Luminescent Behavior of Liquid–Crystalline Gold(I) Complexes Bearing a Carbazole Moiety: Effects of Substituent Bulkiness
Abstract
:1. Introduction
2. Materials and Methods
2.1. Materials
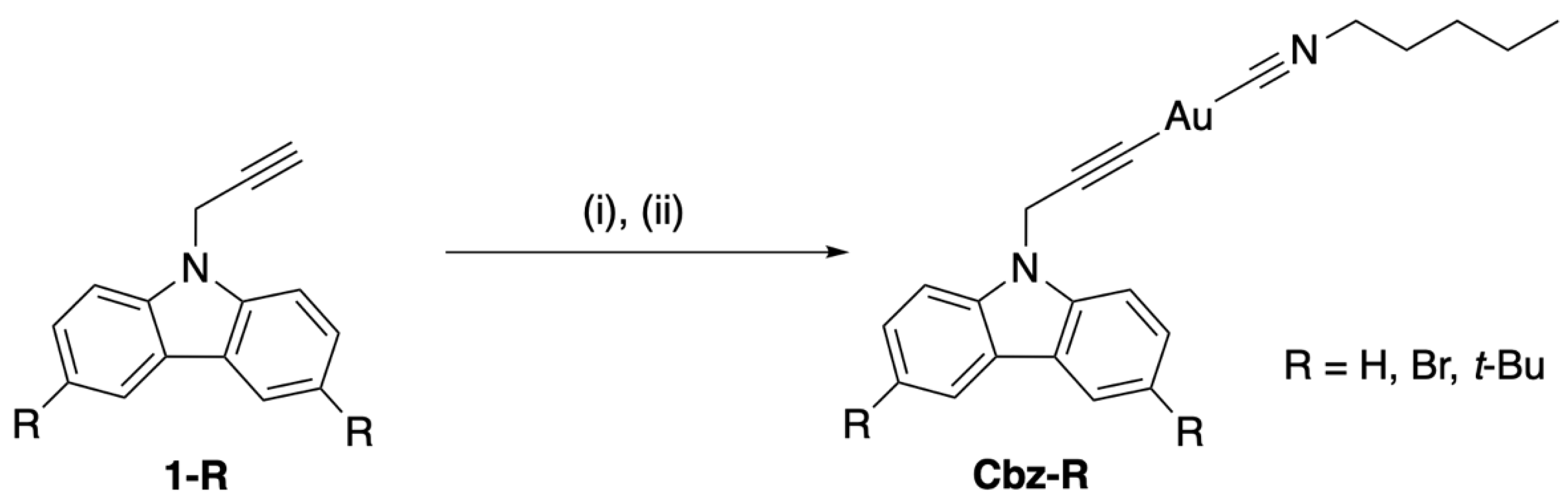
2.1.1. Synthesis of Cbz-H
2.1.2. Synthesis of Cbz-Br
2.1.3. Synthesis of Cbz-t-Bu
2.2. X-ray Crystallography
2.3. Phase Transition Behavior
2.4. Photophysical Properties
3. Results and Discussion
3.1. Synthesis and Characterization of Complex Cbz-R
3.2. Thermal Behavior of Complex Cbz-R
3.3. Solution and Solid-State Photoluminescence Properties of Complex Cbz-R
4. Conclusions
Supplementary Materials
Author Contributions
Funding
Institutional Review Board Statement
Informed Consent Statement
Data Availability Statement
Conflicts of Interest
References
- Ghosh, B.; Shirahata, N. Colloidal silicon quantum dots: Synthesis and luminescence tuning from the near-UV to the near-IR range. Sci. Technol. Adv. Mater. 2014, 15, 014207. [Google Scholar] [CrossRef] [PubMed]
- Dubey, V.; Som, S.; Kumar, V. (Eds.) Luminescent Materials in Display and Biomedical Applications, 1st ed.; CRC Press: Boca Raton, FL, USA, 2020. [Google Scholar]
- Shizu, K.; Lee, J.; Tanaka, H.; Nomura, H.; Yasuda, T.; Kaji, H.; Adachi, C. Highly efficient electroluminescence from purely organic donor–acceptor systems. Pure Appl. Chem. 2015, 87, 627–638. [Google Scholar] [CrossRef] [Green Version]
- Li, D.; Hu, W.; Wang, J.; Zhang, Q.; Cao, X.-M.; Ma, X.; Tian, H. White-light emission from a single organic compound with unique self-folded conformation and multistimuli responsiveness. Chem. Sci. 2018, 9, 5709–5715. [Google Scholar] [CrossRef] [PubMed] [Green Version]
- Sathyanarayana, A.; Siddhant, K.; Yamane, M.; Hisano, K.; Prabusankar, G.; Tsutsumi, O. Tuning the Au–Au interactions by varying the degree of polymerization in linear polymeric Au(I) N-heterocyclic carbene complexes. J. Mater. Chem. C 2022, 10, 6050–6060. [Google Scholar] [CrossRef]
- Birks, J.B. Photophysics of Aromatic Molecules; Wiley-Interscience: London, UK, 1970. [Google Scholar]
- Sami, H.; Younis, O.; Maruoka, Y.; Yamaguchi, K.; Siddhant, K.; Hisano, K.; Tsutsumi, O. Negative thermal quenching of photoluminescence from liquid-crystalline molecules in condensed phases. Crystals 2021, 11, 1555. [Google Scholar] [CrossRef]
- Ronda, C.R. Emission and excitation mechanisms of phosphors. In Luminescence: From Theory to Applications; Ronda, C.R., Ed.; Wiley-VCH: Weinheim, Germany, 2008; pp. 1–34. [Google Scholar]
