Abstract
Commercial silica support pellets were impregnated and calcined to contain cobalt oxide and ruthenium oxide for Fischer-Tropsch synthesis (FTS). The precatalyst pellets were split evenly into two groups, the control precatalyst (c-precat) and silylated precatalyst (s-precat), which were treated with 1H,1H, 2H, 2H-perfluorooctyltriethoxysilane (PFOS) in toluene. The samples of powderized s-precat were superhydrophobic, as determined by the water droplet contact angle (>150°) and sliding angle (<1°). Thermal analysis revealed the PFOS groups to be thermally stable up to 400 °C and temperature programmed reduction (TPR) studies showed that H2 reduction of the cobalt oxide to cobalt was enhanced at lower temperatures relative to the untreated c-precat. The two active catalysts were examined for their FTS performance in a tubular fixed-bed reactor after in situ reduction at 400 °C for 16 h in flowing H2 to give the active catalysts c-cat and s-cat. The FTS runs were performed under identical conditions (255 °C, 2.1 MPa, H2/CO = 2.0, gas hourly space velocity (GHSV) 510 h–1) for 5 days. Each catalyst was examined in three runs (n = 3) and the mean values with error data are reported. S-cat showed a higher selectivity for C5+ products (64 vs. 54%) and lower selectivity for CH4 (11 vs. 17%), CO2 (2 % vs. 4 %), and olefins (8% vs. 15%) than c-cat. S-cat also showed higher CO conversion, at 37% compared to 26%, leading to a 64% increase in the C5+ productivity measured as g C5+ products per g catalyst per hour. An analysis of the temperature differential between the catalyst bed and external furnace temperature showed that s-cat was substantially more active (DTinitial = 29 °C) and stable over the 5-day run (DTfinal = 22 °C), whereas the attenuated activity of c-cat (DTinitial = 16 °C) decayed steadily over 3 days until it was barely active (DTfinal < 5 °C). A post-run surface analysis of s-cat revealed no change in the water contact angle or sliding angle, indicating that the FTS operation did not degrade the PFOS surface treatment.
1. Introduction
Fisher-Tropsch synthesis (FTS), reaction 1, is an important fuel-forming reaction that promises to be central in the conversion of hydrogen generated from solar energy into conventional liquid hydrocarbon fuels [1]. Carbon dioxide from the atmosphere can be reduced to CO and subsequently mixed with more hydrogen to make conventional liquid hydrocarbon fuels, such as naphtha, diesel, and jet fuel [2]. Such a process would lead to a carbon-neutral fuel cycle that utilizes our existing liquid hydrocarbon-based fuel infrastructure. While FTS is in commercial use in South Africa and a few other locations, the efficiency of the process is not sufficient for widespread adoption. Some of the chief problems are its poor efficiency due to its high methane (C1) or light gas (C2–4) selectivity and low C5+ hydrocarbon selectivity, catalyst expense and stability, and challenges with the thermal management of this exothermic process.
There are a number of FTS reactor designs, but fixed-bed tubular reactors still dominate due to their simplicity of operation. There are a number of catalysts for these fixed-bed reactors, with cobalt supported on silica, alumina, or titania often favored for fuel formation reactions. Cobalt catalysts show high activity and selectivity towards linear hydrocarbon products, low water–gas shift (WGS) sensitivity, low olefin selectivity, and decent oxidative stability relative to iron-based catalysts [1,3,4].
nCO + (2n + 1)H2 ⇌ CnH2n+2 + nH2O
As seen in reaction 1, FTS generates copious amounts of water and in a typical tubular fixed-bed reactor, this water partial pressure builds at high CO conversion rates, leading to irreversible catalyst deactivation via cobalt oxidation and the formation of cobalt silicates [5,6,7]. At low partial pressures, water can actually be beneficial by decreasing methane selectivity and increasing catalyst activity [7,8,9,10].
The surface and textural properties of the catalyst supports are known to have a large influence on the extent of active metal dispersion, the crystallite size, and the reducibility of the active deposited metal, which in turn influences the FTS performance and catalytic lifetime. Silica, alumina, and titania are all quite hydrophilic and therefore bind to water strongly. Recently, several groups have begun to explore the use of organosilanes to alter the surface chemistry of these supports. These studies can be divided into two groups: those that use silylation to modify the support surface prior to active metal impregnation and calcination [11,12,13,14], and those that silylate the surface after impregnation and calcination [11,15,16,17]. The former studies aim to alter the nature of the active metal binding with the surface silylnol (or aluminol or titanol) groups and potentially altering the size and shape of the resulting crystallites that form during calcination. Lessening the strength of the active metal-surface interactions is one way to reduce strong metal–support interactions (SMSI), which sometimes leads to irreducible metal–silicates/aluminate/titanates [18]. In these studies, the organo silyl group is destroyed during calcination and the primary benefits are due to alterations in the active metal crystallites. In this manner, organosilylation has been shown to improve the cobalt crystallite size and dispersion, enhance the reducibility of cobalt, and improve the catalyst FTS performance.
