, D.-M. Photochemistry of chalcone and the application of chalcone-derivatives in photo-alignment layer of liquid crystal display. Opt. Mater. 2003, 21, 667–671. [Google Scholar] [CrossRef]
- Garbovskiy, Y. Switching between purification and contamination regimes governed by the ionic purity of nanoparticles dispersed in liquid crystals. Appl. Phys. Lett. 2016, 108, 121104. [Google Scholar] [CrossRef]
- Nimmy, J.V.; Shiju, E.; Arun, R.; Varma, M.K.R.; Chandrasekharan, K.; Sandhyarani, N.; Varghese, S. Effect of ferroelectric nanoparticles in the alignment layer of twisted nematic liquid crystal display. Opt. Mater. 2017, 67, 7–13. [Google Scholar]
- Edwards, D.M.F.; Madden, P.A. A molecular theory of the dielectric permittivity of a nematic liquid crystal. Mol. Phys. 1983, 48, 471–493. [Google Scholar] [CrossRef]
- Yan, X.; Mont, F.W.; Poxson, D.J.; Schubert, M.F.; Kim, J.K.; Cho, J.; Schubert, E.F. Refractive-index-matched indium-tin-oxide electrodes for liquid crystal displays. Jpn. J. Appl. Phys. 2009, 48, 120203. [Google Scholar] [CrossRef]
- Chen, S.H.; Amer, N.M. Observation of macroscopic collective behavior and new texture in magnetically doped liquid crystals. Phys. Rev. Lett. 1983, 51, 2298–2301. [Google Scholar] [CrossRef] [Green Version]
- Kovalchuk, A.I.; Kobzar, Y.L.; Tkachenko, I.M.; Kurioz, Y.I.; Tereshchenko, O.G.; Shekera, O.V.; Nazarenko, V.G.; Shevchenko, V.V. Photoactive fluorinated poly(azomethine)s with azo groups in the main chain for optical storage applications and controlling liquid crystal orientation. ACS Appl. Polym. Mater. 2020, 2, 455–463. [Google Scholar] [CrossRef]
- Eguchi, N.; Nimori, S.; Goto, H. Magnetically aligned helical liquid crystal field allows the production of polymer with laser diffraction and prism function. ACS Appl. Polym. Mater. 2020, 2, 5452–5459. [Google Scholar] [CrossRef]
- Dolan, J.A.; Cai, H.; Delalande, L.; Li, X.; Martinson, A.B.F.; de Pablo, J.J.; Lopez, D.; Nealey, P.F. Broadband liquid crystal tunable metasurfaces in the visible: Liquid crystal inhomogeneities across the metasurface parameter space. ACS Photonics 2021, 8, 567–575. [Google Scholar] [CrossRef]
- Wu, D.; Zhou, J.; Lin, X.; Lin, J.; Shi, L.; Ding, J.; Wu, Q. Structure, luminescence, and energy transfer of a narrow-band green-emitting phosphor Ce5Si3O12N:Tb3+ for near-ultraviolet light-emitting diode-driven liquid-crystal display. ACS Appl. Electron. Mater. 2021, 3, 406–414. [Google Scholar] [CrossRef]
- Lee, D.W.; Lee, J.H.; Kim, E.M.; Heo, G.S.; Kim, D.H.; Oh, J.Y.; Liu, Y.; Seo, D.-S. Surface modification of a poly(ethylene-co-vinyl acetate) layer by ion beam irradiation for the uniform alignment of liquid crystals. J. Mol. Liq. 2021, 339, 116700. [Google Scholar] [CrossRef]
- Lee, W.-K.; Choi, Y.S.; Kang, Y.-G.; Sung, J.; Seo, D.-S.; Park, C. Super-fast switching of twisted nematic liquid crystals on 2D single wall carbon nanotube networks. Adv. Funct. Mater. 2011, 21, 3843–3850. [Google Scholar] [CrossRef]
- Park, H.-G.; Kim, E.-M.; Heo, G.-S.; Jeong, H.-C.; Lee, J.H.; Han, J.-M.; Kim, T.W.; Seo, D.-S. Electro-optical properties of liquid crystal displays based on the transparent zinc oxide films treated by using a rubbing method. Opt. Mater. 2018, 75, 252–257. [Google Scholar] [CrossRef]
- Stohr, J.; Samant, M.G.; Luning, J.; Callegari, A.C.; Chaudhari, P.; Doyle, J.P.; Lacey, J.A.; Lien, S.A.; Purushothaman, S.; Speidell, J.L. Liquid crystal alignment on carbonaceous surfaces with orientational order. Science 2001, 292, 2299–2302. [Google Scholar] [CrossRef] [Green Version]
- Wu, G.M.; Liu, C.Y.; Sahoo, A.K. RF sputtering deposited a-IGZO films for LCD alignment layer application. Appl. Surf. Sci. 2015, 354, 48–54. [Google Scholar] [CrossRef]
