New Frontiers in the Catalytic Synthesis of Levulinic Acid: From Sugars to Raw and Waste Biomass as Starting Feedstock
Abstract
:1. Introduction
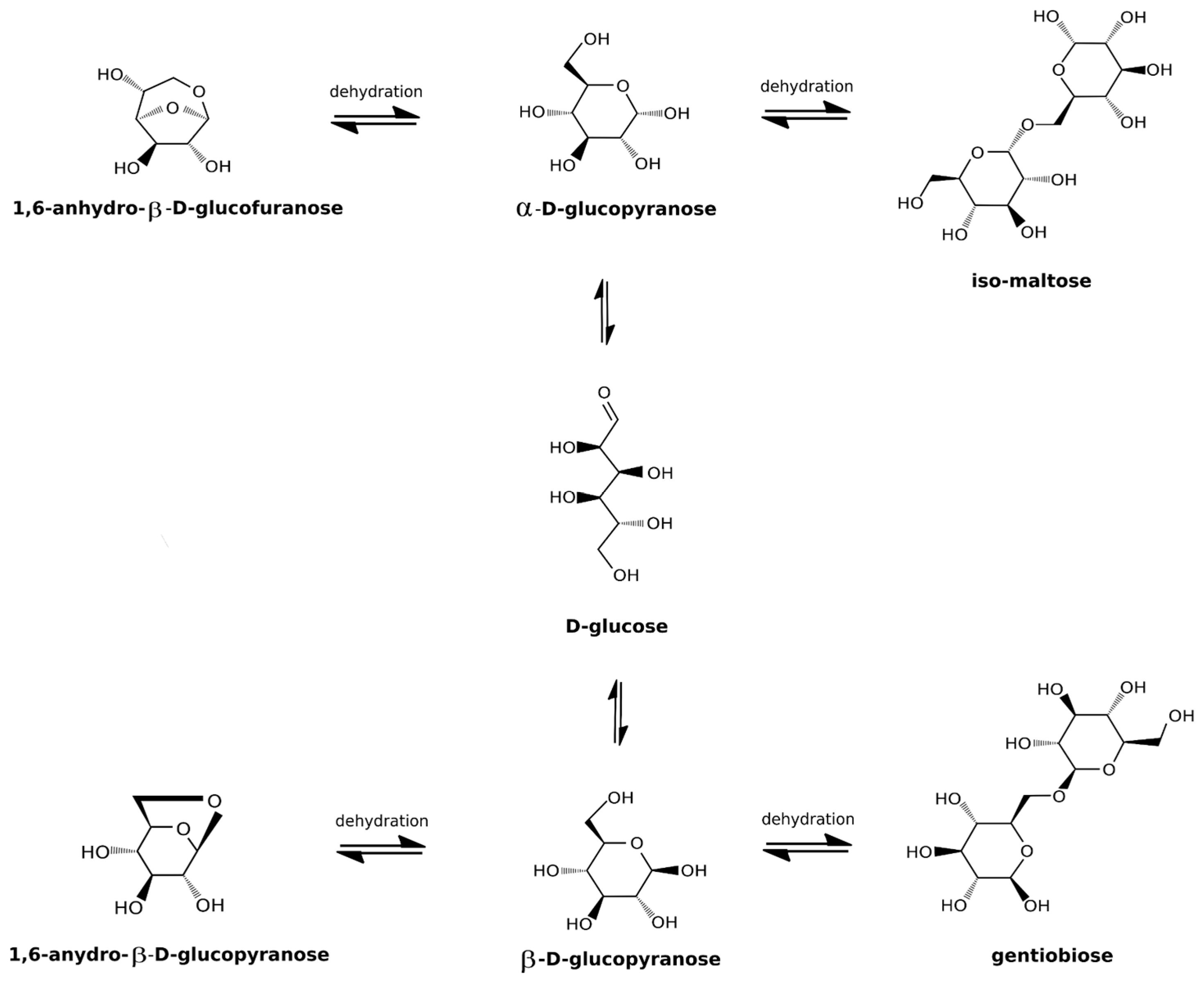
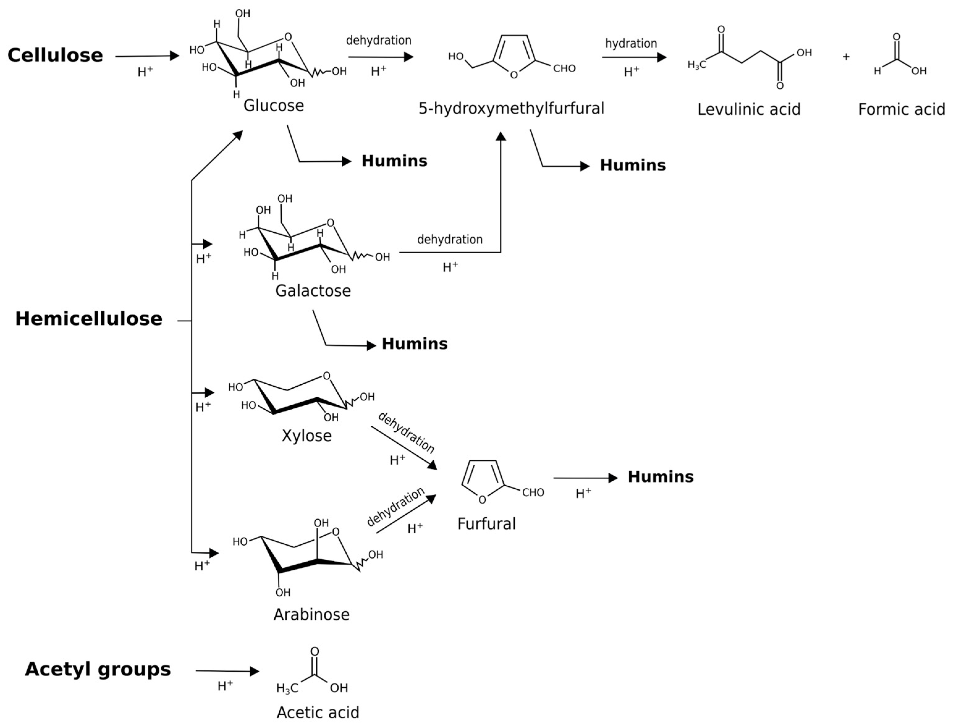
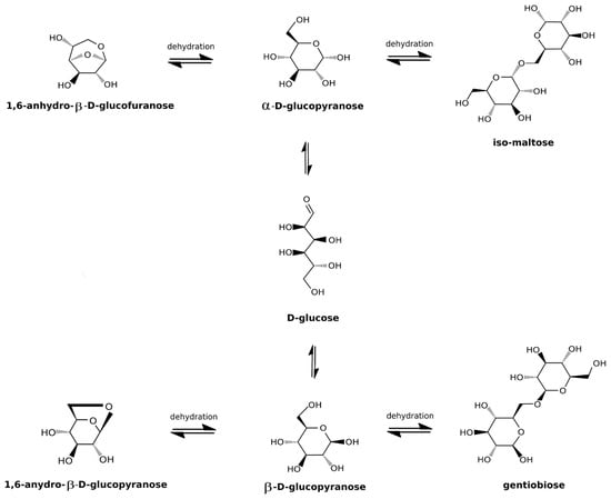
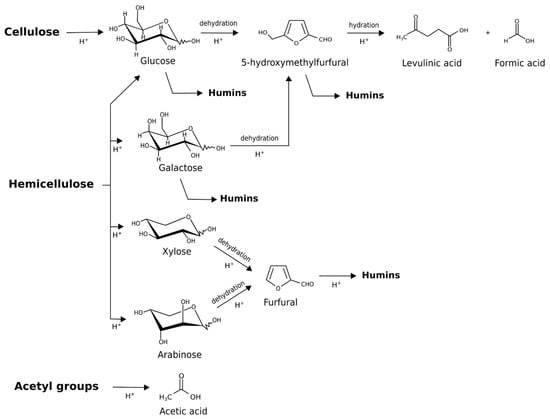
2. Catalytic Conversion of Hexoses
2.1. Homogeneous Mineral Acids and Salts in Water
2.2. Heterogeneous Catalysts in Water
2.3. Homogeneous and Heterogeneous Catalysts in Organic Solvents
3. Catalytic Conversion of Cellulose and Raw Biomasses
3.1. Homogeneous Mineral Acids and Salts in Water
3.2. Heterogeneous Catalysts in Water
3.3. Monophasic Organic Solvents
3.4. Biphasic Systems and Ionic Liquids
4. Biochar Recovery and Exploitation Possibilities
5. Conclusions and Future Perspectives
Acknowledgments
Author Contributions
Conflicts of Interest
References
- Pileidis, F.D.; Titirici, M.M. Levulinic Acid Biorefineries: New Challenges for Efficient Utilization of Biomass. ChemSusChem 2016, 9, 562–582. [Google Scholar] [CrossRef] [PubMed]
- Morone, A.; Apte, M.; Panday, R.A. Levulinic acid production from renewable waste resources: Bottlenecks, potential remedies, advancements and applications. Renew. Sustain. Energy Rev. 2015, 51, 548–565. [Google Scholar] [CrossRef]
- Yan, K.; Jarvis, C.; Gu, J.; Yan, Y. Production and catalytic transformation of levulinic acid: A platform for speciality chemicals and fuels. Renew. Sustain. Energy Rev. 2015, 51, 986–997. [Google Scholar] [CrossRef]
- Mukherjee, A.; Dumont, M.J.; Raghavan, V. Review: Sustainable production of hydroxymethylfurfural and levulinic acid: Challenges and opportunities. Biomass Bioenergy 2015, 72, 143–183. [Google Scholar] [CrossRef]
- Luque, R.; De, S.; Balu, A.M. Catalytic Conversion of Biomass. Catalysts 2016, 6, 148–149. [Google Scholar] [CrossRef]
- Manzoli, M.; Menegazzo, F.; Signoretto, M.; Marchese, D. Biomass Derived Chemicals: Furfural Oxidative Esterification to Methyl-2-furoate over Gold Catalysts. Catalysts 2016, 6, 107–133. [Google Scholar] [CrossRef]
- Werpy, T.; Petersen, G.; Aden, A.; Bozell, J.; Holladay, J.; White, J.; Manheim, A.; Eliot, D.; Lasure, L.; Jones, S. Results of screening for potential candidates from sugars and synthesis gas. In Top Value Added Chemicals from Biomass; Werpy, T., Petersen, G., Eds.; Office of Energy Efficiency and Renewable Energy, US Department of Energy: Washington, DC, USA, 2004; Volume 1, pp. 1–67. [Google Scholar]
- Piskun, A.; Winkelman, J.G.M.; Tang, Z.; Heeres, H.J. Support Screening Studies on the Hydrogenation of Levulinic Acid to γ-Valerolactone in Water Using Ru Catalysts. Catalysts 2016, 6, 131. [Google Scholar] [CrossRef]
- Fu, J.; Sheng, D.; Lu, X. Hydrogenation of Levulinic Acid over Nickel Catalysts Supported on Aluminum Oxide to Prepare γ-Valerolactone. Catalysts 2016, 6, 6. [Google Scholar] [CrossRef]
- Serrano-Ruiz, J.C.; Dumesic, J.A. Catalytic routes for the conversion of biomass into liquid hydrocarbon transportation fuels. Energy Environ. Sci. 2011, 4, 83–99. [Google Scholar] [CrossRef]
- Gurbuz, E.I.; Alonso, D.M.; Bond, J.Q.; Dumesic, J.A. Reactive Extraction of Levulinate Esters and Conversion to γ-Valerolactone for Production of Liquid Fuels. ChemSusChem 2011, 4, 357–361. [Google Scholar] [CrossRef] [PubMed]
- Lange, J.P.; van de Graaf, W.D.; Haan, R.J. Conversion of Furfuryl Alcohol into Ethyl Levulinate using Solid Acid Catalysts. ChemSusChem 2009, 2, 437–441. [Google Scholar] [CrossRef] [PubMed]
- Bozell, J.J.; Moens, L.; Elliott, D.C.; Wang, Y.; Neuenscwander, G.G.; Fitzpatrick, S.W. Production of levulinic acid and its use as a platform chemical for derived products. Resour. Conserv. Recycl. 2000, 28, 227–239. [Google Scholar] [CrossRef]
- Peng, H.; Liu, Y.H.; Zhang, J.S.; Ruan, R.S. Progress in production of levulinic acid from biomass. Chem. Ind. Eng. Prog. 2009, 28, 2237–2241. [Google Scholar]
- Zhang, J.; Wu, S.; Li, B.; Zhang, H.D. Advances in the Catalytic Production of Valuable Levulinic Acid Derivatives. ChemCatChem 2012, 4, 1230–1237. [Google Scholar] [CrossRef]
- Chickos, J.S.; Acree, W.E. Enthalpies of Vaporization of Organic and Organometallic Compounds 1880–2002. J. Phys. Chem. Ref. Data 2003, 32, 519–878. [Google Scholar] [CrossRef]
- Brochure Fine Chemicals Program at a Glance. Regular Product Range—Development Products, version Q2; DSM Fine Chemicals Austria: Linz, Austria, 2006. [Google Scholar]
- Timokhin, B.V.; Baransky, V.A.; Eliseeva, G.D. Levulinic acid in organic synthesis. Russ. Chem. Rev. 1999, 68, 73–84. [Google Scholar] [CrossRef]
- Antal, M.J.; Mok, W.S.L.; Richards, G.N. Mechanism of formation of 5-(hydroxymethyl)-2-furaldehyde from d-fructose and sucrose. Carbohydr. Res. 1990, 199, 91–109. [Google Scholar] [CrossRef]
- Amarasekara, A.S.; Williams, L.D.; Ebede, C.C. Mechanism of the dehydration of d-fructose to 5-hydroxymethylfurfural in dimethyl sulfoxide at 150 °C: An NMR study. Carbohydr. Res. 2008, 343, 3021–3024. [Google Scholar] [CrossRef] [PubMed]
- Guan, J.; Cao, Q.; Guo, X.; Mu, X. The mechanism of glucose conversion to 5-hydroxymethylfurfural catalyzed by metal chlorides in ionic liquid: A theoretical study. Comput. Theor. Chem. 2011, 963, 453–462. [Google Scholar] [CrossRef]
- Tsilomelekis, G.; Orella, M.J.; Lin, Z.; Cheng, Z.; Zheng, W.; Nikolakis, V.; Vlachos, D.G. Molecular structure, morphology and growth mechanisms and rates of 5hydroxymethyl furfural (HMF) derived humins. Green Chem. 2016, 18, 1983–1993. [Google Scholar] [CrossRef]
- Van Zandvoort, I.; Wang, I.; Rasrendra, B.C.; van Eck, E.R.H.; Bruijnincx, P.C.A.; Heeres, H.J.; Weckhuysen, B.M. Formation, molecular structure, and morphology of humins in biomass conversion: Influence of feedstock and processing conditions. ChemSusChem 2013, 6, 1745–1758. [Google Scholar] [CrossRef] [PubMed]
