You are currently viewing a new version of our website. To view the old version click .
Crystals
  • Article
  • Open Access

25 May 2021

Effect of Mineral Admixtures on the Performance of Low-Quality Recycled Aggregate Concrete

Department of Environmental Technology, Faculty of Science and Technology, Meijo University, 1-501 Shiogamaguchi, Tempaku-ku, Nagoya 468-8502, Japan
This article belongs to the Special Issue Advances in Recycled Aggregate Concrete

Abstract

To improve the application of low-quality aggregates in structural concrete, this study investigated the effect of multi-purpose mineral admixtures, such as fly ash and ground granulated blast-furnace slag, on the performance of concrete. Accordingly, the primary performance of low-quality recycled aggregate concrete could be improved by varying the replacement ratio of the recycled aggregate and using appropriate mineral admixtures such as fly ash and ground granulated blast-furnace slag. The results show the potential for the use of low-quality aggregate in structural concrete.

1. Introduction

In Japan, a survey conducted in 2018 by the Ministry of Land, Infrastructure, and Transport showed that 74.4 million tonnes of construction waste are annually produced, most of which are recycled in compliance with the related laws and ordinances. Concrete waste accounts for 36.9 million tonnes of the total waste. Although the concrete recycling rate has reached 99.3%, most of the waste is used as roadbed gravel or backfill materials [1]. Therefore, there is a requirement to develop a high-value recycling method for concrete waste that would improve resource diversion and environmental preservation.
Currently, concrete waste is used almost entirely as roadbed gravel, such as RC-40 (recycled crusher run 0 to 40 mm); however, the demand for roadbed gravel is not expected to increase because of the declining construction of new roads [1]. New uses of concrete waste should be sought to counter the expected increase in the production of this waste with newer construction projects. Concrete waste contains harmful trace elements due to the use of cement, such as hexavalent chromium and lead. These trace elements may leach into the environment when fine mortar grits (diameter ≤ 5 mm), such as recycled fine aggregates and powders, are subjected to wetting [2]. Therefore, reducing the amount of fine powder may help to reduce the environmental risks of soil contamination associated with concrete waste recycling.
The most promising alternative material is recycled aggregate concrete (RAC) prepared using the aggregate replacement method. RAC is manufactured by mixing a certain amount of recycled aggregate class L; the uses of which are confined to concrete prepared from original mortar or original cement paste that includes toxic elements such as hexavalent chromium.
In 2018, the amount of RAC used was 119,000 tonnes, which is equivalent to 0.3% of the concrete recycling rate, while the remaining amount was used as roadbed gravel or backfill materials. This amount is approximately twice the 55,000 tonnes recorded in 2012; nevertheless, it is still a small amount. The amounts of RAC class H, M and L were 64,000, 50,000 and 5000 tonnes, respectively. Among them, the amount of RAC class M increased by 48,000 tonnes.
Table 1 lists the category of RAC and the combination of recycled aggregate [3]. In the revision of the Japanese Industrial Standard JIS A 5022 (Recycled aggregate concrete - Class M), RAC class M (M1 and M2) can be manufactured by mixing a certain amount of recycled aggregate class L, which is smaller than the regulated upper limit of the replacement ratio with normal aggregates [4]. Accordingly, the negative impact on the environment can be decreased by increasing the use of recycled aggregate class L [5]. Therefore, it is important to promote the use of RAC class M.
Table 1. Types of RAC and combination of aggregate [3].
As shown in Figure 1, within the original concrete waste, there are coarse aggregate, mortar and cement paste [3]. Therefore, when using recycled fine aggregate class L, a large amount of mortar and cement paste is required, which causes a wide variation in quality. Accordingly, futher data is required. Moreover, fly ash (FA) [6], an electric power generation by-product, and ground granulated blast-furnace slag (BFS) [7], a steel industry by-product, are considered to be effective in improving performance by suppressing the alkali-silica reaction (ASR) of recycled aggregate [8] and improving long-term compressive strength [9]. Consequently, it is necessary to examine the use of FA and BFS in improving the sustainable [10,11,12] and primary performances of structural concrete. In particular, it is necessary to clarify the effects of FA and BFS on the performance improvement of RAC class M using recycled aggregate class L in which a decrease in compressive strength and an increase in drying shrinkage was observed [5].
Figure 1. (a) Image of recycled aggregate class L and (b) quality standard [3,5].
In this study, to promote the use of low-quality recycled aggregate for structural concrete, the effect of multi-purpose mineral admixtures such as FA and BFS on the performance of the RAC class M was examined.

2. Material

Table 2 lists the qualities of cement and mineral admixtures used in this study, Table 3 summarises the aggregate information, and Table 4 shows the quality of the aggregate.
Table 2. Main quality of cement and mineral admixtures.
Table 3. Outline of recycled aggregate.