- Xu, J.; Chua, M.H.; Tang, B.Z. (Eds.) Aggregation-Induced Emission (AIE): A Practical Guide (Materials Today), 1st ed.; Elsevier: Amsterdam, The Netherlands, 2022. [Google Scholar]
- Tang, Y.; Tang, B.Z. (Eds.) Handbook of Aggregation-Induced Emission, Vol. 1: Tutorial Lectures and Mechanism Studies; Wiley: Chichester, UK, 2022. [Google Scholar]
- Khoo, I.-C. Liquid Crystals, 2nd ed.; Wiley Interscience: Hoboken, NJ, USA, 2007. [Google Scholar]
- Schadt, M. Liquid crystal materials and liquid crystal displays. Annu. Rev. Mater. Sci. 1997, 27, 305–379. [Google Scholar] [CrossRef] [Green Version]
- Demus, D.; Goodby, J.; Gray, G.W.; Spiess, H.-W.; Vill, V. (Eds.) Handbook of Liquid Crystals; Wiley-VCH: Weinheim, Germany, 1998. [Google Scholar]
- Furoida, A.; Daitani, M.; Hisano, K.; Tsutsumi, O. Aggregation-enhanced room-temperature phosphorescence from Au(I) complexes bearing mesogenic biphenylethynyl ligands. Molecules 2021, 26, 7255. [Google Scholar] [CrossRef]
- Yamada, S.; Rokusha, Y.; Kawano, R.; Fujisawa, K.; Tsutsumi, O. Mesogenic gold complexes showing aggregation-induced enhancement of phosphorescence in both crystalline and liquid-crystalline phases. Faraday Discuss. 2017, 196, 269–283. [Google Scholar] [CrossRef]
- Fujisawa, K.; Kawakami, N.; Onishi, Y.; Izumi, Y.; Tamai, S.; Sugimoto, N.; Tsutsumi, O. Photoluminescent properties of liquid crystalline gold(I) isocyanide complexes with a rod-like molecular structure. J. Mater. Chem. C 2013, 1, 5359–5366. [Google Scholar] [CrossRef]
- Chen, Z.; Liu, G.; Pu, S.; Liu, S.H. Carbazole-based aggregation-induced emission (AIE)-active gold(I) complex: Persistent room-temperature phosphorescence, reversible mechanochromism and vapochromism characteristics. Dyes Pigm. 2017, 143, 409–415. [Google Scholar] [CrossRef]
- Taranekar, P.; Fulghum, T.; Patton, D.; Ponnapati, R.; Clyde, G.; Advincula, R. Investigating carbazole jacketed precursor dendrimers: Sonochemical synthesis, characterization and electrochemical cross-linking properties. J. Am. Chem. Soc. 2007, 129, 12537–12548. [Google Scholar] [CrossRef] [PubMed]
- Sheldrick, G.M. Crystal structure refinement with SHELXL. Acta Crystallogr. C 2015, 71, 3–8. [Google Scholar] [CrossRef] [PubMed]
- Sheldrick, G.M. A short history of SHELX. Acta Crystallogr. A 2008, 64, 112–122. [Google Scholar] [CrossRef] [PubMed] [Green Version]
- Olmstead, M.M.; Jiang, F.; Attar, S.; Balch, A.L. Alteration of the aurophilic interactions in trimeric gold(I) compounds through charge transfer. Behavior of solvoluminescent Au3(MeN=COMe)3 in the presence of electron acceptors. J. Am. Chem. Soc. 2001, 123, 3260–3267. [Google Scholar] [CrossRef]
