Electronic Heat Capacity and Lattice Softening of Partially Deuterated Compounds of κ-(BEDT-TTF)2Cu[N(CN)2]Br
Abstract
:1. Introduction
2. Experiments
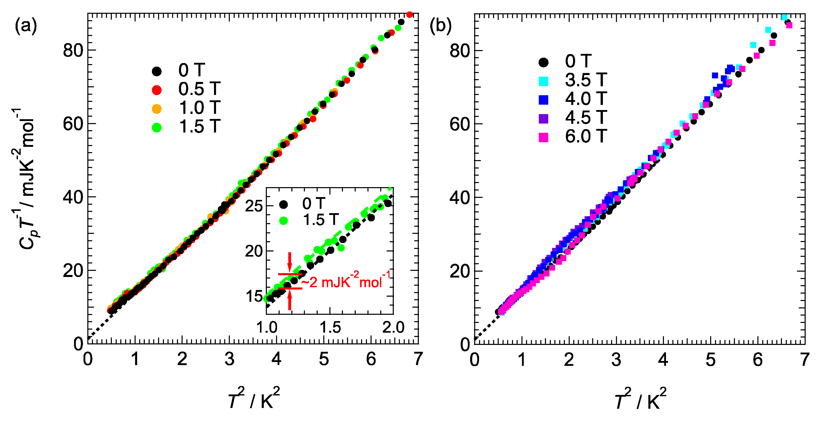
3. Results and Discussion
4. Summary
Author Contributions
Funding
Institutional Review Board Statement
Informed Consent Statement
Data Availability Statement
Acknowledgments
Conflicts of Interest
References
- Mott, F.N. The transition to the metallic state. Plilos. Mag. 1961, 6, 287–309. [Google Scholar] [CrossRef]
- Mcwhan, B.D.; Rice, M.T.; Tokura, Y. Metal-insulator transition in Cr-Doped V2O3. Phys. Rev. Lett. 1969, 23, 1384–1387. [Google Scholar] [CrossRef]
- Imada, M.; Fujimori, A.; Tokura, Y. Metal-insulator transitions. Rev. Mod. Phys. 1998, 70, 1039–1263. [Google Scholar] [CrossRef] [Green Version]
- Bednorz, J.G.; Müller, K.A. Possible high TC superconductivity in the Ba-La-Cu-O System. Z. Phys. B—Condens. Matter 1986, 64, 189–193. [Google Scholar] [CrossRef]
- Lee, A.P.; Nagaosa, N.; Wen, X.-G. Doping a Mott insulator: Physics of high temperature superconductivity. Rev. Mod. Phys. 2006, 78, 17–85. [Google Scholar] [CrossRef]
- Stewart, R.G. Heavy-Fermion systems. Rev. Mod. Phys. 1984, 56, 755–787. [Google Scholar] [CrossRef]
- Carter, A.S.; Rosenbaum, F.T.; Metcalf, P.; Honig, M.J.; Spalek, J. Mass enhancement and magnetic order at the Mott-Hubbard transition. Phys. Rev. B 1993, 48, 16841–16844. [Google Scholar] [CrossRef] [PubMed] [Green Version]
- Von Löhneysen, H. Non-Fermi-liquid behaviour in the heavy-fermion system CeCu6-xAux. J. Phys. Condens. Matter 1996, 8, 9689–9706. [Google Scholar] [CrossRef]
- Hiraki, K.; Kanoda, K. Wigner Crystal Type of Charge Ordering in an Organic Conductor with a Quarter-Filled Band: (DI−DCNQI)2Ag. Phys. Rev. Lett. 1998, 80, 4737–4740. [Google Scholar] [CrossRef]
- Kanoda, K. Recent progress in NMR studies on organic conductors. Hyperfine Interact. 1997, 104, 235–249. [Google Scholar] [CrossRef]
- Kanoda, K. Metal–Insulator Transition in κ-(ET)2X and (DCNQI)2M: Two Contrasting Manifestation of Electron Correlation. J. Phys. Soc. Jpn. 2006, 75, 051007. [Google Scholar] [CrossRef]
- Kagawa, F.; Miyagawa, F.; Kanoda, K. Magnetic Mott criticality in a κ-type organic salt probed by NMR. Nat. Phys. 2005, 5, 880–884. [Google Scholar] [CrossRef]
- Akutsu, H.; Saito, K.; Sorai, M. Phase Behavior of Organic Superconductors, κ-(BEDT-TTF)2Cu[N(CN)2]X (X = Br and Cl), Studied by ac Calorimetry. Phys. Rev. B 2000, 61, 4346–4352. [Google Scholar] [CrossRef]
- Kagawa, F.; Miyagawa, K.; Kanoda, K. Unconventional critical behaviour in a quasi-two-dimensional organic conductor. Nature 2005, 436, 534–537. [Google Scholar] [CrossRef]
- Sasaki, T.; Yoneyama, N.; Kobayashi, N. Mott transition and superconductivity in the strong correlated organic superconductor κ-(BEDT-TTF)2Cu[N(CN)2]Br. Phys. Rev. B 2008, 77, 054505. [Google Scholar] [CrossRef] [Green Version]
- Fournier, D.; Poirier, M.; Castonguay, M.; Truong, D.K. Mott transition, Compressibility Divergence, and the P-T Phase Diagram of Layered Organic Superconductors: An Ultrasonic Investigation. Phys. Rev. Lett. 2003, 90, 127002. [Google Scholar] [CrossRef] [Green Version]