- Pin, J.M.; Guigo, N.; Mija, A.; Vincent, L.; Sbirrazzuoli, N.; van der Waal, J.C.; de Jong, E. Valorization of biorefinery side-stream products: Combination of humins with polyfurfuryl alcohol for composite elaboration. ACS Sustain. Chem. Eng. 2014, 2, 2182–2190. [Google Scholar] [CrossRef]
- Elaigwu, S.E.; Greenway, G.M. Chemical, structural and energy properties of hydrochars from microwave-assisted hydrothermal carbonization of glucose. Int. J. Ind. Chem. 2016, 1–8. [Google Scholar] [CrossRef]
- Van Putten, R.J.; van der Waal, J.C.; de Jong, E.; Rasrendra, C.B.; Heeres, H.J.; de Vries, J.G. Hydroxymethylfurfural, a versatile platform chemical made from renewable resources. Chem. Rev. 2013, 113, 1499–1597. [Google Scholar] [CrossRef] [PubMed]
- Weingarten, R.; Conner, W.C.; Huber, G.W. Production of levulinic acid from cellulose by hydrothermal decomposition combined with aqueous phase dehydration with a solid acid catalyst. Energy Environ. Sci. 2012, 5, 7559–7574. [Google Scholar] [CrossRef]
- Assary, R.S.; Redfern, P.C.; Hammond, J.R. Computational studies of the thermochemistry for conversion of glucose to levulinic acid. J. Phys. Chem. B 2010, 114, 9002–9009. [Google Scholar] [CrossRef] [PubMed]
- Horvat, J.; Klaic, B.; Metelko, B.; Sunjic, V. Mechanism of levulinic acid formation. Tetrahedron Lett. 1985, 26, 2111–2214. [Google Scholar] [CrossRef]
- Horvat, J.; Klaic, B.; Metelko, B.; Sunjic, V. Mechanism of levulinic acid formation in acid-catalyzed hydrolysis of 2-hydroxymethylfuran and 5-hydroxymethylfuran-2-carbaldehyde. Croat. Chem. Acta 1986, 59, 429–438. [Google Scholar]
- Flannelly, T.; Lopes, M.; Kupiainen, L.; Dooley, S.; Leahy, J.J. Non-Stoichiometric Formation of Formic and Levulinic Acids from the Hydrolysis of Biomass Derived Hexose Carbohydrates. RSC Adv. 2016, 6, 5797–5804. [Google Scholar] [CrossRef]
- Zacharska, M.; Podyacheva, O.Y.; Kibis, L.S.; Boronin, A.I.; Senkovskiy, B.V.; Gerasimov, E.Y.; Taran, O.P.; Ayusheev, A.B.; Parmon, V.N.; Leahy, J.J.; et al. Ruthenium clusters on carbon nanofibers for formic acid decomposition: Effect of doping the support with nitrogen. ChemCatChem 2015, 7, 2910–2917. [Google Scholar] [CrossRef]
- Hayes, D.J.; Fitzpatrick, S.; Hayes, M.H.B.; Ross, J.R.H. The Biofine process: Production of levulinic acid, furfural and formic acid from lignocellulosic feedstocks. In Biorefineries—Industrial Processes and Products: Status Quo and Future Directions; Kamm, B., Gruber, P.R., Kamm, M., Eds.; Wiley-VCH Verlag GmbH: Weinheim, Germany, 2005; pp. 139–164. [Google Scholar]
- Szabolcs, A.; Molnár, M.; Dibó, G.; Mika, L.T. Microwave-assisted conversion of carbohydrates to levulinic acid: An essential step in biomass conversion. Green Chem. 2013, 15, 439–445. [Google Scholar] [CrossRef]
- Brasholz, M.; von Känel, K.; Hornung, C.H.; Saubern, S.; Tsanaktsidis, J. Highly efficient dehydration of carbohydrates to 5-(chloromethyl)furfural (CMF), 5-(hydroxymethyl)furfural (HMF) and levulinic acid by biphasic continuous flow processing. Green Chem. 2011, 13, 1114–1117. [Google Scholar] [CrossRef]
- Dussan, K.; Girisuta, B.; Lopes, M.; Leahy, J.J.; Hayes, M.H.B. Conversion of Hemicellulose Sugars Catalyzed by Formic Acid: Kinetics of the Dehydration of d-Xylose, l-Arabinose, and d-Glucose. ChemSusChem 2015, 8, 1411–1428. [Google Scholar] [CrossRef] [PubMed]
- Yan, K.; Wu, G.; Lafleur, T.; Jarvis, C. Production, properties and catalytic hydrogenation of furfural to fuel additives and value-added chemicals. Renew. Sustain. Energy Rev. 2014, 38, 663–676. [Google Scholar] [CrossRef]
- Zeitsch, K.J. The Chemistry and Technology of Furfural and Its Many by-Products, 1st ed.; Elsevier: Amsterdam, The Netherlands, 2000. [Google Scholar]
- Bornik, M.A.; Kroh, L.W. D-Galacturonic acid as a highly reactive compound in nonenzymatic browning. 1. Formation of browning active degradation products. J. Agric. Food Chem. 2013, 61, 3494–3500. [Google Scholar] [CrossRef] [PubMed]
- Van de Graaf, W.D.; Lange, J.P. A Process for the Conversion of Furfuryl Alcohol into Levulinic Acid or Alkyl Levulinate. U.S. Patent 20,070,049,771 A1, 1 May 2007. [Google Scholar]
- Mellmer, M.A.; Gallo, J.M.R.; Alonso, D.M.; Dumesic, J.A. Selective production of levulinic acid from furfuryl alcohol in THF solvent system over H-ZSM-5. ACS Catal. 2015, 5, 3354–3359. [Google Scholar] [CrossRef]
- Manzer, L.E. Production of 5-Methylbutyrolactone from Levulinic Acid. Patent WO 02/074760A1, 26 September 2002. [Google Scholar]
- Manzer, L.E. Production of 5-Methyl-N-aryl-2-pyrrolidone and 5-Methyl-N-cycloalkyl-2-pyrrolidone by Reductive Amination of Levulinic Acid with Aryl Amines. U.S. Patent 6743819 B1, 1 June 2004. [Google Scholar]
- Bozell, J.J.; Petersen, G.R. Technology development for the production of biobased products from biorefinery carbohydrate—The US Department of Energy’s “Top 10” revisited. Green Chem. 2010, 12, 539–554. [Google Scholar] [CrossRef]
- Mizugaki, T.; Nagatsu, Y.; Togo, K.; Maeno, Z.; Mitsudome, T.; Jitsukawa, K.; Kaneda, K. Selective Hydrogenation of Levulinic Acid to 1,4-Pentanediol in Water Using a Hydroxyapatite-supported Pt-Mo Bimetallic Catalyst. Green Chem. 2015, 17, 5136–5139. [Google Scholar] [CrossRef]
- Luo, W.; Bruijnincx, P.C.A.; Weckhuysen, B.M. Selective, one-pot catalytic conversion of levulinic acid to pentanoic acid over Ru/H-ZSM5. J. Catal. 2014, 320, 33–41. [Google Scholar] [CrossRef]
- Shen, Y.; Sun, J.; Wang, B.; Xu, F.; Sun, R. Catalytic Synthesis of Diphenolic Acid from Levulinic Acid over Bronsted Acidic Ionic Liquids. Bioresources 2014, 9, 3264–3275. [Google Scholar] [CrossRef]
- Dutta, S.; Wau, L.; Mascal, M. Efficient, metal-free production of succinic acid by oxidation of biomass-derived levulinic acid with hydrogen peroxide. Green Chem. 2015, 17, 2335–2338. [Google Scholar] [CrossRef]
- Sultana, A.; Fujitani, T. Conversion of levulinic acid to BTX over different zeolite catalysts. Catal. Commun. 2017, 88, 26–29. [Google Scholar] [CrossRef]
