Zn Doped α-Fe2O3: An Efficient Material for UV Driven Photocatalysis and Electrical Conductivity
Abstract
1. Introduction
2. Materials and Methods
2.1. Synthesis of Nanoparticles
2.2. Characterizations
2.3. Photocatalytic Test
3. Results and Discussion
3.1. XRD Analysis
3.2. TEM Analysis
3.3. Raman Analysis
3.4. FTIR Analysis
3.5. UV–Vis Analysis
3.5.1. Photocatalytic Activity
3.5.2. Electricity Cost
3.6. Dielectric Properties
Compositional Dependent Dielectric Constant
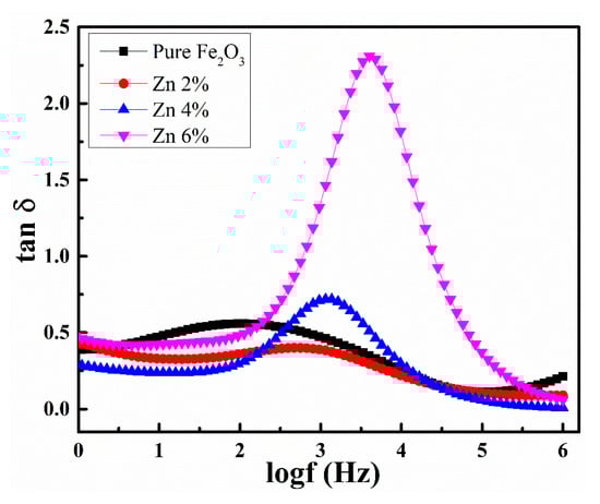
3.7. Dielectric Loss Tangent
3.8. AC Conductivity
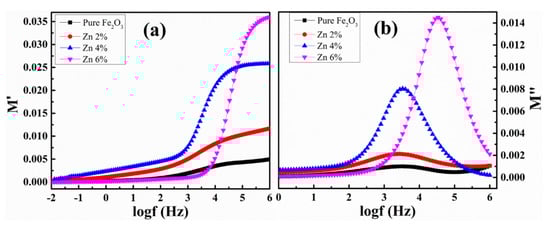
3.9. Modulus Properties
4. Conclusions
Author Contributions
Funding
Conflicts of Interest
References
- Satheesh, R.; Vignesh, K.; Suganthi, A.; Rajarajan, M. Visible light responsive photocatalytic applications of transition metal (M = Cu, Ni, and Co) doped α-Fe2O3 nanoparticles. J. Environ. Chem. Eng. 2014, 2, 1956–1968. [Google Scholar] [CrossRef]
- Nguyen, C.C.; Vu, N.N.; Do, T.O. Recent Advances in the Development of Sunlight-Driven Hollow Structure Photocatalysts and their Applications. J. Mater. Chem. A 2015, 3, 18345–18359. [Google Scholar] [CrossRef]
- Chahal, S.; Rani, N.; Kumar, A.; Kumar, P. Electronic Structure and Photocatalytic Activity of Samarium Doped Cerium Oxide Nanoparticles for Hazardous Rose Bengal Dye Degradation. Vacuum 2020, 172, 109075. [Google Scholar] [CrossRef]
- Bagheri, S.; Chandrappa, C.K.G.; Hamid, S.B.A. Generation of Hematite Nanoparticles via Sol-Gel Method. Res. J. Chem. Sci. 2013, 3, 62–68. [Google Scholar]
- Showa, B.; Mukherjee, N.; Mondal, A. α-Fe2O3 nanospheres: Facile synthesis and highly efficient photo-degradation of organic dyes and surface activation by nano-Pt for enhanced methanol sensing. RSC Adv. 2016, 6, 75347–75358. [Google Scholar] [CrossRef]
- Dong, H.; Zhang, H.; Xu, Y.; Zhao, C. Facile synthesis of α-Fe2O3 nanoparticles on porous human hair-derived carbon as improved anode materials for lithium-ion batteries. J. Power Sources 2015, 300, 104–111. [Google Scholar] [CrossRef]
- Saritas, S.; Sakar, B.C.; Kundakci, M.; Yildirim, M. The effect of Mg dopants on magnetic and structural properties of iron oxide and zinc ferrite thin films. Results Phys. 2018, 9, 416–423. [Google Scholar] [CrossRef]
- Abareshi, M.; Sajjadi, S.H.; Zebarjad, S.M.; Goharshadi, E.K. Fabrication, characterization, and measurement of viscosity of α-Fe2O3-glycerol nanofluids. J. Mol. Liq. 2011, 163, 27–32. [Google Scholar] [CrossRef]
- Kumar, P.; Sharma, V.; Singh, J.P.; Kumar, A.; Chahal, S.; Sachdev, K.; Chae, K.H.; Kumar, A.; Asokan, K.; Kanjilal, D. Investigations on Magnetic and Electrical Properties of Zn doped Fe2O3 Nanoparticles and their correlation with local electronic structure. J. Magn. Magn. Mater. 2019, 489, 165398. [Google Scholar] [CrossRef]
