Abstract
The wetting of Ag-5 wt.% CuO (Ag-5CuO) alloy on initial/CuO-coated zirconia toughened alumina (ZTA) composite ceramic in air was studied in detail. The results showed that the contact angle of the Ag-5CuO/ZTA system rapidly decreased from 81° at 970 °C to 45° at 990 °C during the heating process, however, moderate reductions in contact angle were observed in the subsequent heating and temperature holding stages. In comparison with the contact angle of pure Al2O3, an increment of about 4° of the stable contact angle of Ag-5CuO alloy on the heterogeneous ZTA was observed. The reaction between Al2O3 and CuO can reduce the damage of the CuO-rich liquid to ZrO2 in the ZTA substrate. Both oxygen and CuO were helpful in reducing the contact angle of Ag on ZTA and enhancing the bonding of the Ag/ZTA interface. The continuous CuO coating on ZTA and the monotectic liquid containing more CuO in the region near the triple line induced reductions of more than 40° and about 10° in the contact angle, respectively, between the initial and the CuO coating-improved wetting systems.
1. Introduction
Advanced ceramics have wide applications owing to their outstanding properties [,]. Among these high-profile ceramics, zirconia toughened alumina (ZTA), a kind of ceramic matrix composite, has great potential for application in the aerospace, nuclear, mechanical, electronic, and energy industries because of its good thermal stability, high strength, favorable toughness, and excellent oxidation and corrosion resistance [,,]. However, similar to other ceramics, the application of ZTA ceramics would be severely limited by their intrinsic brittleness. The brazing technique is an effective method to solve this problem [,,]. The joining of ZTA ceramic to itself or to metals is helpful in fabricating complex structures and devices that can be used in harsh circumstances, such as high-temperature, corrosion, and oxidation environments. Nevertheless, the commonly used brazing alloys have poor oxidation resistance, owing to the probable oxidation of their active elements, such as Ti and Zr.
To overcome this problem, Ag-CuO alloys have been developed as brazing filler metals to join ceramics and metals. The brazing by Ag-CuO alloys is conducted directly in air, and therefore the resultant joints are inherently oxidation resistant. Weil et al. [] reported the brazing of yttria-stabilized zirconia (YSZ) ceramic and FeCrAlY alloy by Ag-69 mol% CuO. The authors found that the CuAlO2 phase was formed at the FeCrAlY/braze interface, whereas no reaction products were observed at the YSZ/braze interface. Cao and Si et al. [,,,] performed a series of experiments on air brazing using Ag-CuO fillers with different CuO contents. It was reported that the CuO phase could react with Al2O3, which came from the Al2O3 ceramic substrate or the Al2O3 layer-coated ferritic stainless steel substrate, leading to the formation of CuAl2O4 at the Al2O3/Ag-based alloy interface. In addition, the wetting of Ag-CuO alloys on different substrates in air also attracted much attention, because the wettability of Ag-CuO alloys can seriously affect the reliability of the resultant joints. Kim and Weil et al. [] pointed out that the contact angle of Ag-CuO alloys on the Al2O3 substrate decreased rapidly with the increase of the CuO content when the alloy had low CuO concentrations, whereas a more moderate decrease was observed when the alloy had high CuO concentrations. Cao et al. [] reported that the fabrication of a Cu layer on the YSZ substrate improved the wetting of Al2O3 nanoparticles reinforced with Ag-CuO alloy on YSZ. However, the authors did not present the wetting details, except for a comparison of the stable contact angle at 1050 °C. Joshi et al. [] studied the wetting phenomena in the Ag-CuO/Ba0.5Sr0.5Co0.8Fe0.2O(3-δ) system, and found that the effect trend of the CuO content on the contact angle of Ag-CuO alloys was similar to that found in the Ag-CuO/Al2O3 system. Zhang et al. [] investigated the microstructural evolution of the Ag-Cu/BaCo0.7Fe0.2Nb0.1O3-δ wetting specimens fabricated in air. The authors concluded that the ridging at the triple line, which consisted of the new reaction phases, limited the liquid spreading and resulted in low macroscopic contact angles.
Although some research on joining ZTA ceramics has been carried out [,,,,], reports on air brazing ZTA ceramic by Ag-CuO alloys are very limited. Particularly, to the authors’ knowledge, the wetting of Ag-CuO alloys on ZTA ceramic has never been reported. Moreover, in addition to the stable contact angle at a high temperature, the evolutions of the contact angle and the microstructure in the wetting system during the heating process are also important wetting details and are worthy of special attention to deeply understand the wetting mechanism of Ag-CuO alloys on the substrates, especially on composite ceramics. The results are significant for the design of brazing alloys used in air atmosphere and for the fabrication of more reliable joints applied in harsh environments.