- Yan, K.; Yang, Y.; Chai, J.; Lu, Y. Catalytic reactions of gamma-valerolactone: A platform to fuels and value-added chemicals. Appl. Catal. B Environ. 2015, 179, 292–304. [Google Scholar] [CrossRef]
- Braden, D.J.; Henao, C.A.; Heltzel, J.; Maravelias, C.C.; Dumesic, J.A. Production of liquid hydrovcarbon fuels by catalytic conversion biomass-derived levulinic acid. Green Chem. 2011, 13, 1755–1765. [Google Scholar] [CrossRef]
- Pasquale, G.; Vázquez, P.; Romanelli, G.; Baronetti, G. Catalytic upgrading of levulinic acid to ethyl levulinate using reusable silica-included Wells-Dawson heteropolyacid as catalyst. Catal. Commun. 2012, 18, 115–120. [Google Scholar] [CrossRef]
- Lachos-Perez, D.; Martinez-Jimenez, F.; Rezende, C.A.; Tompsett, G.; Timko, M.; Forster-Carneiro, T. Subcritical water hydrolysis of sugarcane bagasse: An approach on solid residues characterization. J. Supercrit. Fluids 2016, 108, 69–78. [Google Scholar] [CrossRef]
- Salak, A.F.; Yoshida, H. Acid-Catalyzed Production of 5-Hydroxymethyl Furfural from d-Fructose in Subcritical Water. Ind. Eng. Chem. Res. 2006, 45, 2163–2173. [Google Scholar] [CrossRef]
- Son, P.A.; Nishimura, S.; Kohki Ebitani, K. Synthesis of levulinic acid from fructose using Amberlyst-15 as a solid acid catalyst. React. Kinet. Mech. Catal. 2012, 106, 185–192. [Google Scholar] [CrossRef]
- Girisuta, B. Levulinic Acid from Lignocellulosic Biomass; Chemical Engineering, University of Groningen: Groningen, The Netherlands, 2007. [Google Scholar]
- Deng, L.; Li, J.; Lai, D.-M.; Fu, Y.; Guo, Q.X. Catalytic Conversion of Biomass-Derived Carbohydrates into γ-Valerolactone without Using an External H2 Supply. Angew. Chem. Int. Ed. 2009, 48, 6529–6532. [Google Scholar] [CrossRef] [PubMed]
- Tarabanko, V.E.; Chernyak, M.Y.; Aralova, S.V.; Kuznetsov, B.N. Kinetics of levulinic acid formation from carbohydrates at moderate temperatures. React. Kinet. Catal. Lett. 2002, 75, 117–126. [Google Scholar] [CrossRef]
- Girisuta, B.; Janssen, L.P.B.M.; Heeres, H.J. Green Chemicals: A Kinetic Study on the Conversion of Glucose to Levulinic Acid. Chem. Eng. Res. Des. 2006, 84, 339–349. [Google Scholar] [CrossRef]
- Rackemann, D.W.; Bartley, J.P.; Doherty, W.O.S. Methanesulfonic acid-catalyzed conversion of glucose and xylose mixtures to levulinic acid and furfural. Ind. Crops Prod. 2014, 52, 46–57. [Google Scholar] [CrossRef]
- Heeres, H.; Handana, R.; Chunai, D.; Rasrendra, C.B.; Girisuta, B.; Heeres, H.J. Combined dehydration/(transfer)-hydrogenation of C6-sugars (d-glucose and d-fructose) to γ-valerolactone using ruthenium catalysts. Green Chem. 2009, 11, 1247–1255. [Google Scholar] [CrossRef]
- Peng, L.; Lin, L.; Zhang, J.; Zhuang, J.; Zhang, B.; Gong, Y. Catalytic Conversion of Cellulose to Levulinic Acid by Metal Chlorides. Molecules 2010, 15, 5258–5272. [Google Scholar] [CrossRef] [PubMed]
- Choudhary, V.; Mushrif, S.H.; Ho, C.; Anderko, A.; Nikolakis, V.; Marinkovic, N.S.; Frenkel, A.I.; Sandler, S.I.; Vlachos, D.G. Insights into the Interplay of Lewis and Brønsted Acid Catalysts in Glucose and Fructose Conversion to 5‑(Hydroxymethyl)furfural and Levulinic Acid in Aqueous Media. J. Am. Chem. Soc. 2013, 135, 3997–4006. [Google Scholar] [CrossRef] [PubMed]
- Thomas, R.W.; Schuette, H.A. Studies on levulinic acid. Its preparation from carbohydrates by digestion with hydrochloric acid under pressure. J. Am. Chem. Soc. 1931, 53, 2324–2328. [Google Scholar] [CrossRef]
- Carlson, L.J. Process for the Manufacture of Levulinic Acid. U.S. Patent 3065263 A, 20 November 1962. [Google Scholar]
- Weiqi, W.; Shubin, W. Experimental and kinetic study of glucose conversion to levulinic acid catalyzed by synergy of Lewis and Brønsted acids. Chem. Eng. J. 2017, 307, 389–398. [Google Scholar] [CrossRef]
- Qiao, Y.; Pedersen, C.M.; Huang, D.; Ge, W.; Wu, M.; Chen, C.; Jia, S.; Wang, Y.; Hou, X. NMR study of the hydrolysis and dehydration of inulin in water: Comparison of the catalytic effect of Lewis acid SnCl4 and Brønsted acid HCl. ACS Sustain. Chem. Eng. 2016, 4, 3327–3333. [Google Scholar] [CrossRef]
- Helm, R.F.; Young, R.A.; Conner, A.H. The Reversion Reactions of d-Glucose during the Hydrolysis of Cellulose with Dilute Sulfuric-Acid. Carbohydr. Res. 1989, 185, 249–260. [Google Scholar] [CrossRef]
- Peat, S.; Whelan, W.J.; Edwards, T.E.; Owen, O. Quantitative Aspects of the Acid Reversion of Glucose. J. Chem. Soc. 1958, 586–592. [Google Scholar] [CrossRef]
- Karwa, S.; Gajiwala, V.M.; Heltzel, J.; Patil, S.K.R.; Lund, C.R.F. Reactivity of levulinic acid during aqueous acid-catalyzed HMF hydration. Catal. Today 2016, 263, 16–21. [Google Scholar] [CrossRef]
- Kappe, C.O.; Pieber, B.; Dallinger, D. Microwave effects in organic synthesis: Myth or reality? Angew. Chem. Int. Ed. 2013, 52, 1088–1094. [Google Scholar] [CrossRef] [PubMed]
- Chen, P.K.; Rosana, M.R.; Dudley, G.B.; Stiegman, A.E. Parameters affecting the microwave-specific acceleration of a chemical reaction. J. Org. Chem. 2014, 79, 7425–7436. [Google Scholar] [CrossRef] [PubMed]
- Redmon, B.C. Process for the Production of Levulinic Acid. U.S. Patent 2738367 A, 13 March 1956. [Google Scholar]
- Tong, X.; Ma, Y.; Li, Y. Biomass into chemicals: Conversion of sugars to furan derivatives by catalytic processes. Appl. Catal. A Gen. 2010, 385, 1–13. [Google Scholar] [CrossRef]
- Zeng, W.; Cheng, D.G.; Chen, F.; Zhan, X. Catalytic Conversion of Glucose on Al–Zr Mixed Oxides in Hot Compressed Water. Catal. Lett. 2009, 133, 221–226. [Google Scholar] [CrossRef]
- Ya’aini, N.; Saidina Amin, N.A.; Asmadi, M. Optimization of levulinic acid from lignocellulosic biomass using a new hybrid catalyst. Bioresour. Technol. 2012, 116, 58–65. [Google Scholar] [CrossRef] [PubMed]
- Ya’aini, N.; Saidina Amin, N.A.; Endud, S. Characterization and performance of hybrid catalysts for levulinic acid production from glucose. Microporous Mesoporous Mater. 2013, 171, 14–23. [Google Scholar] [CrossRef]
