Geometric Structure-Dependent Catalyst Performance in CH4 Reforming Using Ni-Based Catalysts
Abstract
1. Introduction
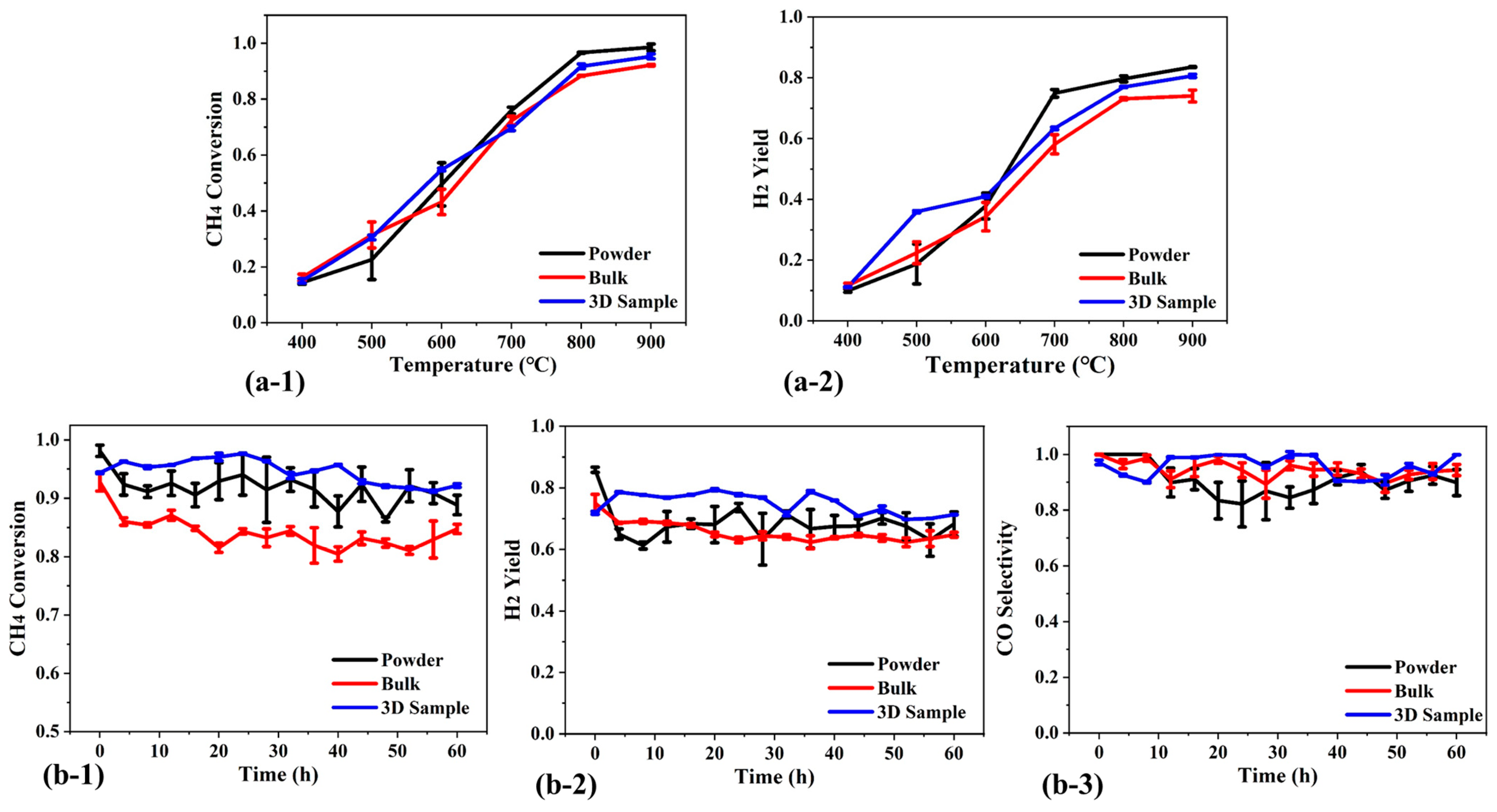
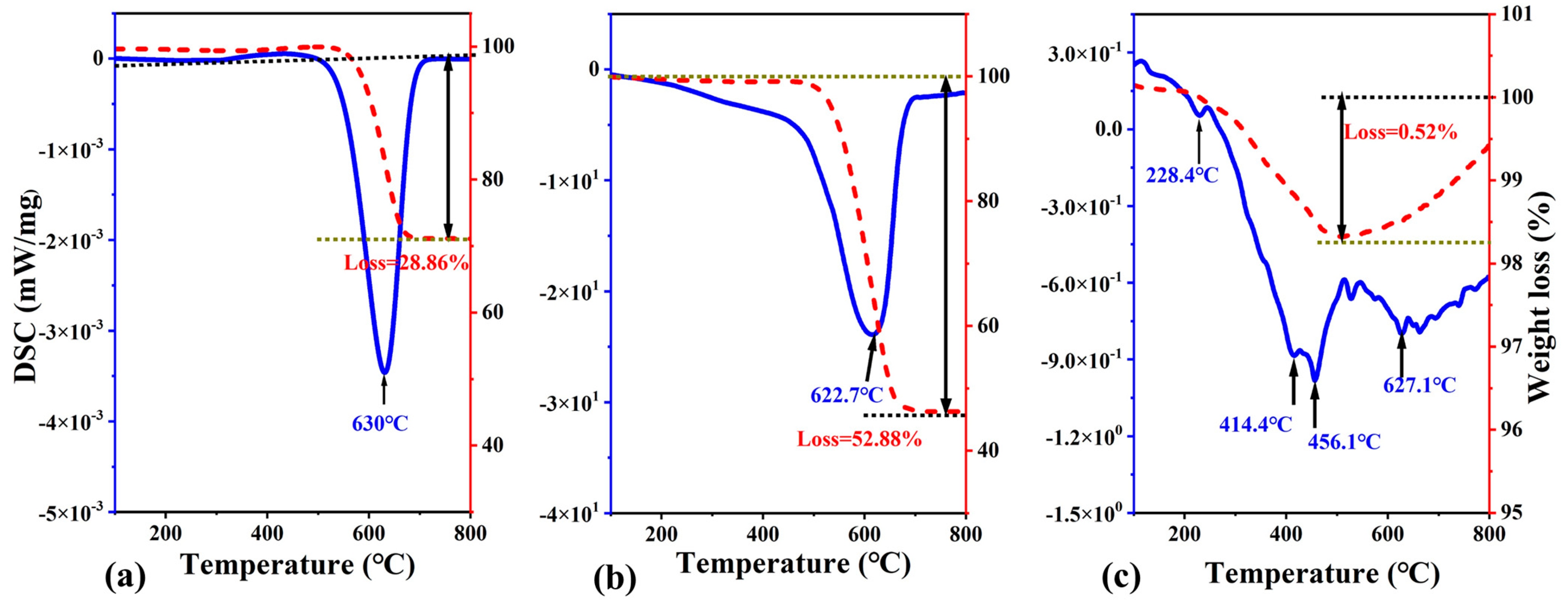
2. Results and Discussion
3. Materials and Methods
3.1. Preparation of the Ni-Based Catalysts
3.2. Catalyst Characterization
3.3. Catalytic Tests
4. Conclusions
Author Contributions
Funding
Data Availability Statement
Acknowledgments
Conflicts of Interest
References
- Lubitz, W.; Tumas, B. Hydrogen: An overview. Chem. Rev. 2007, 107, 3900–3903. [Google Scholar] [CrossRef] [PubMed]
- Noyan, O.F.; Hasan, M.M.; Pala, N. A Global Review of the Hydrogen Energy Eco-System. Energies 2023, 16, 1484. [Google Scholar] [CrossRef]
- Dawood, F.; Anda, M.; Shafiullah, G.M. Hydrogen production for energy: An overview. Int. J. Hydrogen Energy 2020, 45, 3847–3869. [Google Scholar] [CrossRef]
- Gunathilake, C.; Soliman, I.; Panthi, D.; Tand, P.; Fatani, O.; Ghulamullah, N.A.; Marasinghe, D.; Farhath, M.; Madhujith, T.; Conrad, k.; et al. A comprehensive review on hydrogen production, storage, and applications. RSC 2024, 53, 10900–10969. [Google Scholar] [CrossRef] [PubMed]
- Dash, S.K.; Chakraborty, S.; Elangovan, D. A Brief Review of Hydrogen Production Methods and Their Challenges. Energies 2023, 16, 1141. [Google Scholar] [CrossRef]
- Peloquin, J.-F.; Francoeur, D.; Leclerc, W.; Mehanovic, D.; Dufault, J.F.; Camus, P.; Castellanos-Beltran, I.J.; Braidy, N.; Fréchette, L.G.; Picard, M. Electrified steam methane reforming microreactor. Int. J. Hydrogen Energy 2024, 49, 907–915. [Google Scholar] [CrossRef]
- Lu, Y.R.; Nikrityuk, P.A. DEM-based model for steam methane reforming. Chem. Eng. Sci. 2022, 247, 116903. [Google Scholar] [CrossRef]
- Choi, D.S.; Kim, J.; Kim, N.Y.; Joo, J.B. Control of textural property in spherical alumina ball for enhanced catalytic activity of Ni-supported Al2O3 catalyst in steam–methane reforming. J. Int. Eng. Chem. 2022, 108, 400–410. [Google Scholar] [CrossRef]