2.1. Cement and Mineral Admixtures

In this study, ordinary portland cement (N, JIS R 5210 [13]) was used. FA type II (FAII, JIS A 6201 [14]) and ground granulated BFS 4000 (BFS, JIS A 6206 [15]) were used as mineral admixtures.
Table 4. Quality of aggregates.
Table 4. Quality of aggregates.
ItemTest MethodNS1NS2CSNG1NG2RLS1RLS2RLG
Density in oven-dry condition (g/cm3)JIS A 1109 [16]2.562.592.612.652.631.952.142.29
Absorption (%)JIS A 1110 [17]1.671.240.880.650.9412.318.455.34
Fineness modulus (F.M.)JIS A 1102 [18]2.422.612.636.656.693.293.376.49
Content of materials finer than 75 μm sieve (%)JIS A 1103 [19]2.94.63.30.80.35.45.51.0
Solid content in aggregate (%)JIS A 1104 [20]65.365.966.660.863.764.165.260.9
Solid content of particle shape (%)JIS A 5005 [21]--59.7--60.060.360.0
Amount of contained impurities (mass %)AJIS A 5023 [22]-----0.1400.1
B000
C0.020.020.1
D000
E000
F000
G000
Total0.160.020.2
NS1, NS2: sand from Ibi river, CS: crushed sand from Shinshiro, and NG1, NG2: crushed stone from Kasugai.

2.2. Aggregate

River sand (NS1 and NS2) and crushed sand (CS) were used as the normal fine aggregate. Crushed stone 2005 (NG1 and NG2) was used as the normal coarse aggregate. Recycled aggregate class L (RLS1, RLS2, and RLG) was manufactured from different raw concrete waste by crushing and classifying at factory A and B.
RLG had an absorption of 5.34%, a 1.0% content of materials finer than a 75 μm sieve, and total impurities of 0.2 mass%. These physical properties satisfied JIS A 5023 Annex A. RLS1 had a density of 1.95 g/cm3 in the oven-dry condition, a 12.31% absorption, 5.4% content of materials finer than a 75 μm sieve, and total impurities of 0.16 mass%. RLS2 had a density of 2.14 g/cm3 in the oven-dry condition, 8.45% absorption, 5.5% content of materials finer than a 75 μm sieve, and total impurities of 0.02 mass%. In all cases, the category of ASR was B.

3. Mortar Experiment

This study investigated the effect of mineral admixtures by mortar experiments. Based on the results, concrete experiments were conducted.

3.1. Mix Proportion

As listed in Table 5, the water-to-binder ratio was constant (50%), and five replacement ratios of recycled fine aggregate (0%, 25%, 50%, 75% and 100%) were used. Based on the trial-mixing results, when river sand (NS1 and NS2) and crushed sand (CS) were used, the water content per unit volume was 245 and 270 kg/m3, respectively. When the replacement ratio of recycled fine aggregate class L was 100%, it was mixed with the same material used in standard mix proportions (N-NS-50 and N-CS-50). In terms of the use of mineral admixtures, N was substituted with FAII to make Portland–FA cement [23] types B (FB) and C (FC) with replacement ratios of 15% and 30%, respectively. Furthermore, FAII was substituted for fine aggregate with 20% of the N+FAII weight, and the mix proportions were prepared in both cases of cement and fine-aggregate substitutes.
Table 5. Mortar mix proportion.
BFS was used to replace the cement to make Portland–BFS cement [24] types B (BB) and C (BC) with replacement ratios of 40% and 70%, respectively. In total, 35 mortar specimens were prepared. The target flow and air content were 190 ± 20 mm and 4.5% ± 1.5%, respectively.
The specimens were prepared according to JIS R 5201 [25]. Among them, four compressive strength specimens were prepared for each mix proportion with a diameter of 5 cm and length of 10 cm based on JIS A 5308 Annex C (method B) [26]. For length change rate and accelerated carbonation specimens, three specimens with the dimension 4 cm × 4 cm × 16 cm were prepared using a mortar mould (JIS R 5201 11.2.2 [25]).

3.2. Experimental and Test Method

Table 6 shows experimental and test methods employed for the mortar used in this study. For fresh mortar, the flow value, air content, density, temperature and chloride-ion content were measured. For hardened mortar, the compressive strength, static modulus of elasticity, length change and accelerated carbonation depth were measured.
Table 6. Experiment and test method for mortar.

3.3. Experiment Result and Evaluation

3.3.1. Fresh Mortar

Table 7 lists the fresh mortar specimen groups.
Table 7. Fresh mortar.
(1)
Flow Value and Air Content
Air-entraining and water-reducing admixture was 0.2–0.9% of the binder weight. In the case where FAII was used as a cement and fine-aggregate substitute together, with cement replacement ratios of 15% and 30%, respectively, the air content adjustment admixture was used at 0.004% and 0.006%. Accordingly, the flow value and air content of all specimens were satisfied.
(2)
Density
The density was lower when the replacement ratio of recycled aggregate class L increased because of the effect of adhered mortar and cement paste.
(3)
Temperature
N specimen groups were prepared at 21.1–25.4 °C. For FAII specimen groups, the range was 14.9–19.9 °C for cement-substituted specimen groups, 18.6–20.3 °C for the fine-aggregate substituted specimen groups, and 19.7–20.2 °C for specimen groups with FAII as both cement and fine-aggregate substitutes. For BFS specimen groups, the temperature range was 19.5–26.1 °C. In general, compared to N specimen groups, the temperature of FA specimen groups was lower [32]. Furthermore, the effect of the recycled fine-aggregate replacement ratio was not observed.
(4)
Chloride-ion Content
In all specimen groups, when the replacement ratio of recycled fine aggregate class L increased, the chloride-ion content increased. Otherwise, no effect of mineral admixtures was observed.