- Gati, E.; Garst, M.; Manna, S.R.; Tutsch, U.; Bartosch, L.; Schubert, H.; Sasaki, T.; Sculueter, A.J.; Lang, M. Breakdown of Hookes law of elasticity at the Mott critical endpoint in an organic conductor. Sci. Adv. 2016, 2, e1601646. [Google Scholar] [CrossRef] [Green Version]
- Gati, E.; Tutsch, U.; Naji, A.; Garst, M.; Köhler, S.; Schubert, H.; Sasaki, S.; Lang, M. Effects of Disorder on the Pressure-Induced Mott Transition in κ-(BEDT-TTF)2Cu[N(CN)2]Cl. Crystals 2018, 8, 38. [Google Scholar] [CrossRef] [Green Version]
- Kawamoto, A.; Taniguchi, H.; Kanoda, K. Superconductor−Insulator Transition Controlled by Partial Deuteration in BEDT-TTF Salt. J. Am. Chem. Soc. 1998, 120, 10984–10985. [Google Scholar] [CrossRef]
- Yoneyama, N.; Sasaki, T.; Kobayashi, N. Substitution Effect by Deuterated Donors on Superconductivity in κ-(BEDT-TTF)2Cu[N(CN)2]Br. J. Phys. Soc. Jpn. 2004, 73, 1434–1437. [Google Scholar] [CrossRef] [Green Version]
- Müller, J.; Hartmann, B.; Sasaki, T. Fine-tuning the Mott metal–insulator transition and critical charge carrier dynamics in molecular conductors. Philos. Mag. 2017, 97, 3477–3494. [Google Scholar] [CrossRef]
- Yasin, S.; Dumm, M.; Salameh, B.; Batail, P.; Meźière, C.; Dressel, M. Transport studies at the Mott transition of the two-dimensional organic metal κ-(BEDT-TTF)2Cu[N(CN)2]BrxCl1-x. Eur. Phys. J. B 2011, 79, 383–390. [Google Scholar] [CrossRef]
- Faltermeier, D.; Barz, J.; Dumm, M.; Dressel, M.; Drichko, N.; Petrov, B.; Semkin, V.; Vlasova, R.; Meźière, C.; Batail, P. Bandwidth-controlled Mott transition in κ−(BEDT−TTF)2Cu[N(CN)2]BrxCl1−x: Optical studies of localized charge excitations. Phys. Rev. B 2007, 76, 165113. [Google Scholar] [CrossRef] [Green Version]
- Taniguchi, H.; Kanoda, K.; Kawamoto, A. Field switching of superconductor-insulator bistability in artificially tuned organics. Phys. Rev. B 2003, 67, 014510. [Google Scholar] [CrossRef]
- Sorai, M. Comprehensive Handbook of Calorimetry and Thermal Analysis; Wiley J. & Sons: West Susex, UK, 2004; pp. 68–74. [Google Scholar]
- Imajo, S.; Akutsu, H.; Kurihara, R.; Yajima, T.; Kohama, Y.; Tokunaga, M.; Kindo, K.; Nakazawa, Y. Anisotropic Fully Gapped Superconductivity Possibly Mediated by Charge Fluctuations in a Nondimeric Organic Complex. Phys. Rev. Lett. 2020, 125, 177002. [Google Scholar] [CrossRef]
- Imajo, S.; Yamashita, S.; Akutsu, H.; Nakazawa, Y. Quadratic temperature dependence of electronic heat capacities in the κ-type organic superconductors. Int. J. Mod. Phys. B 2016, 30, 1642014. [Google Scholar] [CrossRef]
- Imajo, S.; Kindo, K.; Nakazawa, Y. Symmetry Change of d-wave Superconductivity in κ-type Organic Superconductors. Phys. Rev. B 2021, 103, L060508. [Google Scholar] [CrossRef]
- Elsinger, H.; Wosnitza, J.; Wanka, S.; Hagel, J.; Schweitzer, D.; Strunz, W. κ-(BEDT−TTF)2Cu[N(CN)2]Br: A Fully Gapped Strong-Coupling Superconductor. Phys. Rev. Lett. 2000, 84, 6098–6101. [Google Scholar] [CrossRef] [Green Version]
- Andraka, B.; Jee, S.C.; Kim, S.J.; Stewart, R.G.; Calson, D.K.; Wang, H.H.; Crouch SV, A.; Kini, M.A.; Williams, M.J. Specific heat of the high Tc organic superconductor κ-(ET)2Cu[N(CN)2]Br. Solid State Commun. 1991, 79, 57–59. [Google Scholar] [CrossRef]