Surface modification with organic silyl groups (alkylsilanes) after active metal impregnation and calcination generally increases surface hydrophobicity, leading to improved cobalt reducibility, higher CO conversion, and increased C5+ selectivity [19,20]. As water is produced in the FTS reaction, surface hydrophobicity should act to repel and exclude the water produced from the active sites, presumably improving the catalytic activity. Note that the reactants (CO and H2) are not very polar and still should be able to enter the active sites. Towards this end, a number of reports have explored this concept by using silanes with hydrocarbon substituents to modify the support surface, the most common silylating agent being hexamethyldisilazane (HMDS). In 2006, Ojeda et al. reported the silylation of a 20% Co/SiO2 catalyst with HMDS just prior to reduction and FTS operation [16]. Compared to the control catalyst, the silylated catalyst was more active for CO conversion (60 vs. 53%) but showed higher light gas selectivity (C1-C4) and a lower propagation coefficient (0.76 vs. 0.80). Zola et al. showed the silylization of MCM-41, and non-porous silica with HMDS gave a less active Co/MCM-41 catalyst but a more active Co/non-porous silica catalyst in terms of CO conversion compared to their non-silylated controls [17]. Jia et al. reported poorer FTS CO conversion and higher methane selectivity for a HMDS silylated Co/alumina catalyst compared to the control. Rytter and coworkers explored the effect of structurally varied silylations groups, such as trimethoxymethylsilane, dimethyldichlorosilane, trimethylchlorosilyl, methoxytrimethylsilane, n-octyldimethylchlorosilane and n-octyldimethylsilylmethoxide, on Co/SiO2 catalysts both pre and post calcination [11]. Pretreatment led to catalysts with smaller Co crystallites and enhanced dispersion. The post-calcination silylation of the Co/SiO2 gave catalysts with a similar cobalt crystallite size and dispersion to the control, but gave better site time yields; however, the selectivity shifted slightly towards lighter hydrocarbons. Interestingly, Feng et al. reported that a physical mixture of polydivinylbenzene and CoMn carbide catalyst was enough to modulate the water-sorption equilibrium to a more favorable state [21].
While treatment with organosilanes containing hydrocarbon groups imparts surface hydrophobicity, we were curious as to the effect of surface modification with agents that impart superhydrophobicity, defined as agents that cause the water droplet contact angle to exceed 150° [19]. Superhydrophobic surfaces are readily made using surface binding agents containing perfluorinated hydrocarbons and have diverse applications in the textile, automotive, medical, marine, and aerospace industries [22]. Surfaces with perfluorinated hydrocarbon functions are commonly superhydrophobic due to their commensurate low surface energy [23,24]. To our knowledge, the use of perfluorinated hydrocarbon silylating agents has only been tangentially explored with respect to FTS catalysts [19]. The closest related study is that by Chen and coworkers, who employed tridecafluorooctyl triethoxysilane to modify the surface of a bimetallic NiFe/SiO2 catalyst for the conversion of syngas to high-calorie synthetic natural gas [25]. In short, they were specifically targeting C1-C4 hydrocarbons to enrich the fuel value of the produced gas [26]. In general, the silylated catalysts performed about the same as the non-silylated catalysts, except for a slight increase in C5+ production. Most significantly, however, there was a 10% drop in CO2 production, indicating the substantial inhibition of the WGS reaction, which seems sensible given that water is repelled/excluded from the catalyst surface. It is notable that this was the only study on any of the surface-modified catalysts that included surface wettability studies and, not surprisingly, showed the treated surfaces to be superhydrophobic.
In this report, we describe the effects of surface silylation with 1H,1H, 2H, 2H-perfluorooctyltriethoxysilane (PFOS) on a 16%Co/1.5%Ru/SiO2 FTS catalyst, which is being used to produce liquid hydrocarbon fuels. Unlike the FeNi catalysts above, cobalt-based FTS catalysts inherently show low WGS activity, so it is hoped that the surface modification will help improve the catalyst’s activity, selectivity, and longevity by actively expelling water from the cobalt sites. We also report on the surface wettability and thermal stability of the PFOS coating.
2. Results and Discussion
The commercial silica support, Saint Gobain (SS 61138), was chosen for its high surface area, ~10 nm pore diameter, and pore volume, which are favorable for FTS [27]. The silylation of the native cylindrical silica pellet with PFOS (s-SiO2) resulted in the formation of surface silyl ethers in which the PFOS silicon was bridged with one to three surface silynol groups. As seen from the data in Table 1, this surface modification had only minor effects on the surface area and pore diameters, but did significantly lower the pore volume (0.51 cm3/g s-SiO2 vs. 1.1 cm3/g c-SiO2), presumably by blocking the smallest pores. The silylation of the impregnated and calcined 16% Co/1.5% Ru silica pellet (c-precat) with a PFOS actually appeared to slightly increase the surface area, pore diameter, and pore volume compared to c-precat. As the pore volume of c-precat was substantially lower than the free c-SiO2 pellet (0.49 cm3/g vs. 1.1 cm3/g), it seems likely that the deposited metal oxides were also effective at blocking smaller pores; in addition, the impregnated pellets were inherently denser. We attribute the increases in surface area (SA), pore diameter and pore volume for s-precat to the lowered surface water binding because of the surface treatment.
Table 1.
Textural data from BET analysis and surface wettability properties of the SiO2 support, the PFOS silylated support s-SiO2, the precatalysts, and the post-run catalysts.
Silylation with PFOS has dramatic effects on the surface wettability of the support (s-SiO2), precatalyst (s-precat) and the final spent catalyst (s-cat), as indicated by the water droplet surface contact angle, sliding angle, and droplet bounce. As we wish to interrogate the hydrophobicity of the inner surface area of the pellets, samples were ground to a fine powder and fixed on a glass slide with double-sided tape for hydrophobicity testing. As shown in Table 1, s-SiO2, s-precat, and the s-cat are all superhydrophobic, with contact angles in excess of 150° and low sliding angles (<5°). Finally, the water droplets are observed to actually bounce off of the superhydrophobic surface (Figure 1e), which is another indication of low surface energy [28]. These data are in stark contrast with the control samples, all of which actually absorb the water droplets due to their highly hydrophilic nature, as shown in Figure 1c. Notably, there is little difference in the wettability of the silylated support (s-SiO2), the metalated support (s-precat) and the spent catalyst (s-cat), indicating that the surface treatment was stable during the s-precat reduction process as well as the FTS conditions over a 5-day run.
