Iron Oxide-Modified Anode for Enhanced Sunset Yellow FCF Azo Dye Decolorization in Microbial Fuel Cell and Phytotoxicity Assessment
Abstract
1. Introduction
2. Results and Discussion
2.1. Material Characterization
2.1.1. X-Ray Diffraction Characterization (XRD)
2.1.2. Scanning Electron Microscopy (SEM)
2.2. MFC Operation and Electrochemical Characteristics
2.2.1. COD Removal (%) and Change in Sunset Yellow FCF Concentration During MFC Experiments with Respect to Time and Decolorization Efficiency (%)
2.2.2. Decolorization Kinetics
2.2.3. Voltage Generation, Power, and Corresponding Current Densities
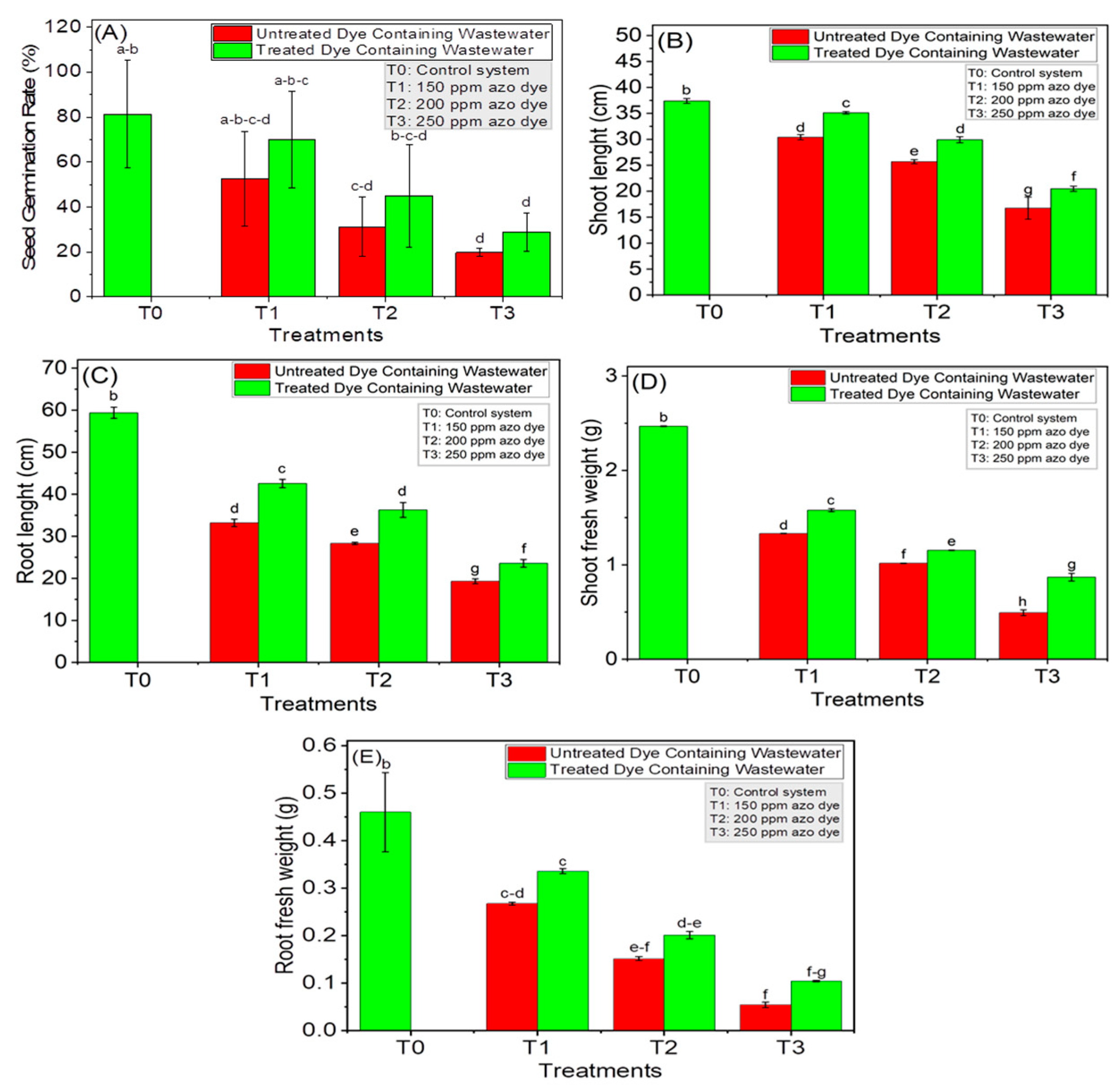
2.3. Phytotoxicity Analysis Using Wheat Plants
2.4. Biochemical Parameters
3. Materials and Methods
3.1. Reagents/Chemicals
3.2. MFC Design and Operation
3.3. Synthetic Wastewater Composition
3.4. Synthesis and Characterization of Fe2O3 Nanomaterials
3.5. Chemical Oxygen Demand & % COD Reduction
3.6. Decolorization Efficiency (%)
3.7. Kinetics Studies
3.8. Electrochemical Analysis
3.9. Phytotoxicity Assessment
4. Conclusions
Author Contributions
Funding
Data Availability Statement
Acknowledgments
Conflicts of Interest
References
- Zamora-Ledezma, C.; Negrete-Bolagay, D.; Figueroa, F.; Zamora-Ledezma, E.; Ni, M.; Alexis, F.; Guerrero, V.H. Heavy metal water pollution: A fresh look about hazards, novel and conventional remediation methods. Environ. Technol. Innov. 2021, 22, 101504. [Google Scholar] [CrossRef]
- Yaqoob, A.A.; Khatoon, A.; Mohd Setapar, S.H.; Umar, K.; Parveen, T.; Mohamad Ibrahim, M.N.; Ahmad, A.; Rafatullah, M. Outlook on the role of microbial fuel cells in remediation of environmental pollutants with electricity generation. Catalysts 2020, 10, 819. [Google Scholar] [CrossRef]
- Khan, M.D.; Li, D.; Tabraiz, S.; Shamurad, B.; Scott, K.; Khan, M.Z.; Yu, E.H. Integrated air cathode microbial fuel cell-aerobic bioreactor set-up for enhanced bioelectrodegradation of azo dye Acid Blue 29. Sci. Total Environ. 2021, 756, 143752. [Google Scholar] [CrossRef]
- Kalra, A.; Gupta, A. Recent advances in decolourization of dyes using iron nanoparticles: A mini review. Mater. Today Proc. 2021, 36, 689–696. [Google Scholar] [CrossRef]
- Vinayak, A.; Singh, G.B. Synthetic azo dye bio-decolorization by Priestia sp. RA1: Process optimization and phytotoxicity assessment. Arch. Microbiol. 2022, 204, 318. [Google Scholar] [CrossRef]
- Mittal, Y.; Dash, S.; Srivastava, P.; Mishra, P.M.; Aminabhavi, T.M.; Yadav, A.K. Azo dye containing wastewater treatment in earthen membrane based unplanted two chambered constructed wetlands-microbial fuel cells: A new design for enhanced performance. Chem. Eng. J. 2022, 427, 131856. [Google Scholar] [CrossRef]