In the present work, the wetting of Ag-5 wt.% CuO (Ag-5CuO) alloy on the ZTA composite ceramic was studied in detail. The contact angles in the Ag-5CuO/ZTA system during the heating process and in the temperature holding stage were investigated. The interfacial microstructures at different locations and obtained at different temperatures were systematically compared. The effects of oxygen and CuO on the wetting behavior of Ag-5CuO alloy and on the interface bonding quality were studied. The wetting mechanism of Ag-5CuO alloy on ZTA was analyzed. In addition, the Cu plating was fabricated on ZTA by the chemical plating method, and the wetting of Ag-5CuO on the CuO-coated ZTA in air was investigated.
2. Materials and Methods
Based on the consideration of the wettability and practicability of the Ag-CuO solder system, the Ag-based alloy containing 5 wt.% CuO was fabricated to investigate the wetting behavior of an Ag-based alloy on the hot pressing sintered ZTA ceramic (20 wt.% ZrO2 + 1 wt.% Y2O3, Yixing Feifan ceramics Co., Ltd., Hangzhou, China) in air. The dimensions of ZTA ceramic were 15 mm × 15 mm × 5 mm. The original Ag powder (99.99%, Changsha Tianjiu Metal Materials Co. Ltd., Changsha, China) and CuO powder (99%, Shanghai D&B Biological Science and Technology Co. Ltd., Shanghai, China) were first put into an agate jar, and then milled in a planetary ball mill (KE-0.4L) for 120 min. Figure 1a,b and Figure 1c show the morphologies and X-ray diffraction (XRD, BRUKER D8, Billerica, MA, USA) pattern of the as-milled mixture, respectively. The differential scanning calorimetry (DSC, METTLER TOLEDO TGA/DSC 1/1600LF, Columbus, OH, USA) results, as shown in Figure 1d, showed that the eutectic temperature of the Ag-5CuO solder is 938 °C. The powder mixture was firstly pressed into sheets by a tablet press (769YP-15A) under a pressure of 5 MPa, and then the sheets were cut and stacked to form small cubes under a pressure of 0.5 MPa. The Ag-5CuO alloy cube was placed on the polished ZTA ceramic substrate, and the assembly was heated in a muffle furnace at a rate of 10 °C min−1. To investigate the detailed wetting behavior in the Ag-5CuO/ZTA system, the heating was immediately stopped when the specimen was heated to a selected temperature (960~1050 °C). Then, the specimen was extracted from the furnace by a crucible tong and cooled down to room temperature in air. The Ag-5CuO/ZTA wetting specimens were also held at 1050 °C for different lengths of time for further investigation. In order to clarify the effects of oxygen and CuO on the wetting process and the interfacial bonding quality, comparisons between the pure Ag/ZTA/air atmosphere, pure Ag/ZTA/N2 atmosphere, and Ag-5CuO/ZTA/N2 atmosphere wetting specimens obtained at 1050 °C for 10 min were conducted. DSC test was also used to clarify the decomposition reaction of CuO in N2. All the specimens that were held at 1050 °C for a period of time were furnace cooled down to room temperature. The chemical plating method [] was employed to produce the Cu-coated ZTA ceramic, and the conducting process was schematically illustrated in Figure 2. This Cu plating method is more flexible than the evaporation coating method. The Cu-coated ZTA was used to study the effect of CuO coating on the wetting details of Ag-5CuO alloy on ZTA.

Figure 1.
(a,b) SEM images, (c) XRD pattern, and (d) DSC results of the Ag-5CuO alloy.

Figure 2.
Schematic illustration of the chemical copper plating process for ZTA ceramic.
The contact angles of the cooled specimens were tested by a DATAPHYSICS OCA20 measuring system and were used to approximately represent the contact angles at high temperatures. Because the surface energies of solid Ag-CuO are higher than those of liquid Ag-CuO, the obtained contact angles between the solid alloy and the ceramic substrate were systematically larger than those between the liquid alloy and the substrate. However, according to previous experimental measurements [], the differences in the two kinds of contact angles were relatively small. In addition, the investigation of the contact angle based on the solid cross-sections could prevent the Laplacian shape that the liquid should have had at the triple line. Therefore, the precision of the measurements in this paper was acceptable. The cross-sectioned specimens were subjected to scanning electron microscopy (SEM, FEI NOVA 400) and transmission electron microscopy (TEM, FEI Tecnai F20, Hillsboro, OR, USA) for microstructural investigations. A focused ion beam (FIB, Helios 600i) was employed to fabricate the TEM sample.