- Ramli, N.A.S.; Saidina Amin, N.A. Kinetic study of glucose conversion to levulinic acid over Fe/HY zeolite catalyst. Chem. Eng. J. 2016, 283, 150–159. [Google Scholar] [CrossRef]
- Upare, P.P.; Yoon, J.W.; Kim, M.Y.; Kang, H.Y.; Hwang, D.W.; Hwang, Y.K.; Kung, H.H.; Chang, J.S. Chemical conversion of biomass-derived hexose sugars to levulinic acid over sulfonic acid-functionalized graphene oxide catalysts. Green Chem. 2013, 15, 2935–2943. [Google Scholar] [CrossRef]
- Zuo, Y.; Zhang, Y.; Fu, Y. Catalytic Conversion of Cellulose into Levulinic Acid by a Sulfonated Chloromethyl Polystyrene Solid Acid Catalyst. ChemCatChem 2014, 6, 753–757. [Google Scholar] [CrossRef]
- Li, H.; Fang, Z.; Smith, R.L., Jr.; Yang, S. Efficient valorization of biomass to biofuels with bifunctional solid catalytic materials. Prog. Energy Combust. 2016, 55, 98–194. [Google Scholar] [CrossRef]
- Tong, X.; Li, Y. Efficient and Selective Dehydration of Fructose to 5-Hydroxymethylfurfural Catalyzed by Brønsted-Acidic Ionic Liquids. ChemSusChem 2010, 3, 350–355. [Google Scholar] [CrossRef] [PubMed]
- Sanborn, A.J. Preparation of Levulinic Acid from Fructose Using an Acid Catalyst, a Polyethylene Glycol and an End-Capped Polyethylene Glycol. Patent EP2233477 B1, 13 March 2013. [Google Scholar]
- Mascal, M.; Nikitin, E.B. Dramatic Advancements in the Saccharide to 5-(Chloromethyl)furfural Conversion Reaction. ChemSusChem 2009, 2, 859–861. [Google Scholar] [CrossRef] [PubMed]
- Mascal, M.; Nikitin, E.B. High-yield conversion of plant biomass into the key value-added feedstocks 5-(hydroxymethyl)furfural, levulinic acid, and levulinic esters via 5-(chloromethyl)furfural. Green Chem. 2010, 12, 370–373. [Google Scholar] [CrossRef]
- Gomes, F.N.D.C.; Pereira, L.R.; Ribeiro, N.F.P.; Souza, M.M.V.M. Production of 5-hydroxymethylfurfural (HMF) via fructose dehydration: Effect of solvent and salting-out. Braz. J. Chem. Eng. 2015, 32, 119–126. [Google Scholar] [CrossRef]
- Qu, Y.; Huang, C.; Zhang, J.; Chen, B. Efficient dehydration of fructose to 5-hydroxymethylfurfural catalyzed by a recyclable sulfonated organic hetero-polyacid salt. Bioresour. Technol. 2012, 106, 170–172. [Google Scholar] [CrossRef] [PubMed]
- Kuo, C.H.; Poyraz, A.S.; Jin, L.; Meng, Y.; Pahalagedara, L.; Chen, S.Y.; Kriz, D.A.; Guild, C.; Gudz, A.; Suib, S.L. Heterogeneous acidic TiO2 nanoparticles for efficient conversion of biomass derived carbohydrates. Green Chem. 2014, 16, 785–791. [Google Scholar] [CrossRef]
- Shuai, L.; Luterbacher, J. Organic solvent effect in biomass conversion reactions. ChemSusChem 2016, 9, 133–155. [Google Scholar] [CrossRef] [PubMed]
- Tsilomelekis, G.; Josephson, T.R.; Nikolakis, V.; Caratzoulas, S. Origin of 5-hydroxymethylfurfural stability in water/dimethyl sulfoxied mixtures. ChemSusChem 2014, 7, 117–126. [Google Scholar] [CrossRef] [PubMed]
- Shen, J.; Wyman, C.E. Hydrochloric Acid-Catalyzed Levulinic Acid Formation from Cellulose: Data and Kinetic Model to Maximize Yields. AIChE J. 2012, 58, 236–246. [Google Scholar] [CrossRef]
- Tabasso, S.; Montoneri, E.; Carnaroglio, D.; Caporaso, M.; Cravotto, G. Microwave-assisted flash conversion of non-edible polysaccharides and post-harvest tomato plant waste to levulinic acid. Green Chem. 2014, 16, 73–76. [Google Scholar] [CrossRef]
- Girisuta, B.; Janssen, L.P.B.M.; Heeres, H.J. Kinetic Study on the Acid-Catalyzed Hydrolysis of Cellulose to Levulinic Acid. Ind. Eng. Chem. Res. 2007, 46, 1696–1708. [Google Scholar] [CrossRef]
- Serrano-Ruiz, J.C.; Braden, D.J.; West, R.M.; Dumesic, J.A. Conversion of cellulose to hydrocarbon fuels by progressive removal of oxygen. Appl. Catal. B Environ. 2010, 100, 184–189. [Google Scholar] [CrossRef]
- Cao, X.; Peng, X.; Sun, S.; Zhong, L.; Chen, W.; Wang, S.; Sun, R.-C. Hydrothermal conversion of xylose, glucose, and cellulose under the catalysis transition metal sulfates. Carbohydr. Polym. 2015, 118, 44–51. [Google Scholar] [CrossRef] [PubMed]
- Mukherjee, A.; Dumont, M.J. Levulinic acid production from starch using microwave and oil bath heating: A kinetic modeling approach. Ind. Eng. Chem. Res. 2016, 55, 8941–8949. [Google Scholar] [CrossRef]
- Licursi, D.; Antonetti, C.; Bernardini, J.; Cinelli, P.; Coltelli, M.B.; Lazzeri, A.; Martinelli, M.; Raspolli Galletti, A.M. Characterization of the Arundo Donax L. solid residue from hydrothermal conversion: Comparison with technical lignins and application perspectives. Ind. Crops Prod. 2015, 76, 1008–1024. [Google Scholar] [CrossRef]
- Raspolli Galletti, A.M.; Antonetti, C.; Ribechini, E.; Colombini, M.P.; di Nasso, N.N.; Bonari, E. From giant reed to levulinic acid and gamma-valerolactone: A high yield catalytic route to valeric biofuels. Appl. Energy 2013, 102, 157–162. [Google Scholar] [CrossRef]
- Antonetti, C.; Bonari, E.; Licursi, D.; di Nasso, N.N.; Raspolli Galletti, A.M. Hydrothermal Conversion of Giant Reed to Furfural and Levulinic Acid: Optimization of the Process under Microwave Irradiation and Investigation of Distinctive Agronomic Parameters. Molecules 2015, 20, 21232–21253. [Google Scholar] [CrossRef] [PubMed]
- Girisuta, B.; Danon, B.; Manurung, R.; Janssen, L.P.B.M.; Heeres, H.J. Experimental and kinetic modelling studies on the acid-catalysed hydrolysis of the water hyacinth plant to levulinic acid. Bioresour. Technol. 2008, 99, 8367–8375. [Google Scholar] [CrossRef] [PubMed]
- Zheng, X.; Zhi, Z.; Gu, X.; Li, X.; Zhang, R.; Lu, X. Kinetic study of levulinic acid production from corn stalk at mild temperature using FeCl3 as catalyst. Fuel 2017, 187, 261–267. [Google Scholar] [CrossRef]
- Fang, Q.; Hanna, M.A. Experimental studies for levulinic acid production from whole kernel grain sorghum. Bioresour. Technol. 2002, 81, 187–192. [Google Scholar] [CrossRef]