- Rehman, K.; Shahzad, T.; Sahar, A.; Hussain, S.; Mahmood, F.; Siddique, M.H.; Siddique, M.A.; Rashid, M.I. Effect of Reactive Black 5 azo dye on soil processes related to C and N cycling. PeerJ 2018, 6, e4802. [Google Scholar] [CrossRef]
- Rafaqat, S.; Ali, N.; Torres, C.; Rittmann, B. Recent progress in treatment of dyes wastewater using microbial-electro-Fenton technology. RSC Adv. 2022, 12, 17104–17137. [Google Scholar]
- Qiu, H.; Shen, F.; Yin, A.; Liu, J.; Wu, B.; Li, Y.; Xiao, Y.; Hai, J.; Xu, B. Biodegradation and detoxification of azo dyes by halophilic/halotolerant microflora isolated from the salt fields of Tibet autonomous region China. Front. Microbiol. 2022, 13, 877151. [Google Scholar] [CrossRef]
- Mahmood, R.; Sharif, F.; Ali, S.; Hayyat, M. Bioremediation of textile effluent by indigenous bacterial consortia and its effects on Zea mays L. CV C1415. J. Anim. Plant Sci. 2013, 23, 1193–1199. [Google Scholar]
- Younas, S.; Rizvi, H.; Ali, S.; Abbas, F. Irrigation of Zea mays with UASB-treated textile wastewater; effect on early irrigation of Zea mays with UASB-treated textile wastewater; effect on early growth and physiology. Environ. Sci. Pollut. Res. 2020, 27, 15305–15324. [Google Scholar] [CrossRef]
- Ali, A.E.; Chowdhury, Z.Z.; Devnath, R.; Ahmed, M.M.; Rahman, M.M.; Khalid, K.; Wahab, Y.A.; Badruddin, I.A.; Kamangar, S.; Hussien, M. Removal of azo dyes from aqueous effluent using bio-based activated carbons: Toxicity aspects and environmental impact. Separations 2023, 10, 506. [Google Scholar] [CrossRef]
- Mancuso, A.; Mottola, S.; Sacco, O.; Vaiano, V.; De Marco, I. Photocatalytic degradation of ceftriaxone using TiO2 coupled with ZnO micronized by supercritical antisolvent route. Nanomaterials 2023, 13, 3130. [Google Scholar] [CrossRef]
- Rojas-Flores, S.J.; Liza, R.; Nazario-Naveda, R.; Díaz, F.; Delfin-Narciso, D.; Gallozzo Cardenas, M.; Alviz-Meza, A. Sustainable Energy and Simultaneous Remediation: A Review of the Synergy Between Microbial Fuel Cells and Textile Dye Decolorization. Processes 2025, 13, 3986. [Google Scholar] [CrossRef]
- Mani, P.; Fidal, V.; Bowman, K.; Breheny, M.; Chandra, T.; Keshavarz, T.; Kyazze, G. Degradation of azo dye (acid orange 7) in a microbial fuel cell: Comparison between anodic microbial-mediated reduction and cathodic laccase-mediated oxidation. Front. Energy Res. 2019, 7, 101. [Google Scholar] [CrossRef]
- Mier, A.A.; Olvera-Vargas, H.; Mejía-López, M.; Longoria, A.; Verea, L.; Sebastian, P.; Arias, D.M. A review of recent advances in electrode materials for emerging bioelectrochemical systems: From biofilm-bearing anodes to specialized cathodes. Chemosphere 2021, 283, 131138. [Google Scholar] [CrossRef]
- Fang, Z.; Song, H.-L.; Cang, N.; Li, X.-N. Performance of microbial fuel cell coupled constructed wetland system for decolorization of azo dye and bioelectricity generation. Bioresour. Technol. 2013, 144, 165–171. [Google Scholar] [CrossRef]