- Boudjemaa, A.; Boumazaa, S.; Trari, M.; Bouarab, R.; Bouguelia, A. Physical and photo-electrochemical characterizations of α-Fe2O3. Application for hydrogen production. INT J. Hydrog. Energ. 2009, 34, 4268–4274. [Google Scholar] [CrossRef]
- Shen, S.; Guo, P.; Wheeler, D.A.; Jiang, J.; Lindley, S.A.; Kronawitter, C.X.; Zhang, J.Z.; Guoa, L.; Mao, S.S. Physical and Photoelectrochemical Properties of Zr-doped Hematite Nanorod Arrays. Nanoscale 2013, 5, 9867. [Google Scholar] [CrossRef] [PubMed]
- Wang, G.; Ling, Y.; Wheeler, D.A.; George, K.E.N.; Horsley, K.; Heske, C.; Zhang, J.Z.; Li, Y. Facile Synthesis of Highly Photoactive α-Fe2O3-Based Films for Water Oxidation. Nano Lett. 2011, 11, 3503–3509. [Google Scholar] [CrossRef] [PubMed]
- Yogi, A.; Varshney, D. Magnetic and structural properties of pure and Cr-doped hematite: α-Fe2−xCrxO3 (0 ≤ x ≤ 1). J. Adv. Ceram. 2013, 2, 360–369. [Google Scholar] [CrossRef]
- Dang, M.Z.; Rancourt, D.G.; Dutrizac, J.E.; Lamarche, G.; Provencher, R. Interplay of surface conditions, particle size, stoichiometry, cell parameters, and magnetism in synthetic hematite-like materials. Hyperfine Interact. 1998, 117, 271–319. [Google Scholar] [CrossRef]
- Zeng, S.; Tang, K.; Li, T. Controlled synthesis of α-Fe2O3 nanorods and its size-dependent optical absorption, electrochemical, and magnetic properties. J. Colloid Interface Sci. 2007, 312, 513–521. [Google Scholar] [CrossRef]
- Varshney, D.; Yogi, A. Structural and Electrical conductivity of Mn doped Hematite (α-Fe2O3) phase. J. Mol. Struct. 2011, 995, 157–162. [Google Scholar] [CrossRef]
- Bruzzone, C.L.; Ingalls, R. Mossbauer-effect study of the Morin transition and atomic positions in hematite under pressure. Phys. Rev. B 1983, 28, 2430–2440. [Google Scholar] [CrossRef]
- Velev, J.; Bandyopadhyay, A.; Butler, W.H.; Sarker, S. Electrionic and magnetic structure of transition-metal-doped α-hematite. Phys. Rev. B 2005, 71, 205208. [Google Scholar] [CrossRef]
- Lassoued, A.; Dkhil, B.; Gadri, A.; Ammar, S. Control of the shape and size of iron oxide (α-Fe2O3) nanoparticles synthesized through the chemical precipitation method. Results Phys. 2017, 7, 3007–3015. [Google Scholar] [CrossRef]
- Vijayalakshmin, K.; Renitta, A.; Karthick, K. Growth of high-quality ZnO:Mg films on ITO coated glass substrates for enhanced H2 sensing. Ceram. Int. 2014, 40, 6171–6177. [Google Scholar] [CrossRef]
- Kumar, P.; Singh, V.; Sharma, V.; Rana, G.; Malik, H.K.; Asokan, K. Investigation of phase segregation in yttrium-doped zinc oxide. Ceram. Int. 2015, 41, 6734–6739. [Google Scholar] [CrossRef]
- Kumar, P.; Kumar, P.; Kumar, A.; Meena, R.C.; Tomar, R.; Chand, F.; Asokan, K. Structural, morphological, electrical and dielectric properties of Mn-doped CeO2. J. Alloys Compd. 2016, 672, 543–548. [Google Scholar] [CrossRef]
