Enhancement of Crystallization Behaviors in Quaternary Composites Containing Biodegradable Polymer by Supramolecular Inclusion Complex
Abstract
1. Introduction
2. Materials and Methods
2.1. Materials and Preparation
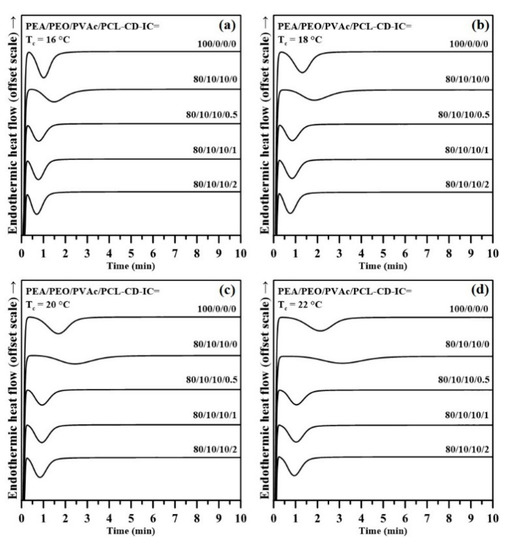
2.2. Investigations on Thermal and Crystallization Behaviors
2.3. Structural Identification with 1H Nuclear Magnetic Resonance (1H NMR) Spectra
2.4. Studies of Fourier-Transform Infrared Spectroscopy (FTIR) Spectra
2.5. Discussions on Crystalline Structures with Wide-Angle X-ray Diffraction (WAXD)
2.6. Morphological Observation
3. Results
4. Conclusions
Supplementary Materials
Author Contributions
Funding
Acknowledgments
Conflicts of Interest
References
- Chandra, R.; Rustgi, R. Biodegradable polymers. Prog. Polym. Sci. 1998, 23, 1273–1335. [Google Scholar] [CrossRef]
- Vroman, I.; Tighzert, L. Biodegradable polymers. Materials 2009, 2, 307–344. [Google Scholar] [CrossRef]
- Gross, R.A.; Kalra, B. Biodegradable polymers for the environment. Science 2002, 297, 803–807. [Google Scholar] [CrossRef] [PubMed]
- Safari, S.; van de Ven, T.G. Effect of crystallization conditions on the physical properties of a two-layer glassine paper/polyhydroxybutyrate structure. J. Mater. Sci. 2015, 50, 3686–3696. [Google Scholar] [CrossRef]
- Chaiwutthinan, P.; Chuayjuljit, S.; Srasomsub, S.; Boonmahitthisud, A. Composites of poly(lactic acid)/poly(butylene adipate-co-terephthalate) blend with wood fiber and wollastonite: Physical properties, morphology, and biodegradability. J. Appl. Polym. Sci. 2019, 136. [Google Scholar] [CrossRef]
- Luckachan, G.E.; Pillai, C.K.S. Biodegradable polymers-a review on recent trends and emerging perspectives. J. Polym. Environ. 2011, 19, 637–676. [Google Scholar] [CrossRef]
- Jiang, Z.; Qiu, Z. Unusual crystallization behavior of biodegradable poly(ethylene adipate) based nanocomposites induced by graphene oxide. RSC Adv. 2015, 5, 55486–55491. [Google Scholar] [CrossRef]
- Tang, J.; Li, L.; Wang, X.; Yang, J.; Liang, X.; Li, Y.; Ma, H.; Zhou, S.; Wang, J. Tailored crystallization behavior, thermal stability, and biodegradability of poly(ethylene adipate): Effects of a biocompatible diamide nucleating agent. Polym. Test 2020, 81. [Google Scholar] [CrossRef]
- Hsieh, Y.T.; Nurkhamidah, S.; Woo, E.M. Lamellar orientation and interlamellar cracks in co-crystallized poly(ethylene oxide)/poly(L-lactic acid) blend. Polym. J. 2011, 43, 762–769. [Google Scholar] [CrossRef][Green Version]
- Eom, Y.; Choi, B.; Park, S.-I. A study on mechanical and thermal properties of PLA/PEO blends. J. Polym. Environ. 2019, 27, 256–262. [Google Scholar] [CrossRef]
- Abdelghany, A.; Meikhail, M.; Asker, N. Synthesis and structural-biological correlation of PVC/PVAc polymer blends. J. Mater. Res. Technol-JMRT 2019, 8, 3908–3916. [Google Scholar] [CrossRef]
- Kim, K.S.; Chin, I.J.; Yoon, J.S.; Choi, H.J.; Lee, D.C.; Lee, K.H. Crystallization behavior and mechanical properties of poly(ethylene oxide)/poly(L-lactide)/poly(vinyl acetate) blends. J. Appl. Polym. Sci. 2001, 82, 3618–3626. [Google Scholar] [CrossRef]