- Khan, S.S.; Amjad, M.; Shareef, H.; Larkin, S. Review of microbial fuel cell from a techno-economic perspective. Energy Explor. Exploit. 2024, 42, 373–398. [Google Scholar] [CrossRef]
- Agrahari, R.; Bayar, B.; Abubackar, H.N.; Giri, B.S.; Rene, E.R.; Rani, R. Advances in the development of electrode materials for improving the reactor kinetics in microbial fuel cells. Chemosphere 2022, 290, 133184. [Google Scholar] [CrossRef]
- Nosek, D.; Jachimowicz, P.; Cydzik-Kwiatkowska, A. Anode modification as an alternative approach to improve electricity generation in microbial fuel cells. Energies 2020, 13, 6596. [Google Scholar] [CrossRef]
- Hassan, N. Catalytic performance of nanostructured materials recently used for developing fuel cells’ electrodes. Int. J. Hydrogen Energy 2021, 46, 39315–39368. [Google Scholar] [CrossRef]
- Rong, Q.; Du, J.S.; Chen, X.; Liu, Q.; Dravid, V.P. A Bidirectional Nanomodification Approach for Synthesizing Hierarchically Architected Mixed Oxide Electrodes for Oxygen Evolution. Small 2021, 17, 2007287. [Google Scholar] [CrossRef]
- Yaqoob, A.A.; Ibrahim, M.N.M.; Umar, K. Electrode material as anode for improving the electrochemical performance of microbial fuel cells. In Energy Storage Battery Systems-Fundamentals and Applications; IntechOpen: London, UK, 2021. [Google Scholar]
- Baker, A.; Hamdaoui, O.; El Blidi, L.; Hadj-Kali, M.K.; Alghyamah, A. Ultrasound/Peracetic Acid Degradation of Sunset Yellow FCF: Scavenger-Mapped Radical Pathways and the Impact of Salts and Environmental Water Matrices. Catalysts 2025, 15, 1044. [Google Scholar] [CrossRef]
- Ciğeroğlu, Z.; El Messaoudi, N.; Miyah, Y.; Georgin, J.; Franco, D.S.P.; Benjelloun, M.; Şenol, Z.M.; Kazan-Kaya, E.S.; Temur Ergan, B. Recent advances in the removal of Sunset Yellow dye from wastewater: A review. Sustain. Mater. Technol. 2024, 42, e01187. [Google Scholar] [CrossRef]
- Tacas, A.C.J.; Tsai, P.-W.; Tayo, L.L.; Hsueh, C.-C.; Sun, S.-Y.; Chen, B.-Y. Degradation and biotoxicity of azo dyes using indigenous bacteria-acclimated microbial fuel cells (MFCs). Process Biochem. 2021, 102, 59–71. [Google Scholar] [CrossRef]
- Kumar, V.; Singh Ahlawat, D.; Kumar, P.; Singh, O.; Singh, A.; Kumar, S. Yttrium ion influence on the structural, electrical, dielectric, and magnetic properties of α-Fe2O3 nanoparticles synthesized via Sol-Gel method. Mater. Sci. Eng. B 2024, 304, 117351. [Google Scholar] [CrossRef]
- Hjiri, M.; Zahmouli, N.; Khouzami, K.; Mir, L.E.; Aida, M.S.; Moulaee, K.; Lemine, O.M.; Leonardi, S.G.; Neri, G. A comparison of NO2 sensing characteristics of α-and γ-iron oxide-based solid-state gas sensors. Appl. Phys. A 2020, 126, 788. [Google Scholar] [CrossRef]
