The Effect of Aluminum Particle Size on the Formation of Reactive Jet
Abstract
:1. Introduction
2. X-ray Experiment
2.1. Experimental Composition
2.2. Experimental Results
2.2.1. The Morphology of Reactive Jets
2.2.2. Energy Release Behavior of Reactive Jet
2.2.3. The Damage Effect of Witness Target
3. The Numerical Simulation
3.1. Finite Element Model
3.2. Material Model
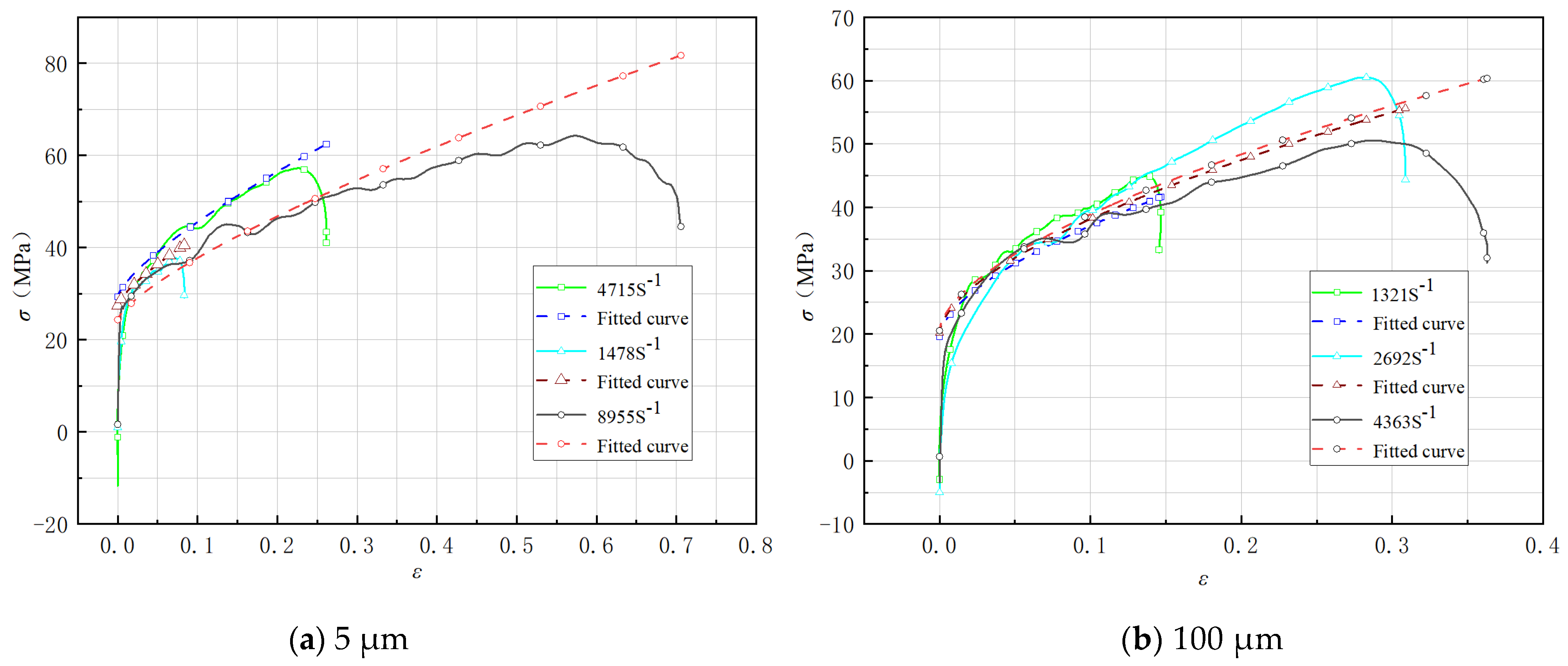
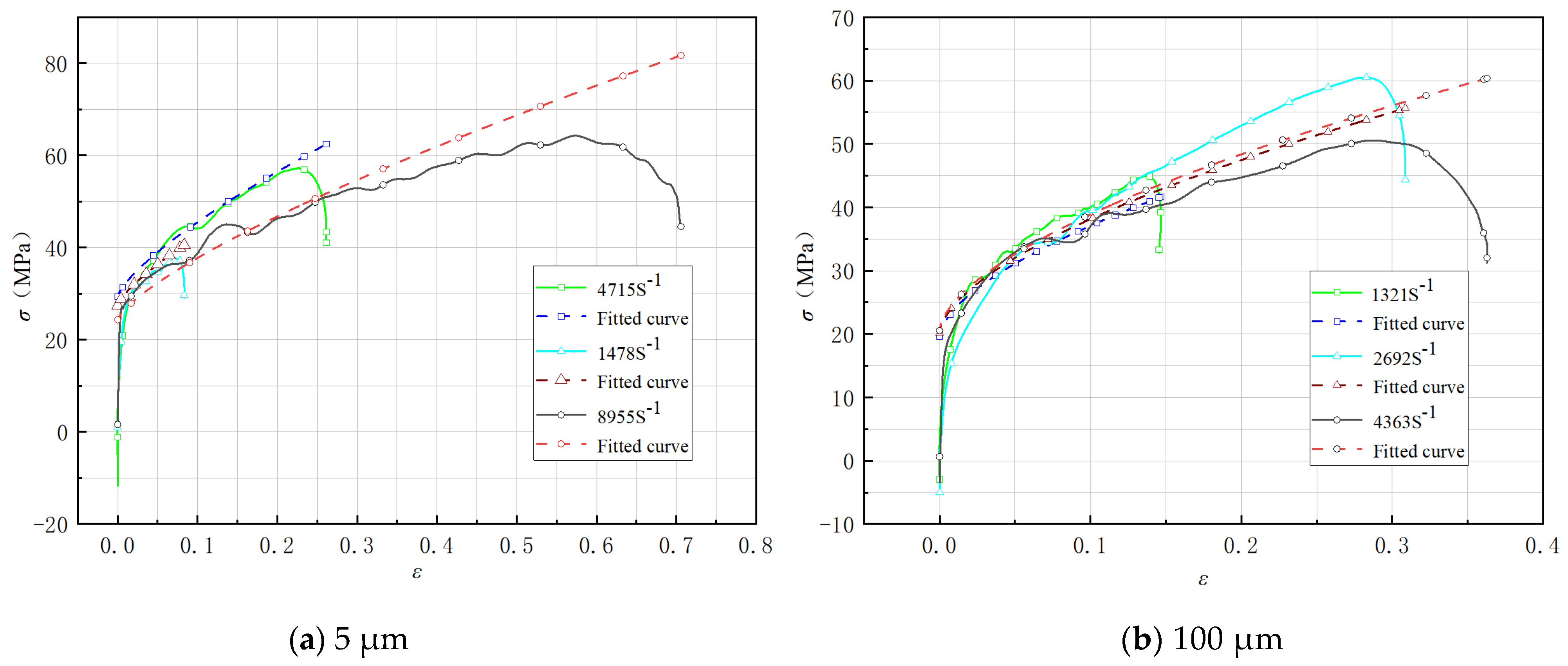
3.2.1. Constitutive Model
3.2.2. EOS Model
3.2.3. The Material Models of Explosive and Target Plates
4. Results and Discussion
4.1. The Morphology Reactive Shaped Charge Jets
4.2. Reaction Degree and Jet Velocity during the Jet Formation
5. Conclusions
- (1)
- The RMs reacted during the PTFE/Al reactive shaped charge jet formation, which can be divided into local reaction stage and overall reaction stage. In the local reaction stage, the reaction is relatively mild and mainly concentrated in the jet head. In the whole reaction stage, the RMs deflagrate violently, and the reaction mainly concentrates in the slug.
- (2)
- Secondary collision occurs in the inner layer of the liner during the jet formation, and the pressure generated by the secondary collision is higher than that given by the explosive. Therefore, the reaction of PTFE/Al reactive shaped charge jet is from inside to outside during the jet formation.
- (3)
- The effect of Al particle size on the mechanical properties and reaction rate of PTFE/Al RMs are the main reason for the formation of the difference during the jet formation. Compared with the 5 μm aluminum powder, the PTFE/Al reactive liner prepared with 100 μm aluminum powder reacted slowly and the morphology of jet is more condensed, which is conducive to generating greater penetration depth.