- Kumar, P.; Singh, J.P.; Malik, H.K.; Gautam, S.; Chae, K.H.; Asokan, K. Structural, transport and ferroelectric properties of Zn1-xMgxO samples and their local electronic structure. Superlattices Microst. 2014, 78, 183–189. [Google Scholar] [CrossRef]
- Jubb, A.M.; Allen, H.C. Vibrational Spectroscopic Characterization of Hematite, Maghemite and Magnetite Thin Films Produced by Vapor Deposition. ACS Appl. Mater. Interfaces 2010, 2, 2804–2812. [Google Scholar] [CrossRef]
- Mccarty, K.F.; Boehme, D.R. A Raman Study of the Systems Fe3−xCrxO4 and Fe2−xCrxO3. J. Solid State Chem. 1989, 79, 19–27. [Google Scholar] [CrossRef]
- Chernyshova, I.V.; Hochella, M.F., Jr.; Madden, A.S. Size-dependent structural transformations of hematite nanoparticles. 1. Phase transition. Phys. Chem. Chem. Phys. 2007, 9, 1736. [Google Scholar] [CrossRef] [PubMed]
- Rani, B.J.; Mageswari, R.; Ravi, G.; Ganesh, V.; Yuvakkumar, R. Design, fabrication, and characterization of hematite (α-Fe2O3) Nanostructures. JOM 2017, 69, 2508–2514. [Google Scholar] [CrossRef]
- Wang, W.; Liang, L.; Johs, A.; Gu, B. Thin films of uniform hematite nano-particles: Control of surface hydrophobicity and self-assembly. J. Mater. Chem. 2008, 18, 5770–5775. [Google Scholar] [CrossRef]
- Darezereshki, E. One-step synthesis of hematite (α-Fe2O3) nano-particles by direct thermal-decomposition of maghemite. Mater. Lett. 2010, 65, 642–645. [Google Scholar] [CrossRef]
- Lian, J.; Duan, X.; Ma, J.; Peng, P.; Kim, T.; Zheng, W. Hematite (α-Fe2O3) with Various Morphologies: Ionic Liquid-Assisted Synthesis, Formation Mechanism and Properties. ACS Nano 2009, 3, 3749–3761. [Google Scholar] [CrossRef]
- Mohammed, K.A.; Al-Rawas, A.D.; Gismelseed, A.M.; Sellai, A.; Widatallah, H.M.; Yousif, A.; Elzain, M.E.; Shongwe, M. Infrared and structural studies of Mg1–xZnxFe2O4 ferrites. Phys. B 2012, 407, 795–804. [Google Scholar] [CrossRef]
- Lassoued, A.; Lassoued, M.S.; Granda, S.G.; Dkhil, B.; Ammar, S.; Gadri, A. Synthesis and characterization of Ni-doped α-Fe2O3 nanoparticles through co-precipitation method with enhanced photocatalytic activities. J. Mater. Sci. Mater. Electron. 2018, 29, 5726–5737. [Google Scholar] [CrossRef]
- Mashiko, H.; Oshima, T.; Ohtomo, A. Band-gap narrowing in α-(CrxFe1−x)2O3 solid-solution films. Appl. Phys. Lett. 2011, 99, 241904. [Google Scholar] [CrossRef]
- Arul, N.S.; Mangalaraj, D.; Ramachandran, R.; Grace, A.N.; Hana, J.I. Fabrication of CeO2/Fe2O3 composite nanospindles for enhanced visible light driven photocatalyst and supercapacitor electrode. J. Mater. Chem. 2015, 3, 15248–15258. [Google Scholar] [CrossRef]
- Nagaraju, P.; Kumar, Y.V.; Reddy, M.V.R.; Reddy, C.V.; Reddy, D.M. Phase, Preparation, Micro structural characterization and Optical characterization of pure and Gd doped ceria thin films. J. Sci. Eng. Res. 2014, 5, 2229–5518. [Google Scholar]