- Fujisawa, K.; Okuda, Y.; Izumi, Y.; Nagamatsu, A.; Rokusha, Y.; Sadaike, Y.; Tsutsumi, O. Reversible thermal-mode control of luminescence from liquid-crystalline gold(I) complexes. J. Mater. Chem. C 2014, 2, 3549–3555. [Google Scholar] [CrossRef]
- Kuroda, Y.; Nakamura, S.; Srinivas, K.; Sathyanarayana, A.; Prabusankar, G.; Hisano, K.; Tsutsumi, O. Thermochemically stable liquid-crystalline gold(I) complexes showing enhanced room temperature phosphorescence. Crystals 2019, 9, 227. [Google Scholar] [CrossRef] [Green Version]
- Yamada, S.; Miyano, K.; Konno, T.; Agou, T.; Kubota, T.; Hosokai, T. Fluorine-containing bistolanes as light-emitting liquid crystalline molecules. Org. Biomol. Chem. 2017, 15, 5949–5958. [Google Scholar] [CrossRef]
- Jamain, Z.; Omar, N.F.; Khairuddean, M. Synthesis and determination of thermotropic liquid crystalline behavior of cinnamaldehyde-based molecules with two Schiff base linking units. Molecules 2020, 25, 3780. [Google Scholar] [CrossRef]
- Hu, G.; Kitney, S.P.; Liu, Y.; Zhang, K. Synthesis and mesomorphic behavior of novel (bisthiophene)benzene carbazole nematic liquid crystals. Mol. Cryst. Liq. Cryst. 2021, 723, 81–92. [Google Scholar] [CrossRef]
- Ge, Z.; Hayakawa, T.; Ando, S.; Ueda, M.; Akiike, T.; Miyamoto, H.; Kajita, T.; Kakimoto, M. Spin-coated highly efficient phosphorescent organic light-emitting diodes based on bipolar triphenylamine-benzimidazole derivatives. Adv. Funct. Mater. 2008, 18, 584–590. [Google Scholar] [CrossRef]
- Tang, M.-C.; Tsang, D.P.-K.; Wong, Y.-C.; Chan, M.-Y.; Wong, K.M.-C.; Yam, V.W.-W. Bipolar gold(III) complexes for solution-processable organic light-emitting devices with a small efficiency roll-off. J. Am. Chem. Soc. 2014, 136, 17861–17868. [Google Scholar] [CrossRef] [PubMed]
- He, X.; Lam, W.H.; Zhu, N.; Yam, V.W.-W. Design and synthesis of calixarene-based bis-alkynyl-bridged dinuclear AuI isonitrile complexes as luminescent ion probes by modulation of Au–Au interactions. Chem. Eur. J. 2009, 15, 8842–8851. [Google Scholar] [CrossRef] [PubMed]
- Xu, P.; Qiu, Q.; Ye, X.; Wei, M.; Xi, W.; Feng, H.; Qian, Z. Halogenated tetraphenylethene with enhanced aggregation-induced emission: An anomalous anti-heavy-atom effect and self-reversible mechanochromism. Chem. Commun. 2019, 55, 14938–14941. [Google Scholar] [CrossRef] [PubMed]