- Lin, J.H.; Woo, E.M. Correlation between interactions, miscibility, and spherulite growth in crystalline/crystalline blends of poly(ethylene oxide) and polyesters. Polymer 2006, 47, 6826–6835. [Google Scholar] [CrossRef]
- Chang, C.S.; Woo, E.M.; Lin, J.H. Miscibility with asymmetrical interactions in blends of two carbonyl-containing polymers: Poly(vinyl acetate) with aliphatic polyesters. Macromol. Chem. Phys. 2006, 207, 1404–1413. [Google Scholar] [CrossRef]
- Wu, W.; Chiu, W.; Liau, W. Casting solvent effect on crystallization behavior of poly(vinyl acetate)/poly(ethylene oxide) blends: DSC study. J. Appl. Polym. Sci. 1997, 64, 411–421. [Google Scholar] [CrossRef]
- Szente, L.; Fenyvesi, É. Cyclodextrin-enabled polymer composites for packaging. Molecules 2018, 23, 1556. [Google Scholar] [CrossRef]
- Folch-Cano, C.; Yazdani-Pedram, M.; Olea-Azar, C. Inclusion and functionalization of polymers with cyclodextrins: Current applications and future prospects. Molecules 2014, 19, 4066. [Google Scholar] [CrossRef]
- Dong, T.; Mori, T.; Pan, P.; Kai, W.; Zhu, B.; Inoue, Y. Crystallization behavior and mechanical properties of poly(ε-caprolactone)/cyclodextrin biodegradable composites. J. Appl. Polym. Sci. 2009, 112, 2351–2357. [Google Scholar] [CrossRef]
- Prasannan, A.; Bich-Tram, T.-L.; Hsu, D.-Y.; Hong, P.-D.; Pan, G.-R. Nucleation effects of α-cyclodextrin inclusion complexes on the crystallization behavior of biodegradable poly(1,4-butylene adipate). Crystengcomm. 2013, 15, 5119–5126. [Google Scholar] [CrossRef]
- Chang, L.; Woo, E.M. Crystallization of poly(3-hydroxybutyrate) with stereocomplexed polylactide as biodegradable nucleation agent. Polym. Eng. Sci. 2012, 52, 1413–1419. [Google Scholar] [CrossRef]
- Chen, Y.A.; Wu, T.M. Crystallization kinetics of poly(1,4-butylene adipate) with stereocomplexed poly(lactic acid) serving as a nucleation agent. Ind. Eng. Chem. Res. 2014, 53, 16689–16695. [Google Scholar] [CrossRef]
- Harada, A.; Kawaguchi, Y.; Nishiyama, T.; Kamachi, M. Complex formation of poly(ε-caprolactone) with cyclodextrin. Macromol. Rapid Commun. 1997, 18, 535–539. [Google Scholar] [CrossRef]
- Iguchi, H.; Uchida, S.; Koyama, Y.; Takata, T. Polyester-containing α-cyclodextrin-based polyrotaxane: Synthesis by living ring-opening polymerization, polypseudorotaxanation, and end capping using nitrile N-oxide. ACS Macro Lett. 2013, 2, 527–530. [Google Scholar] [CrossRef]
- Dong, T.; He, Y.; Zhu, B.; Shin, K.-M.; Inoue, Y. Nucleation mechanism of α-cyclodextrin-enhanced crystallization of some semicrystalline aliphatic polymers. Macromolecules 2005, 38, 7736–7744. [Google Scholar] [CrossRef]
- Narayanan, G.; Gupta, B.S.; Tonelli, A.E. Enhanced mechanical properties of poly(ε-caprolactone) nanofibers produced by the addition of non-stoichiometric inclusion complexes of poly(ε-caprolactone) and α-cyclodextrin. Polymer 2015, 76, 321–330. [Google Scholar] [CrossRef]
- Avrami, M. Kinetics of phase change. II transformation-time relations for random distribution of nuclei. J. Chem. Phys. 1940, 8, 212–224. [Google Scholar] [CrossRef]