3. Results and Discussion
3.1. Wettability of Ag-5CuO Alloy on ZTA Ceramic
Wetting behaviors during the heating process and in the temperature holding stage are very important for the understanding of wettability of liquid brazing alloy. Figure 3 shows the variation in contact angle of Ag-5CuO alloy on ZTA ceramic. From Figure 3a, it can be seen that a contact angle of 81° was formed between the alloy and the ZTA ceramic when the wetting specimen was heated to 970 °C. The contact angle was rapidly reduced to 45° when the temperature reached 990 °C, whereas a moderate decrease of the contact angle to 40° was observed when the temperature was further increased to 1050 °C. Figure 3b presents the contact angle of Ag-5CuO alloy on ZTA ceramic at 1050 °C as a function of holding time. The results showed that a reduction of no more than 4° of the contact angle was obtained within the holding time of 40 min. It indicated that the effect of temperature on the contact angle in the Ag-5CuO/ZTA system was relatively significant below 990 °C during the heating process, but much less in the further heating stage and the temperature holding stage. Moreover, the contact angle of Ag-5CuO alloy on ZTA was 4° higher than that on pure Al2O3 at 1050 °C (31° on Al2O3). The larger contact angle of Ag-5CuO alloy on the heterogeneous ZTA surface in comparison with that on pure Al2O3 can be interpreted by the Cassie-Baxter reasoning. However, since the surfaces of ZTA and Al2O3 were all polished by 1 μm diamond paste, the roughness of the ceramic substrates was not what resulted in the difference in contact angle. According to the Cassie-Baxter reasoning, the ZrO2 toughening phases in ZTA, which have relatively higher interfacial energies with Ag-5CuO alloy than Al2O3, can be approximately recognized as the grooves that trap air in the Cassie-Baxter state. Thus, the presence of discrete ZrO2 on the ceramic surface will induce an increase in the final contact angle of the Ag-5CuO alloy.

Figure 3.
Contact angles as a function of (a) temperature and (b) holding time in the Ag-5CuO/ZTA wetting system.
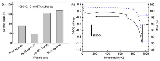
Figure 4a shows the comparison of wetting results that were obtained at 1050 °C in air using pure Ag as the brazing metal and in N2 atmosphere using pure Ag and Ag-5CuO alloy as the observation objects, respectively. Firstly, the contact angle of pure Ag on ZTA ceramic in air was 72°, which was much larger than that of Ag-5CuO alloy on ZTA ceramic in air. This revealed that the addition of 5 wt.% CuO into pure Ag can significantly promote the wettability of pure Ag on ZTA ceramic in air. Similar effects of CuO on the wettability of Ag on Al2O3 and YSZ have been reported in previous studies [,]. Secondly, the contact angle in the pure Ag/ZTA/N2 wetting system was about 60° higher than that in the pure Ag/ZTA/air wetting system, confirming that oxygen played an important role in reducing the contact angle of pure Ag on ZTA ceramic. Phongpreecha et al. [] suggested that the Ag-O clusters formed at the Ag/oxide interface were among the probable reasons for the decrease in the contact angle from an inert atmosphere to in-air. In addition, the surface tension of liquid Ag could be decreased by the adsorption of oxygen, which also has an effect on the reduction of the final contact angle [,]. When the wetting process of the Ag-5CuO/ZTA system was conducted in N2, a contact angle of about 125° was observed. It was evident that the absence of oxygen resulted in this nonwetting phenomenon. However, it should be noted that the nonwetting phenomenon was caused by both the lack of oxygen and the lack of CuO in the alloy. The DSC results in Figure 4b revealed that CuO could split into Cu2O and O2 in an atmosphere with low oxygen partial pressure. Therefore, the existence of oxygen was considered to be the dominating factor that resulted in the transition from nonwetting to wetting in the Ag/ZTA system.

Figure 4.
(a) Comparison of contact angles in different wetting systems and (b) TG-DSC results of CuO conducted in N2.
3.2. Microstructural Investigation of the Wetting Specimens
In order to deeply understand the wetting process and the interfacial reaction behavior of the Ag-5CuO/ZTA system, the interfacial microstructures of different wetting systems were investigated. Figure 5 shows the interfacial microstructure of the wetting specimen obtained at 1050 °C for 10 min. The low-magnification SEM image in Figure 5a shows that the solid Ag-based alloy (the white matrix of the drop) was well bonded to ZTA ceramic, although some micro-sized pores existed in the solid alloy. Because liquid Ag can dissolve a lot of oxygen while solid Ag does not, the formation of pores as observed in Figure 5 was probably caused by the abrupt release of oxygen upon the solidification of liquid Ag. Figure 5b–d shows high-magnification SEM images of the regions marked in Figure 5a. It can be seen that relatively continuous light gray phases were distributed at the Ag-based alloy/ZTA interface and in the region near the triple line. This light gray phase consisted of 45 at.% Cu and 55 at.% O, and was determined to be CuO. In this CuO-rich region, dark gray particles with relatively regular geometrical shapes can be observed. The TEM results, as shown in Figure 6, indicated that these dark gray particles were CuAl2O4. Most of the CuAl2O4 particles were dispersedly distributed near the CuO-rich region/ZTA interface (Figure 5c,d), whereas only several small CuAl2O4 particles can be observed in the CuO-rich surface region of the alloy drop near the triple line (Figure 5b). The formation of the CuAl2O4 phase depended on the reaction between CuO and the Al2O3 matrix (the black phase in the SEM images) of the composite ceramic, so that the growth of the CuAl2O4 phase was more prominent in the region near the center of the Ag-based alloy/ZTA interface than in the region near the triple line. Moreover, from Figure 5 it can also be seen that the bonding of the alloy drop and the ceramic substrate was achieved by both the interconnection between Ag and ZTA and the interconnection between CuO and ZTA. Along the Ag-based alloy/ZTA interface, most of the ZrO2 particles could maintain their original sizes. Since the phenomenon of very fine ZrO2 particles being peeled off from the YSZ substrate has been reported [], it revealed that the reaction between Al2O3 and CuO can reduce the damage of the CuO-rich liquid to ZrO2 in the ZTA substrate.

