Next Article in Journal
The Influence of Shock Wave Surface Treatment on Vibration Behavior of Semi-Solid State Cast Aluminum—Al2SiO5 Composite
Previous Article in Journal
Synthesis of Yttria Stabilized Bismuth Oxide by DC Reactive Magnetron Sputtering (RMS) for SOFC Electrolyte
Previous Article in Special Issue
Improvement of Ferroelectricity with Two-Dimensional Enwrapping Structure
 
 
Font Type:
Arial Georgia Verdana
Font Size:
Aa Aa Aa
Line Spacing:
Column Width:
Background:
Article

A Density-Functional Theory Study of Hole and Defect-Bound Exciton Polarons in Lithium Niobate

Department Physik, Universität Paderborn, 33095 Paderborn, Germany
*
Author to whom correspondence should be addressed.
Crystals 2022, 12(11), 1586; https://doi.org/10.3390/cryst12111586
Submission received: 27 September 2022 / Revised: 17 October 2022 / Accepted: 21 October 2022 / Published: 7 November 2022
(This article belongs to the Special Issue Ferroelectrics)

Abstract

Hole polarons and defect-bound exciton polarons in lithium niobate are investigated by means of density-functional theory, where the localization of the holes is achieved by applying the + U approach to the oxygen 2 p orbitals. We find three principal configurations of hole polarons: (i) self-trapped holes localized at displaced regular oxygen atoms and (ii) two other configurations bound to a lithium vacancy either at a threefold coordinated oxygen atom above or at a two-fold coordinated oxygen atom below the defect. The latter is the most stable and is in excellent quantitative agreement with measured g factors from electron paramagnetic resonance. Due to the absence of mid-gap states, none of these hole polarons can explain the broad optical absorption centered between 2.5 and 2.8 eV that is observed in transient absorption spectroscopy, but such states appear if a free electron polaron is trapped at the same lithium vacancy as the bound hole polaron, resulting in an exciton polaron. The dielectric function calculated by solving the Bethe–Salpeter equation indeed yields an optical peak at 2.6 eV in agreement with the two-photon experiments. The coexistence of hole and exciton polarons, which are simultaneously created in optical excitations, thus satisfactorily explains the reported experimental data.

Graphical Abstract

1. Introduction

The non-linear optical material lithium niobate (LiNbO 3 , LN) is used in numerous technological applications, such as waveguides [1], sensors [2], and modulators [3]. It is widely accepted that its optical properties are strongly influenced by polarons, quasiparticles consisting of a positive or negative charge carrier trapped at a local lattice distortion. Although many experimental [4,5,6,7,8] and theoretical [8,9,10,11,12,13,14,15,16] studies have focused on electron polarons, a recent review still affirmed that “the knowledge of hole polarons and their transitions is much more fragmentary, as only the absorption band of the bound hole polaron is known and almost nothing about the free hole polaron” [17]. This might in part be due to the difficulties in detecting the hole polarons in experiments [18] and to their suppression by iron, a common dopant element in LN [19]. In this work, we set out to fill this knowledge gap and report the first ab initio calculations of the microstructure of free and defect-bound hole polarons, as well as exciton polarons in LN.
Lithium niobate for technological purposes and device fabrication is typically grown using the Czochralsky method, resulting in a congruent material with a Li:Nb ratio of around 48.5 : 51.5 [20]. This Li deficiency can be explained with various defect-structure models [21]. Generally favored is the Nb Li antisite model, where a Li + ion is substituted by a Nb 5 + ion and charge compensated by four V Li lithium vacancies [22].
Although the antisite Nb Li 5 + cation helps to stabilize electron polarons [7], hole polarons (HP) are believed to form near the negatively charged lithium vacancies. Early electron paramagnetic resonance (EPR) measurements indeed indicated that the hole polaron is located at an oxygen atom, presumably next to a lithium vacancy [23]. Although a final conclusion is yet to be drawn [24], later experimental investigations of the non-linear optical properties support this picture [25]. However, the precise form of the hole polaron remains unknown until now. Some studies [23] assume a localization at just one oxygen atom due to the symmetry breaking induced by the polaronic lattice distortion, while others point out that similar materials, such as BaTiO 3 , are known to exhibit hole polarons extending over two neighboring oxygen atoms [24]. The band structure also appears to be unknown, although theoretical considerations estimate the energy level of the hole polaron around 0.9 eV above the valence-band edge, based on the energy difference between measured values of the band gap, the electron polaron, and the photoluminescence energy [26].
Hole polarons can further combine with electron polarons to form excitons. In flexible networks such as LN, this quasiparticle can be effectively stabilized just by the local lattice distortion and is then called a self-trapped exciton. Recent studies indicate that excitons in LN created by illumination [27,28] are stable over a wide temperature range from 15 to 400 K [29]. Like the hole polarons, they are hence most likely pinned to a defect, such as a V Li vacancy or an Fe Li impurity [29,30,31]. In the simplest picture, the hole is located at a single oxygen atom and the electron at a niobium atom right next to it [29], but there are indications that the two charges might separate to some extent [30]. Furthermore, optical absorption measurements observe peaks centered between 2.5 and 2.8 eV, which are attributed either to hole polarons [32,33] or to exciton polarons [29,31], with no final resolution so far.
The open questions listed above clearly underline how little is presently still known about hole and exciton polarons in LN. In this work, we aim to shed some light on these issues by performing first-principles calculations based on density-functional theory for both polaron types. We organize our article as follows. After a presentation of the computational methods used for our simulations in Section 2, we start by discussing hole polarons in Section 3 and analyze the charge densities, relative stability, and EPR signatures of different structure models. The latter, especially the g tensors, allow a direct comparison with experiments and the identification of a defect-trapped hole bound in a specific way to a V Li vacancy. In Section 4, we then present our results for exciton polarons, where a direct comparison with experiments is possible via the calculated optical absorption spectrum. Finally, we summarize our conclusions in Section 5.