Figure 1.
FTS catalyst (post run). (a) c-cat pellets and (b) s-cat pellets after an FTS run. Contrasting surface wettability of a water droplet on powdered (c) c-cat and (d) s-cat. Finally, the frames in (e) are time-lapse photographs of a water droplet bouncing off the s-cat-coated surface over a 3 s timeframe (fps = 500 and shutter speed = 300; drop size: ca. 10.0 ± 0.5 IL), (i–vi) represents the droplet movement at different time points taken at 2 milliseconds per frame.
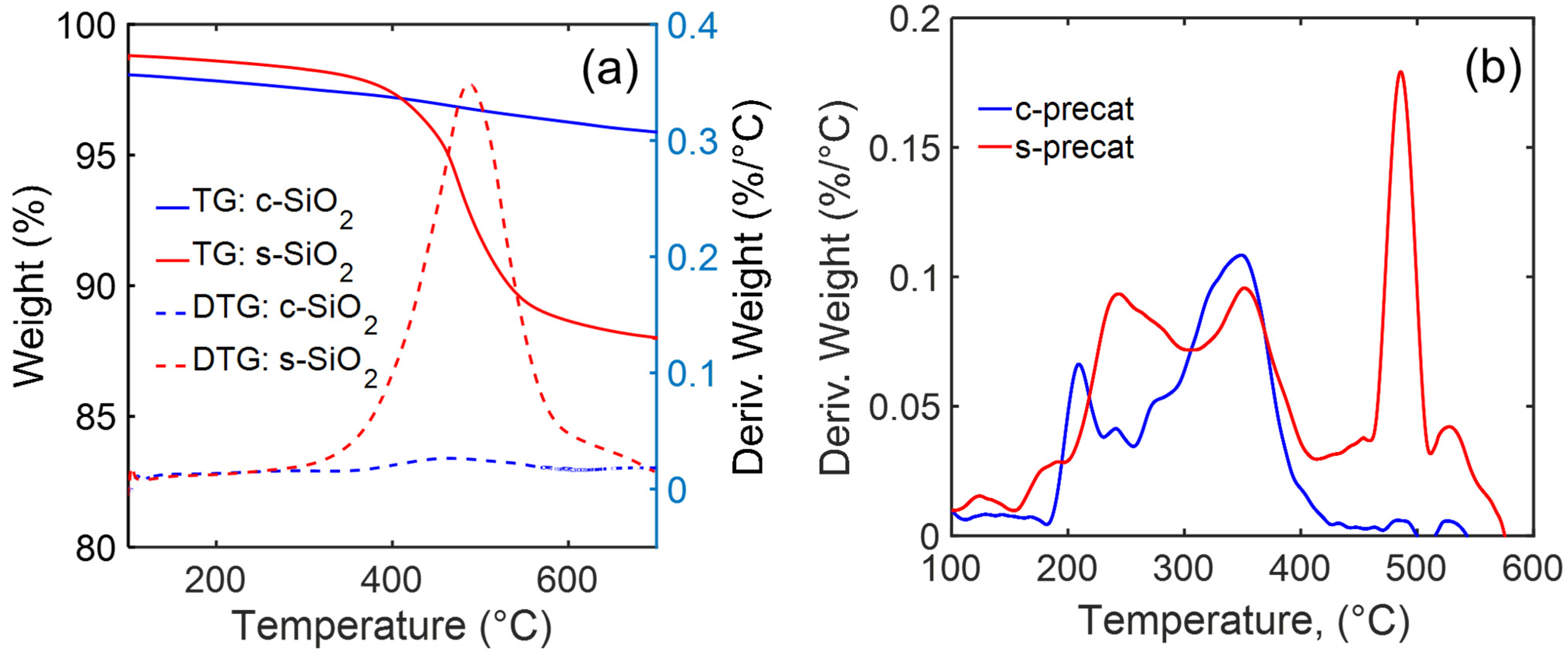
The thermal stability of the PFOS coating was determined by thermogravimetric analysis (TGA) and differential thermogravimetric analysis (DTA), as shown in Figure 2a, which shows the amount and rate of weight loss as a function of temperature. Weight loss for s-SiO2 begins at approximately 320 °C but is not appreciable until the temperature is over 400 °C, with a maximal weight loss observed at 470 °C and near complete degradation by 600 °C. These data reveal an 11% PFOS loading by mass. In contrast, c-SiO2 shows no weight loss throughout the experiment.
Figure 2.
(a) TGA (solid lines) and DTA (dashed lines) thermal profiles of SiO2 support (blue lines) and PFOS-coated SiO2 (red lines) support in air. (b) TPR profile of c-precat (blue line) and s-precat (red line) in a 3% H2 and 97% N2 atmosphere.
Figure 2b shows the overlaid temperature programed reduction (TPR) profiles of c-precat and s-precat under a flow of 3% H2 in N2 atmosphere. The ruthenium is present not only as a promoter for the FTS but also plays an important role in reducing the temperature, which is necessary for cobalt reduction [29]. The onset of reduction occurs just below 200 °C for both samples and is essentially complete by 400 °C. The trace for s-precat shows a substantial weight loss peak later at 500 °C, which is assigned to PFOS degradation. The slight increase in the thermal stability of the PFOS film is due to the change in atmosphere, from air to H2/N2. While the reduction is a complex process, the two TPR peaks in the 200–400 °C region are generally associated with the initial reduction of Co3+ to Co2+ in the 180–280 °C region and subsequently Co2+ to Co0 between 280 and 400 °C [29]. The integration of the area under the curves between 180 °C and 400 °C reveals a weight loss associated with 98% cobalt reduction in s-precat and similarly for c-precat. It is not clear how the PFOS coating assists the reduction, but it is speculated that the superhydrophobic character of the surface helps eject moisture from the cobalt sites. Consideration of the TGA and TPR data led us to reduce the FTS catalysts using H2 at 400 °C under a H2 atmosphere for 16 h. This temperature is sufficient to induce complete cobalt reduction while not causing PFOS decomposition.