- Chang, C.; Cen, P.; Ma, X. Levulinic acid production from wheat straw. Bioresour. Technol. 2007, 98, 1448–1453. [Google Scholar] [CrossRef] [PubMed]
- Raspolli Galletti, A.M.; Antonetti, C.; de Luise, V.; Licursi, D.; di Nasso, N.N. Levulinic acid production from waste biomass. Bioresources 2012, 7, 1824–1835. [Google Scholar] [CrossRef]
- Bevilaqua, D.B.; Rambo, M.K.D.; Rizzetti, T.M.; Cardoso, A.L.; Martins, A.F. Cleaner production: Levulinic acid from rice husks. J. Clean. Prod. 2013, 47, 96–101. [Google Scholar] [CrossRef]
- Girisuta, B.; Dussan, K.; Haverty, D.; Leahy, J.J.; Hayes, M.H.B. A kinetic study of acid catalysed hydrolysis of sugar cane bagasse to levulinic acid. Chem. Eng. J. 2013, 217, 61–70. [Google Scholar] [CrossRef]
- Yan, L.; Yang, N.; Pang, H.; Liao, B. Production of Levulinic Acid from Bagasse and Paddy Straw by Liquefaction in the Presence of Hydrochloride Acid. Clean Soil Air Water 2008, 36, 158–163. [Google Scholar] [CrossRef]
- Licursi, D.; Antonetti, C.; Martinelli, M.; Ribechini, E.; Zanaboni, M.; Raspolli Galletti, A.M. Monitoring/characterization of stickies contaminants coming from a papermaking plant—Toward an innovative exploitation of the screen rejects to levulinic acid. Waste Manag. 2016, 49, 469–482. [Google Scholar] [CrossRef] [PubMed]
- Jeong, G.T.; Ra, C.H.; Hong, Y.-K.; Kim, J.K.; Kong, I.-S.; Kim, S.-K.; Park, D.-H. Conversion of red-algae Gracilaria verrucosa to sugars, levulinic acid and 5-hydroxymethylfurfural. Bioprocess Biosyst. Eng. 2015, 38, 207–217. [Google Scholar] [CrossRef] [PubMed]
- Kang, M.; Kim, S.W.; Kim, J.-W.; Kim, T.H.; Kim, J.S. Optimization of levulinic acid production from Gelidium amansii. Renew. Energy 2013, 54, 173–179. [Google Scholar] [CrossRef]
- Lee, S.B.; Kim, S.K.; Hong, Y.K.; Jeong, G.T. Optimization of the production of platform chemicals and sugars from the red macroalga, Kappaphycus alvarezii. Algal Res. 2016, 13, 303–310. [Google Scholar] [CrossRef]
- Omari, K.W.; Besaw, J.E.; Kerton, F.M. Hydrolysis of chitosan to yield levulinic acid and 5-hydroxymethylfurfural in water under microwave irradiation. Green Chem. 2012, 14, 1480–1487. [Google Scholar] [CrossRef]
- Rivas, S.; Raspolli Galletti, A.M.; Antonetti, C.; Santos, V.; Parajó, J.C. Sustainable production of levulinic acid from the cellulosic fraction of Pinus pinaster wood: Operation in aqueous media under microwave irradiation. J. Wood Chem. Technol. 2015, 35, 315–324. [Google Scholar] [CrossRef]
- Rivas, S.; Raspolli Galletti, A.M.; Antonetti, C.; Santos, V.; Parajó, J.C. Sustainable conversion of Pinus pinaster wood into biofuel precursors: A biorefinery approach. Fuel 2016, 164, 51–58. [Google Scholar] [CrossRef]
- Raspolli Galletti, A.M.; Antonetti, C. Biomass pretreatment: Separation of cellulose, hemicellulose and lignin—Existing technologies and perspectives. In Biorefinery: From Biomass to Chemicals and Fuels; Aresta, M., Dibenedetto, A., Dumeignil, F., Eds.; Walter de Gruyter GmbH & Co. KG: Berlin, Germany; Boston, MA, USA, 2012; Chapter 5; pp. 101–121. [Google Scholar]
- Galia, A.; Schiavo, B.; Antonetti, C.; Raspolli Galletti, A.M.; Interrante, L.; Lessi, M.; Scialdone, O.; Valenti, M.G. Autohydrolysis pretreatment of Arundo donax: A comparison between microwave-assisted batch and fast heating rate flow-through reaction systems. Biotechnol. Biofuels 2015, 8, 218–235. [Google Scholar] [CrossRef] [PubMed]
- Nhien, L.C.; Long, N.V.D.; Kim, S.; Lee, M. Design and Assessment of Hybrid Purification Processes through a Systematic Solvent Screening for the Production of Levulinic Acid from Lignocellulosic Biomass. Ind. Eng. Chem. Res. 2016, 55, 5180–5189. [Google Scholar] [CrossRef]
- Seibert, F. A Method of Recovering Levulinic Acid. Patent WO2010030617 A1, 18 March 2010. [Google Scholar]
- Root, D.F.; Saeman, J.F.; Harris, J.F.; Neill, W.K. Kinetics of the acid-catalyzed conversion of xylose to furfural. For. Prod. J. 1959, 9, 158–165. [Google Scholar]
- Khajavi, S.H.; Kimura, Y.; Oomori, R.; Matsuno, R.; Adachi, S. Degradation kinetics of monosaccharides in subcritical water. J. Food Eng. 2005, 68, 309–313. [Google Scholar] [CrossRef]
- Mansilla, H.D.; Baeza, J.; Urzua, S.; Maturana, G.; Villasenor, J.; Duran, N. Acid catalysed hydrolysis of rice hull: Evaluation of furfural production. Bioresour. Technol. 1998, 66, 189–193. [Google Scholar] [CrossRef]
- Banner, T.; Bohlmann, J.; Brazeau, B.; Han, T.J.; Loucks, P.; Shriver, S.; Zhou, S. Levulinic Acid from Fungal Biomass. U.S. Patent 20120178967 A1, 12 July 2012. [Google Scholar]
- Ding, D.; Wang, J.; Xi, J.; Liu, X.; Lu, G.; Wang, Y. High-yield production of levulinic acid from cellulose and its upgrading to γ-valerolactone. Green Chem. 2014, 16, 3846–3853. [Google Scholar] [CrossRef]
- Chambon, F.; Rataboul, F.; Pinel, C.; Cabiac, A.; Guillon, E.; Essayem, N. Cellulose hydrothermal conversion promoted by heterogeneous Brønsted and Lewis acids: Remarkable efficiency of solid Lewis acids to produce lactic acid. Appl. Catal. B Environ. 2011, 105, 171–181. [Google Scholar] [CrossRef]
- Joshi, S.S.; Zodge, A.D.; Pandare, K.V.; Kulkarni, B.D. Efficient Conversion of Cellulose to Levulinic Acid by Hydrothermal Treatment Using Zirconium Dioxide as a Recyclable Solid Acid Catalyst. Ind. Eng. Chem. Res. 2014, 53, 18796–18805. [Google Scholar] [CrossRef]
- Chen, H.; Yu, B.; Jin, S. Production of levulinic acid from steam exploded rice straw via solid superacid, S2O82−/ZrO2–SiO2–Sm2O3. Bioresour. Technol. 2011, 102, 3568–3570. [Google Scholar] [CrossRef] [PubMed]
- Wang, R.; Xie, X.; Liu, Y.; Liu, Z.; Xie, G.; Ji, N.; Ma, L.; Tang, M. Facile and Low-Cost Preparation of Nb/Al Oxide Catalyst with High Performance for the Conversion of Kiwifruit Waste Residue to Levulinic Acid. Catalysts 2015, 5, 1636–1648. [Google Scholar] [CrossRef]