2. Computational Methods

Lithium niobate crystallizes in a rhombohedral unit cell with 10 atoms, equivalent to two formula units. In line with previous theoretical studies of point defects and electron polarons in LN [12,13,34], we use a 2 × 2 × 2 ( 3 × 3 × 3 ) supercell containing 80 (270) atoms for all models of the hole polaron (exciton polaron). The lattice parameters are taken from experiment [35]. After inserting a negatively charged lithium vacancy V Li , a full internal structural relaxation is carried out using Quantum Espresso [36,37], a plane-wave implementation of density-functional theory (DFT) in combination with norm-conserving pseudopotentials. The 2 s orbitals of lithium, the 2 s and 2 p orbitals of oxygen, and the 4 s , 4 p , 4 d , and 5 s orbitals of niobium are explicitly treated as valence states.
For the exchange and correlation energy, we choose the PBEsol functional [38], which predicts lattice parameters in very good agreement with experimental data for bulk LN [39]. To properly describe the localization of the polaronic charges, on the other hand, Hubbard U parameters must be applied to the Nb atoms, as well as the O atoms. In the case of niobium, we follow the procedure already established in Refs. [14,15], where a value of 4.7 eV was self-consistently determined according to [40] from the linear response function for defect-free stoichiometric lithium niobate (SLN) and applied to the 4 d orbitals of all Nb atoms. Although this is sufficient to describe electron polarons, the treatment of hole polarons in this work requires a DFT + U approach also at the O atoms, where the positive charge carriers are trapped. Compared to the Nb 4 d orbitals, which dominate the valence-band maximum, the self-consistent determination of the corresponding U parameters for the O 2 p orbitals is much more involved. They cannot be obtained from a straightforward band-edge analysis of SLN but instead require an explicit analysis of defect levels with a dominant O 2 p contribution. The dangling bonds of the oxygen atoms next to the lithium vacancy seem an obvious and natural choice, but as V Li has a negative charge state with only completely occupied defect levels, these cannot be used to characterize the required singly occupied O 2 p states. Therefore, we select the polaronic defect (hole) levels considered in this work instead. For a practical procedure, we localize them inside the band gap by applying a reasonable structural deformation and optimize the U parameter together with the lattice structure in a self-consistent cycle. In this way, we determine a value of U = 9.4 eV for the singly occupied p-like orbital of the hole polaron at oxygen atoms with threefold coordination, whereas we find a considerably higher value of 12.6 eV for the fully occupied dangling-bond orbitals of the twofold coordinated oxygen atoms next to the lithium vacancy. The U parameter for all other O atoms is empirically set to an intermediate value of 11.0 eV, so that the fundamental electronic band gap of ideal SLN assumes a realistic value of about 5.3 eV [41].
We employ a cut-off of 85 Ry for the kinetic energy in the plane-wave basis set, while convergence thresholds of 10 8 Ry and 10 4 Ry/Bohr are used for the energies and forces during the structural relaxation, respectively. The discrete k -point set for Brillouin-zone integrations is chosen as a shifted 2 × 2 × 2 Monkhorst–Pack mesh for all calculations in the 80-atom supercell, which was found to guarantee sufficient convergence in studies of electron polarons [14,15] and is equivalent to the 4 × 4 × 4 sampling of the larger Brillouin zone corresponding to the primitive 10-atom unit cell used in earlier theoretical calculations for ideal SLN [39,42,43]. For the larger 270-atom supercell, the k -point set is further reduced to the single point ( 1 4 , 1 4 , 1 4 ), which plausibly approximates the location of the mean value inside the Brillouin zone and maintains a similar density of k points as for the smaller supercell. The matrix elements of the electronic g tensor are derived using the gauge-including projector-augmented-wave method [37,44,45,46], which we apply to hole polarons in the fully relaxed 80-atom supercell. To ensure a high numerical accuracy, we use a denser 4 × 4 × 4 Monkhorst–Pack k -point set in this case.
To study the linear optical response, we compute the frequency-dependent dielectric function with the Yambo program package [47] by solving the Bethe–Salpeter equation (BSE) within the well-established G 0 W 0 +BSE scheme, which we already applied successfully to electron polarons in Refs. [14,15]. It includes quasiparticle shifts due to the electronic self-energy, as well as the electron-hole attraction explicitly and is regarded as the most accurate first-principles method for linear optical spectra, but its high computational cost means that calculations are limited to the 80-atom supercell in this work. For this purpose, defect complexes from the larger supercell are transferred with a subsequent reoptimization. As a first step, the energy eigenvalues and wavefunctions in the independent-particle approximation are derived for the fully relaxed structures described above, but with a reduced + U scheme for the electronic structure where the U parameters are only applied to the Nb atoms, so that the fundamental band gap is initially underestimated. The full k -dependent band structure must be included in order to capture all possible electronic transitions inside the Brillouin zone. To widen the band gap, quasiparticle shifts obtained from the G 0 W 0 approximation [48] are then added. We use 800 bands for the construction of the self-energy, of which 255 are valence bands, 543 are conduction bands, and 2 are defect bands, namely the unoccupied hole-polaron band and the occupied electron-polaron band that make up the exciton. The block size of the screening function is set to 7 Ry and the broadening to 0.15 eV. In order to limit the numerical expense associated with the solution of the Bethe–Salpeter equation [49], the number of bands is reduced to 95 valence and 84 conduction bands contributing to the screening function in the BSE kernel, and we use 35 (44) one-particle states per k point for the propagator of holes (electrons). The plasmon-pole approximation [50] is employed in this step, and the broadening is again set to 0.15 eV.

3. Hole Polarons

In this section, we investigate different structure models for hole polarons in LN. We analyze the local lattice distortion together with the spatial distribution of the trapped charge and then compare their relative stabilities and the components of the calculated g tensors in relation to experimental data from electron paramagnetic resonance.