The XRD spectra for the precatalysts are shown in Figure 3a, along with the diffraction patterns for Co3O4 (s) for comparison. The XRD of c-precat only shows peaks related to Co3O4, indicating the little crystallinity inherent in the SiO2 framework; the differing intensities suggest some degree of orientation favoring some diffraction planes over others. The Co3O4 crystallite size is estimated to be 12 nm from the line width analysis of the diffraction peaks. The Co3O4 XRD peaks in the s-precat sample are noticeably obscured, with only a few Co3O4 peaks (311, 400, 511, 440) showing any appreciable intensity. As this is the same material as the c-precat sample, except for the subsequent addition of the PFOS coating, it appears that the PFOS attenuates the XRD peaks, presumably by X-ray absorption. The Co3O4 crystallite size is also assumed to be 12 nm given their common origin. The FTIR data on the c- and s-precat samples showed no observable difference, which is likely due to the broad Si–O–Si absorption between 980 and 1300 cm–1, overwhelming the expected C–F stretching bands at 1201 cm–1 and 1150 cm–1 [30]. SEM (scanning electron microscope) micrographs of c-precat and s-precat are shown in Figure 3b,c, where the PFOS coating is clearly visible in the latter.
Figure 3.
(a) XRD diffraction of precatalyst before reduction in which the symbols indicate (□) commercial cobalt oxide, (○) c-precat, and (◊) s-precat. SEM surface morphology of (b) c-precat and (c) s-precat. The surface of the hydrophobic catalyst was uniformly covered by a noticeable layer of the fluorine-based polymer coating while the control catalyst showed a clean surface.
Fischer–Tropsch Synthesis
The FTS performance of c-cat and s-cat was compared under typical FTS conditions (255 °C, 2 MPa, H2/CO = 2.0, GHSV = 510 h–1) for a period of 120 h. The catalysts were reduced using pure H2 at 400 °C for 16 h, after which the temperature was reduced to 200 °C before switching to syngas. The temperature was increased at 0.15 °C/min over 6 h to 255 °C and run for a total of 5 days. The condensable products were collected in a 0 °C cold trap and the exhaust gases dried before being sampled periodically with an automated GC for analysis of CO, CO2, and light hydrocarbon products. GC analysis of the aqueous fraction of the liquid products indicated that the balance of the carbon product is present as alcohols. CO conversion was calculated as described below.
The FTS performance of the two catalysts is revealed by the data in Table 2. We can account for 97% of the carbon in the CO converted in the products listed in Table 2. With silylation, CO conversion was increased from 28 % by c-cat to 38 % by s-cat. Coupled with the increase in C5+ selectivity for s-cat, this led to a 164% increase in the C5+ productivity over c-cat. Lastly, s-cat gives about half of the olefinic products of c-cat (8 vs. 15 %, respectively). Figure 4a shows the C5+ product distribution for the control and silylated catalyst as two histograms. The C5-9 data are artificially low as the recovery is lower for the lower boiling point liquids. These data can be fitted using the Anderson-Shultz-Flory (ASF) equation to determine the propagation probability (α) of the growing hydrocarbon chain [31,32]. As seen in Figure 4b, the C10+ hydrocarbon distribution follows a nearly linear drop, which can be fitted to obtain values of 0.75 and 0.80 for c-cat and s-cat, respectively.
Table 2.
Synthesis conditions: T = 255 °C, P = 2.0 MPa, H2/CO = 2, GHSV = 510 h–1, TOS = 120 h. Catalyst is 16% Co, 1.5% Ru by mass on SiO2. Selectivity is reported on a dry basis. Averages of three runs.
Figure 4.
(a) GC distributions of liquid hydrocarbons obtained using c-cat and s-cat. The results were obtained from a liquid sample trapped using a cold water (0 °C) condenser. The oil samples collected from the experiments were diluted in a carbon disulfide (CS2) solution to have a 2 wt% oil content in the mixtures. Then, 1 μL of the mixtures was injected in SRI GC. (b) Anderson–Schultz–Flory distribution for c-cat and s-cat runs at 120 h. The linear portion was fitted to obtain values for α.
The higher α for s-cat reveals a modest 6% enhancement in the selectivity towards heavier hydrocarbons over c-cat; however, the C5+ productivity of s-cat shows a 64% increase over c-cat (0.90 goil/gCo·h vs. 0.55 goil/gCo·h, respectively), as shown in Table 2. Obviously, the increase in CO conversion (38% vs. 28%) is responsible for some of this, but a large portion of this increase can be attributed to the enhanced stability of s-cat over c-cat. Plots of the temperature profile of the catalyst bed temperature (Tb) and furnace temperature (Tf) for c-cat and s-cat over time are shown in Figure 5a and Figure 5b, respectively. In our rig, the Tf is constantly adjusted in a feedback loop to maintain a constant Tb, which due to feedback constraints, is occasionally overwhelmed due to local exotherms during the catalyst conditioning and early operation (see spikes occurring during the first day of operation in Figure 5a,b). Once the Tb is relatively stable, the furnace temperature generally trails Tb as the FTS reaction is exothermic and, consequently, less heat is needed from the furnace to maintain the temperature setpoint (255 °C).
