Enhancing the Ethynylation Performance of CuO-Bi2O3 Nanocatalysts by Tuning Cu-Bi Interactions and Phase Structures
Abstract
:1. Introduction
2. Results
2.1. Characterizing Fresh Catalysts
2.1.1. Structure, Texture, and Morphology
2.1.2. X-ray Photoelectron Spectroscopy
2.1.3. Reduction Behavior
2.2. Characterizing the Used Catalysts
2.2.1. Structure and Texture
2.2.2. CO-IR Spectroscopy
2.3. Catalytic Performance
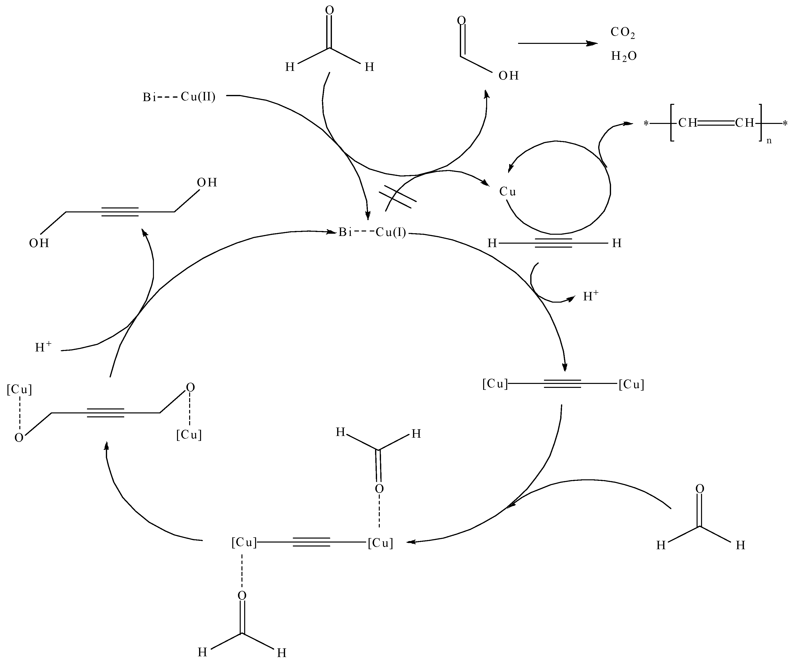
2.4. Reaction Mechanism
3. Materials and Methods
3.1. Preparation of the Catalysts
3.2. Characterization
3.3. Catalyst Test
4. Conclusions
Author Contributions
Funding
Acknowledgments
Conflicts of Interest
References
- Trotuş, I.T.; Zimmermann, T.; Schüth, F. Catalytic reactions of acetylene: A feedstock for the chemical industry revisited. Chem. Rev. 2014, 114, 1761–1782. [Google Scholar] [CrossRef] [PubMed]
- Reppe, W.; Keyssner, E. Production of Alkinols. U.S. Patent 2,232,867, 25 February 1941. [Google Scholar]
- Keyssner, E.; Eichler, E. Production of Dihydric Alcohols of the Acetylene Series. U.S. Patent 2,238,471, 15 April 1941. [Google Scholar]
- Tanielyan, S.; Schmidt, S.; Marin, N.; Alvez, G.; Augustine, R. Selective hydrogenation of 2-Butyne-1,4-diol to 1,4-Butanediol over particulate Raney® Nickel catalysts. Top. Catal. 2010, 53, 1145–1149. [Google Scholar] [CrossRef]
- Nadgeri, J.M.; Telkar, M.M.; Rode, C.V. Hydrogenation activity and selectivity behavior of supported palladium nanoparticles. Catal. Commun. 2008, 9, 441–446. [Google Scholar] [CrossRef]
- Kriaa, K.; Serin, J.P.; Contamine, F.; Cézac, P.; Mercadier, J. 2-Butyne-1,4-diol hydrogenation in supercritical CO2: Effect of hydrogen concentration. J. Supercrit. Fluids 2009, 49, 227–232. [Google Scholar] [CrossRef]
- Li, H.T.; Zhao, Y.X.; Gao, C.G.; Wang, Y.Z.; Sun, Z.J.; Liang, X.Y. Study on deactivation of Ni/Al2O3 catalyst for liquid phase hydrogenation of crude 1,4-butanediol aqueous solution. Chem. Eng. J. 2012, 181–182, 501–507. [Google Scholar] [CrossRef]
- Hari Prasad Reddy, K.; Anand, N.; Sai Prasad, P.S.; Rama Rao, K.S.; David Raju, B. Influence of method of preparation of Co-Cu/MgO catalyst on dehydrogenation/dehydration reaction pathway of 1, 4-butanediol. Catal. Commun. 2011, 12, 866–869. [Google Scholar] [CrossRef]
- Zhang, Q.; Zhang, Y.; Li, H.T.; Gao, C.G.; Zhao, Y.X. Heterogeneous CaO-ZrO2 acid–base bifunctional catalysts for vapor-phase selective dehydration of 1,4-butanediol to 3-buten-1-ol. Appl. Catal. A Gen. 2013, 466, 233–239. [Google Scholar] [CrossRef]