Figure 5.
SEM images of the interfacial microstructure between the Ag-5CuO alloy and the ZTA substrate obtained after heating at 1050 °C for 10 min. (a) Low-magnification SEM image of the Ag-5CuO alloy/ZTA interface. (b–d) High-magnification SEM images of different locations along the Ag-5CuO alloy/ZTA interface as marked in (a) by the blue boxes.

Figure 6.
TEM examination results of the CuO/CuAl2O4 interface. (a) TEM image of the interface. (b) Energy dispersive spectrometer mappings of the region marked by the blue box in (a). (c,d) Selected area electron diffraction patterns of the region marked in (a).
Figure 7 shows the microstructural evolution of the region near the triple line when the Ag-5CuO/ZTA wetting specimens were heated to the temperature range of 970 °C to 1050 °C. Figure 7a,f shows that a relatively homogenous Ag-based alloy drop was formed on ZTA when the specimen was merely heated to 970 °C. Dispersed CuO with two distinct sizes can be observed in the Ag-based alloy. According to the Ag-CuO phase diagram [,], an Ag-rich liquid will first be generated at 932 ± 3 °C, and then a CuO-rich liquid can be formed at temperatures higher than 964 ± 3 °C. However, the continuous heating process and the temperature measurement error could result in small differences between the practical (DSC results in Figure 1d) and theoretical phase transformation temperatures. Therefore, the Ag-matrix and those small-sized CuO particles in Figure 7f were considered to be formed by the solidification of the Ag-rich liquid, while those CuO particles with relatively large sizes were the residual part of the initial brazing alloy. The bonding of the alloy drop and the ZTA ceramic in the specimen obtained at 970 °C was realized via the direct connection between Ag and ZTA. When the specimen was heated to temperatures higher than 980 °C, the CuO-rich regions were gradually generated (Figure 7b–d,g–i). From the microstructures shown in Figure 7b–d, it can be inferred that the CuO-rich liquid was mainly distributed in the surface region of the alloy droplet at high temperatures. With the increase in temperature, the CuO-rich liquid tended to migrate to the region near the triple line, resulting in the reduction of the contact angle in the meantime. In the specimens that were heated to 970~1000 °C, no continuous CuO or dispersed CuAl2O4 particles were observed near the alloy drop/ZTA interface, and the bonding quality of this interface was still dominated by the interconnection between Ag and the ceramic substrate. As the specimen was further heated to 1050 °C, the obvious solidification microstructure of monotectic CuO-rich liquid can be seen in the region near the triple line (Figure 7e,j). Most of the CuO phase precipitated with large blocky morphologies. Besides, linearly distributed CuAl2O4 particles were observed near the alloy drop/ZTA interface.

Figure 7.
SEM images of the Ag-5CuO/ZTA wetting specimens that were heated to (a) 970 °C, (b) 980 °C, (c) 990 °C, (d) 1000 °C, and (e) 1050 °C. (f–j) are high-magnification SEM images of the regions marked in (a–e), respectively.
In addition, since both oxygen and CuO are helpful in reducing the contact angle of Ag on ZTA ceramic, the effects of these two factors on the interfacial microstructure in the Ag-5CuO/ZTA wetting system are also worthy of being studied. Figure 8 presents the comparison of the interfacial microstructures in different wetting systems obtained at 1050 °C for 10 min. It can be seen that, in the pure Ag/ZTA/air wetting system, Ag was directly bonded to ZTA ceramic, although some discontinuous microcracks were observed along the interface (Figure 8a,b). The formation of Ag-O clusters at the Ag/oxide interface may be the critical factor that induced the successful bonding of Ag and the oxides []. Figure 8c,d shows that it failed to achieve the bonding of pure Ag and ZTA when the assembly was heated in N2, confirming that oxygen was indeed an essential factor that resulted in robust adhesion of the Ag/ZTA interface. Moreover, by comparing the interfacial microstructures in Figure 5 and Figure 8b, the difference in cracks at the ceramic/Ag-based alloy interfaces revealed that the CuO addition significantly promoted interfacial interconnection. The increment in work of adhesion when replacing an Ag/oxide interface with a CuO/oxide interface may be one reason for this interfacial bonding promotion []. However, it should be mentioned that the Ag/ZTA interface was the domination of the bonding quality of the wetting specimens obtained at the temperature range of 970~1000 °C (Figure 7f–i). Therefore, it was inferred that the added CuO had a second effect on the bonding quality of the wetting specimens, namely promoting the bonding of Ag and the ceramic substrate. When the wetting process of the Ag-5CuO/ZTA couple was conducted in N2, obvious cracks were observed along the Ag-based alloy/ZTA interface (Figure 8e,f). Since the CuO phase would transform into Cu2O in the N2 atmosphere, it suggested that the absence of oxygen and CuO resulted in the serious degradation of the interconnection between Ag-based alloy and ZTA ceramic. However, the residual Cu2O in the Ag-based alloy can also promote interface bonding quality, although this effect was relatively weak.