- Avrami, M. Granulation, phase change, and microstructure kinetics of phase change. III. J. Chem. Phys. 1941, 9, 177–184. [Google Scholar] [CrossRef]
- Lugito, G.; Woo, E.M. Interior lamellar assembly in correlation to top-surface banding in crystallized poly(ethylene adipate). Cryst. Growth Des. 2014, 14, 4929–4936. [Google Scholar] [CrossRef]
- Wu, H.; Qiu, Z. A comparative study of crystallization, melting behavior, and morphology of biodegradable poly(ethylene adipate) and poly(ethylene adipate-co-5 mol % ethylene succinate). Ind. Eng. Chem. Res. 2012, 51, 13323–13328. [Google Scholar] [CrossRef]
- Yang, J.; Pan, P.; Dong, T.; Inoue, Y. Crystallization kinetics and crystalline structure of biodegradable Poly(ethylene adipate). Polymer 2010, 51, 807–815. [Google Scholar] [CrossRef]






| PEA/PEO/PVAc/PCL–CD–IC (Relative Weight Ratio) | Tc (°C) | n | k (min−n) | t0.5 (min) | 1/t0.5 (min−1) |
|---|---|---|---|---|---|
| 100/0/0/0 | 16 | 2.70 | 2.62 | 0.61 | 1.64 |
| 18 | 2.70 | 1.42 | 0.77 | 1.30 | |
| 20 | 2.68 | 0.87 | 0.92 | 1.09 | |
| 22 | 2.65 | 0.52 | 1.11 | 0.90 | |
| 80/10/10/0 | 16 | 2.52 | 0.67 | 1.01 | 0.99 |
| 18 | 2.64 | 0.31 | 1.37 | 0.73 | |
| 20 | 2.84 | 0.14 | 1.75 | 0.57 | |
| 22 | 2.84 | 0.09 | 2.03 | 0.49 | |
| 80/10/10/0.5 | 16 | 2.52 | 3.48 | 0.53 | 1.90 |
| 18 | 2.57 | 2.53 | 0.60 | 1.66 | |
| 20 | 2.61 | 1.93 | 0.68 | 1.48 | |
| 22 | 2.88 | 1.34 | 0.80 | 1.26 | |
| 80/10/10/1 | 16 | 2.55 | 3.98 | 0.50 | 1.99 |
| 18 | 2.62 | 3.05 | 0.57 | 1.76 | |
| 20 | 2.75 | 2.33 | 0.64 | 1.55 | |
| 22 | 2.92 | 1.80 | 0.72 | 1.39 | |
| 80/10/10/2 | 16 | 2.54 | 5.82 | 0.43 | 2.31 |
| 18 | 2.50 | 3.55 | 0.52 | 1.92 | |
| 20 | 2.56 | 2.78 | 0.58 | 1.72 | |
| 22 | 2.73 | 2.16 | 0.66 | 1.52 |
Publisher’s Note: MDPI stays neutral with regard to jurisdictional claims in published maps and institutional affiliations. |
© 2020 by the authors. Licensee MDPI, Basel, Switzerland. This article is an open access article distributed under the terms and conditions of the Creative Commons Attribution (CC BY) license (http://creativecommons.org/licenses/by/4.0/).
Share and Cite
Lee, L.-T.; He, S.-P.; Huang, C.-F. Enhancement of Crystallization Behaviors in Quaternary Composites Containing Biodegradable Polymer by Supramolecular Inclusion Complex. Crystals 2020, 10, 1137. https://doi.org/10.3390/cryst10121137
Lee L-T, He S-P, Huang C-F. Enhancement of Crystallization Behaviors in Quaternary Composites Containing Biodegradable Polymer by Supramolecular Inclusion Complex. Crystals. 2020; 10(12):1137. https://doi.org/10.3390/cryst10121137
Chicago/Turabian StyleLee, Li-Ting, Sheng-Ping He, and Chih-Feng Huang. 2020. "Enhancement of Crystallization Behaviors in Quaternary Composites Containing Biodegradable Polymer by Supramolecular Inclusion Complex" Crystals 10, no. 12: 1137. https://doi.org/10.3390/cryst10121137
APA StyleLee, L.-T., He, S.-P., & Huang, C.-F. (2020). Enhancement of Crystallization Behaviors in Quaternary Composites Containing Biodegradable Polymer by Supramolecular Inclusion Complex. Crystals, 10(12), 1137. https://doi.org/10.3390/cryst10121137