- Mehdi, H.; Fábos, V.; Tuba, R.; Bodor, A.; Mika, L.T.; Horváth, I.T. Integration of Homogeneous and Heterogeneous Catalytic Processes for a Multi-step Conversion of Biomass: From Sucrose to Levulinic Acid, γ-Valerolactone, 1,4-Pentanediol, 2-Methyl-tetrahydrofuran, and Alkanes. Top. Catal. 2008, 48, 49–54. [Google Scholar] [CrossRef]
- Cho, H.; Schäfer, C.; Török, B. Microwave-assisted solid acid catalysis. In Microwaves in Catalysis: Methodology and Applications, 1st ed.; Horikoshi, S., Serpone, N., Eds.; Wiley-VCH Verlag GmbH & Co. KGaA: Weinheim, Germany, 2016; pp. 193–212. [Google Scholar]
- Sun, Z.; Cheng, M.; Li, H.; Shi, T.; Yuan, M.; Wang, X.; Jiang, Z. One-pot depolymerization of cellulose into glucose and levulinic acid by heteropolyacid ionic liquid catalysis. RSC Adv. 2012, 2, 9058–9065. [Google Scholar] [CrossRef]
- Alonso, D.M.; Gallo, J.M.R.; Mellmer, M.A.; Wettstein, S.G.; Dumesic, J.A. Direct conversion of cellulose to levulinic acid and gamma-valerolactone using solid acid catalysts. Catal. Sci. Technol. 2013, 3, 927–931. [Google Scholar] [CrossRef]
- Rackemann, D.W.; Doherty, W.O.S. The conversion of lignocellulosics to levulinic acid. Biofuels Bioprod. Biorefin. 2011, 5, 198–214. [Google Scholar] [CrossRef]
- Wettstein, S.G.; Alonso, D.M.; Chong, Y.; Dumesic, J.A. Production of levulinic acid and gamma-valerolactone (GVL) from cellulose using GVL as a solvent in biphasic systems. Energy Environ. Sci. 2012, 5, 8199–8203. [Google Scholar] [CrossRef]
- Gurbuz, E.I.; Wettstein, S.G.; Dumesic, J.A. Conversion of hemicellulose to furfural and levulinic acid using biphasic reactors with alkylphenol solvents. ChemSusChem 2012, 5, 383–387. [Google Scholar] [CrossRef] [PubMed]
- Zhao, D.; Wu, M.; Kou, Y.; Min, E. Ionic liquids: Applications in catalysis. Ionic liquids: Applications in catalysis. Catal. Today 2002, 74, 157–189. [Google Scholar] [CrossRef]
- Petkovic, M.; Seddon, K.R.; Rebelo, L.P.; Pereira, C.S. Ionic liquids: A pathway to environmental acceptability. Chem. Soc. Rev. 2011, 40, 1383–1403. [Google Scholar] [CrossRef] [PubMed]
- Peleteiro, S.; Rivas, S.; Alonso, J.L.; Santos, V.; Parajó, J.C. Furfural production using ionic liquids: A review. Bioresour. Technol. 2016, 202, 181–191. [Google Scholar] [CrossRef] [PubMed]
- Da Costa Lopes, A.M.; Bogel-Łukasik, R. Acidic Ionic Liquids as Sustainable Approach of Cellulose and Lignocellulosic Biomass Conversion without Additional Catalysts. ChemSusChem 2015, 8, 947–965. [Google Scholar] [CrossRef] [PubMed]
- Shen, Y.; Sun, J.K.; Yi, Y.X.; Wang, B.; Xu, F.; Sun, R.C. One-pot synthesis of levulinic acid from cellulose in ionic liquids. Bioresour. Technol. 2015, 192, 812–816. [Google Scholar] [CrossRef] [PubMed]
- Ren, H.; Girisuta, B.; Zhou, Y.; Liu, L. Selective and recyclable depolymerization of cellulose to levulinic acid catalyzed by acidic ionic liquid. Carbohydr. Polym. 2015, 117, 569–576. [Google Scholar] [CrossRef] [PubMed]
- Ya’aini, N.; Saidina Amin, N.A. Catalytic conversion of lignocellulosic biomass to levulinic acid in ionic liquid. Bioresources 2013, 8, 5761–5772. [Google Scholar] [CrossRef]
- Ren, H.; Zhou, Y.; Liu, L. Selective conversion of cellulose to levulinic acid via microwave-assisted synthesis in ionic liquids. Bioresour. Technol. 2013, 129, 616–619. [Google Scholar] [CrossRef] [PubMed]
- Deetlefs, M.; Seddon, K.R. Assessing the greenness of some typical laboratory ionic liquid preparations. Green Chem. 2010, 12, 17–30. [Google Scholar] [CrossRef]
- Li, H.; Yang, S. Catalytic transformation of fructose and sucrose to HMF with proline-derived ionic liquids under mild conditions. Int. J. Chem. Eng. 2014. [Google Scholar] [CrossRef]
- Sun, N.; Rodriguez, H.; Rahman, M.; Rogers, R.D. Where are ionic liquid strategies most suited in the pursuit of chemicals and energy from lignocellulosic biomass? Chem. Commun. 2011, 47, 1405–1421. [Google Scholar] [CrossRef] [PubMed]
- Uerdingen, M.; Treber, C.; Balser, M.; Schmitt, G.; Werner, C. Corrosion behaviour of ionic liquids. Green Chem. 2005, 7, 321–325. [Google Scholar] [CrossRef]
- Plechkova, N.V.; Seddon, K.R. Applications of ionic liquids in the chemical industry. Chem. Soc. Rev. 2008, 37, 123–150. [Google Scholar] [CrossRef] [PubMed]
- Heltzel, J.; Patil, S.K.R.; Lund, C.R.F. Humin formation pathways. In Reaction Pathways and Mechanisms in Thermocatalytic Biomass Conversion II; Schlaf, M., Zhang, Z.C., Eds.; Springer: Singapore, 2016; pp. 105–118. [Google Scholar]
- Jain, A.; Balasubramanian, R.; Srinivasan, M.P. Hydrothermal conversion of biomass waste to activated carbon with high porosity: A review. Chem. Eng. J. 2016, 283, 789–805. [Google Scholar] [CrossRef]
- Zhu, X.; Liu, Y.; Qian, F.; Zhou, C.; Zhang, S.; Chen, J. Role of hydrochar properties on the porosity of hydrochar-based porous carbon for their sustainable application. ACS Sustain. Chem. Eng. 2015, 3, 833–840. [Google Scholar] [CrossRef]
- Guo, S.; Dong, X.; Wu, T.; Zhu, C. Influence of reaction conditions and feedstock on hydrochar properties. Energy Convers. Manag. 2016, 123, 95–103. [Google Scholar] [CrossRef]
- Paraknowitsch, J.P.; Thomas, A.; Antonietti, M. Carbon colloids prepared by hydrothermal carbonization as efficient fuel for indirect carbon fuel cells. Chem. Mater. 2009, 21, 1170–1172. [Google Scholar] [CrossRef]
- Lin, H.; Su, J.; Liu, Y.; Yang, L. Catalytic conversion of lignocellulosic biomass to value-added organic acids in aqueous media. In Application of Hydrothermal Reactions to Biomass Conversion; Jin, F., Ed.; Springer: Berlin/Heidelberg, Germany, 2014; pp. 109–138. [Google Scholar]
- Puccini, M.; Licursi, D.; Stefanelli, E.; Vitolo, S.; Raspolli Galletti, A.M.; Heeres, H.J. Levulinic Acid from Orange Peel Waste by Hydrothermal Carbonization (HTC). Chem. Eng. Trans. 2016, 50, 223–228. [Google Scholar]