Figure 8.
Interfacial microstructures and bonding qualities in (a,b) an Ag/ZTA/air wetting system, (c,d) an Ag/ZTA/N2 wetting system, and (e,f) an Ag-5CuO/ZTA/N2 wetting system.
3.3. Possible Wetting Mechanism of Ag-5CuO/ZTA System
Figure 9 shows a diagram of the state of Ag-5CuO alloy at different temperatures. Based on the observation results and the Ag-CuO phase diagram [,], Figure 10 schematically illustrates the possible wetting mechanism of Ag-5CuO alloy on ZTA ceramic in air. The whole wetting process can be divided into three stages: the Ag-rich liquid formation stage, the CuO migration and CuO-rich liquid formation stage, and the steady spreading stage. In the first stage, when the initial wetting assembly (Figure 10a) is heated to a temperature higher than the Ag-CuO eutectic temperature, the liquid rich in Ag is preferentially formed, whereas the residual CuO is still solid and dispersedly distributes in the Ag-rich liquid (Figure 10b). As the wetting process was conducted in air, and Ag has high oxygen ion conductivity at relatively high temperatures [], sufficient oxygen could dissolve in liquid Ag. The formation of Ag-O clusters at the Ag-rich liquid/ZTA interface and the decrease of the liquid surface tension induced by the adsorption of O are the probable reasons for the reduction in the apparent contact angle to below 90°. In the second stage, the excessive CuO tends to be crowded out of the Ag-rich liquid, and mainly migrates to the surface region of the alloy droplet, because that CuO has a lower density than liquid Ag (Figure 10c). Meanwhile, a small amount of CuO migrates to the liquid/ZTA interface. As the temperature is continuously increased to higher than the monotectic temperature of the Ag-CuO system, the CuO-rich liquid gradually forms in both the surface region of the liquid alloy and the region at the liquid/ZTA interface (Figure 10d). Due to the relatively low interfacial energy between the CuO-rich liquid and the ZTA ceramic substrate, the CuO-rich liquid preferentially spreads on the ceramic surface during the further heating process from 1000 °C to 1050 °C, inducing a rapid decrease of the contact angle and the transfer of CuO-rich liquid from the outside of the drop to the region near the triple line (the third stage, Figure 10e). In addition, the CuO phase in the liquid that is in contact with the ZTA substrate can react with the Al2O3 matrix of the substrate, and then the initial nucleation of the CuAl2O4 phase occurs. By holding the temperature at 1050 °C, the CuAl2O4 particles grow gradually, whereas the contact angle only changes slightly (Figure 10f).

Figure 9.
Diagram of the state of Ag-5CuO alloy at different temperatures.

Figure 10.
Schematic illustration of the wetting mechanism of the Ag-5CuO/ZTA system. (a) The initial wetting assembly. (b) The Ag-rich liquid formation stage. (c,d) The CuO migration and CuO-rich liquid formation stage. (e,f) The steady spreading stage.
It should be mentioned that the wetting of the Ag-5CuO alloy on the ZTA composite is dominated by oxygen that is dissolved in liquid Ag, the CuO-rich liquid on the ZTA surface, and the temperature, but does not have a close relationship with the reaction product, CuAl2O4. This wetting mechanism is very different from those of the reaction wetting systems, for example, the AgCuTi/Al2O3/vacuum wetting system [,].
3.4. Wetting of Ag-5CuO Alloy on CuO-Coated ZTA Ceramic
Although the CuO coating has been used to improve the wetting of Ag-based alloy on oxide ceramic in air, the wetting details were not reported. To study the effect of CuO coating on the wetting of Ag-5CuO alloy on ZTA, a thin Cu layer was first coated on the ZTA surface by the chemical plating method at room temperature. Figure 11a,b shows the cross-sectional and the surface morphologies, respectively, of the Cu layer on ZTA. It can be seen that the plated Cu layer had a thickness of about 5 μm and was relatively close. This thin Cu layer was oxidized and then transformed in the CuO coating during the heating process in air. Figure 11c shows the variation in contact angle of the Ag-5CuO/CuO-coated ZTA wetting system during the heating process. The results indicated that the contact angle was 57° when the assembly was heated to 960 °C, and was rapidly decreased to 39° as the temperature rose to 970 °C. A reduction of more than 40° in the contact angle in the first wetting stage between the initial and the improved wetting system was achieved. In the steady spreading stage, the contact angle in the improved wetting system was about 10° lower than that in the initial wetting system.