3.1. Charge Localization and Stability

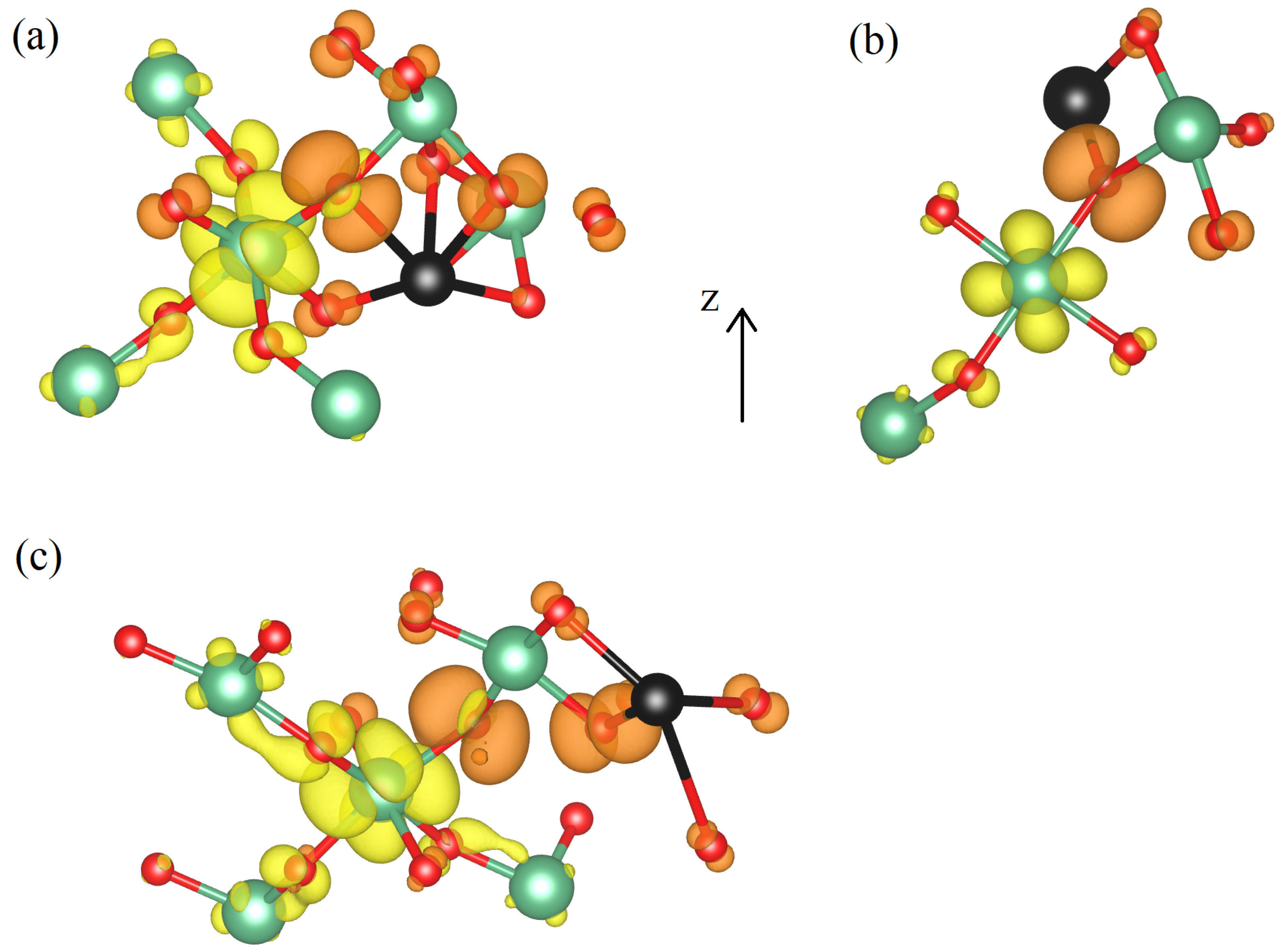
As discussed above, hole polarons in LN can arise either by means of a local lattice distortion around a single oxygen atom of the regular crystal lattice, forming a self-trapped hole, or in connection with a lithium vacancy, giving rise to a defect-trapped hole. In our simulations, the latter is modeled by creating a negatively charged lithium vacancy V Li inside the 80-atom supercell, disturbing the oxygen sublattice in order to break unwanted symmetry constraints, removing one electron, and performing a full internal relaxation. Most studies from the literature assume the hole polaron in direct proximity to a lithium vacancy, most likely at one of the six oxygen atoms forming an octahedron around the lithium site [23,25,30]. Due to the threefold rotational symmetry of LN, the three oxygen atoms in the layer above the vacancy are equivalent, as are those below, so that only two possible configurations must be distinguished: the hole polaron above the vacancy, which we call HP-a in the following, is depicted in Figure 1a. The partial charge density, which equals the depletion of the electronic charge relative to a polaron-free crystal, shows a typical p-like dumbbell shape whose axis points towards the vacancy. The oxygen atom hosting the polaron is threefold coordinated in this case owing to the niobium atom in the adjacent octahedron. In contrast, the oxygen atoms below the vacancy border on an empty octahedron. As a consequence, they are two-fold coordinated after the removal of the lithium atom and develop a textbook-like dangling bond. Despite the strong difference in coordination, we find that the corresponding hole polaron, which we call HP-b (below), has a similar dumbbell shape as illustrated in Figure 1b. However, its orientation at an angle of 137.4 with respect to the crystal z axis is notably different from its HP-a counterpart, which forms an angle of 39.7 .
For both configurations, the lithium vacancy V Li is essential to accomplish the initial charge localization. The optimized HP-a structure can be used as a starting point for another relaxation after the vacancy has again been filled with a lithium atom. The existing distortion of the lattice suffices to stabilize a hole polaron even in the absence of a vacancy, resulting in a self-trapped hole. The spatial distribution of the polaronic charge, shown in Figure 1c, closely resembles the HP-a, and its orientation at an angle of 40.5 with respect to the crystal z axis is also very similar. Furthermore, the positively charged Li + cation moves into the oxygen octahedron below its original crystallographic position in order to evade the positive charge of the hole polaron. The high mobility of lithium is a consequence of its small mass. In fact, a similar displacement was also reported for electron polarons in LN [14]. This evasion mechanism is blocked for a possible self-trapped hole starting from the HP-b by the Nb atom in the neighboring octahedron above, however, so that this configuration cannot be realized. As a consequence, there is only one possible configuration for a self-trapped hole, which can be regarded as the counterpart of the free-electron polaron [14,15,16] and is, hence, also called free-hole polaron by some authors [17]. We note that the application of Hubbard U parameters to the O 2 p orbitals is crucial to stabilize all-hole polarons, the self-trapped hole, as well as both variants of the defect-trapped hole, in our simulations. Without the + U approach for the oxygen sublattice, which hosts the hole polarons, the structures relax back, and the additional hole fails to localize and spreads over the entire crystal instead.
The binding energy between the hole polaron and the lithium vacancy can be determined by comparing the total energy of the electrically neutral defect-bound hole polaron with that of two well separated defects, a negatively charged lithium vacancy V Li and a positively charged self-trapped hole. In this way, we find that defect-trapped holes are slightly more stable than isolated pairs of lithium vacancies and self-trapped holes. The energy gain is 0.07 eV for the HP-a and 0.19 eV for the HP-b. Although the overall energy differences are small, our results suggest that the HP-b is the favored configuration.
For electron polarons in LN, it is long established that two single polarons can combine to a bipolaron, where the two excess electrons form a bond between two neighboring niobium atoms, similar to a hydrogen molecule [7]. This configuration has a lower energy than two separated polarons because of the negative-U effect [12]. The situation is different for hole polarons, however. In our simulations, the introduction of a second hole and a subsequent relaxation of the lattice structure do not lead to a combined defect but always to two well separated hole polarons, the original single hole polaron and one distant self-trapped hole, rendering “hole bipolarons” clearly improbable.

3.2. Electron Paramagnetic Resonance

The charge densities of the different hole polarons in Figure 1 show distinct spatial orientations, which should be reflected in their EPR signatures. In contrast to Nb-localized electron polarons [14], hyperfine splittings are not helpful in this case, however: as the hole polarons are predominantly localized at oxygen atoms and the only stable oxygen isotope with a non-zero nuclear spin, 17 O, has an almost vanishing natural abundance, no hyperfine splitting could be resolved in experimental measurements. Therefore, we calculate the elements of the electronic g tensor instead. The principal values are listed in Table 1, where we also compare the projections onto the directions perpendicular ( g ) and parallel ( g ) to the crystal z axis with the available experimental data [23].
Strikingly, the sign of the anisotropy varies: Although g is larger than g for the HP-b, the situation is opposite for the other two configurations. Furthermore, the g tensors of the defect-bound HP-a and the self-trapped hole are very similar. This is in agreement with the spatial distribution of the holes shown in Figure 1a,c, which are almost identical. Evidently, the bonding to the vacancy does not alter the degree of orbital quenching, which contradicts some speculations in Ref. [23], where a much larger deviation from the free-electron value g e = 2.002329 was expected for the self-trapped hole.
When comparing the calculated g values to the experimental measurements in Table 1, we find that only the energetically favorable HP-b matches the reported data: it not only exhibits the correct sign of the anisotropy, but the absolute values of the projections g and g onto the crystal axes are also in excellent quantitative agreement. This reinforces our conclusion that the HP-b is the actual physical configuration and responsible for the dominant contribution to the hole-like spectra observed in the EPR experiments [23].

4. Exciton Polarons

The optical resonance between 2.5 and 2.8 eV is experimentally observed by transient absorption spectroscopy, a two-photon process where a polaron population is created by an initial pump pulse, which excites electrons from impurity traps, as well as the valence band, and the absorption is then measured with a subsequent probe pulse while the sample is still in the excited state [29,31,32,33]. Although some electron and hole polarons eventually recombine directly, others form long-lived self-trapped excitons [29]. As a consequence, hole polarons and exciton polarons coexist under the experimental conditions, but only the former contribute to the EPR signal, because exciton polarons feature an even number of electrons and are, hence, EPR silent. This explains the very good agreement between the measured g factors and the calculated values for hole polarons in Section 3.2. On the other hand, according to our DFT + U calculations, none of the hole-polaron types examined above exhibit a defect level near the center of the band gap, which is required for optical absorption in the blue-green spectral range; instead, the lowest unoccupied defect state is always located very close to or even inside the conduction bands. Complementary to the EPR signal, it is then perfectly plausible that the detected optical peak might originate entirely from self-trapped excitons. In this section, we hence examine the positions of the defect levels and the optical absorption spectrum of exciton polarons (EP).