- Chahal, S.; Rani, N.; Kumar, A.; Kumar, P. UV-irradiated photocatalytic performance of yttrium doped ceria for hazardous Rose Bengal dye. Appl. Surf. Sci. 2019, 493, 87–93. [Google Scholar] [CrossRef]
- Anandan, K.; Rajendran, V. Effects of Mn on the magnetic and optical properties and photocatalytic activities of NiO nanoparticles synthesized via the simple precipitation process. Mater. Sci. Eng. B Adv. 2015, 199, 48–56. [Google Scholar] [CrossRef]
- Bharatha, G.; Ponpandiana, N. Hydroxyapatite nanoparticles on dendritic α-Fe2O3 hierarchical architectures for heterogeneous photocatalyst and adsorption of Pb (II) ions from industrial wastewater. RSC Adv. 2015, 5, 84685–84693. [Google Scholar] [CrossRef]
- Chahal, S.; Kumar, A.; Kumar, P. Erbium-doped oxygen deficient cerium oxide: Bi-functional material in the field of spintronics and photocatalysis. Appl. Nanosci. 2020, 1–13. [Google Scholar] [CrossRef]
- Şafak-asar, Y.; Asar, T.; Altindal, Ş.; Özçelik, S. Investigation of dielectric relaxation and ac electrical conductivity using impedance spectroscopy method in (AuZn)/TiO2/p-GaAs(110) schottky barrier diodes. J. Alloys Compd. 2015, 628, 442–449. [Google Scholar] [CrossRef]
- Phor, L.; Kumar, V. Structural, Magnetic and Dielectric properties of Lanthanum substituted Mn0.5Zn0.5Fe2O4. Ceram. Int. 2019, 17, 22972–22980. [Google Scholar] [CrossRef]
- Rana, G.; Johri, U.C.; Asokan, K. Correlation between structural and dielectric properties of Ni-substituted magnetite nanoparticles. Europhys. Lett. 2013, 103, 17008. [Google Scholar] [CrossRef]
- Iwauchi, K. Dielectric Properties of Fine Particles of Fe3O4 and Some Ferrites. Jpn. J. Appl. Phys. 1971, 10, 1520–1528. [Google Scholar] [CrossRef]
- Pervaiz, E.; Gul, I.H. High frequency AC response, DC resistivity and magnetic studies of holmium substituted Ni-ferrite: A novel electromagnetic material. J. Magn. Magn. Mater. 2014, 349, 27–34. [Google Scholar] [CrossRef]
- Dar, M.A.; Batoo, K.M.; Verma, V.; Siddiqui, W.A.; Kotnala, R.K. Synthesis and characterization of nano-sized pure and Al-doped lithium ferrite having high value of dielectric constant. J. Alloys Compd. 2010, 493, 553–560. [Google Scholar] [CrossRef]
- Ramesh, S.; Dhanalakshmi, B.; Sekhar, B.C.; Rao, P.S.V.S.; Rao, B.P. Effect of Mn/Co substitutions on the resistivity and dielectric properties of nickel-zinc ferrites. Ceram. Int. 2016, 42, 9591–9598. [Google Scholar] [CrossRef]
- Rezlescu, N.; Rezlescu, E. Dielectric properties of copper containing ferrites. Phys. Status Solidi A 1974, 23, 575–582. [Google Scholar] [CrossRef]
- Ashwini, L.S.; Sridhar, R.; Bellad, S.S. Dielectric and magnetoelectric properties of LiMg ferrite: Barium titanate composites. Mater. Chem. Phys. 2017, 200, 136–145. [Google Scholar] [CrossRef]