Figure 11.
(a) Cross-sectional and (b) surface morphologies of the chemical-plated Cu layer, and (c) variation in contact angle of the Ag-5CuO/CuO-coated ZTA wetting system.
Figure 12 shows SEM images of the microstructure near the triple line when the Ag-5CuO/CuO-coated ZTA wetting specimens were heated to the temperature range of 960~1050 °C. It indicated that the CuO coating can retain a continuous layer until the temperature reaches above 980 °C, and then it begins to dissolve in the Ag-rich liquid, resulting in the formation of CuO-rich monotectic liquid in the region near the triple line. By comparing the microstructures shown in Figure 7 and Figure 12, it can be inferred that the low interfacial energy between the Ag-rich liquid and the CuO coating was the possible reason behind the much smaller contact angles in the initial wetting stage. Moreover, the formation of more CuO-rich monotectic liquid in the region near the triple line contributed to the difference of the contact angles in the steady spreading stage between the two wetting systems.

Figure 12.
SEM images of the Ag-5CuO alloy/CuO-coated ZTA wetting specimens that were heated to (a) 960 °C, (b) 970 °C, (c) 980 °C, (d) 990 °C, (e) 1000 °C, and (f) 1050 °C.
4. Conclusions
The wetting of Ag-5CuO alloy on ZTA composite ceramic was studied systematically. The variations in contact angle and interfacial microstructure were investigated. The wetting mechanism of Ag-5CuO alloy/ZTA system was analyzed. Moreover, the effects of CuO coating on the wetting behavior of Ag-5CuO alloy on ZTA were investigated. The following conclusions can be drawn:
(1) The contact angle between the Ag-5CuO alloy and the ZTA substrate rapidly decreased from 81° at 970 °C to 45° at 990 °C during the heating process, whereas a moderate decrease to 40° was observed when the specimen was further heated to 1050 °C. A reduction of less than 4° of the contact angle was obtained within the holding time of 40 min at 1050 °C. In comparison with the wetting results on pure Al2O3, the presence of ZrO2 on the surface of the substrate induced an increment of about 4° of the stable contact angle of Ag-5CuO alloy.
(2) CuO with relatively large sizes was dispersedly distributed in the Ag-rich alloy at 970 °C, and then migrated to the surface region of the alloy drop and to the Ag-based alloy/ZTA interface during the subsequent heating process. Relatively continuous CuO was observed between the Ag-rich alloy and ZTA ceramic in the wetting specimen obtained at 1050 °C, while CuAl2O4 particles with regular shapes existed in the CuO-rich regions that were near the alloy drop/ZTA interface. The reaction between Al2O3 and CuO can reduce the damage of the CuO-rich liquid to ZrO2 in the ZTA substrate.
(3) Both oxygen and CuO were helpful in reducing the contact angle of Ag on ZTA, and the presence of oxygen was considered to be the dominating factor that resulted in the transition from nonwetting to wetting in the Ag/ZTA system. CuO can also promote the bonding between Ag and ZTA ceramic.
(4) The CuO coating on ZTA can retain a continuous layer until the temperature reaches over 980 °C, and the coating induces a reduction of more than 40° in the contact angle in the first wetting stage between the initial and the CuO coating-improved wetting systems. In the steady spreading stage, the formation of more CuO-rich monotectic liquid in the region near the triple line contributed to a decrease of about 10° in the contact angle between the two wetting systems.
Author Contributions
Conceptualization, G.F. and Y.W.; investigation, M.L., Y.L. and Z.J.; data curation, M.L. and Y.L.; writing—original draft preparation, G.F. and Y.W.; writing—review and editing, Y.W. and D.D.; project administration, G.F. and Y.W.; funding acquisition, G.F., Y.W. and D.D. All authors have read and agreed to the published version of the manuscript.
Funding
This research was funded by the National Natural Science Foundation of China, grant numbers 51705046, 51875063, and 51905055.
Data Availability Statement
The data and methods used in the research are presented in sufficient detail in the document for other researchers to replicate the work.
Acknowledgments
The authors gratefully acknowledge the financial support from the National Natural Science Foundation of China (Grant No. 51705046, No. 51875063, and No. 51905055).
Conflicts of Interest
The authors declare no conflict of interest.