4.1. Excitonic Structures and Charge Density

To find the physically correct form of self-trapped excitons in LN, it appears reasonable to start from the most stable defect-bound hole polarons and add an electron in the minority spin channel, which we take as the spin-down direction. This procedure is inspired by the recombination path in actual optically excited samples [29] and in accordance with the assumption that electrons are generally more mobile than holes, so that exciton formation is mainly expected near existing lithium vacancies where defect-trapped holes are localized, as discussed in the previous section. After another full internal relaxation, we obtain the configuration shown in Figure 2a when starting from the HP-a and the configuration shown in Figure 2b when starting from the HP-b, which we label as EP-a and EP-b, respectively. As we will demonstrate below, these excited defect states can indeed explain the observed absorption peak in the optical spectrum. The charge distribution of the hole, indicated by orange clouds in the figures, is very similar to the underlying defect-bound hole polaron illustrated in Figure 1a,b. The partial charge density of the extra electron is indicated by a yellow cloud. In both configurations, it is localized at a niobium atom next to the oxygen atom where the hole resides. The characteristic clover-leave shape is well known from free electron polarons [14,15,16] and nicely reflects the electron-like character of this part of the exciton, which, as a whole, is bound to the lithium vacancy, indicated by the black balls in Figure 2.
We note that the two configurations EP-a and EP-b can also be obtained directly by starting from a V Li vacancy and exciting one electron from the highest valence band into the lowest conduction band in the minority spin channel. Depending on the initial perturbation of the oxygen and niobium sublattices and on the path of the subsequent structural relaxation, the hole and the electron part of the excitation may thereby settle at separate atoms. For the desired final state, the localization of the extra electron at a Nb atom requires an elongated Nb–O bond, while the localization of the hole at a twofold coordinated dangling-bond O atom requires an increased deflection of the respective Nb–O–Nb binding angle. From a comparison with the bare lithium vacancy and with single electron and hole polarons, we deduce an exciton excitation energy of about 1.8 eV for both the EP-a and the EP-b, as well as quite large binding energies of about 0.4 eV against electron abstraction, i.e., the dissociation into a free electron polaron and a defect-trapped hole at the lithium vacancy.
In passing, we note that other, more extended exciton–polaron configurations may also be obtained, which vary in the relative spatial arrangement of the three constituents. According to our DFT + U calculations, most of these do not exhibit well localized charges and positive binding energies with respect to both electron and lithium-vacancy abstraction, however. As structures with delocalized charges tend to dissociate, they are not considered further here.
One of the additional extended but still localized configurations, which we label as EP-d (distant), is illustrated in Figure 2c. Compared to the most stable configurations EP-a and EP-b, its energy is 0.1 eV higher, but it still has a considerable binding energy of about 0.3 eV against electron abstraction. The stability of this particular configuration can be explained by a collective displacement of the electron and hole charges to a Nb–O unit slightly more distant from the lithium vacancy, although part of the hole charge remains at the dangling-bond oxygen atom next to the vacancy. The larger Nb–O distance of 2.06 Å instead of 1.98 Å in ideal SLN facilitates the trapping of the electron at the Nb atom, while the larger deflection of the Nb–O–Nb binding angle of 143.7 instead of 155.9 near V Li stabilizes the hole at the oxygen dangling-bond atom in this case. For the sake of completeness, we mention that, in contrast to the HP-a/b and EP-b, the configurations EP-a and, in particular, EP-d can also be stabilized without applying Hubbard U parameters to the oxygen sublattice.

4.2. Defect Levels

The formation and binding energies estimated from total-energy differences in Section 4.1 refer to the creation of polarons and, hence, to a combination of an electronic excitation and a local distortion of the crystal structure. In contrast, optical absorption is a purely electronic process, although energy and momentum may subsequently be transferred to lattice vibrations when the excited charge carriers relax. The defect levels involved in the optical excitation must be obtained from a band-structure calculation. The electronic band structure of defect-free stoichiometric LN and the associated density of states are extensively discussed in the literature [41,42,43,51,52] and need not be repeated here. We focus instead on the positions of the one-particle levels inside the fundamental band gap, derived within DFT + U (with U exclusively at the niobium atoms) for the 3 × 3 × 3 supercell containing the defect-bound exciton polaron. As the defect bands belong to localized states, their dispersion is moderate, if realistic defect densities of about 10 26 / m 3 [33], equivalent to about 1% of the lithium sites, are assumed, and may, thus, be ignored. For practical purposes, we take the eigenvalue at the k point ( 1 4 , 1 4 , 1 4 ) as the position of the defect level. In Figure 3, we compare our numerical results for SLN and the different EP types discussed in Section 4.1. It should be noted that the occupation numbers do not follow an equilibrium distribution, where the states are filled from the bottom, because the pump pulse already lifts the sample into an excited initial state with a finite polaron population before the optical absorption is probed in transient absorption spectroscopy. For exciton polarons, this means that one electron is excited to a higher one-particle state, leaving a hole in an unoccupied state at lower energy behind.
Although the absolute value of the band gap is underestimated in density-functional theory, our calculations confirm that all EP configurations feature two defect levels inside the band gap in the spin-down channel. The upper state, which is occupied by the excited electron and indicated in yellow, is almost identical for all EP configurations: it lies 2.20 eV above the valence-band maximum and 1.23 eV below the conduction-band minimum for the EP-a. For the EP-b (EP-d), the distances from the band edges are 2.13 eV and 1.30 eV ( 2.22 eV and 1.27 eV). In contrast, we find that the unoccupied lower state, indicated in orange color, deviates notably between the configurations: it lies 0.46 eV ( 0.39 eV) above the valence-band maximum for the EP-a (EP-b) but has a much lower position only 0.08 eV above the valence bands for the EP-d. This discrepancy is not surprising, given that the partial charge densities of the hole associated with this band were already shown to differ significantly in Figure 2. For the partial charge densities of the excited electron, this is not the case: although the position and orientation with respect to the lithium vacancy vary somewhat between the three configurations, the shape and degree of localization of the electron charge densities are almost identical.
We emphasize that the occurrence of defect levels inside the band gap is directly caused by the lattice deformation during the polaron formation. If the electron–hole pair recombines and the local lattice deformation relaxes, then the newly occupied lower level and the emptied upper level merge into the valence and conduction bands, respectively. As a consequence, the bare lithium vacancy V Li has no defect states inside the fundamental band gap, and its energy diagram is identical to that of SLN in the left panel of Figure 3.