- Li, Y.; Huang, S.; Lu, B.; Deng, Z.; Dong, D.; Zhang, X.; Wu, S.; Deng, X. The performances of Ni–MgO@γ-Al2O3 for steam methane reforming prepared by freeze-drying technology. Int. J. Hydrogen Energy 2024, 60, 729–739. [Google Scholar] [CrossRef]
- Xu, L.; Song, H.; Chou, L. Ordered mesoporous MgO-Al2O3 composite oxides supported Ni based catalysts for CO2 reforming of CH4: Effects of basic modifier and mesopore structure. Int. J. Hydrogen Energy 2013, 38, 7307–7325. [Google Scholar] [CrossRef]
- Huo, C.; Qiu, Z.; Wei, Z.; Tian, X.; Huang, X.; Nan, Y.; Xiang, Y.; Zhang, R.; Wu, Z.; Li, D. 3D printed cross-scale structured TS-1 catalysts for continuous scale-up reactions. Addit. Manuf. 2024, 80, 103962. [Google Scholar] [CrossRef]
- Jin, H.; Yang, Z.; Zhong, J.; Cai, D.; Li, H.; Jia, D.; Zhou, Y. Mechanical and dielectric properties of 3D printed highly porous ceramics fabricated via stable and durable gel ink. J. Eur. Ceram. Soc. 2019, 39, 4680–4687. [Google Scholar] [CrossRef]
- Pashchenko, D.; Makarov, I. Carbon deposition in steam methane reforming over a Ni-based catalyst: Experimental and thermodynamic analysis. Energy 2021, 222, 119993. [Google Scholar] [CrossRef]
- Son, I.H.; Lee, S.J.; Song, I.Y.; Jeon, W.S.; Jung, I.; Yun, D.J.; Jeong, D.W.; Shim, J.O.; Jang, W.J.; Roh, H.S. Study on coke formation over Ni/γ-Al2O3, Co-Ni/γ-Al2O3, and Mg-Co-Ni//γ-Al2O3 catalysts for carbon dioxide reforming of methane. Fuel 2014, 136, 194–200. [Google Scholar] [CrossRef]
- Salcedo, A.; Lustemberg, P.G.; Rui, N.; Palomino, R.M.; Liu, Z.; Nemsak, S.; Senanayake, S.D.; Rodriguez, J.A.; Ganduglia-Pirovano, M.V.; Irigoyen, B. Reaction Pathway for Coke-Free Methane Steam Reforming on a Ni/CeO2 Catalyst: Active Sites and the Role of Metal-Support Interactions. ACS Catal. 2021, 11, 8327–8337. [Google Scholar] [CrossRef] [PubMed]