- Taylor, J.O.; Carrington, A.; Schlueter, A.J. Specific-Heat Measurements of the Gap Structure of the Organic Superconductors κ−(ET)2Cu[N(CN)2]Br and κ−(ET)2Cu(NCS)2. Phys. Rev. Lett. 2007, 99, 057001. [Google Scholar] [CrossRef] [Green Version]
- Nakazawa, Y.; Kanoda, K. Low-temperature specific heat of κ-(BEDT-TTF)2Cu[N(CN)2]Br in the superconducting state. Phys. Rev. B 1997, 55, R8670–R8673. [Google Scholar] [CrossRef]
- Sorai, M.; Nakazawa, Y.; Nakano, M.; Miyazaki, Y. Calorimetric Investigation of Phase Transitions Occurring in Molecule-Based Magnets. Chem. Rev. 2013, 113, 41–122. [Google Scholar] [CrossRef]
- Souza, M.; Bartosch, L. Probing the Mott Physics in κ-(BEDT-TTF)2X salts via thermal expansion. J. Phys. Condens. Matt. 2015, 27, 053203. [Google Scholar] [CrossRef] [Green Version]
- Fournier, D.; Poirier, M.; Truong, K.D. Competition between magnetism and superconductivity in the organic metal κ-[BEDT-TTF]2Cu[N(CN)2]Br. Phys. Rev. B 2007, 76, 054509. [Google Scholar] [CrossRef] [Green Version]
- Simizu, T.; Yoshimoto, N.; Nakamura, M.; Yoshizawa, M. High-frequency ultrasonic measurements of κ-(BEDT-TTF)2Cu(NCS)2 by devised transducer. Phys. B 2000, 281&282, 896–898. [Google Scholar] [CrossRef]
- Imajo, S.; Nomura, T.; Kohama, Y.; Kindo, K. Nematic response of the Fulde-Ferrell-Larkin-Ovchinnikov state. arXiv 2021, arXiv:2110.12774. [Google Scholar]
- Imajo, S.; Kindo, K. The FFLO State in the Dimer Mott Organic Superconductor κ-(BEDT-TTF)2Cu[N(CN)2]Br. Crystals 2021, 11, 1358. [Google Scholar] [CrossRef]
- Croitoru, M.D.; Buzdin, A.I. In search of unambiguous evidence of the Fulde-Ferrell-Larkin-Ovchinnikov state in quasi-low dimensional superconductors. Condens. Matter 2017, 2, 30. [Google Scholar] [CrossRef] [Green Version]
- Croitoru, M.D.; Buzdin, A.I. The Fulde-Ferrell-Larkin-Ovchinnikov state in layered d-wave superconductors: In-plane anisotropy and resonance effects in the angular dependence of the upper critical field. J. Phys. Condens. Matter 2013, 25, 125702. [Google Scholar] [CrossRef] [Green Version]
- Nakazawa, Y.; Taniguchi, H.; Kawamoto, A.; Kanoda, K. Electronic specific heat at the boundary region of the metal-insulator transition in the two-dimensional electronic system of κ−(BEDT−TTF)2Cu[N(CN)2]Br. Phys. Rev. B 2000, 61, R16295–R16298. [Google Scholar] [CrossRef]
- Kagawa, F.; Itou, T.; Miyagawa, K.; Kanoda, K. Magnetic-Field-Induced Mott Transition in a Quasi-Two-Dimensional Organic Conductor. Phys. Rev. Lett. 2004, 93, 127001. [Google Scholar] [CrossRef] [Green Version]
- Nakazawa, Y.; Kanoda, K. Thermodynamic investigation of the electronic states of deuterated κ−(BEDT−TTF)2Cu[N(CN)2]Br. Phys. Rev. B 1999, 60, 4263–4266. [Google Scholar] [CrossRef]
- Nam, M.-S.; Mézière, C.; Batail, P.; Zorina, L.; Simonov, S.; Ardavan, A. Superconducting fluctuations in organic molecular metals enhanced by Mott criticality. Sci. Rep. 2013, 3, 3390. [Google Scholar] [CrossRef] [Green Version]
- Powell, J.B.; McKenzie, H. Strong electronic correlations in superconducting organic charge transfer salts. J. Phys. Condens. Matt. 2006, 18, R827–R866. [Google Scholar] [CrossRef]
- Kotliar, G.; Lange, E.; Rozenberg, M.J. Laudau Theory of the Finite Temperature Mott Transition. Phys. Rev. Lett. 2000, 84, 5180–5183. [Google Scholar] [CrossRef] [PubMed] [Green Version]