Author Contributions
Funding
Data Availability Statement
Conflicts of Interest
References
- Yi, J.; Wang, Z.; Yin, J.; Zhang, Z. Simulation Study on Expansive Jet Formation Characteristics of Polymer Liner. Materials 2019, 12, 744. [Google Scholar] [CrossRef] [PubMed] [Green Version]
- Zheng, Y.; Su, C.; Guo, H.; Yu, Q.; Wang, H. Behind-Target Rupturing Effects of Sandwich-like Plates by Reactive Liner Shaped Charge Jet. Propellants Explos. Pyrotech. 2019, 44, 1400–1409. [Google Scholar] [CrossRef]
- Herbold, E.B.; Nesterenko, V.F.; Benson, D.J.; Cai, J.; Vecchio, K.S.; Jiang, F.; Addiss, J.W.; Walley, S.M.; Proud, W.G. Particle size effect on strength, failure and shock behavior in Polytetrafluoroethylene-Al-W granular composites. J. Appl. Phys. 2008, 104, 1007. [Google Scholar] [CrossRef]
- Ames, R.G. Vented chamber calorimetry for impact-initiated energetic materials. In Proceedings of the 43rd AIAA Aerospace Sciences Meeting and Exhibit, Reno, NV, USA, 10–13 January 2005; pp. 15391–15403. [Google Scholar] [CrossRef]
- Rosencrantz, S.D. Characterization and Modeling Methodology of Polytetrafluoroethylene Based Reactive Materials for the Development of Parametric Models. Master’s Thesis, Wright State University, Dayton, OH, USA, 2007. [Google Scholar]
- Baker, E.L.; Daniels, A.S.; Ng, K.W.; Martin, V.; Orosz, J. Barnie: A unitary demolition warhead. In Proceedings of the 19th International Symposium on Ballistics, Interlaken, Switzerland, 7–11 May 2001; pp. 569–574. [Google Scholar]
- Daniels, A.S.; Baker, E.L.; Defisher, S.E.; Ng, K.W.; Pham, J. BAM: Large scale unitary demolition warheads. In Proceedings of the 23rd International Symposium on Ballistics, Tarragona, Spain, 16–20 April 2007; pp. 239–246.
- Xiao, J. Research on Damage Effects of Multi-layered Concrete Targets Impacted by Explosively Formed Penetrato. Ph.D. Thesis, Beijing Institute of Technology, Beijing, China, 2016. [Google Scholar]
- Zhang, X.-P.; Xiao, J.; Yu, Q.-B.; Zheng, Y.-F. Armor penetration aftereffect overpressure produced by reactive material liner shaped charge. Acta Armamentarii 2016, 37, 1388–1394. [Google Scholar]
- Zhang, X.; Xiao, J.; Yu, Q.; Wang, H. Penetration and blast combined damage effects of reactive material jet against steel target. Trans. Beijing Inst. Technol. 2017, 37, 789–793. [Google Scholar]
- Wang, Y.; Yu, Q.; Zheng, Y.; Wang, H. Formation and Penetration of Jets by Shaped Charges with Reactive Material Liners. Propellants Explos. Pyrotech. 2016, 41, 618–622. [Google Scholar] [CrossRef]
- Guo, H.; Zheng, Y.; Yu, Q.; Chao, G.; Wang, H. Penetration behavior of reactive liner shaped charge jet impacting thick steel plates. Int. J. Impact Eng. 2018, 126, 76–84. [Google Scholar] [CrossRef]
- Guo, H.; Lu, G.; He, S.; Wang, H.; Xiao, Y.; Zheng, Y. Penetration enhancement behavior of reactive material double-layered liner shaped charge. Trans. Beijing Inst. Technol. 2020, 40, 1259–1266. [Google Scholar]
- Li, Y.; Wang, W.; Zhang, L.; Jiang, C. Research on jet coherency of PTFE-based energetic liner. Acta Armamentarii 2019, 40, 2433–2439. [Google Scholar]
- Liu, Y.; Ren, H.; Li, W.; Ning, J. Influence of Particle Size of Aluminum Powder and Molding Pressure on Impact-Initiation of Al/PTFE. Chin. J. High Press. Phys. 2019, 33, 123–130. [Google Scholar]
- Mao, L.; Wei, C.; Hu, R.; Hu, W.; Luo, P.; Qi, Y.; Jiang, Y. Effects of Al Particle Size on the Impact Energy Release of Al-Rich PTFE/Al Composites under Different Strain Rates. Materials 2021, 14, 1911. [Google Scholar] [CrossRef] [PubMed]
- Zhou, J. Study on the Impact-Induced Reaction Characteristics of Typical Fluoropolymer-Matrix Reactive Materials. Ph.D. Thesis, Nanjing University of Science and Technology, Nanjing, China, 2018. [Google Scholar]