Figure 5.
The FTS temperature profiles between (a) c-cat and (b) s-cat under the same synthesis conditions. The red and blue lines indicate the temperature of the furnace and catalyst bed, respectively.
Two pieces of information are gathered from the plots in Figure 5: (1) During activation, conditioning, and early operation, both catalysts show some exotherms indicating thermal runaway; however, for s-cat, this occurs later and less frequently. (2) The temperature differential (ΔT) is larger and more consistent for s-cat than c-cat after day 1. As seen in Figure 5b, the ΔT for s-cat (Day 1+) is 29 °C and slowly drops to 22 °C over the 5-day run. The same data for c-cat, shown in Figure 5a, start smaller (DT = 16 °C (day 1)), rapidly drop to less than 5 °C after 2 days and are essentially zero after 3 days. We attribute a larger ΔT to a more active and therefore more productive catalyst; thus, by this measure, s-cat is almost twice as ‘active’ and loses ~25% activity over 5 days, whereas c-cat starts at 55% the activity of s-cat and drops to near zero in three days. The spikes seen during the first day are associated with the catalyst activation and reorganization, and are very likely responsible for considerable amounts of catalyst deactivation, given the magnitude of the DT seen. Silylation results in fewer and less frequent exotherms during this period, presumably leading to less deactivation. Moreover, silylation appears to stabilize the catalyst from deactivation during operation, as s-cat remains far more active than c-cat over time.
We have previously demonstrated that FTS catalysts on a high heat capacitance core-shell support (16% Co/1.5% Ru/SiO2 @ copper) attenuate the exotherm activity during this conditioning/early operation period and lead to enhanced catalyst performance [32]. Here, we show that treatment with perfluorohydrocarbon surface binding agents also affords protection from deactivation during both conditioning and extended operation. It is unclear as to how the surface treatment moderates the exotherm activity, but it is presumably related to a decrease in the local water concentration, either surface bound or free water. During FTS operation, the superhydrophobic surface may function to extend the catalyst life by efficiently expelling the co-product, H2O, from the catalytic sites and preventing it from returning. In all cases, the lowering of the local water concentration has the effect of lessening the likelihood of cobalt oxidation and deactivation [6]. We also note that exotherms do not appear to cause any degradation of the PFOS coating as the superhydrophobic nature of s-cat is preserved post catalysis, as is shown in Table 1. PFOS has four C-H bonds adjacent to the silyl group before the perfluoro tail, which are likely to be the site of any initial thermal decomposition. We suspect that a completely fluorinated sidechain would make an even more thermally stable coating.
3. Experimental Section
3.1. Catalyst Preparation
FTS catalysts were prepared using the incipient wet impregnation method (IWI) to load catalytic material onto the catalyst support. Cylindrical silica oxide pellets (Saint-Gobain, Malvern, PA, USA (SS 61138) 3 mm silica pellets) were impregnated with an aqueous solution of cobalt nitrate (Co(NO3)2·6H2O, Alfa Aesar, Haverhill, MA, USA), such that the cobalt loading was 16% by mass; this was then dried for 18 h at 90 °C. The catalyst was then impregnated with an aqueous solution of RuCl3·xH2O (Sigma Aldrich, St. Louis, MO, USA) to give a catalyst with a 1.5% Ru loading by mass, and again dried for 18 h at 90 °C. The dried pellets were calcined in air at 550 °C for 6 h to give the precatalyst (precat), which was divided into halves.
One half was used as a non-silylated control precatalyst (c-precat), which was activated for FTS by in situ reduction with flowing hydrogen at 400 °C for 12 h in the packed tube reactor and used directly as the control catalyst (c-cat) thereafter for FTS. The other half of the precat was treated with 1H,1H, 2H and 2H-Perfluorooctyltriethoxysilane (PFOS, 98%, Sigma Aldrich, St. Louis, MO, USA), via the following method. One gram of precat was suspended in 20 mL of preheated toluene at 60 °C while stirring at ~300 rpm. After approximately 10 min, bubble evolution from the catalyst ceased; then, 670 μL of PFOS was added and the solution was stirred for 30 min at 60 °C. The mixture was sonicated in a water bath for 1 h and let to stand overnight. The next day, the toluene was decanted off and the pellets were suspended in 50 mL of ethanol (100%) for 10 min, after which the ethanol was decanted off. This ethanol rinse was repeated four times and the final pellets were rinsed with excess ethanol. The pellets were then dried in air at 90 °C for 12 h to yield the silylated precatalyst (s-precat). The reduction of the s-precat to the active catalyst was performed in situ with flowing H2 at 400 °C for 12 h in the packed tube reactor and used directly as the silylated catalyst (s-cat) thereafter for FTS.
The reduction temperature of 400 °C for both the c-precat and s-precat was established by temperature-programmed reduction (TPR) studies, so as to operate at a temperature as high as necessary to effect reduction but not so high as to thermally decompose the PFOS silylating agent (present or not). TPR was performed using the TA Instrument (SDT Q600, TA Instruments, New Castle, DE, USA) under a 3% H2 and 97% N2 mixed atmosphere at a 20 sccm flow rate on crushed catalysts. The temperature was equilibrated at 50 °C for 30 min before ramping it up to 100 °C with a heating rate 5 °C/min to eliminate the moisture content of the catalyst. The catalyst was then slowly ramped up to 900 °C with a heating rate of 1 °C/min for H2 absorption. The H2 consumption was determined using a thermal conductivity detector (TCD). Calcined fresh samples were first purged with the mixed gas at 50 °C for 30 min before the temperature was increased to 100 °C, with the temperature increased at 5 °C/min to remove the water content. The increment in the temperature profile was reduced to 1 °C/min while increasing the temperature from 100 to 600 °C. Then, the temperature was held at 600 °C for 30 min.