- Azevedo, I.R.; da Silva, A.A.; Xing, Y.T.; Rabelo-Neto, R.C.; Luchters, N.T.J.; Fletcher, J.C.Q.; Noronha, F.B.; Mattos, L.V. Long-term stability of Pt/Ce0.8Me0.2O2-γ/Al2O3 (Me = Gd, Nb, Pr, and Zr) catalysts for steam reforming of methane. Int. J. Hydrogen Energy 2022, 47, 15624–15640. [Google Scholar] [CrossRef]
- Cho, E.H.; Park, Y.-K.; Park, K.Y.; Koo, K.Y.; Jung, U.; Yoon, W.R.; Ko, C.H. Simultaneous impregnation of Ni and an additive via one-step melt-infiltration: Effect of alkaline-earth metal (Ca, Mg, Sr, and Ba) addition on Ni/γ-Al2O3 for CO2 methanation. Chem. Eng. J. 2022, 428, 131393–131402. [Google Scholar] [CrossRef]
- Lee, J.; Joo, C.; Cho, H.; Kim, Y.; Ga, S.; Kim, J. Design of multistage fixed bed reactors for SMR hydrogen production based on the intrinsic kinetics of Ru-based catalysts. Energy Convers. Manage. 2022, 268, 115981–115991. [Google Scholar]
- Izquierdo, U.; García-García, I.; Barrio, V.L.; Cambra, J.F. Hydrogen Production with a Microchannel Reactor by Tri-Reforming; Reaction System Comparison and Catalyst Development. Top. Catal. 2017, 60, 1210–1225. [Google Scholar] [CrossRef]
- Han, L.; Li, F.; Deng, X.; Wang, J.; Zhang, H.; Zhang, S. Foam-gelcasting preparation, microstructure and thermal insulation performance of porous diatomite ceramics with hierarchical pore structures. J. Eur. Ceram. Soc. 2017, 37, 2717–2725. [Google Scholar] [CrossRef]
- Du, Z.; Yao, D.; Xia, Y.; Zuo, K.; Yin, J.; Liang, H.; Zeng, Y.P. Highly porous silica foams prepared via direct foaming with mixed surfactants and their sound absorption characteristics. Ceram. Int. 2020, 46, 12942–12947. [Google Scholar] [CrossRef]
- Chaparro-Garnica, C.Y.; Bailon-Garcia, E.; Davo-Quinonero, A.; Da Costa, P.; Lozano-Castello, D.; Bueno-Lopez, A. High Performance Tunable Catalysts Prepared by Using 3D Printing. Materials 2021, 14, 5017. [Google Scholar] [CrossRef] [PubMed]
- Zhou, L.; Miller, J.; Vezza, J.; Al Tamimi, Z.; Hansotte, G.; Sunkara, L.D.; Bernat, J. Additive Manufacturing: A Comprehensive Review. Sensors 2024, 24, 2668. [Google Scholar] [CrossRef]