- Xiao, J.; Wang, Y.; Zhou, D.; He, C.; Li, X. Research on the Impact-Induced Deflagration Behavior by Aluminum/Teflon Projectile. Crystals 2022, 12, 471. [Google Scholar] [CrossRef]
- Xiao, J.; Wang, Z.; Nie, Z.; Tang, E.; Zhang, X. Evaluation of Hugoniot parameters for unreacted Al/PTFE RMs by modified SHPB test. AIP Adv. 2020, 10, 045211. [Google Scholar] [CrossRef]
- Wang, Z. Parameter Calibration of PTFE/Al RMs and Numerical Simulation Research of Its Impact-Induced Deflagration Behavior. Master’s Thesis, North University of China, Taiyuan, China, 2021. [Google Scholar]
- Tang, W.; Zhang, R. Introduction to Theory and Computation of Equations of State; Higher Education Press: Beijing, China, 2008. [Google Scholar]
- Queen, G.M.; Marsh, S.P.; Taylor, J.W.; Cable, A.J.; Dienes, J.K.; Walsh, J.M.; Carter, W.J.; Fritz, J.N.; Gehring, J.W.; Glass, C.M.; et al. High Velocity Impact Phenomena; Academic Press: New York, NY, USA, 1970. [Google Scholar]














| Particle Size of Al (μm) | Ρ (g/cm3) | A (MPa) | B (Mpa) | n | C | m |
|---|---|---|---|---|---|---|
| 5 | 2.27 | 14.9 | 45.463 | 0.74415 | 0.115 | 1 |
| 100 | 2.27 | 13.9 | 49.564 | 0.60135 | 0.057 | 1 |
| Material | ρ0 (g/cm3) | C0 (km/s) | S | γ0 | αv (10−5/K) |
|---|---|---|---|---|---|
| Al | 2.712 | 5.332 | 1.375 | 2.18 | 6.93 |
| PTFE | 2.152 | 1.754 | 1.723 | 0.59 | 10.9 |
| PTFE/Al | 2.296 | 3.077 | 1.743 | 0.70 | - |
| Material | A (Mbar) | B (Mbar) | R1 | R2 | W | ρ (g/cm3) | PCJ (Mbar) | D (m/s) |
|---|---|---|---|---|---|---|---|---|
| 8701 | 5.2423 | 0.7678 | 4.2 | 1.1 | 0.34 | 1.71 | 0.286 | 8315 |
| Material | ρ (g/cm3) | C (m/s) | S | γ | A (Mbar) | B (Mbar) | n | c | m | Tm (K) |
|---|---|---|---|---|---|---|---|---|---|---|
| 45# steel | 7.83 | 4569 | 1.33 | 1.67 | 0.0057 | 0.0032 | 0.28 | 0.064 | 1.06 | 1811 |
| Particle Size of Al (μm) | Test of Time (μs) | Diameter of Slug (mm) | Diameter of Jet (mm) | ||||
|---|---|---|---|---|---|---|---|
| Experiment | Simulation | Error (%) | Experiment | Simulation | Error (%) | ||
| 5 | 19.1 | 27.7 | 29.5 | 6.5 | 13.8 | 13.1 | 5.1 |
| 29.8 | 35.0 | 32.8 | 6.3 | 12.5 | 11.7 | 6.4 | |
| 100 | 18.9 | 25.4 | 27.5 | 7.6 | 9.2 | 9.7 | 5.2 |
| 29.9 | 30.0 | 31.5 | 5 | 11.5 | 12.0 | 4.2 | |
| Particle Size of Al (μm) | Local Reaction Stage | Overall Reaction Stage | ||
|---|---|---|---|---|
| Reaction Degree (%) | Reaction Rate (g/μs) | Reaction Degree (%) | Reaction Rate (g/μs) | |
| 5 | 4.5 | 0.362 | 60 | 1.67 |
| 100 | 0.8 | 0.067 | 80 | 1.52 |
Publisher’s Note: MDPI stays neutral with regard to jurisdictional claims in published maps and institutional affiliations. |
© 2022 by the authors. Licensee MDPI, Basel, Switzerland. This article is an open access article distributed under the terms and conditions of the Creative Commons Attribution (CC BY) license (https://creativecommons.org/licenses/by/4.0/).
Share and Cite
Guo, M.; Wang, Y.; Chen, Y.; Xiao, J.; Wang, H. The Effect of Aluminum Particle Size on the Formation of Reactive Jet. Crystals 2022, 12, 1560. https://doi.org/10.3390/cryst12111560
Guo M, Wang Y, Chen Y, Xiao J, Wang H. The Effect of Aluminum Particle Size on the Formation of Reactive Jet. Crystals. 2022; 12(11):1560. https://doi.org/10.3390/cryst12111560
Chicago/Turabian StyleGuo, Mengmeng, Yanxin Wang, Yongkang Chen, Jianguang Xiao, and Haifu Wang. 2022. "The Effect of Aluminum Particle Size on the Formation of Reactive Jet" Crystals 12, no. 11: 1560. https://doi.org/10.3390/cryst12111560
APA StyleGuo, M., Wang, Y., Chen, Y., Xiao, J., & Wang, H. (2022). The Effect of Aluminum Particle Size on the Formation of Reactive Jet. Crystals, 12(11), 1560. https://doi.org/10.3390/cryst12111560