- Kim, M.N.; Kim, K.H.; Jin, H.J.; Park, J.K.; Yoon, J.S. Biodegradability of ethyl and n-octyl branched poly(ethylene adipate) and poly(butylene succinate). Eur. Polym. J. 2001, 37, 1843–1847. [Google Scholar] [CrossRef]
- Zhao, F.Y.; Ikushima, Y.; Arai, M. Hydrogenation of 2-butyne-1,4-diol in supercritical carbon dioxide promoted by stainless steel reactor wall. Catal. Today 2004, 93–95, 439–443. [Google Scholar] [CrossRef]
- Bonrath, W.; Bernd, E.; Reinhard, K.; Schneider, M. Ethynylation Process. U.S. Patent 6,949,685, 27 September 2005. [Google Scholar]
- Frantz, D.E.; Fässler, R.; Carreira, E.M. Facile Enantioselective Synthesis of Propargylic Alcohols by Direct Addition of Terminal Alkynes to Aldehydes. J. Am. Chem. Soc. 2000, 122, 1806–1807. [Google Scholar] [CrossRef]
- Bukur, D.B.; Okabe, K.; Rosynek, M.P.; Li, C.P.; Wang, D.J.; Rao, K.R.P.M.; Huffman, G.P. Activation studies with a precipitated iron catalyst for Fischer-Tropsch synthesis. J. Catal. 1995, 155, 353–365. [Google Scholar] [CrossRef]
- Gao, F.F.; Wang, H.; Qing, M.; Yang, Y.; Li, Y.W. Controlling the phase transformations and performance of iron-based catalysts in the Fischer-Tropsch synthesis. Chin. J. Catal. 2013, 34, 1312–1325. [Google Scholar] [CrossRef]
- Wang, J.J.; Li, H.T.; Ma, Z.Q.; Wang, Z.P.; Guo, J.Y.; Zhao, Y.X. Preparation of magnetic CuO-Bi2O3/Fe3O4-SiO2-MgO catalyst and its catalytic performance for formaldehyde ethynylation. J. Chem. Ind. Eng. 2015, 66, 2098–2104. [Google Scholar]
- Zheng, Y.; Sun, Z.J.; Wang, Y.Z.; Li, H.T.; Wang, S.A.; Luo, M.; Zhao, J.L.; Zhao, Y.X. Preparation of CuO-Bi2O3/SiO2-MgO catalyst and its ethynylation performance. J. Mol. Catal. 2012, 26, 233–238. [Google Scholar]
- Yang, G.F.; Li, H.T.; Zhang, H.X.; Wang, Z.P.; Liu, L.L.; Zhao, Y.X. Effect of NaOH concentration on structure and catalytic performance of Cu2O for formaldehyde ethynylation. J. Mol. Catal. 2016, 30, 540–546. [Google Scholar]
- Li, H.T.; Niu, Z.Z.; Yang, G.F.; Zhang, H.X.; Wang, Z.P.; Zhao, Y.X. Support effect of Cu2O/TiO2 employed in formaldehyde ethynylation. J. Chem. Ind. Eng. 2018, 69, 2512–2518. [Google Scholar]
- Reppe, W.; Steinhofer, A.; Spaenig, H. Production of Alkinols. U.S. Patent 2,300,969, 3 November 1942. [Google Scholar]
- Codignola, F.; Aires, B. Process for the Catalytic Hydrogenation of 1,4-Butynediol to 1,4-Butanediol. U.S. Patent 4,438,285, 20 March 1984. [Google Scholar]
- Hort, E.V.; Piscataway, N.J. Ethynylation Catalyst and Method of Production Alkynols by Low Pressure Reactions. U.S. Patent 3,920,759, 18 November 1975. [Google Scholar]
- Fremont, J.M. Malachite Preparation. U.S. Patent 4,107,082, 15 August 1978. [Google Scholar]