- McWhan, B.D.; Remeika, P.J.; Rice, M.T.; Brinkman, F.M.; Maita, P.J.; Menth, A. Electronic Specific Heat of Metallic Ti-Doped V2O3. Phys. Rev. Lett. 1971, 27, 941. [Google Scholar] [CrossRef]
- Malone, L.; Taylor, O.J.; Schlueter, A.J.; Carrington, A. Location of gap nodes in the organic superconductors κ-(ET)2Cu(NCS)2 and κ-(ET)2Cu[N(CN)2]Br determined by magnetocalorimetry. Phys. Rev. B 2010, 82, 014522. [Google Scholar] [CrossRef] [Green Version]
- Kuroki, K.; Kimura, T.; Arita, R.; Tanaka, Y.; Matsuda, Y. dx2−y2- versus dxy- like pairings in organic superconductors κ−(BEDT−TTF)2X. Phys. Rev. B 2002, 65, 100516. [Google Scholar] [CrossRef] [Green Version]
- Kuroki, K. Pairing symmetry competition in organic superconductors. J. Phys. Soc. Jpn. 2006, 75, 051013. [Google Scholar] [CrossRef] [Green Version]
- Guterding, D.; Altmeyer, M.; Jeschke, H.O.; Valentí, R. Near-degeneracy of extended s+dx2−y2 and dxy order parameters in quasi-two-dimensional organic superconductors. Phys. Rev. B 2016, 94, 024515. [Google Scholar] [CrossRef] [Green Version]
- Watanabe, H.; Seo, H.; Yunoki, S. Mechanism of superconductivity and electron-hole doping asymmetry in κ-type molecular conductors. Nat. Commun. 2019, 10, 3167. [Google Scholar] [CrossRef] [PubMed] [Green Version]
- Milbradt, S.; Bardin, A.A.; Truncik, C.J.S.; Huttema, W.A.; Jacko, A.C.; Burn, P.L.; Lo, S.-C.; Powell, B.J.; Broun, D.M. In-plane superfluid density and microwave conductivity of the organic superconductor κ-(BEDT-TTF)2Cu[N(CN)2]Br: Evidence for d-wave pairing and resilient quasiparticles. Phys. Rev. B 2013, 88, 064501. [Google Scholar] [CrossRef] [Green Version]







| μ0 (H/T) | Β (mJ K−4 mol−1) | Γ (mJ K−2 mol−1) |
|---|---|---|
| 0 | 12.5 | 1.3 |
| 0.5 | 12.0 | 2.2 |
| 1 | 12.0 | 3.1 |
| 1.5 | 12.2 | 2.9 |
| 3.5 | 12.9 | 2.0 |
| 4 | 13.1 | 1.9 |
| 4.5 | 13.6 | 1.6 |
| 6 | 13.1 | 0.9 |
Publisher’s Note: MDPI stays neutral with regard to jurisdictional claims in published maps and institutional affiliations. |
© 2021 by the authors. Licensee MDPI, Basel, Switzerland. This article is an open access article distributed under the terms and conditions of the Creative Commons Attribution (CC BY) license (https://creativecommons.org/licenses/by/4.0/).
Share and Cite
Matsumura, Y.; Imajo, S.; Yamashita, S.; Akutsu, H.; Nakazawa, Y. Electronic Heat Capacity and Lattice Softening of Partially Deuterated Compounds of κ-(BEDT-TTF)2Cu[N(CN)2]Br. Crystals 2022, 12, 2. https://doi.org/10.3390/cryst12010002
Matsumura Y, Imajo S, Yamashita S, Akutsu H, Nakazawa Y. Electronic Heat Capacity and Lattice Softening of Partially Deuterated Compounds of κ-(BEDT-TTF)2Cu[N(CN)2]Br. Crystals. 2022; 12(1):2. https://doi.org/10.3390/cryst12010002
Chicago/Turabian StyleMatsumura, Yuki, Shusaku Imajo, Satoshi Yamashita, Hiroki Akutsu, and Yasuhiro Nakazawa. 2022. "Electronic Heat Capacity and Lattice Softening of Partially Deuterated Compounds of κ-(BEDT-TTF)2Cu[N(CN)2]Br" Crystals 12, no. 1: 2. https://doi.org/10.3390/cryst12010002
APA StyleMatsumura, Y., Imajo, S., Yamashita, S., Akutsu, H., & Nakazawa, Y. (2022). Electronic Heat Capacity and Lattice Softening of Partially Deuterated Compounds of κ-(BEDT-TTF)2Cu[N(CN)2]Br. Crystals, 12(1), 2. https://doi.org/10.3390/cryst12010002