3.3.2. Hardened Mortar

Figure 2 shows the measured compressive strength and elastic modulus of elasticity, Figure 3 shows the length change rate results, and Figure 4 shows the carbonation coefficients.
Figure 2. Compressive strength and static modulus of elasticity of mortar.
Figure 3. Length change rate of mortar.
Figure 4. Carbonation coefficient of mortar.
(1)
Compressive Strength
When recycled fine aggregate class L was used, the compressive strength decreased as the replacement ratio of recycled fine aggregate increased. In other words, the higher the amount of recycled fine aggregate class L used, the lower the compressive strength development following age. Using mineral admixtures, the long-term compressive strength showed an increasing trend from 4 to 13 weeks. For the specimen with FAII as a fine-aggregate substitute, the development of compressive strength increased because of the increase in the weight of the binder. However, for FB and FC, as the replacement ratio of recycled fine aggregate class L increased, compressive strength development reduced, and the long-term compressive strength was slightly improved.
(2)
Elastic Modulus of Elasticity
Figure 2 shows that when recycled fine aggregate class L was used, the elastic modulus of elasticity followed the same trend as the compressive strength. It showed a decreasing trend when the replacement ratio of recycled fine aggregate increased. Regarding the effect of mineral admixtures on the increasing trend from 4 to 13 weeks, there was no difference when FA was used as cement and fine-aggregate substitutes, even when the amount of mixed FA was high. However, when BFS was used as BB and BC with the replacement ratios of 40% and 70%, respectively, a stable increasing trend was observed.
(3)
Length Change
As shown in Figure 3, when recycled fine aggregate class L was used, the length change rate increased as the replacement ratio of recycled fine aggregate increased. Regarding the effect of the mineral admixture, when FAII and BFS (BB or higher) were used, compared with the N specimen groups, the length change rate decreased, even with a high replacement ratio of recycled fine aggregate class L. For BFS, the length change rate significantly decreased because of the increased amount of SO3 in the mortar [33].
(4)
Accelerated Carbonation
Accelerated carbonation was observed for up to 26 weeks. However, one specimen (BFS70-RLS1100-50) was completely carbonated at four weeks and five specimens (FA30-RLS150-50, FA30-RLS175-50, FA30-RLS1100-50, BFS40-RLS1100-50 and BFS70-RLS150-50) were completely carbonated at eight weeks. Therefore, the carbonation coefficient was examined at eight weeks. Furthermore, for the specimens that were completely carbonated at four and eight weeks, the data of the first and fourth weeks were used, respectively, because the time for complete carbonation could not be specified.
As shown in Figure 4, when N was used, the carbonation coefficient increased as the replacement ratio of RLS1 and RLS2 increased. Regarding the effect of mineral admixture, compared to N specimen groups, when the FAII and BFS (BB type) were used, the carbonation coefficient was a little high, and when BFS (BC type) was used, the value doubled. When FAII was used as a fine-aggregate substitute, a decreasing trend was observed.
Figure 5 shows the relationship between the compressive strength and carbonation coefficient. Regarding the use of N, FAII, and BFS, the higher the compressive strength, the lower the carbonation coefficient. When FAII was used as a fine-aggregate substitute, because of the increased binder weight, the compressive strength was high; therefore, the carbonation process could be slower. However, owing to the effect of the contained mortar and cement paste in recycled fine aggregate, the experiment results of the FAII specimen groups showed variations, which caused a low coefficient of determination, but, in general, a relative correlation was obtained.
Figure 5. Correlation between compressive strength and carbonation coefficient. 1 Experimental results of N specimens at 4 weeks and FAII, BFS specimens at 13 weeks are shown. 2 For the specimens completely carbonated before 8 weeks, the data of the first and fourth weeks were used.

4. Concrete Experiment

As a result of the mortar experiments, the target value of the flow value and air content was obtained by using chemical admixture. Using FAII suppressed the as-mixed temperature. Furthermore, the use of FAII as a fine-aggregate substitute could improve the long-term compressive strength and suppress carbonation. In addition, the use of BFS could decrease the length change rate. Based on these results, the concrete mix proportions were examined.

4.1. Mix Proportion

Table 8 shows the mix proportions of the prepared concrete. The water-to-binder ratio was fixed at 55%. Five RLG and RLS replacement ratios (0%, 25%, 50%, 75% and 100%) were employed. Regarding the binder types, 15 specimen groups used N, and 10 specimen groups used BFS with a replacement ratio of 40%, which is equivalent to the BB type. Furthermore, regarding the solution for ASR certified by the Japanese Ministry of Land, Infrastructure, Transport and Tourism [5], FAII was used as a fine-aggregate substitute with 20% of N + FAII by weight to make 10 specimen groups. In total, 35 specimen groups were prepared.
Table 8. Concrete mix proportion.
The water content per unit volume was 175 kg/m3. However, when BFS was used, this value was reduced by 2% as per the trial-mixing results. For chemical admixture, modified lignin sulphonic acid compound, poly-carboxylic acid-based air-entraining (AE) and water-reducing admixtures (high-performance type) were used. A resin salt-based anionic surfactant was used as the air content adjusting admixture, and a polyether-based anti-foaming was used as the anti-foaming admixture. For FAII-based concrete, high-fatty-acid salt and non-ionic surfactants were used as the AE admixture. In both cases, the target slump and air content were 18 ± 2.5 cm and 4.5 ± 1.5%, respectively.