4.3. Linear Optical Spectra

In contrast to the hole polarons examined in Section 3, all of the exciton-polaron types considered here feature defect states around the middle of the band gap, which makes them valid candidates for explaining the observed optical spectra. The numerical results shown in Figure 3 cannot be directly related to the measured absorption spectrum, however, because density-functional theory substantially underestimates the fundamental band gap, so that the intervals between the band edges and defect levels inside the band gap are most likely inaccurate. Furthermore, it is well known that large excitonic effects resulting from the electron-hole attraction contribute decisively to the energetic position of the optical absorption in LN [53]. For a proper quantitative comparison with experiments, it is hence essential to calculate the actual optical absorption spectrum beyond the level of DFT.
In line with the experimental conditions in transient absorption spectroscopy [29,31,32,33], we assume a two-photon process with an initial creation of defect-bound exciton polarons followed by optical absorption in the excited state. As for the different configurations, our results in Section 4.1 showed that the EP-d have a higher formation energy and lower binding energy than the EP-a and EP-b. They are, hence, likely to either dissociate or transform to one of the more stable variants and will not generate a dominant population. As a consequence, we disregard the EP-d in the following. Furthermore, as the defect levels of the EP-a and the EP-b are almost identical according to Figure 3, we decide to only examine the former explicitly in this work, to obtain a first answer whether exciton polarons are at all compatible with the observed absorption peak. As a technical advantage, this allows us to follow the strategy established in Refs. [14,15,16] and employ a reduced DFT + U scheme where the U parameters are exclusively applied to the niobium atoms, so that the results do not depend on the choice of U values at the oxygen atoms, where the hole is localized. Due to its compact structure, the EP-a also fits well into the 2 × 2 × 2 supercell used for optical-response calculations in this section.
In Figure 4, we show our results for the real and imaginary part of the dielectric function calculated at three levels of theory. For the independent-particle approximation (IPA, green), we follow the strategy already employed for the investigation of electron polarons in LN and described in detail in Refs. [14,15]. The IPA uses the orbitals and eigenvalues determined at a single-particle level, in our case the DFT + U scheme, where the U parameters are restricted to the niobium sublattice. It still suffers from the well-known systematic underestimation of the electronic band gap in DFT. By widening the band gap with quasiparticle shifts from a G 0 W 0 calculation, we obtain the independent-quasiparticle approximation (IQA, blue). Compared to the IPA, this leads to a considerable blueshift, as expected from the larger band gap. The reduced spectral weight compared to the IPA reflects the fact that the oscillator strengths must decrease when shifted to higher energies in order to fulfill the f-sum rule [54]. By solving the Bethe–Salpeter equation, additional excitonic and local-field effects are accounted for (BSE, red), which slightly redshift the spectrum again, placing it between the IPA and the IQA. This general behavior is in accordance with previous theoretical studies of defects and polarons in LN [14,15,53], where the most sophisticated G 0 W 0 +BSE approach is expected to provide good agreement with experimental spectra. The dielectric function is displayed as numerically calculated; no rescaling is performed in this case, because the individual peaks have no direct connection to single-particle transitions with known oscillator strengths in the IPA. The low spectral weight is an artifact of the relatively small number of bands included in this step, which misses transitions at high photon energies. The exciton peak inside the band gap, which is of principal interest here, is not affected, however.
The fact that the real part of the dielectric function in Figure 4 exhibits no zeroes at low photon energies signals that any features inside the fundamental band gap are not due to collective plasmon excitations but exclusively to interband transitions. The imaginary part corresponds to the optical absorption spectrum. Indeed, a defect-induced optical peak at 2.6 eV obtained at the BSE level for electron transitions to the conduction bands, marked by the filled red arrow in Figure 4, is in good agreement with the 2.5 to 2.8 eV measured in experimental studies [29,31,32,33]. The energetically nearly degenerate EP-b configuration is expected to yield a very similar absorption energy, judging from the defect-level diagrams in Figure 3. The remaining small discrepancies with respect to the experiments are to some extent expected due to the various approximations made in the process, such as the small simulation cell, the limited number of k points and bands, and the neglect of thermal effects on the electronic structure. Following this initial study, further calculations with an efficient combination of, e.g., hybrid functionals and the BSE approach are, hence, desirable.

5. Conclusions

In this work, we employed the DFT + U scheme to investigate hole and exciton polarons in LN. Three main configurations of hole polaron were considered. Self-trapped holes are localized at regular oxygen atoms away from point defects, accompanied by a local lattice distortion, while the other two configurations, HP-a and HP-b, are bound to a lithium vacancy at an oxygen atom either above (threefold coordinated) or below (twofold coordinated) the empty lithium site. From a comparison of the total energies, we find that the defect-trapped holes have small but relevant binding energies. In the most stable configuration, HP-b, the hole resides at one of the three twofold coordinated oxygen atoms with dangling bonds below the vacancy. It not only explains the experimentally observed anisotropy in the g tensor, but is also in excellent quantitative agreement with the measured g values parallel and perpendicular to the crystal z axis. On this basis, it can now be confirmed as the origin of the spectra reported in early electron paramagnetic resonance studies [23]. Our results further support the existence of self-trapped holes, i.e., free hole polarons, in LN, although their energy is higher than that of the defect-trapped configurations, suggesting that they will eventually become pinned at lithium vacancies during the de-excitation process.
As none of the hole polarons feature a mid-gap state, they cannot explain the optical absorption peak between 2.5 and 2.8 eV observed in two-photon experiments [29,31,32,33], however. For this reason, we also studied defect-bound exciton polarons, which can be interpreted as a bound pair of a hole polaron and an electron polaron. There are many possible combinations of a lithium vacancy, a hole polaron, and an electron polaron, but, again, we find that compact nearest-neighbor configurations are most stable. Starting from the defect-bound HP-a or HP-b configuration, the extra electron localizes close to the oxygen atom hosting the hole polaron. In the most stable configurations, the three constituents form either a triangle (EP-a) or a straight line (EP-b). More extended configurations are also possible, in principle, but have a much smaller binding energy. All types of defect-bound exciton polarons exhibit a similar electronic structure. The highest occupied defect level lies close to the center of the band gap, which makes these exciton polarons valid candidates for explaining the optical absorption reported in the literature. In fact, a first quantitative calculation of the dielectric function that includes both quasiparticle and electron-hole attraction effects by solving the Bethe–Salpeter equation for the EP-a predicts an optical peak at 2.6 eV. It can thus explain or at least contribute to the absorption bands between 2.5 and 2.8 eV observed in two-photon experiments.
In conclusion, we have thus shown that lithium vacancies, although electronically inactive, are instrumental in stabilizing hole and exciton polarons, and that the coexistence of hole and exciton polarons, which are simultaneously created in optical excitations [29], can satisfactorily explain both the observed EPR signal and the optical absorption peak. Our findings underscore once again that tailoring the optical properties of LN requires, first of all, a better microscopic understanding of the role of defects in the material, not least of the hitherto often overlooked lithium vacancies.

Author Contributions

Conceptualization, A.S. and W.G.S.; methodology, U.G. and W.G.S.; software, A.L.K. and U.G.; validation, U.G., A.S. and W.G.S.; formal analysis, F.S., A.L.K. and U.G.; investigation, F.S., A.L.K. and U.G.; resources, W.G.S.; data curation, U.G.; writing–original draft preparation, F.S. and U.G.; writing–review and editing, A.S., A.L.K., U.G. and W.G.S.; visualization, F.S. and A.L.K.; supervision, A.S.; project administration, A.S. and W.G.S.; funding acquisition, W.G.S., U.G. and A.S. All authors have read and agreed to the published version of the manuscript.

Funding

This research was funded by the Deutsche Forschungsgemeinschaft (DFG) via Sonderforschungsbereich TRR 142/3-2022, Project No. 231447078.

Data Availability Statement

The data presented in this study are available within the article.

Acknowledgments

Computational resources were provided by the Paderborn Centre for Parallel Computing (PC 2 ) and the Höchstleistungs-Rechenzentrum Stuttgart (HLRS).

Conflicts of Interest

The authors declare no conflict of interest. The funders had no role in the design of the study; in the collection, analyses, or interpretation of data; in the writing of the manuscript, or in the decision to publish the results.