- Libra, J.A.; Ro, K.S.; Kammann, C.; Funke, A.; Berge, N.D.; Neubauer, Y.; Titirici, M.-M.; Fühner, C.; Bens, O.; Kern, J.; et al. Hydrothermal carbonization of biomass residuals: A comparative review of the chemistry, processes and applications of wet and dry pyrolysis. Biofuels 2011, 2, 89–124. [Google Scholar] [CrossRef]
- Lehmann, J.; Joseph, S. Biochar for Environmental Management: Science and Technology, 1st ed.; Earthscan: London, UK, 2009. [Google Scholar]
- Berge, N.D.; Kammann, C.; Ro, K.; Libra, J. Environmental applications of hydrothermal carbonization technology: Biochar production, carbon sequestration, and waste conversion. In Sustainable Carbon Materials from Hydrothermal Processes; Titirici, M.-M., Ed.; John Wiley & Sons, Ltd.: Chichester, UK, 2013; pp. 295–340. [Google Scholar]
- Rajapaksha, A.U.; Chen, S.S.; Tsang, D.C.W.; Zhang, M.; Vithanage, M.; Mandal, S.; Gao, B.; Bolan, N.S.; Ok, Y.S. Engineered/designer biochar for contaminant removal/immobilization from soil and water: Potential and implication of biochar modification. Chemosphere 2016, 148, 276–291. [Google Scholar] [CrossRef] [PubMed]
- Sevilla, M.; Fuertes, A.B.; Demir-Cakan, R.; Titirici, M.-M. Applications of hydrothermal carbon in modern nanotechnology. In Sustainable Carbon Materials from Hydrothermal Processes; Titirici, M.-M., Ed.; John Wiley & Sons, Ltd.: Chichester, UK, 2013; pp. 213–294. [Google Scholar]
- Hoang, T.M.C.; van Eck, E.R.H.; Bula, W.P.; Gardeniers, J.G.E.; Lefferts, L.; Seshan, K. Humin based by-products from biomass processing as a potential carbonaceous source for synthesis gas production. Green Chem. 2015, 17, 959–972. [Google Scholar] [CrossRef]
- Wang, Y.; Agarwal, S.; Kloekhorst, A.; Heeres, H.J. Catalytic hydrotreatment of humins in mixtures of formic acid/2-propanol with supported ruthenium catalysts. ChemSusChem 2016, 9, 951–961. [Google Scholar] [CrossRef] [PubMed]







| Molecular Weight (g/mol) | Refractive Index 1 | Density (kg·m−3) 1 | pKa | Melting Point (K) | Boiling Point (K) | Heat of Formation ΔHf (kJ/mol) | Heat of Vaporization ΔvapHm (kJ/mol) |
|---|---|---|---|---|---|---|---|
| 116.2 | 1.4796 | 1140 | 4.5 | 306–308 | 518–519 | −2417 | 74.4 |
| Experiment | Substrate and Loading | Catalyst | Reaction Conditions | YLA | Ref. |
|---|---|---|---|---|---|
| 1 | fructose 1 wt % | HCl | 240 °C for 0.03 h | 30 wt % | [54] |
| 2 | fructose 5 wt % | HCl | MW, 170 °C for 0.5 h | 31.8 wt % | [34] |
| 3 | fructose 5 wt % | H2SO4 | MW, 170 °C for 0.5 h | 27.5 wt % | [34] |
| 4 | fructose 5 wt % | H2SO4 | 120 °C for 24 h | 62% * | [55] |
| 5 | fructose 1 wt % | H3PO4 | 240 °C for 0.03 h | 4.5 wt % | [54] |
| 6 | glucose 1.8 wt % | HCl | 141 °C for 1 h | 29 wt % | [56] |
| 7 | glucose 10 wt % | HCl | 160 °C for 4 h | 41 wt % | [27] |
| 8 | glucose 15 wt % | HCl | 220 °C for 1 h | 37.2 wt % | [57] |
| 9 | glucose 6.3 wt % | HCl | 98 °C for 3 h | 22 wt % | [58] |
| 10 | glucose 5 wt % | HCl | MW, 170 °C for 0.5 h | 31.4 wt % | [34] |
| 11 | glucose 5 wt % | H2SO4 | MW, 170 °C for 0.5 h | 26.1 wt % | [34] |
| 12 | glucose 6.3 wt % | H2SO4 | 98 °C for 12 h | 24.5 wt % | [58] |
| 13 | glucose 1.8 wt % | H2SO4 | 141 °C for 1 h | 29 wt % | [56] |
| 14 | glucose 1.8 wt % | H2SO4 | 140 °C for 2 h | 38 wt % | [59] |
| 15 | glucose 2 wt % | H2SO4 | 180 °C for 0.25 h | 42 wt % | [60] |
| 16 | glucose 6.3 wt % | H3PO4 | 98 °C for 6 h | 3.2 wt % | [58] |
| 17 | fructose 2 wt % | TFA | 180 °C for 1 h | 45 wt % | [61] |
| 18 | glucose 1.8 wt % | TFA | 180 °C for 1 h | 37 wt % | [61] |
| 19 | glucose 2 wt % | Methane-sulfonic acid | 180 °C for 0.25 h | 41 wt % | [60] |
| 20 | glucose 2 wt % | FeCl3 | 180 °C for 2 h | 19.3 wt % | [62] |
| 21 | glucose 2 wt % | CrCl3 | 180 °C for 2 h | 38.7 wt % | [62] |
| 22 | glucose 2 wt % | CuCl2 | 180 °C for 2 h | 14.8 wt % | [62] |
| 23 | glucose 2 wt % | AlCl3 | 180 °C for 2 h | 45.8 wt % | [62] |
| 24 | glucose 10 wt % | HCl, CrCl3 | 140 °C for 6 h | 30 wt % | [63] |
| Experiment | Substrate and Loading | Catalyst | Reaction Conditions | YLA | Ref. |
|---|---|---|---|---|---|
| 25 | fructose 5 wt % | Amberlyst 15 | 120 °C for 36 h | 52% * | [55] |
| 140 °C for 8 h | 56% * | ||||
| 26 | fructose 5 wt % | Nafion NR50 | 120 °C for 24 h | 41% * | [55] |
| 27 | fructose 5 wt % | SBA-SO3H | 120 °C for 24 h | 29% * | [55] |
| 28 | glucose 1 wt % | Al-Zr oxide | 180 °C for 2 h | 3.9 wt % | [75] |
| 29 | glucose 10 wt % | Zirconium phosphate | 160 °C for 3 h | 14 wt % | [27] |
| 30 | glucose 10 wt % | Amberlyst 70 | 160 °C for 3 h | 21.7 wt % | [27] |
| 31 | glucose 1 wt % | CrCl3 + HY zeolite hybrid catalyst | 145.2 °C for 2.45 h | 55.2 wt % | [76] |
| 32 | glucose 1 wt % | CrCl3 + HY zeolite hybrid catalyst | 160 °C for 3 h | 40 wt % | [77] |
| 33 | glucose 0.5 wt % | FeCl3/HY zeolite catalyst | 180 °C for 4.17 h | 66% * | [78] |
| 34 | glucose 13 wt % | Sulfonated graphene oxide | 200 °C for 2 h | 50 wt % | [79] |
| 35 | glucose 5 wt % | Sulfonated chloromethyl polystyrene resin | 170 °C for 10 h | 28.5 wt % | [80] |
| Experiment | Substrate and Loading | Catalyst | Reaction Conditions | YLA | Ref. |
|---|---|---|---|---|---|
| 36 | cellobiose 5 wt % | HCl | MW, 170 °C for 0.5 h | 29.9 wt % | [34] |
| 37 | cellobiose 5 wt % | H2SO4 | MW, 170 °C for 0.5 h | 28.0 wt % | [34] |
| 38 | cellulose 1.6 wt % | HCl | 180 °C for 0.33 h | 44 wt % | [91] |
| 39 | cellulose 10 wt % | HCl | MW, 225 °C for 0.03 h | 90% * | [92] |
| 40 | cellulose 5 wt % | HCl | MW, 170 °C for 0.83 h | 31.0 wt % | [34] |
| 41 | cellulose 5 wt % | H2SO4 | MW, 170 °C for 0.83 h | 23.0 wt % | [34] |
| 42 | cellulose 1.7 wt % | H2SO4 | 150 °C for 2 h | 43 wt % | [93] |
| 43 | cellulose 8.7 wt % | H2SO4 | 150 °C for 6 h | 40.8 wt % | [94] |
| 44 | cellulose 2 wt % | CrCl3 | 200 °C for 3 h | 47.3 wt % | [62] |
| 45 | cellulose 20 wt % | CuSO4 | 240 °C for 0.5 h | 17.5 wt % | [95] |
| 46 | waxy corn starch 1 wt % | HCl | MW, 165 °C for 0.58 h | 53 wt % | [96] |
| 165 °C for 1 h | 54 wt % | ||||
| 47 | giant reed 7 wt % | HCl | 190 °C for 1 h | 24 wt % | [97] |