- Asoufi, H.M.; Al-Antary, T.M.; Awwad, A.M. Green route for synthesis hematite (α-Fe2O3) nanoparticles: Toxicity effect on the green peach aphid, Myzus persicae (Sulzer). Environ. Nanotechnol. Monit. Manag. 2018, 9, 107–111. [Google Scholar]
- Tan, S.-M.; Ong, S.-A.; Ho, L.-N.; Wong, Y.-S.; Abidin, C.Z.A.; Thung, W.-E.; Teoh, T.-P. Biotreatment of sulfonated dyestuffs with energy recovery in microbial fuel cell: Influencing parameters, kinetics, degradation pathways, mechanisms, and phytotoxicity assessment. J. Environ. Chem. Eng. 2021, 9, 105525. [Google Scholar] [CrossRef]
- Oon, Y.-S.; Ong, S.-A.; Ho, L.-N.; Wong, Y.-S.; Oon, Y.-L.; Lehl, H.K.; Thung, W.-E.; Nordin, N. Disclosing the synergistic mechanisms of azo dye degradation and bioelectricity generation in a microbial fuel cell. Chem. Eng. J. 2018, 344, 236–245. [Google Scholar] [CrossRef]
- Kalleary, S.; Abbas, F.M.; Ganesan, A.; Meenatchisundaram, S.; Srinivasan, B.; Packirisamy, A.S.B.; krishnan Kesavan, R.; Muthusamy, S. Biodegradation and bioelectricity generation by microbial desalination cell. Int. Biodeterior. Biodegrad. 2014, 92, 20–25. [Google Scholar] [CrossRef]
- Das, A.; Mishra, S. Complete biodegradation of azo dye in an integrated microbial fuel cell-aerobic system using novel bacterial consortium. Int. J. Environ. Sci. Technol. 2019, 16, 1069–1078. [Google Scholar] [CrossRef]
- Nosek, D.; Mikołajczyk, T.; Cydzik-Kwiatkowska, A. Anode modification with Fe2O3 affects the anode microbiome and improves energy generation in microbial fuel cells powered by wastewater. Int. J. Environ. Res. Public Health 2023, 20, 2580. [Google Scholar] [CrossRef]
- Mehra, S.; Singh, M.; Chadha, P. Adverse impact of textile dyes on the aquatic environment as well as on human beings. Toxicol. Int. 2021, 28, 165. [Google Scholar] [CrossRef]
- Lellis, B.; Fávaro-Polonio, C.Z.; Pamphile, J.A.; Polonio, J.C. Effects of textile dyes on health and the environment and bioremediation potential of living organisms. Biotechnol. Res. Innov. 2019, 3, 275–290. [Google Scholar] [CrossRef]
- Tahir, U.; Yasmin, A.; Khan, U.H. Phytoremediation: Potential flora for synthetic dyestuff metabolism. J. King Saud Univ.-Sci. 2016, 28, 119–130. [Google Scholar] [CrossRef]
- Lobiuc, A.; Olaru, S.; Hancu, E.I.; Costica, N.; Fortuna, M.E.; Zamfirache, M.M.; Constantinescu, G. Toxicity and removal of Direct Red 28 diazo dye in living polymeric systems. Rev. Chim. 2018, 69, 1628–1635. [Google Scholar] [CrossRef]
- Dikilitaş, S.; Aksoy, Ö. The genotoxic effects of some food colorants on Zea mays L. var. saccharata Sturt. Caryologia 2018, 71, 438–445. [Google Scholar] [CrossRef]
- Dwivedi, K.; Kumar, G. Genetic damage induced by a food coloring dye (sunset yellow) on meristematic cells of Brassica campestris L. J. Environ. Public Health 2015, 2015, 319727. [Google Scholar]