- Vyavahare, S.; Mahesh, V.; Mahesh, V.; Harursampath, D. Additively manufactured meta-biomaterials: A state-of-the-art review. Compos. Struct. 2023, 305, 116491. [Google Scholar] [CrossRef]
- Blakey-Milner, B.; Gradl, P.; Snedden, G.; Leary, M.; Berto, F.; Plessis, A. Metal additive manufacturing in aerospace: A review. Mater. Des. 2021, 209, 110008. [Google Scholar] [CrossRef]
- Han, Z.; Wang, G.; Zhang, J.; Tang, Z. Direct photo-curing 3D printing of nickel-based electrocatalysts for highly-efficient hydrogen evolution. Nano Energy 2022, 102, 107615. [Google Scholar] [CrossRef]
- Agueniou, F.; Vidal, H.; Yeste, M.P.; Hernández-Garrido, J.C.; Cauqui, M.A.; Rodríguez-Izquierdo, J.M.; Calvino, J.J.; Gatica, J.M. Honeycomb monolithic design to enhance the performance of Ni-based catalysts for dry reforming of methane. Catal. Today 2022, 383, 226–235. [Google Scholar] [CrossRef]
- Mackiewicz, E.; Wejrzanowski, T.; Nowacki, R.; Jaroszewicz, J.; Marchewka, J.; Wilk, Ł.; Bezkosty, P.; Sitarz, M. 3D hierarchical porous structures printed from a silica-nickel composite paste. Appl. Mater. Today 2023, 33, 101859. [Google Scholar] [CrossRef]
- Cai, C.; Guo, S.; Li, B.; Tian, Y.; Dong Qiu, J.C.; Sun, C.N.; Yan, C.; Qi, H.J.; Zhou, K. 3D Printing and Chemical Dealloying of a Hierarchically Micro- and Nanoporous Catalyst for Wastewater Purification. ACS Appl. Mater. Interfaces 2021, 13, 48709–48719. [Google Scholar] [CrossRef]
- Li, C.; Yuan, S.; Yao, X.; Yu, X.; Li, B.; Tu, S.T. Structured nanoporous copper catalysts prepared by laser powder bed fusion and dealloying for on-board methanol steam reforming. Fuel 2023, 347, 128367. [Google Scholar] [CrossRef]
- Son, I.H.; Lee, S.J.; Soon, A.; Roh, H.S.; Lee, H. Steam treatment on Ni/γ-Al2O3 for enhanced carbon resistance in combined steam and carbon dioxide reforming of methane. Appl. Catal. B-Environ. 2013, 134–135, 103–109. [Google Scholar] [CrossRef]