References
- Zheng, Y.; Deng, C.; Ding, J.; Zhu, H.; Yu, C. Fabrication and microstructures characterization of AlN-Al2O3 porous ceramic by nitridation of Al4O4C. Mater. Charact. 2020, 161, 110159. [Google Scholar] [CrossRef]
- Wang, X.; Cheng, T.; Li, W. Towards structural design and thermal management of advanced 2D CMCs. Ceram. Int. 2021, 47, 4845–4853. [Google Scholar] [CrossRef]
- Zheng, T.; Wang, W.; Sun, J.; Liu, J.; Bai, J. Development and evaluation of Al2O3-ZrO2 composite processed by digital light 3D printing. Ceram. Int. 2020, 46, 8682–8688. [Google Scholar] [CrossRef]
- Lopes, A.C.O.; Coelho, P.G.; Witek, L.; Benalcázar Jalkh, E.B.; Gênova, L.A.; Monteiro, K.N.; Cesar, P.F.; Lisboa-Filho, P.N.; Bergamo, E.T.P.; Ramalho, I.S.; et al. Microstructural, mechanical, and optical characterization of an experimental aging-resistant zirconia-toughened alumina (ZTA) composite. Dent. Mater. 2020, 36, e365–e374. [Google Scholar] [CrossRef]
- Tebaldo, V.; Gautier, G. Influences of evaluation methods and testing load on microhardness and Young’s modulus of ZTA and ATZ ceramics. Ceram. Int. 2013, 39, 2683–2693. [Google Scholar] [CrossRef]
- Ali, M.; Knowles, K.M.; Mallinson, P.M.; Fernie, J.A. Microstructural evolution and characterisation of interfacial phases in Al2O3/Ag-Cu-Ti/Al2O3 braze joints. Acta Mater. 2015, 96, 143–158. [Google Scholar] [CrossRef]
- Zhou, B.F.; Wang, J.F.; Feng, K.Q.; Cai, Y.C.; Chen, S.T. Effect of brazing parameters on the microstructure and properties of SiC ceramic joint with Zr-Cu filler metal. Crystals 2020, 10, 93. [Google Scholar] [CrossRef]
- Chen, H.; Nai, X.; Zhao, S.; Lu, D.; Shen, Z.; Li, W.; Cao, J. Improvement for interfacial microstructure and mechanical properties of Ti3SiC2/Cu joint brazed by Ag-Cu-Ti Filler with copper mesh. Crystals 2021, 11, 401. [Google Scholar] [CrossRef]
- Weil, K.S.; Kim, J.Y.; Hardy, J.S. Reactive air brazing: A novel method of sealing SOFCs and other solid-state electrochemical devices. Electrochem. Solid-State Lett. 2005, 8, A133–A136. [Google Scholar] [CrossRef]
- Cao, J.; Si, X.; Li, W.; Song, X.; Feng, J. Reactive air brazing of YSZ-electrolyte and Al2O3-substrate for gas sensor sealing: Interfacial microstructure and mechanical properties. Int. J. Hydrogen Energy 2017, 42, 10683–10694. [Google Scholar] [CrossRef]
- Si, X.; Cao, J.; Ritucci, I.; Talic, B.; Feng, J.; Kiebach, R. Enhancing the long-term stability of Ag based seals for solid oxide fuel/electrolysis applications by simple interconnect aluminization. Int. J. Hydrogen Energy 2019, 44, 3063–3074. [Google Scholar] [CrossRef]
- Si, X.; Cao, J.; Song, X.; Qu, Y.; Feng, J. Reactive air brazing of YSZ ceramic with novel Al2O3 nanoparticles reinforced Ag-CuO-Al2O3 composite filler: Microstructure and joint properties. Mater. Des. 2017, 114, 176–184. [Google Scholar] [CrossRef]
- Si, X.; Cao, J.; Song, X.; Wang, Z.; Wang, Z.; Feng, J. Evolution behavior of Al2O3 nanoparticles reinforcements during reactive air brazing and its role in improving the joint strength. Mater. Des. 2017, 132, 96–104. [Google Scholar] [CrossRef]
- Kim, J.Y.; Hardy, J.S.; Weil, K.S. Effects of CuO content on the wetting behavior and mechanical properties of a Ag-CuO braze for ceramic joining. J. Am. Ceram. Soc. 2005, 88, 2521–2527. [Google Scholar] [CrossRef]
- Joshi, V.V.; Meier, A.; Darsell, J.; Weil, K.S.; Bowden, M. Trends in wetting behavior for Ag-CuO braze alloys on Ba0.5Sr0.5Co0.8Fe0.2O(3-δ) at elevated temperatures in air. J. Mater. Sci. 2013, 48, 7153–7161. [Google Scholar] [CrossRef]
- Zhang, Y.; Zhang, L.; Guo, W.; Liu, T.; Wu, C.; Ding, W.; Lu, X. Interfacial reaction and microstructural evolution of Ag-Cu braze on BaCo0.7Fe0.2Nb0.1O3-δ at high temperature in air. Ceram. Int. 2017, 43, 810–819. [Google Scholar] [CrossRef]