- Janning, J.L. Thin film surface orientation for liquid crystals. Appl. Phys. Lett. 1972, 21, 173. [Google Scholar] [CrossRef]
- Zhang, L.; Peng, Z.; Yao, L.; Fei, C.; Lv, F.; Xuan, L. Photoalignment of liquid crystals by cinnamate polyelectrolyte layer-by-layer ultrathin film. Appl. Surf. Sci. 2007, 253, 3372–3377. [Google Scholar] [CrossRef]
- Chigrinov, V.G.; Kozenkov, V.M.; Kwok, H.S. Photoalignment of Liquid Crystalline Materials; John Wiley & Sons: Chichester, UK, 2008. [Google Scholar]
- Gibbons, W.M.; Shannon, P.J.; Sun, S.-T.; Swetlin, B.J. Surface-mediated alignment of nematic liquid crystals with polarized laser light. Nature 1991, 351, 49–50. [Google Scholar] [CrossRef]
- Dyadyusha, A.G.; Marusiǐ, T.Y.; Reznikov, Y.A.; Khizhnyak, A.I.; Reshetnyak, V.Y. Orientational effect due to a change in the anisotropy of the interaction between a liquid crystal and a bounding surface. JETP Lett. 1992, 56, 17. [Google Scholar]
- Dyadyusha, A.G.; Kozenkov, V.M.; Marusiy, T.Y. Light-induced planar alignment of nematic liquid-crystal by the anisotropic surface without mechanical texture. Ukr. Fiz. Zh. 1991, 36, 1059–1062. [Google Scholar]
- Toney, M.F.; Russell, T.P.; Logan, J.A.; Kikuchi, H.; Sands, J.M.; Kumar, S.K. Near-surface alignment of polymers in rubbed films. Nature 1995, 374, 709–711. [Google Scholar] [CrossRef]
- Haaren, J.V. Wiping out dirty displays. Nature 2001, 411, 29–30. [Google Scholar] [CrossRef]
- Henry, P.S.H. The role of asymmetric rubbing in the generation of static electricity. Br. J. Appl. Phys. 1953, 4, S31. [Google Scholar] [CrossRef]
- Jeong, H.-C.; Lee, J.H.; Won, J.; Oh, B.Y.; Kim, D.H.; Lee, D.W.; Song, I.H.; Liu, Y.; Seo, D.-S. One-dimensional surface wrinkling for twisted nematic liquid crystal display based on ultraviolet nanoimprint lithography. Opt. Express 2019, 27, 18094–18101. [Google Scholar] [CrossRef]
- Solodar, A.; Cerkauskaite, A.; Drevinskas, R.; Kazansky, P.G.; Abdulhalim, I. Ultrafast laser induced nanostructured ITO for liquid crystal alignment and higher transparency electrodes. Appl. Phys. Lett. 2018, 113, 081603. [Google Scholar] [CrossRef]
- Lin, R.; Rogers, J.A. Molecular-scale soft imprint lithography for alignment layers in liquid crystal devices. Nano Lett. 2007, 7, 1613–1621. [Google Scholar] [CrossRef]
- Söderström, K.; Escarré, J.; Cubero, O.; Haug, F.-J.; Perregaux, S.; Ballif, C. UV-nano-imprint lithography technique for the replication of back reflectors for n-i-p thin film silicon solar cells. Prog. Photovolt. Res. Appl. 2011, 19, 202–210. [Google Scholar] [CrossRef]
- Maury, P.; Turkenburg, D.; Stroeks, N.; Giesen, P.; Barbu, I.; Meinders, E.; van Bremen, A.; Iosad, N.; van der Werf, R.; Onvlee, H. Roll-to-roll UV imprint lithography for flexible electronics. Microelectron. Eng. 2011, 88, 2052–2055. [Google Scholar] [CrossRef]
- Won, J.H.; Lee, J.H.; Kim, D.H.; Lee, D.W.; Kim, D.-H.; Jeong, H.-C.; Oh, B.-Y.; Han, J.M.; Seo, D.-S. Electro-optical performance of liquid crystal device based on Al-doped SnO fabricated by sol-gel process. Liq. Cryst. 2020, 47, 345–351. [Google Scholar] [CrossRef]
- Argall, F.; Jonscher, A.K. Dielectric properties of thin films of aluminium oxide and silicon oxide. Thin Solid Film. 1968, 2, 185–210. [Google Scholar] [CrossRef]
- Yıldırım, M.A.; Yıldırım, S.T.; Sakar, E.F.; Ateşc, A. Synthesis, characterization and dielectric properties of SnO2 thin films. Spectrochim. Acta Part A Mol. Biomol. Spectrosc. 2014, 133, 60–65. [Google Scholar] [CrossRef]
- Scheffer, T.J.; Nehring, J. Accurate determination of liquid-crystal tilt bias angles. J. Appl. Phys. 1977, 48, 1783. [Google Scholar] [CrossRef]