3.2. Characterization
The textural properties, Co3O4 crystallite size, and surface hydrophobicity and thermal stability of both the c-precat and s-precat were determined by a combination of nitrogen adsorption isotherms, FTIR (Fourier-Transform infrared spectroscopy), XRD (X-ray diffraction), and contact angle measurements. The nitrogen isotherms were acquired at the temperature of liquid nitrogen (77 K using a Micromertics Tri-Star system, Norcross, GA, USA, and using samples that were degassed at 298 °C under a N2 environment for 24 h prior to the measurement. The specific areas and pore volume were calculated using the Brunauer–Emmett–Teller (BET) method for portions of the isotherms within the 0.05 < P/Po < 0.30 relative pressure region [33,34].
The Co3O4 structure and particle size were determined using XRD (Bruker D-500 X-ray powder diffraction system, Billerica, MA, USA) with Bragg’s configuration Cu Kα radiation, with a wavelength of 1.54 Å. The diffraction patterns were recorded in the 2θ range of 10° to 80° and in scanning mode (0.02°, 1 s). The particle size was determined using the Scherrer equation in conjunction with the diffraction angle and peak Full Width Half Maximum (FWHM) [35].
The thermal stability of the PFOS surface treatment was determined using differential thermogravimetry (DTG) in air using a TA Instruments (SDT Q600, TA Instruments, New Castle, DE, USA). A temperature program of 25 °C to 100 °C at 10 °C/min, isothermal for 30 min at 100 °C, increasing from 100–900 °C at 5 °C/min, and finally isothermal at 900 °C for 60 min was used, with air flowing at 100 sccm.
The surface hydrophobicity was determined using the contact angle and rolling angle measurements of water droplets [36] on powders of the crushed pellets before reduction (c-precat and s-precat) and after catalysis (post-run: c-cat and s-cat). The powder was dispersed on a glass slide and a 100 μL water droplet was deposited on the catalyst film, which was then photographed and analyzed using ImageJ for the contact angle [37]. The roll-off angle (a characterization method for super-hydrophobic surfaces when the contact angle of water droplet is greater than 150°) of the catalyst was measured by placing a ~2 μL water droplet on the sample surface (a thin uniform film of catalyst powder deposited on a glass slide), which was positioned exactly level at 0°. Then, the sample surface was slowly tilted and the angle at which the droplet began to roll off was measured as the roll-off angle. The roll-off angle indicated the degree of hydrophobicity on the surface.
3.3. Fischer–Tropsch Catalysis Experiments
The reactor rig, temperature monitoring, and control system used for FTS were described previously [38]. Briefly, a stainless steel tube (7.75 mm (3/8”) inside diameter) was packed with the pre-catalyst diluted with quartz chips (2.7 g of quartz chips and 2.0 g of pre-catalyst), which was held in place with stainless steel wool packing at both ends. The tube was fixed vertically and the catalyst region was surrounded by a tube furnace fitted with a PID (proportional-integral-derivative) temperature controller (NC7500, Omega, Norwalk, CT, USA). A single-point J-type thermocouple (Omega, Norwalk, CT, USA) was inserted via a tee into the center of the catalyst bed and a second thermocouple was placed on the furnace wall. The thermocouples at the center of the catalyst were interfaced with the PID controller, while the one on the furnace wall was used to monitor the applied temperature by comparing it with the temperature in the catalyst bed. The furnace temperature was automatically adjusted to maintain a set point temperature of 255 °C in the catalyst bed.
The reactant feed was pre-mixed syngas (H2/CO of 2.0), which was introduced at the top of the reactor tube at 100 sccm and controlled by a mass flow controller (MFC, SmartTack 100 from Sierra Instruments, Monterey, CA, USA). The reactor exit was connected to a back pressure regulator (EB1HP1 series from EQUILIBAR, Fletcher, NC, USA) and then to a graduated flask collector fitted with a large, cooled condenser (0 °C) in order to capture the condensable products. The exiting gas was further dried by passage over a tube packed with a desiccant; the flow rate was then measured with a flowmeter (FMA 4000, Omega, Norwalk, CT, USA) and the composition analyzed by GC (SRI 8610C, TCD detector with Shin Carbon column from SRI Instrument, Torrance, CA, USA). The solid and liquid hydrocarbon products were analyzed by gas chromatography (SRI 8610C, FID detector with Sim Dist column, SRI Instrument, Torrance, CA, USA). The oil/solids were dissolved and diluted in carbon disulfide (CS2) until the final oil concentration was 2% v/v.
4. Conclusions
The modification of a ruthenium-promoted cobalt/SiO2 Fischer–Tropsch catalyst with PFOS yields a catalyst that is thermally stable to 400 °C and that displays a superhydrophobic interior surface. The PFOS coating leads to a more active FTS catalyst, which is due, in part, to an attenuation of the number of ‘exotherms’ that occur during the early activation and conditioning phase of the FTS catalyst. The low surface affinity of the support for water and presumed rapid expulsion of moisture from the catalyst offer a second mechanism by which the surface modification protects the catalyst from deactivation, as the lower the local [H2O], the less likely cobalt oxidation is. Because of these factors, the superhydrophobic catalyst (s-cat) exhibits higher CO conversion (activity) and significantly less catalyst deactivation over the 5-day run. The s-cat also shows better selectivity for heavier and more saturated hydrocarbons, both of which are desirable for liquid fuel formation. Given the high stability of perfluorohydrocarbons and their remarkable superhydrophobic properties, such catalyst modifications may be particularly useful in cases where the reactants are non-polar but one or more of the products are polar.