4.2. Experimental and Test Methods

Table 9 shows experimental and test methods for the concrete employed in this study. For fresh concrete, the slump, air content, density, temperature, and chloride-ion content were measured. For hardened concrete, the compressive strength, static modulus of elasticity, drying shrinkage, accelerated carbonation, and freezing and thawing experiments were implemented.
Table 9. Experiment and test method of concrete.

4.3. Experimental Result and Evaluation

4.3.1. Fresh Concrete

The fresh concrete specimen groups are shown in Table 10.
Table 10. Fresh concrete.
(1)
Slump and Air Content
As shown in Table 6, the AE and water-reducing admixture was 1% of the binder weight in all specimen groups. For the specimen groups with N and BFS, the air content adjustment admixture was 0.002–0.003% of the binder weight. For the specimen groups with recycled aggregate class L, when a relatively large amount of air was entrapped, an anti-foaming admixture was used at 0.0005% of binder weight. Furthermore, for specimen groups with FAII, the AE admixture for FA was used at 0.2–0.3% of the binder weight. Accordingly, the target slump and the target air content were obtained for all specimen groups. Regarding the aggregate correction factor, when recycled coarse aggregate class L and the recycled fine aggregate class L were used, the aggregate correction factor was 0.2–0.6% and 0.3–0.8%, respectively. When the replacement ratio of recycled aggregate increased, the aggregate correction factor increased.
(2)
Chloride-ion Content
The chloride-ion content of the RAC was calculated based on JIS A 5023:2012 (Recycled concrete using recycled aggregate Class L) [22]. The chloride-ion content in all specimen groups increased as the replacement ratio of recycled aggregate class L increased; however, all specimens satisfied the value of ≤0.30 kg/m3 as regulated by JIS A 5308.
(3)
Density
The density of the RAC decreased when the replacement ratio of the low-density recycled aggregate increased because of the effect of adhered mortar and cement paste.
(4)
Concrete Temperature
The as-mixed temperature of all specimens was < 35 °C. The temperature was 21.6–28.6 °C when N was used, 16.8–27.3 °C when FAII was used, and 17.1–26.4 °C when BFS was used. The temperature showed a decreasing trend when mineral admixtures were used.

4.3.2. Hardened Concrete

Figure 6 shows the compressive strength and static modulus of elasticity of the concrete. Figure 7 shows the drying shrinkage rate [3] by length change rate at 26 weeks and accelerated carbonation depth, and Figure 8 shows the relationship between the as-mixed air content and durability factor.
Figure 6. Compressive strength and static modulus of elasticity of concrete.
Figure 7. Drying shrinkage rate and accelerated carbonation depth of concrete with recommendations for design and construction practice of high durable concrete [38].
Figure 8. Relationship between as-mixed air content and durability factor.
(1)
Compressive Strength
As shown in Figure 6, the effect of the recycled aggregate replacement ratio was observed. In all specimen groups, the compressive strength decreased as the replacement ratio of the recycled aggregate increased. This trend was more significant when the replacement ratio of RLS was ≥50%. In N specimen groups, the compressive strength from 4 to 13 weeks decreased as the replacement ratio increased. Compared to N specimen groups, when FAII was used as a fine-aggregate substitute, the compressive strength from 4 to 13 weeks was higher, particularly for FANGNS-55, where it exceeded 50 N/mm2. However, when BFS was used, compared with the N specimen groups, the compressive strength at four weeks was low; however, at 13 weeks it was quite similar. Therefore, even when the replacement ratio of the recycled fine aggregate class L was high, the use of mineral admixtures could reduce the depression in long-term strength because of the pozzolanic reaction of FA [6] and latent hydraulic of BFS [7].
(2)
Static Modulus of Elasticity
As shown in Figure 6, the trend of static modulus of elasticity is similar to that of compressive strength. The static modulus of elasticity decreased as the replacement ratio of the recycled aggregate increased. When the age of the specimens increased, the static modulus of elasticity remained low. When the recycled aggregate was not used, the effect of the mineral admixtures was almost the same for the N, FAII and BFS specimen groups regardless of age. When the recycled aggregate was used, no significant effect was observed.
(3)
Drying Shrinkage
As shown in Figure 7, the drying shrinkage rate of the concrete with recycled aggregate class L increased when both RLS and RLG were used at a replacement ratio of ≥50%. For N and FAII specimen groups, when the replacement ratio of RLS was ≥50% or RLG ≥ 75%, certain specimens exhibited a drying shrinkage rate higher than the quality target value of 8 × 10−4 regulated for long-term and extra long-term planned service life in JASS 5(2018) [3]. However, all BFS specimen groups exhibited a drying shrinkage rate smaller than 8 × 10−4. Therefore, when the replacement ratio of recycled aggregate is in accordance with the regulated range for RAC class M, or when the BB type of BFS is used, the required performance of concrete is assured. Furthermore, as the SO3 content of the concrete increases, the drying shrinkage rate is lowered. When SO3 content in BFS is ~2.0% and the replacement ratio of BFS (BB type) for cement is 60%, the drying shrinkage rate is smaller than that of N specimen groups [33].
(4)
Accelerated Carbonation
As shown in Figure 7, for the N specimen groups, the accelerated carbonation depth at 26 weeks was relatively high when the replacement ratio of RLS was ≥50% and that of RLG was ≥75%. Compared to N specimen groups, when FAII was used as a fine-aggregate substitute, the carbonation depth was small. This is because, compared to N specimen groups, the long-term strength of the specimens increased when FAII was used as a fine-aggregate substitute. When BFS (BB type) was used, accelerated carbonation demonstrated an increasing trend.
(5)
Freezing and Thawing
As shown in Figure 8, for the as-mixed fresh concrete, when the target air content of the concrete used for freezing and thawing was 4.0–6.0% (4.5 ± 1.5% and under the limit of air content was 4.0% [3]), regardless of the recycled aggregate replacement ratio, the durability factor was roughly >80, indicating good resistance to frost damage. However, for the BFS specimen groups, when the RLS replacement ratio was of >50%, as in cases of BFSRLG50RLS50-55 and BFSNGRLS100-55, the durability factor was significantly <30. This is because when the replacement ratio of recycled fine aggregate (absorption = ~10%) is 50% and the air content is within the regulated range, the durability factor is ≤60 [39]. In the case where low-quality recycled fine aggregate is used together with BFS, a complex cause is considered.
The change in the slump and air content with time was examined for specimen groups with low durability factors, such as BFSRLG50RLS50-55, BFSNGRLS100-55 and BFSNGNS-55, for comparison (Table 11). Compared with the slump at 0 min, the slump of BFSNGNS-55 changed by 1.5 cm in 30 min, 7.9 cm in 60 min, and 18.5 cm in 90 min. The slump of BFSRLG50RLS50-55 changed by 4.0 cm in 30 min, 12.5 cm in 60 min, and 17.0 cm in 90 min. The slump of BFSNGRLS100-55 changed by 3.0 cm in 30 min, 10.0 cm in 60 min, and 20.0 cm in 90 min. However, regarding the decrease in air content, compared with the 4.6%, 5.8% and 6.3% change in BFSNGNS-55, the change in BFSRLG50RLS50-55 was 4.2%, 5.4% and 6.3% and BFSNGRLS100-55 was 2.1%, 2.9% and 3.0% in 30, 60 and 90 min, respectively, because the as-mixed air content was small.
Table 11. Change of slump and air content with time.
Considering BFSRLG50RLS50-55 and BFSNGRLS100-55 for the freezing and thawing experiment, although anti-foaming admixtures were used to decrease the as-mixed air content because a decreased change in time with air content was observed, the air content of the specimen group was smaller than the target value. Therefore, the durability factor of these specimens was low.