- Gul, I.H.; Ahmed, W.; Maqsood, A. Electrical and magnetic characterization of nanocrystalline Ni-Zn ferrite synthesis by co-precipitation route. J. Magn. Magn. Mater. 2008, 320, 270–275. [Google Scholar] [CrossRef]
- Alia, I.; Islama, M.U.; Ashiqb, M.N.; Iqbala, M.A.; Khana, H.M.; Karamat, N. Effect of Tb-Mn substitution on DC and AC conductivity of Y-type hexagonal ferrite. J. Alloys Compd. 2013, 579, 576–582. [Google Scholar] [CrossRef]
- Bindu, K.; Ajith, K.M.; Nagaraja, H.S. Electrical, dielectric and magnetic properties of Sn-doped hematite (α-SnxFe2−xO3) nanoplates synthesized by microwave-assisted method. J. Alloys Compd. 2017, 735, 847–854. [Google Scholar] [CrossRef]













| Samples | Lattice Parameter (Å) | Crystallite Size (nm) | Dislocation Density (nm)−2 × 10−4 | Stress (GPa) | Particle Size From TEM (nm) | |
|---|---|---|---|---|---|---|
| a–axis | c–axis | |||||
| Pure Fe2O3 | 5.035 | 13.229 | 15 | 44.44 | −8.41 | 18 |
| Zn 2% | 5.041 | 13.242 | 18 | 30.86 | −8.20 | 20 |
| Zn 4% | 5.043 | 13.248 | 21 | 22.67 | −8.10 | 23 |
| Zn 6% | 5.002 | 13.221 | 14 | 51.02 | −8.54 | 16 |
| Samples | Band Gap (eV) | Valence Band Position (eV) | Conduction Band Position (eV) |
|---|---|---|---|
| Pure Fe2O3 | 2.66 | 2.70 | 0.04 |
| Zn 2% | 2.58 | 2.66 | 0.08 |
| Zn 4% | 2.31 | 2.52 | 0.21 |
| Zn 6% | 2.72 | 2.73 | 0.01 |
| Samples | Rate Constant (k) (min)−1 | % Degradation (in 90 min) | R2 | t1/2 (min) | t90 (min) |
|---|---|---|---|---|---|
| Pure Fe2O3 | 0.01087 | 63 | 0.9962 | 63.8 | 211.8 |
| Zn 2% | 0.01728 | 80 | 0.98381 | 40.1 | 133.3 |
| Zn 4% | 0.02277 | 87 | 0.99605 | 30.4 | 101.1 |
| Zn 6% | 0.00963 | 57 | 0.97569 | 72.0 | 239.1 |
© 2020 by the authors. Licensee MDPI, Basel, Switzerland. This article is an open access article distributed under the terms and conditions of the Creative Commons Attribution (CC BY) license (http://creativecommons.org/licenses/by/4.0/).
Share and Cite
Suman; Chahal, S.; Kumar, A.; Kumar, P. Zn Doped α-Fe2O3: An Efficient Material for UV Driven Photocatalysis and Electrical Conductivity. Crystals 2020, 10, 273. https://doi.org/10.3390/cryst10040273
Suman, Chahal S, Kumar A, Kumar P. Zn Doped α-Fe2O3: An Efficient Material for UV Driven Photocatalysis and Electrical Conductivity. Crystals. 2020; 10(4):273. https://doi.org/10.3390/cryst10040273
Chicago/Turabian StyleSuman, Surjeet Chahal, Ashok Kumar, and Parmod Kumar. 2020. "Zn Doped α-Fe2O3: An Efficient Material for UV Driven Photocatalysis and Electrical Conductivity" Crystals 10, no. 4: 273. https://doi.org/10.3390/cryst10040273
APA StyleSuman, Chahal, S., Kumar, A., & Kumar, P. (2020). Zn Doped α-Fe2O3: An Efficient Material for UV Driven Photocatalysis and Electrical Conductivity. Crystals, 10(4), 273. https://doi.org/10.3390/cryst10040273