Author Contributions
Conceptualization, P.B., B.H.D. and F.M.M.; methodology, P.B. and O.V.I.; investigation, P.B. and O.V.I. data curation, P.B. and F.M.M.; writing P.B. and F.M.M. All authors have read and agreed to the published version of the manuscript.
Funding
This research received some external funding from Greenway Innovative Energy (Arlington, TX, USA) for research into FTS and Saint-Gobain NorPro for providing free commercial silica catalyst support.
Data Availability Statement
Data available on request due to restrictions due to intellectual property development.
Conflicts of Interest
The authors declare no conflicts of interest. The funders had no role in the design of the study; in the collection, analyses, or interpretation of data; in the writing of the manuscript; or in the decision to publish the results.
References
- Steynburg, A.P.; Dry, M.E. Fischer-Tropsch Technology; Elselvier: Amsterdam, The Netherlands, 2004. [Google Scholar]
- Porosoff, M.D.; Yan, B.; Chen, J.G. Catalytic reduction of CO2 by H2 for synthesis of CO, methanol and hydrocarbons: Challenges and opportunities. Energy Environ. Sci. 2016, 1, 62–73. [Google Scholar] [CrossRef]
- Khodakov, A.Y.; Chu, W.; Fongarland, P. Advances in the development of novel cobalt Fischer-Tropsch catalysts for synthesis of long-chain hydrocarbons and clean fuels. Chem. Rev. 2007, 5, 1692–1744. [Google Scholar] [CrossRef] [PubMed]
- Storsater, S.; Tatdal, B.; Walmsley, J.; Tanem, B.S.; Holmen, A. Characterization of alumina-, silica-, and titania-supported cobalt Fischer-Tropsch catalysts. J. Catal. 2005, 1, 139–152. [Google Scholar] [CrossRef]
- Jacobs, G.; Patterson, P.M.; Zhang, Y.; Das, T.; Li, J.; Davis, B.H. Fischer-Tropsch synthesis: Deactivation of noble metal-promoted Co/Al2O3 catalysts. Appl. Catal. A Gen. General. 2002, 1, 215–226. [Google Scholar] [CrossRef]
- Huber, G.W.; Guymon, C.G.; Conrad, T.L.; Stephenson, B.C.; Bartholomew, C.H. Hydrothermal stability of Co/SiO2 Fischer-Tropsch synthesis catalysts. Stud. Surf. Sci. Catal. 2001, 139, 423–430. [Google Scholar]
- Borg, Ø.; Storsæter, S.; Eri, S.; Wigum, H.; Rytter, E.; Holmen, A. The effect of water on the activity and selectivity for γ-alumina supported cobalt Fischer–Tropsch catalysts with different pore sizes. Catal. Lett. 2006, 1, 95–102. [Google Scholar] [CrossRef]
- Rytter, E.; Borg, Ø.; Enger, B.C.; Holmen, A. α-Alumina as catalyst support in Co Fischer-Tropsch synthesis and the effect of added water; encompassing transient effects. J. Catal. 2019, 373, 13–24. [Google Scholar] [CrossRef]
- Rytter, E.; Borg, Ø.; Tsakoumis, N.E.; Holmen, A. Water as key to activity and selectivity in Co Fischer-Tropsch synthesis: γ-alumina based structure-performance relationships. J. Catal. 2018, 365, 334–343. [Google Scholar] [CrossRef]
- Okoye-Chine, C.G.; Moyo, M.; Liu, X.; Hildebrandt, D. A critical review of the impact of water on cobalt-based catalysts in Fischer-Tropsch synthesis. Fuel Process. Technol. 2019, 192, 105–129. [Google Scholar] [CrossRef]
- Rytter, E.; Salman, A.U.R.; Tsakoumis, N.E.; Myrstad, R.; Yang, J.; Lögdberg, S.; Holmen, A.; Rønning, M. Hydrophobic catalyst support surfaces by silylation of γ-alumina for Co/Re Fischer-Tropsch synthesis. Catal. Today 2018, 299, 20–27. [Google Scholar] [CrossRef]
- Kim, D.J.; Dunn, B.C.; Cole, P.; Turpin, G.; Ernst, R.D.; Pugmire, R.J.; Kang, M.; Kim, J.M.; Eyring, E.M. Enhancement in the reducibility of cobalt oxides on a mesoporous silica supported cobalt catalyst. Chem. Commun. 2005, 1462–1464. [Google Scholar] [CrossRef] [PubMed]
- Shi, L.; Li, D.; Hou, B.; Sun, Y. Organic modification of SiO2 and its influence on the properties of Co-based catalysts for Fischer–Tropsch synthesis. Chin. J. Catal. 2007, 11, 999–1002. [Google Scholar] [CrossRef]
- Shi, L.; Li, D.; Hou, B.; Wang, Y.; Sun, Y. The modification of SiO2 by various organic groups and its influence on the properties of cobalt-based catalysts for Fischer-Tropsch synthesis. Fuel Process. Technol. 2010, 4, 394–398. [Google Scholar] [CrossRef]
- Xu, Y.; Liang, H.; Li, R.; Zhang, Z.; Qin, C.; Xu, D.; Fan, H.; Hou, B.; Wang, J.; Gu, X.-K.; et al. Insights into the diffusion behaviors of water over hydrophilic/hydrophobic catalysts during the conversion of syngas to high-quality gasoline. Angew. Chem. Int. Ed. 2023, 37, e202306786. [Google Scholar]