- Fremont, J.M. Preparation of Butynediol Using Bismuth Modified Spheroidal Malachite. U.S. Patent 4,127,734, 28 November 1978. [Google Scholar]
- Luo, M.F.; Fang, P.; He, M.; Xie, Y.L. In situ XRD, Raman, and TPR studies of CuO/Al2O3catalysts for CO oxidation. J. Mol. Catal. A Chem. 2005, 239, 243–248. [Google Scholar] [CrossRef]
- Liu, Y.J.; Qing, S.J.; Hou, X.N.; Qin, F.J.; Wang, X.; Gao, Z.X.; Xiang, H.W. Temperature dependence of Cu–Al spinel formation and its catalytic performance in methanol steam reforming. Catal. Sci. Technol. 2017, 7, 5069–5078. [Google Scholar] [CrossRef]
- Zhu, Y.F.; Kong, X.; Cao, D.B.; Cui, J.L.; Zhu, Y.L.; Li, Y.W. The rise of calcination temperature enhances the performance of Cu catalysts: Contributions of support. ACS Catal. 2014, 4, 3675–3681. [Google Scholar] [CrossRef]
- Chen, C.; Cao, J.J.; Cargnello, M.; Fornasiero, P.; Gorte, R.J. High-temperature calcination improves the catalytic properties of alumina-supported Pd@ceria prepared by self assembly. J. Catal. 2013, 306, 109–115. [Google Scholar] [CrossRef]
- Abdulkarem, A.M.; Aref, A.A.; Abdulhabeeb, A.; Li, Y.F.; Yu, Y. Synthesis of Bi2O3/Cu2O nanoflowers by hydrothermal method and its photocatalytic activity enhancement under simulated sunlight. J. Alloys Compd. 2013, 560, 132–141. [Google Scholar] [CrossRef]
- Muthukrishnaraj, A.; Vadivel, S.; Made Joni, I.; Balasubramanian, N. Development of reduced graphene oxide/CuBi2O4 hybrid for enhanced photocatalytic behavior under visible light irradiation. Ceram. Int. 2015, 41, 6164–6168. [Google Scholar] [CrossRef]
- Abdulkarem, A.M.; Li, J.L.; Aref, A.A.; Ren, L.; Elssfah, E.M.; Wang, H.; Ge, Y.K.; Yu, Y. CuBi2O4 single crystal nanorods prepared by hydrothermal method: Growth mechanism and optical properties. Mater. Res. Bull. 2011, 46, 1443–1450. [Google Scholar] [CrossRef]
- Qin, W.; Qi, J.; Wu, X.H. Photocatalytic property of Cu2+-doped Bi2O3 films under visible light prepared by the solegel method. Vacuum 2014, 107, 204–207. [Google Scholar] [CrossRef]
- Xu, J.F.; Ji, W.; Shen, Z.X.; Li, W.S.; Tang, S.H.; Ye, X.R.; Jia, D.Z.; Xin, X.Q. Raman spectra of CuO nanocrystals. J. Raman Spectrosc. 1999, 30, 413–415. [Google Scholar] [CrossRef]
- Zhu, Y.F.; Zhu, Y.L.; Ding, G.Q.; Zhu, S.H.; Zheng, H.Y.; Li, Y.W. Highly selective synthesis of ethylene glycol and ethanol via hydrogenation of dimethyl oxalate on Cu catalysts: Influence of support. Appl. Catal. A 2013, 468, 296–304. [Google Scholar] [CrossRef]