- Guo, C.; Zhu, W.; Shen, Y.; Sui, Q.; Liu, Y.; Ran, X. Joining ZTA ceramic by using Dy2O3-Al2O3-SiO2 glass ceramic filler. J. Eur. Ceram. Soc. 2020, 40, 5819–5828. [Google Scholar] [CrossRef]
- Zu, Y.; Wang, K.; Lv, S.; Chen, G.; Fu, X.; Zhou, W. Interfacial microstructure and mechanical properties of the superplastically joined TiO2-doped ZTA ceramics. Mater. Sci. Eng. A 2020, 779, 139121. [Google Scholar] [CrossRef]
- Wang, X.; Li, C.; Si, X.; Qi, J.; Feng, J.; Cao, J. Brazing ZTA ceramic to TC4 alloy using the Cu foam as interlayer. Vacuum 2018, 155, 7–15. [Google Scholar] [CrossRef]
- Prevost, E.; DeMarco, A.J.; MacMichael, B.; Joshi, V.V.; Meier, A.; Hoffman, J.W.; Walker, W.J. Microstructural development and mechanical properties for reactive air brazing of ZTA to Ni alloys using Ag-CuO braze alloys. Adv. Eng. Mater. 2014, 16, 1448–1455. [Google Scholar] [CrossRef]
- Wang, Y.; Liu, M.; Zhang, H.; Wen, Z.; Chang, M.; Feng, G.; Deng, D. Fabrication of reliable ZTA composite/Ti6Al4V alloy joints via vacuum brazing method: Microstructural evolution, mechanical properties and residual stress prediction. J. Eur. Ceram. Soc. 2021, 41, 4273–4283. [Google Scholar] [CrossRef]
- Chen, Y.; Liu, Y.; Xu, W.; Zhang, Y.; Nie, H.Y. Quantitative calibration of conductive pattern growth via electroless copper plating at nano-resolution. Surf. Topogr. Metrol. Prop. 2020, 8, 035003. [Google Scholar] [CrossRef]
- Weil, K.; Darsell, J.; Kim, J. Evidence of a high-temperature wetting transition between Ag-CuO liquid alloys and yttria-stabilized zirconia substrates. In Interfaces in Heterogeneous Ceramic Systems: Ceramics Transactions Series; Cook, L.P., Tanaka, S.-I., Wong-Ng, W., Schwartz, R., Eds.; John Wiley & Sons, Inc.: Hoboken, NJ, USA, 2011; pp. 45–54. [Google Scholar]
- Sinnamon, K.E.; Meier, A.M.; Joshi, V.V. Wetting and mechanical performance of zirconia brazed with silver/copper oxide and silver/vanadium oxide alloys. Adv. Eng. Mater. 2014, 16, 1482–1489. [Google Scholar] [CrossRef]
- Phongpreecha, T.; Nicholas, J.D.; Bieler, T.R.; Qi, Y. Computational design of metal oxides to enhance the wetting and adhesion of silver-based brazes on yttria-stabilized-zirconia. Acta Mater. 2018, 152, 229–238. [Google Scholar] [CrossRef]
- Saiz, E.; Cannon, R.M.; Tomsia, A.P. High-temperature wetting and the work of adhesion in metal/oxide systems. Annu. Rev. Mater. Res. 2008, 38, 197–226. [Google Scholar] [CrossRef]
- Muolo, M.L.; Valenza, F.; Passerone, A.; Passerone, D. Oxygen influence on ceramics wettability by liquid metals: Ag/α-Al2O3—Experiments and modelling. Mater. Sci. Eng. A 2008, 495, 153–158. [Google Scholar] [CrossRef]
- Shao, Z.B.; Liu, K.R.; Liu, L.Q.; Liu, H.K.; Dou, S. Equilibrium phase diagrams in the systems PbO-Ag and CuO-Ag. J. Am. Ceram. Soc. 1993, 76, 2663–2664. [Google Scholar] [CrossRef]
- Gauckler, L.J. Experimental phase diagram in the Ag-Cu2O-CuO System. J. Am. Ceram. Soc. 1998, 87, 2181–2187. [Google Scholar]
- Donnan, F.G.; Shaw, T.W.A. The solubility of oxygen in molten silver. J. Soc. Chem. Ind. Rev. 1910, 29, 987–989. [Google Scholar] [CrossRef]
- Voytovych, R.; Robaut, F.; Eustathopoulos, N. The relation between wetting and interfacial chemistry in the CuAgTi/alumina system. Acta Mater. 2006, 54, 2205–2214. [Google Scholar] [CrossRef]
- Kozlova, O.; Voytovych, R.; Eustathopoulos, N. Initial stages of wetting of alumina by reactive CuAgTi alloys. Scr. Mater. 2011, 65, 13–16. [Google Scholar] [CrossRef]
Publisher’s Note: MDPI stays neutral with regard to jurisdictional claims in published maps and institutional affiliations. |
© 2021 by the authors. Licensee MDPI, Basel, Switzerland. This article is an open access article distributed under the terms and conditions of the Creative Commons Attribution (CC BY) license (https://creativecommons.org/licenses/by/4.0/).