Abbreviations

The following abbreviations are used in this manuscript:
BSEBethe–Salpeter equation
DFTDensity-functional theory
EPExciton polaron
EPRElectron paramagnetic resonance
HPHole polaron
IPAIndependent-particle approximation
IQAIndependent-quasiparticle approximation
LNLithium niobate
PBEsolPerdew–Burke–Ernzerhof for solids
SLNStoichiometric lithium niobate

References

  1. Yin, S. Lithium niobate fibers and waveguides: Fabrications and applications. Proc. IEEE 1999, 87, 1962–1974. [Google Scholar] [CrossRef]
  2. Zaltron, A.; Bettella, G.; Pozza, G.; Zamboni, R.; Ciampolillo, M.; Argiolas, N.; Sada, C.; Kroesen, S.; Esseling, M.; Denz, C. Integrated optics on lithium niobate for sensing applications. Proc. SPIE 2015, 9506, 950608. [Google Scholar] [CrossRef]
  3. Binh, L.N. Lithium niobate optical modulators: Devices and applications. J. Cryst. Growth 2006, 288, 180–187. [Google Scholar] [CrossRef]
  4. Sweeney, K.L.; Halliburton, L.E. Oxygen vacancies in lithium niobate. Appl. Phys. Lett. 1983, 43, 336–338. [Google Scholar] [CrossRef]
  5. Koppitz, J.; Schirmer, O.F.; Kuznetsov, A.I. Thermal dissociation of bipolarons in reduced undoped LiNbO3. EPL 1987, 4, 1055–1059. [Google Scholar] [CrossRef]
  6. Faust, B.; Müller, H.; Schirmer, O.F. Free small polarons in LiNbO3. Ferroelectrics 1994, 153, 297–302. [Google Scholar] [CrossRef]
  7. Schirmer, O.F.; Imlau, M.; Merschjann, C.; Schoke, B. Electron small polarons and bipolarons in LiNbO3. J. Phys. Condens. Matter 2009, 21, 123201. [Google Scholar] [CrossRef]
  8. Krampf, A.; Imlau, M.; Suhak, Y.; Fritze, H.; Sanna, S. Evaluation of similarities and differences of LiTaO3 and LiNbO3 based on high-T-conductivity, nonlinear optical fs-spectroscopy and ab initio modeling of polaronic structures. New J. Phys. 2021, 23, 033016. [Google Scholar] [CrossRef]
  9. Donnerberg, H.; Tomlinson, S.M.; Catlow, C.R.; Schirmer, O.F. Computer-simulation studies of intrinsic defects in LiNbO3 crystals. Phys. Rev. B 1989, 40, 11909–11916. [Google Scholar] [CrossRef]
  10. Li, Q.; Wang, B.; Woo, C.H.; Wang, H.; Wang, R. First-principles study on the formation energies of intrinsic defects in LiNbO3. J. Phys. Chem. Solids 2007, 68, 1336–1340. [Google Scholar] [CrossRef]
  11. Xu, H.; Lee, D.; He, J.; Sinnott, S.B.; Gopalan, V.; Dierolf, V.; Phillpot, S.R. Stability of intrinsic defects and defect clusters in LiNbO3 from density functional theory calculations. Phys. Rev. B 2008, 78, 174103. [Google Scholar] [CrossRef]
  12. Nahm, H.H.; Park, C.H. First-principles study of microscopic properties of the Nb antisite in LiNbO3: Comparison to phenomenological polaron theory. Phys. Rev. B 2008, 78, 184108. [Google Scholar] [CrossRef]
  13. Friedrich, M.; Schmidt, W.G.; Schindlmayr, A.; Sanna, S. Polaron optical absorption in congruent lithium niobate from time-dependent density-functional theory. Phys. Rev. Mater. 2017, 1, 054406. [Google Scholar] [CrossRef]
  14. Schmidt, F.; Kozub, A.L.; Biktagirov, T.; Eigner, C.; Silberhorn, C.; Schindlmayr, A.; Schmidt, W.G.; Gerstmann, U. Free and defect-bound (bi)polarons in LiNbO3: Atomic structure and spectroscopic signatures from ab initio calculations. Phys. Rev. Res. 2020, 2, 043002. [Google Scholar] [CrossRef]
  15. Schmidt, F.; Kozub, A.L.; Gerstmann, U.; Schmidt, W.G.; Schindlmayr, A. Electron polarons in lithium niobate: Charge localization, lattice deformation, and optical response. Crystals 2021, 11, 542. [Google Scholar] [CrossRef]
  16. Kozub, A.L.; Schindlmayr, A.; Gerstmann, U.; Schmidt, W.G. Polaronic enhancement of second-harmonic generation in lithium niobate. Phys. Rev. B 2021, 104, 174110. [Google Scholar] [CrossRef]
  17. Reichenbach, P.; Kämpfe, T.; Haußmann, A.; Thiessen, A.; Woike, T.; Steudtner, R.; Kocsor, L.; Szaller, Z.; Kovács, L.; Eng, L.M. Polaron-mediated luminescence in lithium niobate and lithium tantalate and its domain contrast. Crystals 2018, 8, 214. [Google Scholar] [CrossRef]
  18. Grigorjeva, L.; Pankratov, V.; Millers, D.; Corradi, G.; Polgar, K. Transient absorption and luminescence of LiNbO3 and KNbO3. Integr. Ferroelectr. 2001, 35, 137–149. [Google Scholar] [CrossRef]
  19. Vittadello, L.; Bazzan, M.; Messerschmidt, S.; Imlau, M. Small polaron hopping in Fe:LiNbO3 as a function of temperature and composition. Crystals 2018, 8, 294. [Google Scholar] [CrossRef]
  20. Volk, T.; Wöhlecke, M. Lithium Niobate; Springer: Berlin/Heidelberg, Germany, 2009. [Google Scholar] [CrossRef]
  21. Zotov, N.; Boysen, H.; Frey, F.; Metzger, T.; Born, E. Cation substitution models of congruent LiNbO3 investigated by x-ray and neutron powder diffraction. J. Phys. Chem. Solids 1994, 55, 145–152. [Google Scholar] [CrossRef]
  22. Lerner, P.; Legras, C.; Dumas, J.P. Stoechiométrie des monocristaux de métaniobate de lithium. J. Cryst. Growth 1968, 3–4, 231–235. [Google Scholar] [CrossRef]
  23. Schirmer, O.F.; von der Linde, D. Two-photon- and x-ray-induced Nb4+ and O small polarons in LiNbO3. Appl. Phys. Lett. 1978, 33, 35–38. [Google Scholar] [CrossRef]
  24. Schirmer, O.F. O bound small polarons in oxide materials. J. Phys. Condens. Matter 2006, 18, R667–R704. [Google Scholar] [CrossRef]
  25. Imlau, M.; Badorreck, H.; Merschjann, C. Optical nonlinearities of small polarons in lithium niobate. Appl. Phys. Rev. 2015, 2, 040606. [Google Scholar] [CrossRef]
  26. Kämpfe, T.; Haußmann, A.; Eng, L.M.; Reichenbach, P.; Thiessen, A.; Woike, T.; Steudtner, R. Time-resolved photoluminescence spectroscopy of Nb Nb 4 + and O polarons in LiNbO3 single crystals. Phys. Rev. B 2016, 93, 174116. [Google Scholar] [CrossRef]
  27. Conradi, D.; Merschjann, C.; Schoke, C.; Imlau, M.; Corradi, G.; Polgár, K. Influence of Mg doping on the behaviour of polaronic light-induced absorption in LiNbO3. Phys. Status Solidi RRL 2008, 2, 284–286. [Google Scholar] [CrossRef]
  28. Merschjann, C.; Schoke, B.; Imlau, M. Influence of chemical reduction on the particular number densities of light-induced small electron and hole polarons in nominally pure LiNbO3. Phys. Rev. B 2007, 76, 085114. [Google Scholar] [CrossRef]
  29. Messerschmidt, S.; Krampf, A.; Freytag, F.; Imlau, M.; Vittadello, L.; Bazzan, M.; Corradi, G. The role of self-trapped excitons in polaronic recombination processes in lithium niobate. J. Phys. Condens. Matter 2019, 31, 065701. [Google Scholar] [CrossRef]
  30. Freytag, F.; Booker, P.; Corradi, G.; Messerschmidt, S.; Krampf, A.; Imlau, M. Picosecond near-to-mid-infrared absorption of pulse-injected small polarons in magnesium doped lithium niobate. Opt. Mater. Express 2018, 8, 1505–1514. [Google Scholar] [CrossRef]
  31. Messerschmidt, S.; Bourdon, B.; Brinkmann, D.; Krampf, A.; Vittadello, L.; Imlau, M. Pulse-induced transient blue absorption related with long-lived excitonic states in iron-doped lithium niobate. Opt. Mater. Express 2019, 9, 2748–2760. [Google Scholar] [CrossRef]
  32. Matkovskii, A.; Potera, P.; Sugak, D.; Zhydachevskii, Y.; Pankratov, V.; Millers, D.; Grigorjeva, L.; Pracka, I.; Lukasiewicz, T. Transient and stable color centers in pure and Cu-doped LiNbO3. Cryst. Res. Technol. 2003, 38, 388–393. [Google Scholar] [CrossRef]
  33. Merschjann, C.; Schoke, B.; Conradi, D.; Imlau, M.; Corradi, G.; Polgár, K. Absorption cross sections and number densities of electron and hole polarons in congruently melting LiNbO3. J. Phys. Condens. Matter 2009, 21, 015906. [Google Scholar] [CrossRef]
  34. Friedrich, M.; Schmidt, W.G.; Schindlmayr, A.; Sanna, S. Optical properties of titanium-doped lithium niobate from time-dependent density-functional theory. Phys. Rev. Mater. 2017, 1, 034401. [Google Scholar] [CrossRef]
  35. Boysen, H.; Altorfer, F. A neutron powder investigation of the high-temperature structure and phase transition in LiNbO3. Acta Crystallogr. B 1994, 50, 405–414. [Google Scholar] [CrossRef]
  36. Giannozzi, P.; Baroni, S.; Bonini, N.; Calandra, M.; Car, R.; Cavazzoni, C.; Ceresoli, D.; Chiarotti, G.L.; Cococcioni, M.; Dabo, I.; et al. QUANTUM ESPRESSO: A modular and open-source software project for quantum simulations of materials. J. Phys. Condens. Matter 2009, 21, 395502. [Google Scholar] [CrossRef]
  37. Giannozzi, P.; Andreussi, O.; Brumme, T.; Bunau, O.; Buongiorno Nardelli, M.; Calandra, M.; Car, R.; Cavazzoni, C.; Ceresoli, D.; Cococcioni, M.; et al. Advanced capabilities for materials modelling with QUANTUM ESPRESSO. J. Phys. Condens. Matter 2017, 29, 465901. [Google Scholar] [CrossRef]
  38. Perdew, J.P.; Ruzsinszky, A.; Csonka, G.I.; Vydrov, O.A.; Scuseria, G.E.; Constantin, A.; Zhou, X.; Burke, K. Restoring the density-gradient expansion for exchange in solids and surfaces. Phys. Rev. Lett. 2008, 100, 136406. [Google Scholar] [CrossRef]
  39. Friedrich, M.; Riefer, A.; Sanna, S.; Schmidt, W.G.; Schindlmayr, A. Phonon dispersion and zero-point renormalization of LiNbO3 from density-functional perturbation theory. J. Phys. Condens. Matter 2015, 27, 385402. [Google Scholar] [CrossRef]