- Vazhangat, P.; Thoppil, J.E. Apoptotic induction via membrane/DNA damage and metabolic inactivation by synthetic food colorants in Allium cepa root meristem. Turk. J. Biol. 2016, 40, 922–933. [Google Scholar] [CrossRef]
- Fitzgerald, S.W.; Bishop, P.L. Two stage anaerobic/aerobic treatment of sulfonated azo dyes. J. Environ. Sci. Health Part A 1995, 30, 1251–1276. [Google Scholar]
- Mohan, S.V.; Prasad, K.K.; Rao, N.C.; Sarma, P. Acid azo dye degradation by free and immobilized horseradish peroxidase (HRP) catalyzed process. Chemosphere 2005, 58, 1097–1105. [Google Scholar] [CrossRef]
- Soltangheisi, A.; Ishak, C.F.; Musa, H.M.; Zakikhani, H.; Rahman, Z.A. Phosphorus and zinc uptake and their interaction effect on dry matter and chlorophyll content of sweet corn (Zea mays var. saccharata). J. Agron. 2013, 12, 187–192. [Google Scholar] [CrossRef]
- Abd El-Ghany, T.; Masrahi, Y.; Mohamed, A.; Abboud, A.; Alawlaqi, M.; Elhussieny, N. Maize (Zea mays L.) growth and metabolic dynamics with plant growth promoting rhizobacteria under salt stresses. J. Plant Pathol. Microbiol. 2015, 6, 305. [Google Scholar]
- Yaseen, D.; Scholz, M. Textile dye wastewater characteristics and constituents of synthetic effluents: A critical review. Int. J. Environ. Sci. Technol. 2019, 16, 1193–1226. [Google Scholar] [CrossRef]
- Lassoued, A.; Lassoued, M.S.; Dkhil, B.; Ammar, S.; Gadri, A. Synthesis, photoluminescence and Magnetic properties of iron oxide (α-Fe2O3) nanoparticles through precipitation or hydrothermal methods. Phys. E Low-Dimens. Syst. Nanostructures 2018, 101, 212–219. [Google Scholar] [CrossRef]
- Tahir, K.; Miran, W.; Jang, J.; Maile, N.; Shahzad, A.; Moztahida, M.; Ghani, A.A.; Kim, B.; Jeon, H.; Lim, S.-R. Nickel ferrite/MXene-coated carbon felt anodes for enhanced microbial fuel cell performance. Chemosphere 2021, 268, 128784. [Google Scholar] [CrossRef] [PubMed]
- Tahir, K.; Miran, W.; Jang, J.; Shahzad, A.; Moztahida, M.; Kim, B.; Lee, D.S. A novel MXene-coated biocathode for enhanced microbial electrosynthesis performance. Chem. Eng. J. 2020, 381, 122687. [Google Scholar] [CrossRef]
- Liu, Y.; Li, K.; Dong, J.; Xu, L.; Li, Y.; Wang, N.; Li, S.; Ma, R. Enhancement of Stability and Conductivity of α-Fe2O3 Anodes by Doping with Cs+ for Lithium-Ion Battery. ACS Appl. Energy Mater. 2024, 7, 9953–9961. [Google Scholar] [CrossRef]
- Lamsal, B.; Wang, H.; Pinsirodom, P.; Dossey, A.T. Applications of insect-derived protein ingredients in food and feed industry. J. Am. Oil Chem. Soc. 2019, 96, 105–123. [Google Scholar] [CrossRef]
- Nawaz, A.; ul Haq, I.; Qaisar, K.; Gunes, B.; Raja, S.I.; Mohyuddin, K.; Amin, H. Microbial fuel cells: Insight into simultaneous wastewater treatment and bioelectricity generation. Process Saf. Environ. Prot. 2022, 161, 357–373. [Google Scholar] [CrossRef]