- Águila, G.; Gracia, F.; Araya, P. CuO and CeO2 catalysts supported on Al2O3, ZrO2, and SiO2 in the oxidation of CO at low temperature. Appl. Catal. A 2008, 343, 16–24. [Google Scholar] [CrossRef]
- Águila, G.; Gracia, F.; Cortés, J.; Araya, P. Effect of copper species and the presence of reaction products on the activity of methane oxidation on supported CuO catalysts. Appl. Catal. B 2008, 77, 325–338. [Google Scholar] [CrossRef]
- Sato, A.G.; Volanti, D.P.; Meira, D.M. Effect of the ZrO2 phase on the structure and behavior of supported Cu catalysts for ethanol conversion. J. Catal. 2013, 307, 1–17. [Google Scholar] [CrossRef]
- Zhu, S.H.; Gao, X.Q.; Zhu, Y.L.; Zhu, Y.F.; Zheng, H.Y.; Li, Y.W. Promoting effect of boron oxide on Cu/SiO2 catalyst for glycerol hydrogenolysis to 1,2-propanediol. J. Catal. 2013, 303, 70–79. [Google Scholar] [CrossRef]
- Yin, A.Y.; Guo, X.Y.; Dai, W.L.; Fan, K.N. The nature of active copper species in Cu-HMS catalyst for hydrogenation of dimethyl oxalate to ethylene glycol: New insights on the synergetic effect between Cu0 and Cu+. J. Phys. Chem. C 2009, 113, 11003–11013. [Google Scholar] [CrossRef]
- Zhang, B.; Zhu, Y.L.; Ding, G.Q.; Zheng, H.Y.; Li, Y.W. Modification of the supported Cu/SiO2 catalyst by alkaline earth metals in the selective conversion of 1, 4-butanediol to γ-butyrolactone. Appl. Catal. A 2012, 443–444, 191–201. [Google Scholar] [CrossRef]
- Xue, J.J.; Wang, X.Q.; Qi, G.S.; Wang, J.; Shen, M.Q.; Li, W. Characterization of copper species over Cu/SAPO-34 in selective catalytic reduction of NOx with ammonia: Relationships between active Cu sites and de-NOx performance at low temperature. J. Catal. 2013, 297, 56–64. [Google Scholar] [CrossRef]
- Bienholz, A.; Blume, R.; Knop-Gericke, A.; Girgsdies, F.; Behrens, M.; Claus, P. Prevention of catalyst deactivation in the hydrogenolysis of glycerol by Ga2O3-modified copper/zinc oxide Catalysts. J. Phys. Chem. C 2011, 115, 999–1005. [Google Scholar] [CrossRef]
- Hu, Z.P.; Zhu, Y.P.; Gao, Z.M.; Wang, G.X.; Liu, Y.P.; Yuan, Z.Y. CuO catalysts supported on activated red mud for efficient catalytic carbon monoxide oxidation. Chem. Eng. J. 2016, 302, 23–32. [Google Scholar] [CrossRef]
- Wen, C.; Yin, A.Y.; Cui, Y.Y.; Yang, X.L.; Dai, W.L.; Fan, K.N. Enhanced catalytic performance for SiO2–TiO2 binary oxide supported Cu-based catalyst in the hydrogenation of dimethyloxalate. Appl. Catal. A Gen. 2013, 458, 82–89. [Google Scholar] [CrossRef]
- Sun, C.Z.; Zhu, J.; Lv, Y.Y.; Qi, L.; Liu, B.; Gao, F.; Sun, K.Q.; Dong, L.; Chen, Y. Dispersion, reduction and catalytic performance of CuO supported on ZrO2-doped TiO2 for NO removal by CO. Appl. Catal. B 2011, 103, 206–220. [Google Scholar] [CrossRef]