- Bi, X.; Shi, Y.; Peng, T.; Yue, S.; Wang, F.; Zheng, L.; Cao, Q.-E. Multi-stimuli responsive and multicolor adjustable pure organic room temperature fluorescence-phosphorescent dual-emission materials. Adv. Funct. Mater. 2021, 31, 2101312. [Google Scholar] [CrossRef]
- Favereau, L.; Quinton, C.; Poriel, C.; Roisnel, T.; Jacquemin, D.; Crassous, J. Persistent organic room-temperature phosphorescence in cyclohexane-trans-1,2-bisphthalimide derivatives: The dramatic impact of heterochiral vs. homochiral interactions. J. Phys. Chem. Lett. 2020, 11, 6426–6434. [Google Scholar] [CrossRef] [PubMed]
- Tsutsumi, O.; Tamaru, M.; Nakasato, H.; Shimai, S.; Panthai, S.; Kuroda, Y.; Yamaguchi, K.; Fujisawa, K.; Hisano, K. Highly efficient aggregation-induced room-temperature phosphorescence with extremely large Stokes shift emitted from trinuclear gold(I) complex crystals. Molecules 2019, 24, 4606. [Google Scholar] [CrossRef] [Green Version]
- Ando, A.; Ozaki, K.; Shiina, U.; Nagao, E.; Hisano, K.; Kamada, K.; Tsutsumi, O. Aggregation-enhanced direct S0–Tn transitions and room-temperature phosphorescence in gold(I)-complex single crystals. Aggregate 2022, 3, e125. [Google Scholar] [CrossRef]





Publisher’s Note: MDPI stays neutral with regard to jurisdictional claims in published maps and institutional affiliations. |
© 2022 by the authors. Licensee MDPI, Basel, Switzerland. This article is an open access article distributed under the terms and conditions of the Creative Commons Attribution (CC BY) license (https://creativecommons.org/licenses/by/4.0/).
Share and Cite
Siddhant, K.; Prabusankar, G.; Tsutsumi, O. Luminescent Behavior of Liquid–Crystalline Gold(I) Complexes Bearing a Carbazole Moiety: Effects of Substituent Bulkiness. Crystals 2022, 12, 810. https://doi.org/10.3390/cryst12060810
Siddhant K, Prabusankar G, Tsutsumi O. Luminescent Behavior of Liquid–Crystalline Gold(I) Complexes Bearing a Carbazole Moiety: Effects of Substituent Bulkiness. Crystals. 2022; 12(6):810. https://doi.org/10.3390/cryst12060810
Chicago/Turabian StyleSiddhant, Kumar, Ganesan Prabusankar, and Osamu Tsutsumi. 2022. "Luminescent Behavior of Liquid–Crystalline Gold(I) Complexes Bearing a Carbazole Moiety: Effects of Substituent Bulkiness" Crystals 12, no. 6: 810. https://doi.org/10.3390/cryst12060810
APA StyleSiddhant, K., Prabusankar, G., & Tsutsumi, O. (2022). Luminescent Behavior of Liquid–Crystalline Gold(I) Complexes Bearing a Carbazole Moiety: Effects of Substituent Bulkiness. Crystals, 12(6), 810. https://doi.org/10.3390/cryst12060810