  40. Cococcioni, M.; de Gironcoli, S. Linear response approach to the calculation of the effective interaction parameters in the LDA+U method. Phys. Rev. B 2005, 71, 035105. [Google Scholar] [CrossRef]
  41. Riefer, A.; Friedrich, M.; Sanna, S.; Gerstmann, U.; Schindlmayr, A.; Schmidt, W.G. LiNbO3 electronic structure: Many-body interactions, spin-orbit coupling, and thermal effects. Phys. Rev. B 2016, 93, 075205. [Google Scholar] [CrossRef]
  42. Schmidt, W.G.; Albrecht, M.; Wippermann, S.; Blankenburg, S.; Rauls, E.; Fuchs, F.; Rödl, C.; Furthmüller, J.; Hermann, A. LiNbO3 ground- and excited-state properties from first-principles calculations. Phys. Rev. B 2008, 77, 035106. [Google Scholar] [CrossRef]
  43. Thierfelder, C.; Sanna, S.; Schindlmayr, A.; Schmidt, W.G. Do we know the band gap of lithium niobate? Phys. Status Solidi C 2010, 7, 362–365. [Google Scholar] [CrossRef]
  44. Pickard, C.J.; Mauri, F. All-electron magnetic response with pseudopotentials: NMR chemical shifts. Phys. Rev. B 2001, 63, 245101. [Google Scholar] [CrossRef]
  45. Pickard, C.J.; Mauri, F. First-principles theory of the EPR g tensor in solids: Defects in quartz. Phys. Rev. Lett. 2002, 88, 086403. [Google Scholar] [CrossRef] [PubMed]
  46. Ceresoli, D.; Gerstmann, U.; Seitsonen, A.P.; Mauri, F. First-principles theory of orbital magnetization. Phys. Rev. B 2010, 81, 060409. [Google Scholar] [CrossRef]
  47. Marini, A.; Hogan, C.; Grüning, M.; Varsano, D. Yambo: An ab initio tool for excited state calculations. Comput. Phys. Commun. 2009, 180, 1392–1403. [Google Scholar] [CrossRef]
  48. Hedin, L. New method for calculating the one-particle Green’s function with application to the electron-gas problem. Phys. Rev. 1965, 139, A796–A823. [Google Scholar] [CrossRef]
  49. Riefer, A.; Rohrmüller, M.; Landmann, M.; Sanna, S.; Rauls, E.; Vollmers, N.J.; Hölscher, R.; Witte, M.; Li, Y.; Gerstmann, U.; et al. Lithium niobate dielectric function and second-order polarizability tensor from massively parallel ab initio calculations. In High Performance Computing in Science and Engineering ‘13; Nagel, W., Kröner, D., Resch, M., Eds.; Springer: Cham, Switzerland, 2013; pp. 93–104. [Google Scholar] [CrossRef]
  50. Godby, R.W.; Needs, R.J. Metal-insulator transition in Kohn-Sham theory and quasiparticle theory. Phys. Rev. Lett. 1989, 62, 1169–1172. [Google Scholar] [CrossRef]
  51. Hossain, M.M. First-principles study on the structural, elastic, electronic and optical properties of LiNbO3. Heliyon 2019, 5, e01436. [Google Scholar] [CrossRef]
  52. Boukhtouta, M.; Megdoud, Y.; Benlamari, S.; Meradji, H.; Chouahda, Z.; Ahmed, R.; Ghemid, S.; Abu-Jafar, M.; Syrotyuk, S.; Rai, D.P.; et al. Predictions on structural, electronic, optical and thermal properties of lithium niobate via first-principle computations. Philos. Mag. 2020, 100, 1150–1171. [Google Scholar] [CrossRef]
  53. Riefer, A.; Sanna, S.; Schindlmayr, A.; Schmidt, W.G. Optical response of stoichiometric and congruent lithium niobate from first-principles calculations. Phys. Rev. B 2013, 87, 195208. [Google Scholar] [CrossRef]
  54. Del Sole, R.; Girlanda, R. Optical properties of semiconductors within the independent-quasiparticle approximation. Phys. Rev. B 2013, 48, 11789–11795. [Google Scholar] [CrossRef]
Figure 1. Partial charge densities of the defect(V Li )-bound hole polarons in two possible configurations, HP-a (a) and HP-b (b), as well as self-trapped holes (c). Blue, green, and red balls represent lithium, niobium, and oxygen atoms, respectively. Lithium vacancies (i.e., missing Li atoms) are indicated by black balls. The orange clouds show the local depletion of the electronic charge relative to a polaron-free crystal, which is interpreted as the hole polaron.
Figure 1. Partial charge densities of the defect(V Li )-bound hole polarons in two possible configurations, HP-a (a) and HP-b (b), as well as self-trapped holes (c). Blue, green, and red balls represent lithium, niobium, and oxygen atoms, respectively. Lithium vacancies (i.e., missing Li atoms) are indicated by black balls. The orange clouds show the local depletion of the electronic charge relative to a polaron-free crystal, which is interpreted as the hole polaron.
Crystals 12 01586 g001
Figure 2. Partial charge densities of the exciton-polaron configurations EP-a (a) and EP-b (b), which are derived from the defect-bound hole polarons HP-a and HP-b shown in Figure 1, together with an example of a more extended complex, denoted as EP-d (c). Green, red, and black balls represent niobium atoms, oxygen atoms, and lithium vacancies, respectively. The yellow (orange) clouds show the spatial distribution of the electron charge (hole charge).
Figure 2. Partial charge densities of the exciton-polaron configurations EP-a (a) and EP-b (b), which are derived from the defect-bound hole polarons HP-a and HP-b shown in Figure 1, together with an example of a more extended complex, denoted as EP-d (c). Green, red, and black balls represent niobium atoms, oxygen atoms, and lithium vacancies, respectively. The yellow (orange) clouds show the spatial distribution of the electron charge (hole charge).
Crystals 12 01586 g002
Figure 3. Positions of the one-particle defect levels obtained within DFT + U (U only at the Nb atoms) relative to the valence- and conduction-band edges for stoichiometric LN and different exciton-polaron configurations with fully relaxed lattice structures. The left half of each panel shows the spin-down channel, where the exciton is formed; the spin-up channel in the right half remains unaffected. The yellow and orange lines mark the energy levels of the occupied electron state and the unoccupied hole state, respectively. The numerical values in the central panel refer to the EP-a; for the EP-b, both defect levels are 0.07 eV lower as indicated by the dashed lines, leaving their mutual distance unaffected.
Figure 3. Positions of the one-particle defect levels obtained within DFT + U (U only at the Nb atoms) relative to the valence- and conduction-band edges for stoichiometric LN and different exciton-polaron configurations with fully relaxed lattice structures. The left half of each panel shows the spin-down channel, where the exciton is formed; the spin-up channel in the right half remains unaffected. The yellow and orange lines mark the energy levels of the occupied electron state and the unoccupied hole state, respectively. The numerical values in the central panel refer to the EP-a; for the EP-b, both defect levels are 0.07 eV lower as indicated by the dashed lines, leaving their mutual distance unaffected.
Crystals 12 01586 g003
Figure 4. Real and imaginary part of the dielectric function for the EP-a calculated in the 2 × 2 × 2 supercell at three levels of theory: The independent-particle approximation using DFT + U (IPA, green), the independent-quasiparticle approximation with quasiparticle shifts from the G 0 W 0 approximation (IQA, blue), and the Bethe–Salpeter equation that additionally includes excitonic and local-field effects (BSE, red). Filled arrows mark the position of the absorption peak associated with the electron transition from the occupied upper defect state to the conduction bands, hollow arrows correspond to the transition from the valence bands to the unoccupied lower defect state.
Figure 4. Real and imaginary part of the dielectric function for the EP-a calculated in the 2 × 2 × 2 supercell at three levels of theory: The independent-particle approximation using DFT + U (IPA, green), the independent-quasiparticle approximation with quasiparticle shifts from the G 0 W 0 approximation (IQA, blue), and the Bethe–Salpeter equation that additionally includes excitonic and local-field effects (BSE, red). Filled arrows mark the position of the absorption peak associated with the electron transition from the occupied upper defect state to the conduction bands, hollow arrows correspond to the transition from the valence bands to the unoccupied lower defect state.
Crystals 12 01586 g004
Table 1. Principal values of the calculated g tensor for self-trapped holes (STH) and the configurations HP-a and HP-b of defect-trapped holes, illustrated in Figure 1. The components perpendicular and parallel to the crystal z axis are compared to experimental values from Ref. [23].
Table 1. Principal values of the calculated g tensor for self-trapped holes (STH) and the configurations HP-a and HP-b of defect-trapped holes, illustrated in Figure 1. The components perpendicular and parallel to the crystal z axis are compared to experimental values from Ref. [23].
Polaron g 1 g 2 g 3 g g
STH 2.01043 2.02234 2.03016 2.02141 2.02012
HP-a 2.01001 2.02109 2.02940 2.02075 2.01901
HP-b 2.01102 2.01999 2.05231 2.02618 2.03096
Expt. [23]--- 2.025 2.030
Publisher’s Note: MDPI stays neutral with regard to jurisdictional claims in published maps and institutional affiliations.