- Han, K.Y.; Miyashita, T.; Uchida, T. Accurate measurement of the pretilt angle in a liquid crystal cell by an improved crystal rotation method. Mol. Cryst. Liq. Cryst. Sci. Technol. Sect. A Mol. Cryst. Liq. Cryst. 1994, 241, 147–157. [Google Scholar] [CrossRef]
- Schier, J.E.S.; Hutchinson, R.A. The influence of hydrogen bonding on radical chain-growth parameters for butyl methacrylate/2-hydroxyethyl acrylate solution copolymerization. Polym. Chem. 2016, 7, 4567–4574. [Google Scholar] [CrossRef] [Green Version]
- Li, P.; Chu, Z.; Chen, Y.; Yuan, T.; Yang, Z. One-pot and solvent-free synthesis of castor oil-based polyurethane acrylate oligomers for UV-curable coatings applications. Prog. Org. Coat. 2021, 159, 106398. [Google Scholar] [CrossRef]
- Deng, L.; Tang, L.; Qu, J. Synthesis and photopolymerization of novel UV-curable macro-photoinitiators. Prog. Org. Coat. 2020, 141, 105546. [Google Scholar] [CrossRef]
- Patacz, C.; Coqueret, X.; Decker, C. Electron-beam initiated polymerization of acrylate compositions 3: Compared reactivity of hexanediol and tripropyleneglycol diacrylates under UV or EB initiation. Radiat. Phys. Chem. 2001, 62, 403–410. [Google Scholar] [CrossRef]
- Chang, C.-C.; Hsieh, C.-Y.; Huang, F.-H.; Cheng, L.-P. Preparation of zirconia loaded poly(acrylate) antistatic hard coatings on PMMA substrates. J. Appl. Polym. Sci. 2015, 132, 42411. [Google Scholar] [CrossRef]
- Lee, D.W.; Kim, D.H.; Oh, J.Y.; Liu, Y.; Seo, D.-S. Nanopattern transfer on bismuth gallium oxide surface via sol-gel stamp process applied for uniform liquid crystal alignment. Appl. Surf. Sci. 2022, 576, 151712. [Google Scholar] [CrossRef]
- Schift, H. Nanoimprint lithography: An old story in modern times? A review. J. Vac. Sci. Technol. B 2008, 26, 458. [Google Scholar] [CrossRef] [Green Version]
- Li, X.; Choy, W.C.H.; Huo, L.; Xie, F.; Sha, W.E.I.; Ding, B.; Guo, X.; Li, Y.; Hou, J.; You, J.; et al. Dual plasmonic nanostructures for high performance inverted organic solar cells. Adv. Mater. 2012, 24, 3046–3052. [Google Scholar] [CrossRef] [PubMed]







| UV Exposure Time | C-C (At%) | C-O (At%) | C=O (At%) |
|---|---|---|---|
| 1 min | 61.72 | 24.91 | 13.37 |
| 6 min | 51.19 | 36.92 | 11.89 |
Publisher’s Note: MDPI stays neutral with regard to jurisdictional claims in published maps and institutional affiliations. |
© 2022 by the authors. Licensee MDPI, Basel, Switzerland. This article is an open access article distributed under the terms and conditions of the Creative Commons Attribution (CC BY) license (https://creativecommons.org/licenses/by/4.0/).
Share and Cite
Lee, D.-W.; Kim, D.-H.; Won, J.; Oh, J.-Y.; Seo, D.-S. Achievement of Unidirectional Aluminum Tin Oxide/UV-Curable Polymer Hybrid Film via UV Nanoimprinting Lithography for Uniform Liquid Crystal Alignment. Crystals 2022, 12, 855. https://doi.org/10.3390/cryst12060855
Lee D-W, Kim D-H, Won J, Oh J-Y, Seo D-S. Achievement of Unidirectional Aluminum Tin Oxide/UV-Curable Polymer Hybrid Film via UV Nanoimprinting Lithography for Uniform Liquid Crystal Alignment. Crystals. 2022; 12(6):855. https://doi.org/10.3390/cryst12060855
Chicago/Turabian StyleLee, Dong-Wook, Dong-Hyun Kim, Jonghoon Won, Jin-Young Oh, and Dae-Shik Seo. 2022. "Achievement of Unidirectional Aluminum Tin Oxide/UV-Curable Polymer Hybrid Film via UV Nanoimprinting Lithography for Uniform Liquid Crystal Alignment" Crystals 12, no. 6: 855. https://doi.org/10.3390/cryst12060855
APA StyleLee, D.-W., Kim, D.-H., Won, J., Oh, J.-Y., & Seo, D.-S. (2022). Achievement of Unidirectional Aluminum Tin Oxide/UV-Curable Polymer Hybrid Film via UV Nanoimprinting Lithography for Uniform Liquid Crystal Alignment. Crystals, 12(6), 855. https://doi.org/10.3390/cryst12060855