- Al-Fatesh, A.S.; Kumar, R.; Kasim, S.O.; Ibrahim, A.A.; Fakeeha, A.H.; Abasaeed, A.E.; Alrasheed, R.; Bagabas, A.; Chaudhary, M.L.; Frusteri, F.; et al. The effect of modifier identity on the performance of Ni-based catalyst supported on γ-Al2O3 in dry reforming of methane. Catal. Today 2020, 348, 236–242. [Google Scholar] [CrossRef]
- Li, Y.; Peng, C.; Li, L.; Rao, P. Self-Assembled 3D Hierarchically Structured Gamma Alumina by Hydrothermal Method. J. Am. Ceram. Soc. 2014, 97, 35–39. [Google Scholar] [CrossRef]
- Jabbour, K.; Massiani, P.; Davidson, A.; Casale, S.; Hassan, E.N. Ordered mesoporous “one-pot” synthesized Ni-Mg(Ca)-Al2O3 as effective and remarkably stable catalysts for combined steam and dry reforming of methane (CSDRM). Appl. Catal. B-Environ. 2017, 201, 527–542. [Google Scholar] [CrossRef]
- Bian, H.; Gani, T.Z.H.; Liu, J.; Hondo, E.; Lim, K.H.; Zhang, T.; Li, D.; Liu, S.F.; Yan, J.; Kawi, S. Ni nanoparticles supported on Al2O3+ La2O3 yolk-shell catalyst for photo-assisted thermal decomposition of methane. J. Colloid Interface Sci. 2023, 643, 151–161. [Google Scholar] [CrossRef] [PubMed]
- Magnier, L.; Cossard, G.; Martin, V.; Pascal, C.; Roche, V.; Sibert, E.; Shchedrina, I.; Bousquet, R.; Parry, V.; Chatenet, M. Fe–Ni-based alloys as highly active and low-cost oxygen evolution reaction catalyst in alkaline media. Nat. Mater. 2024, 23, 252–261. [Google Scholar] [CrossRef]
- Zhu, J.; Lan, D.; Liu, X.; Zhang, S.; Jia, Z.; Wu, G. Porous Structure Fibers Based on Multi-Element Heterogeneous Components for Optimized Electromagnetic Wave Absorption and Self-Anticorrosion Performance. Small 2024, 20, e2403689. [Google Scholar] [CrossRef]
- Idczak, R.; Idczak, K.; Konieczny, R. Fe0.88 Cr0.12 and Fe0.85Cr0.15 alloys exposed to air at 870 K studied by TMS, CEMS and XPS. Physica B 2018, 528, 27–36. [Google Scholar] [CrossRef]
- Xu, J.; Xia, P.; Guo, F.; Xie, J.; Xia, Y.; Tian, H. Enhancement of the catalytic performance and coke resistance of alcohol-promoted Ni/MCM-41 catalysts for CH4/CO2 reforming. Int. J. Hydrogen Energy 2020, 45, 30484–30495. [Google Scholar] [CrossRef]