Share and Cite

MDPI and ACS Style

Schmidt, F.; Kozub, A.L.; Gerstmann, U.; Schmidt, W.G.; Schindlmayr, A. A Density-Functional Theory Study of Hole and Defect-Bound Exciton Polarons in Lithium Niobate. Crystals 2022, 12, 1586. https://doi.org/10.3390/cryst12111586

AMA Style

Schmidt F, Kozub AL, Gerstmann U, Schmidt WG, Schindlmayr A. A Density-Functional Theory Study of Hole and Defect-Bound Exciton Polarons in Lithium Niobate. Crystals. 2022; 12(11):1586. https://doi.org/10.3390/cryst12111586

Chicago/Turabian Style

Schmidt, Falko, Agnieszka L. Kozub, Uwe Gerstmann, Wolf Gero Schmidt, and Arno Schindlmayr. 2022. "A Density-Functional Theory Study of Hole and Defect-Bound Exciton Polarons in Lithium Niobate" Crystals 12, no. 11: 1586. https://doi.org/10.3390/cryst12111586

APA Style

Schmidt, F., Kozub, A. L., Gerstmann, U., Schmidt, W. G., & Schindlmayr, A. (2022). A Density-Functional Theory Study of Hole and Defect-Bound Exciton Polarons in Lithium Niobate. Crystals, 12(11), 1586. https://doi.org/10.3390/cryst12111586

Note that from the first issue of 2016, this journal uses article numbers instead of page numbers. See further details here.

Article Metrics

Back to TopTop