- Unsal, Y.E.; Soylak, M.; Tuzen, M. Column solid-phase extraction of sunset yellow and spectrophotometric determination of its use in powdered beverage and confectionery products. Int. J. Food Sci. Technol. 2012, 47, 1253–1258. [Google Scholar] [CrossRef]
- Mohamed, T.; El-Motlak, M.H.; Mamdouh, S.; Ashour, M.; Ahmed, H.; Qayyum, H.; Mahmoud, A. Excitation wavelength and colloids concentration-dependent nonlinear optical properties of silver nanoparticles synthesized by laser ablation. Materials 2022, 15, 7348. [Google Scholar] [CrossRef] [PubMed]
- Kumar, P.; Sharma, R. Development of SPAD value-based linear models for non-destructive estimation of photosynthetic pigments in wheat (Triticum aestivum L.). Indian J. Genet. Plant Breed. 2019, 79, 96–99. [Google Scholar] [CrossRef]







Disclaimer/Publisher’s Note: The statements, opinions and data contained in all publications are solely those of the individual author(s) and contributor(s) and not of MDPI and/or the editor(s). MDPI and/or the editor(s) disclaim responsibility for any injury to people or property resulting from any ideas, methods, instructions or products referred to in the content. |
© 2026 by the authors. Licensee MDPI, Basel, Switzerland. This article is an open access article distributed under the terms and conditions of the Creative Commons Attribution (CC BY) license.
Share and Cite
Arshad, M.; Mumtaz, M.W.; El Oirdi, M.; Mukhtar, H.; Miran, W.; Raza, M.A.; Aatif, M.; Muteeb, G.; Khan, H.S.; Farhan, M. Iron Oxide-Modified Anode for Enhanced Sunset Yellow FCF Azo Dye Decolorization in Microbial Fuel Cell and Phytotoxicity Assessment. Catalysts 2026, 16, 313. https://doi.org/10.3390/catal16040313
Arshad M, Mumtaz MW, El Oirdi M, Mukhtar H, Miran W, Raza MA, Aatif M, Muteeb G, Khan HS, Farhan M. Iron Oxide-Modified Anode for Enhanced Sunset Yellow FCF Azo Dye Decolorization in Microbial Fuel Cell and Phytotoxicity Assessment. Catalysts. 2026; 16(4):313. https://doi.org/10.3390/catal16040313
Chicago/Turabian StyleArshad, Muneeba, Muhammad Waseem Mumtaz, Mohamed El Oirdi, Hamid Mukhtar, Waheed Miran, Muhammad Asam Raza, Mohammad Aatif, Ghazala Muteeb, Hena Saeed Khan, and Mohd Farhan. 2026. "Iron Oxide-Modified Anode for Enhanced Sunset Yellow FCF Azo Dye Decolorization in Microbial Fuel Cell and Phytotoxicity Assessment" Catalysts 16, no. 4: 313. https://doi.org/10.3390/catal16040313
APA StyleArshad, M., Mumtaz, M. W., El Oirdi, M., Mukhtar, H., Miran, W., Raza, M. A., Aatif, M., Muteeb, G., Khan, H. S., & Farhan, M. (2026). Iron Oxide-Modified Anode for Enhanced Sunset Yellow FCF Azo Dye Decolorization in Microbial Fuel Cell and Phytotoxicity Assessment. Catalysts, 16(4), 313. https://doi.org/10.3390/catal16040313