| 48 | giant reed 7 wt % | HCl | 200 °C for 1 h | 15.8 wt % | [98] |
| 49 | giant reed 7 wt % | HCl | 2 steps: | 22.8 wt % | [98] |
| 1st step: 80 °C for 2 h | |||||
| 2nd step: 190 °C for 1 h | |||||
| 50 | giant reed 7 wt % | HCl | MW, 190 °C for 0.33 h | 22 wt % | [99] |
| 51 | water hyacinth 1 wt % | H2SO4 | 175 °C for 0.5 h | 9.2 wt % | [100] |
| 52 | corn stalk 10 wt % | FeCl3 | 180 °C for 0.67 h | 35 wt % | [101] |
| 53 | whole kernel grain sorghum 10 wt % | H2SO4 | 200 °C for 0.67 h | 32.6%* | [102] |
| 54 | wheat straw 6.4 wt % | H2SO4 | 209.3 °C for 0.63 h | 19.9 wt % | [103] |
| 55 | wheat straw 7 wt % | HCl | 200 °C for 1 h | 19.3 wt % | [104] |
| 56 | wheat straw 7 wt % | HCl | MW, 200 °C for 0.25 h | 20.6 wt % | [104] |
| 57 | rice husk 10 wt % | HCl | 170 °C for 1 h | 59.4 wt % | [105] |
| 58 | sugarcane bagasse 11 wt % | H2SO4 | 150 °C for 6 h | 19.4 wt % | [106] |
| 59 | sugarcane bagasse 10.5 wt % | HCl | 220 °C for 0.75 h | 22.8 wt % | [107] |
| 60 | paddy straw 10.5 wt % | HCl | 220 °C for 0.75 h | 23.7 wt % | [107] |
| 61 | olive tree pruning 7 wt % | HCl | 200 °C for 1 h | 18.6 wt % | [104] |
| 62 | olive tree pruning 7 wt % | HCl | MW, 200 °C for 0.25 h | 20.1 wt % | [104] |
| 63 | poplar sawdust 7 wt % | HCl | 200 °C for 1 h | 21.3 wt % | [104] |
| 64 | poplar sawdust 7 wt % | HCl | MW, 200 °C for 0.25 h | 26.4 wt % | [104] |
| 65 | tobacco chops 7 wt % | HCl | 200 °C for 1 h | 5.2 wt % | [104] |
| 66 | post-harvest tomato plants 10 wt % | HCl | MW, 225 °C for 0.03 h | 63%* | [92] |
| 67 | paper sludge 7 wt % | HCl | 200 °C for 1 h | 31.4 wt % | [104] |
| 68 | paper sludge 7 wt % | HCl | MW, 200 °C for 0.25 h | 31.7 wt % | [104] |
| 69 | screen rejects 7 wt % | HCl | MW, 190 °C for 0.33 h | 7 wt % | [108] |
| 70 | red alga Gracilaria verrucosa 6.7 wt % | H2SO4 | 175 °C for 0.58 h | 22.6 wt % | [109] |
| 71 | red alga Gelidium amansii 16.7 wt % | H2SO4 | 2 steps: | 20.6 wt % | [110] |
| 1st step: 76 °C for 49.5 h | |||||
| 2nd step: 180°C for 0.8 h | |||||
| 72 | macroalga Kappaphycus alvarezii 6.7 wt % | H2SO4 | 178 °C for 0.65 h | 18 wt % | [111] |
| 73 | chitosan 10 wt % | HCl | MW, 225 °C for 0.03 h | 95% * | [92] |
| 74 | chitosan 25 wt % | SnCl4 | MW, 210 °C for 0.5 h | 27 wt % | [112] |
| 75 | chitin 2.5 wt % | HCl | MW, 190 °C for 0.5 h | 18.7 wt % | [34] |
| 76 | chitin 2.5 wt % | H2SO4 | MW, 190 °C for 0.5 h | 21.6 wt % | [34] |
| Experiment | Substrate and Loading | Catalyst | Reaction Conditions | YLA | Ref. |
|---|---|---|---|---|---|
| 77 | cellobiose 5 wt % | Sulfonated chloromethyl polystyrene resin | 170 °C for 5 h | 12.9 wt % | [80] |
| 78 | sucrose 5 wt % | Sulfonated chloromethyl polystyrene resin | 170 °C for 10 h | 16.5 wt % | [80] |
| 79 | cellulose 5 wt % | Sulfonated chloromethyl polystyrene resin | 170 °C for 10 h | 24 wt % | [80] |
| 80 | cellulose 5 wt % | Al-NbOPO4 | 180 °C for 24 h | 38 wt % | [123] |
| 81 | cellulose 2.5 wt % | Sulfonated carbon | 190 °C for 24 h | 1.8 wt % | [124] |
| 82 | cellulose 2 wt % | ZrO2 | 180 °C for 3 h | 39 wt % | [125] |
| 83 | cellulose 4 wt % | Zirconium phosphate | 220 °C for 2 h | 12 wt % | [27] |
| 84 | inulin 6 wt % | Niobium Phosphate | MW, 200 °C for 0.25 h | 28.1 wt | [104] |
| 85 | wheat straw 6 wt % | Niobium Phosphate | MW, 200 °C for 0.25 h | 10.1 wt % | [104] |
| 86 | rice straw 6.6 wt % | S2O82−/ZrO2–SiO2–Sm2O3 | 150 °C for 0.17 h a | 2.2 wt % | [126] |
| 180 °C for 0.17 h a | 6.1 wt % | ||||
| 200 °C for 0.17 h a | 9.3 wt % | ||||
| 240 °C for 0.17 h a | 6.7 wt % | ||||
| 200 °C for 0.17 h b | 14.2 wt % | ||||
| 87 | empty fruit bunch 1 wt % | CrCl3 + HY zeolite hybrid catalyst | 145.2 °C for 2.45 h | 15.5 wt % | [76] |
| 88 | kenaf 1 wt % | CrCl3 + HY zeolite hybrid catalyst | 145.2 °C for 2.45 h | 15.0 wt % | [76] |
| 89 | kiwifruit waste residue 6.7 wt % | 20% Nb/Al oxide | 190 °C for 0.17 h | 13.8 wt % | [127] |
| 190 °C for 0.25 h | 14.7 wt % |
| Experiment | Substrate and Loading | Catalyst | Reaction Conditions | YLA | Ref. |
|---|---|---|---|---|---|
| 90 | cellulose 2 wt % | [C4H6N2(CH2)3SO3H]3−nHnPW12O40, n = 1, 2, 3 | 140 °C for 12 h in H2O/MIBK (1/10 v/v) | 63.1 wt % | [130] |
| 91 | cellulose 4 wt % | Sulfonated chloromethyl polystyrene resin | 170 °C for 10 h in H2O-GVL (10/90 wt %) | 47 wt % | [80] |
| 92 | cellulose 2 wt % | Amberlyst 70 | 160 °C for 16 h in H2O-GVL (10/90 wt %) | 49.4 wt % | [131] |
| 93 | corn stover 6 wt % | Amberlyst 70 | 160 °C for 16 h in H2O-GVL (10/90 wt %) | 38.7 wt % | [132] |
© 2016 by the authors; licensee MDPI, Basel, Switzerland. This article is an open access article distributed under the terms and conditions of the Creative Commons Attribution (CC-BY) license (http://creativecommons.org/licenses/by/4.0/).
Share and Cite
Antonetti, C.; Licursi, D.; Fulignati, S.; Valentini, G.; Raspolli Galletti, A.M. New Frontiers in the Catalytic Synthesis of Levulinic Acid: From Sugars to Raw and Waste Biomass as Starting Feedstock. Catalysts 2016, 6, 196. https://doi.org/10.3390/catal6120196
Antonetti C, Licursi D, Fulignati S, Valentini G, Raspolli Galletti AM. New Frontiers in the Catalytic Synthesis of Levulinic Acid: From Sugars to Raw and Waste Biomass as Starting Feedstock. Catalysts. 2016; 6(12):196. https://doi.org/10.3390/catal6120196
Chicago/Turabian StyleAntonetti, Claudia, Domenico Licursi, Sara Fulignati, Giorgio Valentini, and Anna Maria Raspolli Galletti. 2016. "New Frontiers in the Catalytic Synthesis of Levulinic Acid: From Sugars to Raw and Waste Biomass as Starting Feedstock" Catalysts 6, no. 12: 196. https://doi.org/10.3390/catal6120196
APA StyleAntonetti, C., Licursi, D., Fulignati, S., Valentini, G., & Raspolli Galletti, A. M. (2016). New Frontiers in the Catalytic Synthesis of Levulinic Acid: From Sugars to Raw and Waste Biomass as Starting Feedstock. Catalysts, 6(12), 196. https://doi.org/10.3390/catal6120196