4.4. Performance Evaluation using Relative Quality Index

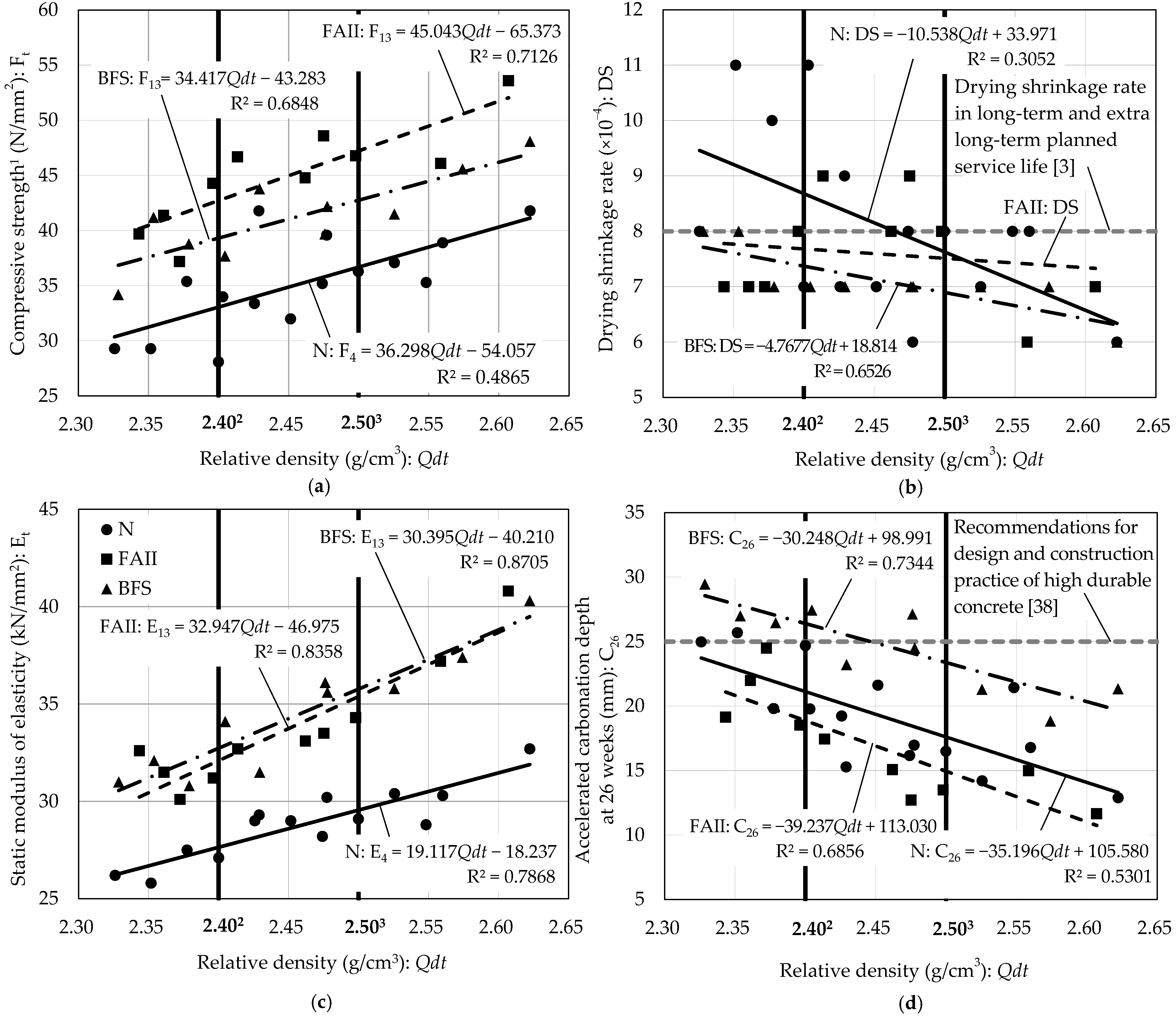
In the relative quality index method, the relative quality index is calculated based on the primary properties of normal and recycled aggregates, such as the absorption and replacement ratio of recycled aggregate. Then, the correlation between the relative quality index and the concrete performance is evaluated. The empirical formula is then derived from the results of past experiments; moreover, a mix proportion with a range of strength is set based on the required thresholds of drying shrinkage rate and carbonation. After being verified in a manufacturing factory, the final mix proportion is determined. Therefore, it is possible to obtain a performance design for concrete in which drying shrinkage and durability were considered [5]. In this study, because FA was used to substitute fine aggregate, the density, which correlates highly with absorption [39,40], was the primary concrete property used to calculate the relative density using Equation (1) based on volume. The correlation between the relative density and concrete main performance was evaluated (Figure 9). Furthermore, regarding the compressive strength, the N specimen groups at 4 weeks and FAII and BFS specimen groups at 13 weeks were evaluated. To clarify the effect of mineral admixtures, a relational expression was obtained for each case of performance and binder type.
Q d t = a Q d v G + b Q d v N + c Q d r G + d Q d r N + e Q F A a + b + c + d + e ,
Figure 9. Correlation between relative density and (a) compressive strength, (b) drying shrinkage rate, (c) static modulus of elasticity, and (d) accelerated carbonation depth at 26 weeks. 1 Experimental results of N specimens at 4 weeks and those of FAII and BFS specimens at 13 weeks are shown. 2 Relative density was calculated using the lower limit of density in the oven-dry condition (Appendix A) and upper limit of the replacement ratio for recycled coarse aggregate class L and recycled fine aggregate class L according to RAC class M2. 3 Relative density was calculated using the lower limit of density in oven-dry condition (Appendix A) and upper limit of the replacement ratio for recycled coarse aggregate class L according to RAC class M1.
Qdt: relative density (g/cm3);
QdvG: density of ordinary coarse aggregate (g/cm3) in the oven-dry condition;
QdvN: density of ordinary fine aggregate (g/cm3) in the oven-dry condition;
QdrG: density of recycled coarse aggregate (g/cm3) in the oven-dry condition;
QdrS: density of recycled fine aggregate (g/cm3) in the oven-dry condition;
QFA: density of FA (g/cm3);
a, b, c, d: absolute volume of aggregate used (L/m3);
e: absolute volume of FA (L/m3).
As shown in Figure 9, in all specimen groups, the primary performance of the concrete decreased as the relative density decreased. Regarding the compressive strength, static modulus of elasticity, drying shrinkage rate (except FAII specimen groups) and accelerated carbonation depth, the experimental results showed certain variations; however, a correlation was generally obtained. Furthermore, for the drying shrinkage rate and accelerated carbonation depth, in the case of RAC class M1, which has a relative density of ≥2.50 g/cm3, all specimen groups satisfied the target value. However, for RAC class M2, which has a relative density of ≥2.40 g/cm3, by adding mineral admixtures, the target value was satisfied. Therefore, when normal aggregate is mixed with a recycled aggregate class L to make RAC, it is possible to satisfy the target value by ensuring appropriate use of mineral admixtures based on the correlation between the relative density and concrete main performance, and varying the recycled aggregate replacement ratio based on the quality of aggregates used.