- Hu, Y.H.; Dong, L.; Wang, J.; Ding, W.P.; Chen, Y. Activities of supported copper oxide catalysts in the NO + CO reaction at low temperatures. J. Mol. Catal. A Chem. 2000, 162, 307–316. [Google Scholar] [CrossRef]
- Zhang, Q.B.; Zhang, K.L.; Xu, D.G. CuO nanostructures: Synthesis, characterization, growth mechanisms, fundamental properties, and applications. Prog. Mater. Sci. 2014, 60, 208–337. [Google Scholar] [CrossRef]
- Li, G.J.; Gu, C.T.; Zhu, W.B.; Wang, X.F.; Yuan, X.F.; Cui, Z.J.; Wang, H.L.; Gao, Z.X. Hydrogen production from methanol decomposition using Cu-Al spinel catalysts. J. Clean. Prod. 2018, 183, 415–423. [Google Scholar] [CrossRef]
- Kefirov, R.; Penkova, A.; Hadjiivanov, K.; Dzwigaj, S.; Che, M. Stabilization of Cu+ ions in BEA zeolite: Study by FTIR spectroscopy of adsorbed CO and TPR. Micropor. Mesopor. Mater. 2008, 116, 180–187. [Google Scholar] [CrossRef]
- Hadjiivanov, K.; Vayssilov, G. Characterization of oxide surfaces and zeolites by carbon monoxide as an IR probe molecule. Adv. Catal. 2002, 47, 307–511. [Google Scholar]
- Tang, Y.X.; Dong, L.H.; Deng, C.S.; Huang, M.N.; Li, B.; Zhang, H.L. In situ FT-IR investigation of CO oxidation on CuO/TiO2 catalysts. Catal. Commun. 2016, 78, 33–36. [Google Scholar] [CrossRef]
- Broclawik, E.; Kozyra, P.; Datka, J. IR studies and DFT quantum chemical calculations concerning interaction of some organic molecules with Cu+ sites in zeolites. C. R. Chim. 2005, 8, 491–508. [Google Scholar] [CrossRef]
- Datka, J.; Kukulska-Zając, E.; Kobyzew, W. IR studies of coadsorption of organic molecules and CO on Cu+ cations in zeolites. Catal. Today 2006, 114, 169–173. [Google Scholar] [CrossRef]
- Xiong, Y.; Yao, X.J.; Tang, C.J.; Zhang, L.; Cao, Y.; Deng, Y.; Gao, F.; Dong, L. Effect of CO-pretreatment on the CuO–V2O5/γ-Al2O3 catalyst for NO reduction by CO. Catal. Sci. Technol. 2014, 4, 4416–4425. [Google Scholar] [CrossRef]
- Di, W.; Cheng, J.H.; Tian, S.X.; Li, J.; Chen, J.Y.; Sun, Q. Synthesis and characterization of supported copper phyllosilicate catalysts for acetic ester hydrogenation to ethanol. Appl. Catal. A 2016, 510, 244–259. [Google Scholar] [CrossRef]
- Shokouhimehr, M. Magnetically separable and sustainable nanostructured catalysts for heterogeneous reduction of nitroaromatics. Catalysts 2015, 5, 534–560. [Google Scholar] [CrossRef]
- Hübner, G.; Rauhut, G.; Stoll, H.; Roduner, E. Ethyne adsorbed on CuNaY zeolite: FTIR spectra and quantum chemical calculations. J. Phys. Chem. B 2003, 107, 8568. [Google Scholar] [CrossRef]