| Sample | BET Surface Area (m2/g) | Pore Diameter (4V/A, nm) | Pore Volume (m3/g) | |
|---|---|---|---|---|
| Commercial catalyst | Fresh | 4.27 | 31.5686 | 0.038 |
| powered | spent | 6.31 | 15 | 0.022 |
| bulk | spent | 5.20 | 24.45 | 0.019, 18.68% (Porosity) |
| 3D sample | fresh | 0.053 (Pore area) | 5057.9 | 32.22% (Porosity) |
| spent | 0.039 (Pore area) | 5965.6 | 30.94% (Porosity) |
Disclaimer/Publisher’s Note: The statements, opinions and data contained in all publications are solely those of the individual author(s) and contributor(s) and not of MDPI and/or the editor(s). MDPI and/or the editor(s) disclaim responsibility for any injury to people or property resulting from any ideas, methods, instructions or products referred to in the content. |
© 2025 by the authors. Licensee MDPI, Basel, Switzerland. This article is an open access article distributed under the terms and conditions of the Creative Commons Attribution (CC BY) license (https://creativecommons.org/licenses/by/4.0/).
Share and Cite
Dong, D.; Li, Y.; Liu, M.; Lu, B.; Yan, X.; Deng, Z.; Chang, C.; Zhou, K. Geometric Structure-Dependent Catalyst Performance in CH4 Reforming Using Ni-Based Catalysts. Catalysts 2025, 15, 200. https://doi.org/10.3390/catal15030200
Dong D, Li Y, Liu M, Lu B, Yan X, Deng Z, Chang C, Zhou K. Geometric Structure-Dependent Catalyst Performance in CH4 Reforming Using Ni-Based Catalysts. Catalysts. 2025; 15(3):200. https://doi.org/10.3390/catal15030200
Chicago/Turabian StyleDong, Dongdong, Yanhui Li, Min Liu, Bingwen Lu, Xingchen Yan, Zhaoyang Deng, Cheng Chang, and Kesong Zhou. 2025. "Geometric Structure-Dependent Catalyst Performance in CH4 Reforming Using Ni-Based Catalysts" Catalysts 15, no. 3: 200. https://doi.org/10.3390/catal15030200
APA StyleDong, D., Li, Y., Liu, M., Lu, B., Yan, X., Deng, Z., Chang, C., & Zhou, K. (2025). Geometric Structure-Dependent Catalyst Performance in CH4 Reforming Using Ni-Based Catalysts. Catalysts, 15(3), 200. https://doi.org/10.3390/catal15030200