5. Conclusions

The effect of general-purpose mineral admixtures, such as FA and ground granulated BFS on the performance of mortar and concrete with low-quality recycled aggregate was investigated. Based on these results, the following conclusions were made:
(1)
For fresh mortar with recycled fine aggregate class L, the target value was satisfied by varying the amount of chemical admixture. With FA, the temperature of the mortar was lower;
(2)
As the replacement ratio of recycled fine aggregate class L increased, the compressive strength of the mortar decreased However, when FAII was used to substitute fine aggregate, the long-term compressive strength became higher because of the mineral admixture;
(3)
When BFS was used as the BB type, the length change rate became low. As the replacement ratio of recycled fine aggregate class L increased, accelerated carbonation increased. However, by using FAII as a fine-aggregate substitute, because higher binder weight increases compressive strength, carbonation could be suppressed;
(4)
Considering the fresh concrete with low-quality recycled aggregate, even when the replacement ratio was high, the target quality could be satisfied by varying the amount of chemical admixture. When the replacement ratio of recycled aggregate was increased, the chloride-ion content increased;
(5)
With an increase in the recycled aggregate replacement ratio, the compressive strength and static modulus of elasticity decreased. However, the decrease in the development of compressive strength and the static modulus of elasticity in long-term age can be reduced by substituting FAII for the fine aggregate and using BFS as BB type;
(6)
When the replacement of recycled coarse and fine aggregate class L was each higher than 50%, the drying shrinkage rate increased and carbonation became faster. However, the drying shrinkage rate became lower when BFS was used as the BB type, and carbonation could be suppressed using FAII as a fine-aggregate substitute;
(7)
For frost damage resistance, the primary performance of concrete could be satisfied when the air content was within an appropriate range. However, when BFS was used as the BB type, and the replacement ratio of recycled fine aggregate class L was high, it was necessary to consider a decreased change of air content with time;
(8)
Regarding the relative density and the primary performance of RAC, there were certain variations; however, in general, a correlation could be obtained. When FAII and BFS were used, the performance design could be evaluated using the relative quality index method.
Based on these conclusions, it can be ascertained that when low-quality recycled aggregate is used in concrete, by varying the recycled aggregate replacement ratio and using suitable general-purpose admixtures such as FA and BFS, the primary performance of concrete can be improved. This would increase the use of low-quality recycled aggregate for structural concrete.