- Poels, E.K.; Brands, D.S. Modification of Cu/ZnO/SiO2 catalysts by high temperature reduction. Appl. Catal. A 2000, 191, 83–96. [Google Scholar] [CrossRef]
- Gong, J.L.; Yue, H.R.; Zhao, Y.J.; Zhao, S.; Zhao, L.; Lv, J.; Wang, S.P.; Ma, X.B. Synthesis of ethanol via syngas on Cu/SiO2 catalysts with balanced Cu0-Cu+ Sites. J. Am. Chem. Soc. 2012, 134, 13922–13925. [Google Scholar] [CrossRef] [PubMed]
- Chu, J.J.; Li, K.T.; Wang, I. Kinetics of the synthesis of 1,4-butynediol over a copper-bismuth/magnesium silicate catalyst. Appl. Catal. A 1993, 97, 123–132. [Google Scholar] [CrossRef]














| Sample | dCuO (nm) | SBET (m2 g−1) | ACu+ (a.u.) | |
|---|---|---|---|---|
| Fresh | Used | |||
| CB-500 | 17.2 | 34.2 | 11.2 | 2.5 |
| CB-600 | 33.0 | 20.1 | 13.9 | 2.8 |
| CB-700 | 39.4 | 8.7 | 5.9 | 1 |
| Sample | YBD1 | YBD2 | YBD3 | YBD4 | YBD5 | YBD6 | YBD7 | YBD8 |
|---|---|---|---|---|---|---|---|---|
| CB-500 | 86.0 | 75.5 | 68.7 | 62.3 | 54.8 | 48.7 | 41 | 32.8 |
| CB-600 | 92.4 | 90.9 | 85.7 | 82.6 | 80.8 | 75.6 | 67.6 | 62.2 |
| CB-700 | 72.5 | 76.9 | 72.4 | 71.7 | 73.0 | 70.6 | 69.5 | 65.1 |
| CuO | 67.8 | 56.6 | 45.2 | 37.2 | 31.9 | 15.7 | 2.4 | 0 |
| Sample | Calcination Temperature (°C) | dCuO (nm) |
|---|---|---|
| CuO-500 | 420 | 16.5 |
| CuO-600 | 540 | 35.1 |
| CuO-700 | 600 | 40.6 |
© 2019 by the authors. Licensee MDPI, Basel, Switzerland. This article is an open access article distributed under the terms and conditions of the Creative Commons Attribution (CC BY) license (http://creativecommons.org/licenses/by/4.0/).
Share and Cite
Wang, Z.; Niu, Z.; Hao, Q.; Ban, L.; Li, H.; Zhao, Y.; Jiang, Z. Enhancing the Ethynylation Performance of CuO-Bi2O3 Nanocatalysts by Tuning Cu-Bi Interactions and Phase Structures. Catalysts 2019, 9, 35. https://doi.org/10.3390/catal9010035
Wang Z, Niu Z, Hao Q, Ban L, Li H, Zhao Y, Jiang Z. Enhancing the Ethynylation Performance of CuO-Bi2O3 Nanocatalysts by Tuning Cu-Bi Interactions and Phase Structures. Catalysts. 2019; 9(1):35. https://doi.org/10.3390/catal9010035
Chicago/Turabian StyleWang, Zhipeng, Zhuzhu Niu, Quanai Hao, Lijun Ban, Haitao Li, Yongxiang Zhao, and Zheng Jiang. 2019. "Enhancing the Ethynylation Performance of CuO-Bi2O3 Nanocatalysts by Tuning Cu-Bi Interactions and Phase Structures" Catalysts 9, no. 1: 35. https://doi.org/10.3390/catal9010035
APA StyleWang, Z., Niu, Z., Hao, Q., Ban, L., Li, H., Zhao, Y., & Jiang, Z. (2019). Enhancing the Ethynylation Performance of CuO-Bi2O3 Nanocatalysts by Tuning Cu-Bi Interactions and Phase Structures. Catalysts, 9(1), 35. https://doi.org/10.3390/catal9010035