Funding

This study was funded by JSPS KAKENHI, grant number JP16K06593.

Data Availability Statement

The author confirm that the data supporting the findings of this study are available within the article.

Acknowledgments

For the support of experiments and data analyzing, I would like to express my gratitude to the graduate student Anh Duc Nguyen, and the graduated Yuzhou Tao and Kenji Nishikigi from graduate school of Meijo University.

Conflicts of Interest

The author declares no conflict of interest.

Appendix A

The lower limit of density of recycled aggregate class L in the oven-dry condition was calculated using the following equation:
Recycled coarse aggregate class L: Equation (A1) (equation for absorption of 4.0–6.0% [40]).
DdRLG = −0.053·ARLG + 2.56 = 2.19 (g/cm3)
Recycled fine aggregate class L: Equation (A2) (equation for absorption of 7.1–12.1% [39]).
DdRLS = −0.052·ARLS + 2.59 = 1.91 (g/cm3),
where
DdRLG: lower limit of density of recycled coarse aggregate class L (g/cm3) in the oven-dry condition;
ARLG: upper limit of absorption of recycled coarse aggregate class L (%) = 7;
DdRLS: under limit of density of recycled fine aggregate class L (g/cm3) in the oven-dry condition;
ARLS: upper limit of absorption of recycled fine aggregate class L (%) = 13.

References

  1. Result of Actual Status Investigation into Construction Waste in Fiscal 2018 (Census); Ministry of Land, Infrastructure, Transport and Tourism: Tokyo, Japan, 2020.
  2. Dosho, Y.; Tachi, H.; Mura, Y.; Sakazume, Y. Measurement to reduce hexavalent chromium leached from recycled coarse aggregate residue aggregate–Recycling system of concrete waste incurred from building demolition. AIJ J. Technol. Des. 2011, 17, 803–808. [Google Scholar] [CrossRef][Green Version]
  3. Japanese Architectural Standard Specification, JASS 5 Reinforced Concrete Work; Architectural Institute of Japan (AIJ): Tokyo, Japan, 2018.
  4. Japanese Industrial Standards, Recycled Aggregate Concrete-Class M, JIS A 5022; The Japanese Standards Association (JSA): Tokyo, Japan, 2018.
  5. Dosho, Y. Contributions of Concrete Recycling Technology toward Sustainable Development: Standards and Technologies Related to Recycled Aggregate Concrete in Japan. J. Mater. Eng. Struct. 2020, 7, 525–549. [Google Scholar]
  6. Recommendations for Practice of Concrete with Fly Ash; Architectural Institute of Japan (AIJ): Tokyo, Japan, 2007.
  7. Recommendation for Design and Practice of Reinforced Concrete Building with Portland Blast-Furnace Slag Cement or Ground Granulated Blast-Furnace Slag; Architectural Institute of Japan (AIJ): Tokyo, Japan, 2017.
  8. Dosho, Y. Study on the evaluation and suppression of alkali-silika reaction of concrete using low-quality recycled aggregate–Recycling system of concrete waste incurred from building demolition. AIJ J. Technol. Des. 2020, 26, 434–439. [Google Scholar] [CrossRef]
  9. Dosho, Y.; Mine, H.; Matsumoto, K.; Yamamoto, T. Study on strength contribution rate of concrete using fly ash. Proc. Jpn. Concr. Inst. 2019, 41, 221–226. [Google Scholar]
  10. Japanese Industrial Standards, Environmental Management for Concrete and Concrete Structure–Part 1: General principles, JIS Q 13315-1; The Japanese Standards Association (JSA): Tokyo, Japan, 2017.
  11. Japanese Industrial Standards, Environmental Management for Concrete and Concrete Structure–Part 2: System boundary and unventory data, JIS Q 13315-2; The Japanese Standards Association (JSA): Tokyo, Japan, 2017.
  12. Japanese Industrial Standards, Environmental Management for Concrete and Concrete Structure–Part 4: Environmental Design of Concrete Structure, JIS Q 13315-4; The Japanese Standards Association (JSA): Tokyo, Japan, 2017.
  13. Japanese Industrial Standards, Portland Cement, JIS R 5210; The Japanese Standards Association (JSA): Tokyo, Japan, 2009.
  14. Japanese Industrial Standards, Fly Ash for Use in Concrete, JIS A 6201; The Japanese Standards Association (JSA): Tokyo, Japan, 2015.
  15. Japanese Industrial Standards, Ground Granulated Blast-Furnace Slag for Concrete, JIS A 6206; The Japanese Standards Association (JSA): Tokyo, Japan, 2013.
  16. Japanese Industrial Standards, Methods of Test for Density and Water Absorption of Fine Aggregate, JIS A 1109; The Japanese Standards Association (JSA): Tokyo, Japan, 2006.
  17. Japanese Industrial Standards, Methods of Test for Density and Water Absorption of Coarse Aggregate, JIS A 1110; The Japanese Standards Association (JSA): Tokyo, Japan, 2006.
  18. Japanese Industrial Standards, Method of Test for Sieve Analysis of Aggregates, JIS A 1102; The Japanese Standards Association (JSA): Tokyo, Japan, 2014.
  19. Japanese Industrial Standards, Method of Test for Amount of Material Passing Test Sieve 75 μm in Aggregates, JIS A 1103; The Japanese Standards Association (JSA): Tokyo, Japan, 2014.
  20. Japanese Industrial Standards, Methods of Test for Bulk Density of Aggregates and Solid Content in Aggregates, JIS A 1104; The Japanese Standards Association (JSA): Tokyo, Japan, 2006.
  21. Japanese Industrial Standards, Crushed Stone and Manufactured Sand for Concrete, JIS A 5005; The Japanese Standards Association (JSA): Tokyo, Japan, 2009.
  22. Japanese Industrial Standards, Recycled Concrete Using Recycled Aggregate Class L, JIS A 5023; The Japanese Standards Association (JSA): Tokyo, Japan, 2012.
  23. Japanese Industrial Standards, Portland Fly-Ash Cement, JIS R 5213; The Japanese Standards Association (JSA): Tokyo, Japan, 2009.
  24. Japanese Industrial Standards, Portland Blast-Furnace Cement, JIS R 5211; The Japanese Standards Association (JSA): Tokyo, Japan, 2009.
  25. Japanese Industrial Standards, Physical Testing Methods for Cement, JIS R 5201; The Japanese Standards Association (JSA): Tokyo, Japan, 2015.
  26. Japanese Industrial Standards, Ready-Mixed Concrete, JIS A 5308; The Japanese Standards Association (JSA): Tokyo, Japan, 2014.
  27. Japanese Industrial Standards, Method of Test for Air Content of Fresh Concrete by Pressure Method, JIS A 1128; The Japanese Standards Association (JSA): Tokyo, Japan, 2005.
  28. Japanese Industrial Standards, Method of Test for Unit Mass and Air Content of Fresh Concrete by Mass Method, JIS A 1116; The Japanese Standards Association (JSA): Tokyo, Japan, 2005.
  29. Japanese Industrial Standards, Method of Measurement for Temperature of Fresh Concrete, JIS A 1156; The Japanese Standards Association (JSA): Tokyo, Japan, 2006.
  30. Japanese Industrial Standards, Methods of Measurement for Length Change of Mortar and Concrete-Part 3. Method with Dial Gauge, JIS A 1129-3; The Japanese Standards Association (JSA): Tokyo, Japan, 2010.
  31. Japanese Industrial Standards, Method of Accelerated Carbonation Test for Concrete, JIS A 1153; The Japanese Standards Association (JSA): Tokyo, Japan, 2012.
  32. Recommendation for Practice of Hot Weather Concreting; Architectural Institute of Japan (AIJ): Tokyo, Japan, 2019.
  33. Wachi, M.; Yonezawa, T.; Mitsui, K.; Inoue, K. Influence of SO3 amount on the physical properties of concrete using blast-furnace slag high content cement. Proc. Jpn. Concr. Inst. 2011, 33, 203–208. [Google Scholar]
  34. Japanese Industrial Standards, Method of Test for Slump of Concrete, JIS A 1101; The Japanese Standards Association (JSA): Tokyo, Japan, 2005.
  35. Japanese Industrial Standards, Method of Test for Compressive Strength of Concrete, JIS A 1108; The Japanese Standards Association (JSA): Tokyo, Japan, 2006.
  36. Japanese Industrial Standards, Method of Test for Static Modulus of Elasticity of Concrete, JIS A 1149; The Japanese Standards Association (JSA): Tokyo, Japan, 2017.
  37. Japanese Industrial Standards, Method of Test for Resistance of Concrete to Freezing and Thawing, JIS A 1148; The Japanese Standards Association (JSA): Tokyo, Japan, 2010.
  38. Recommendations for Design and Construction Practice of High Durable Concrete; Architectural Institute of Japan (AIJ): Tokyo, Japan, 1991.
  39. Dosho, Y.; Kikuchi, M.; Masuda, A.; Koyama, A.; Miura, T. Applicability of recycled fine aggregate concrete for structural concrete–Influence of properties of original mortar on qualities of recycled fine aggregate and recycled aggregate concrete. J. Struct. Constr. Eng. 1997, 502, 15–22. [Google Scholar] [CrossRef]
  40. Dosho, Y.; Kikuchi, M.; Masuda, A.; Koyama, A. Influence of properties of original concrete on qualities of recycled aggregate concrete. J. Struct. Constr. Eng. 1996, 485, 1–10. [Google Scholar]
Publisher’s Note: MDPI stays neutral with regard to jurisdictional claims in published maps and institutional affiliations.

Article Metrics

Citations

Article Access Statistics

Multiple requests from the same IP address are counted as one view.