- Ojeda, M.; Pérez-Alonso, F.J.; Terreros, P.; Rojas, S.; Herranz, T.; López Granados, M.; Fierro, J.L.G. Silylation of a Co/SiO2 catalyst. characterization and exploitation of the CO hydrogenation reaction. Langmuir. 2006, 7, 3131–3137. [Google Scholar] [CrossRef]
- Zola, A.S.; Da Silva, L.S.; Moretti, A.L.; Do Couto Fraga, A.; Sousa-Aguiar, E.F.; Arroyo, P.A. Effect of silylation and support porosity of Co/MCM-41 and Co/SiO2 catalysts in Fischer-Tropsch synthesis. Top. Catal. 2016, 2, 219–229. [Google Scholar] [CrossRef]
- Dalai, A.K.; Davis, B.H. Fischer-Tropsch synthesis: A review of water effects on the performances of unsupported and supported Co catalysts. Appl. Catal. A Gen. General. 2008, 1, 1–15. [Google Scholar] [CrossRef]
- Wang, C.; Liu, L.; Li, H.; Wang, L.; Xiao, F.-S. Hydrophobic catalysts for syngas conversion. Matter 2023, 9, 2697–2710. [Google Scholar] [CrossRef]
- Munirathinam, R.; Pham Minh, D.; Nzihou, A. Effect of the support and its surface modifications in cobalt-based Fischer-Tropsch synthesis. Ind. Eng. Chem. Res. 2018, 48, 16137–16161. [Google Scholar] [CrossRef]
- Fang, W.; Wang, C.; Liu, Z.; Wang, L.; Liu, L.; Li, H.; Xu, S.; Zheng, A.; Qin, X.; Liu, L.; et al. Physical mixing of a catalyst and a hydrophobic polymer promotes CO hydrogenation through dehydration. Science 2022, 6604, 406–410. [Google Scholar] [CrossRef]
- Lim, X.Z. Could the world go PFAS-free? Proposal to ban ‘forever chemicals’ fuels debate. Nature 2023, 620, 24–27. [Google Scholar] [CrossRef] [PubMed]
- Miwa, M.; Nakajima, A.; Fujishima, A.; Hashimoto, K.; Watanabe, T. Effects of the surface roughness on sliding angles of water droplets on superhydrophobic surfaces. Langmuir 2000, 13, 5754–5760. [Google Scholar] [CrossRef]
- Cai, Y.; Li, J.; Yi, L.; Yan, X.; Li, J. Fabricating superhydrophobic and oleophobic surface with silica nanoparticles modified by silanes and environment-friendly fluorinated chemicals. Appl. Surf. Sci. 2018, 450, 102–111. [Google Scholar] [CrossRef]
- Wu, P.; Sun, J.; Abbas, M.; Wang, P.; Chen, Y.; Chen, J. Hydrophobic SiO2 supported Fe-Ni bimetallic catalyst for the production of high-calorie synthetic natural gas. Appl. Catal. A Gen. Gen. 2020, 590, 117302. [Google Scholar] [CrossRef]
- Dennis, B.H.; MacDonnell, F.M. Systems and Methods for Producing Synthesis Gas Using Humidified Natural Gas. WO2020092610A1, 7 May 2020. [Google Scholar]
- Song, D.; Li, J. Effect of catalyst pore size on the catalytic performance of silica supported cobalt Fischer-Tropsch catalysts. J. Mol. Catal. A Chem. 2006, 1, 206–212. [Google Scholar] [CrossRef]
- Neumann, A.W.; Good, R.J.; Hope, C.J.; Sejpal, M. An equation-of-state approach to determine surface tensions of low-energy solids from contact angles. J. Colloid. Interface Sci. 1974, 2, 291–304. [Google Scholar] [CrossRef]
- Jacobs, G.; Das, T.K.; Zhang, Y.; Li, J.; Racoillet, G.; Davis, B.H. Fischer-Tropsch synthesis: Support, loading, and promoter effects on the reducibility of cobalt catalysts. Appl. Catal. A Gen. Gen. 2002, 1, 263–281. [Google Scholar] [CrossRef]
- Piwowarczyk, J.; Jędrzejewski, R.; Moszyński, D.; Kwiatkowski, K.; Niemczyk, A.; Baranowska, J. XPS and FTIR studies of polytetrafluoroethylene thin films obtained by physical methods. Polymers 2019, 10, 1629. [Google Scholar] [CrossRef]
- Henrici-Olivé, G.; Olivé, S. The Fischer-Tropsch synthesis: Molecular weight distribution of primary products and reaction mechanism. Angew. Chem. Int. Ed. Engl. 1976, 3, 136–141. [Google Scholar] [CrossRef]
- Shafer, W.D.; Gnanamani, M.K.; Graham, U.M.; Yang, J.; Masuku, C.M.; Jacobs, G.; Davis, B.H. Fischer-Tropsch: Product selectivity-the fingerprint of synthetic fuels. Catalysts 2019, 3, 259. [Google Scholar] [CrossRef]
- Sing, K.S.W. Adsorption methods for the characterization of porous materials. Adv. Colloid. Interface Sci. 1998, 76–77, 3–11. [Google Scholar] [CrossRef]
- Brunauer, S.; Emmett, P.H.; Teller, E. Adsorption of gases in multimolecular layers. J. Am. Chem. Soc. 1938, 2, 309–319. [Google Scholar] [CrossRef]
- Patterson, A.L. The Scherrer formula for X-ray particle size determination. Phys. Rev. 1939, 56, 978–982. [Google Scholar] [CrossRef]
- Law, K.-Y. Definitions for hydrophilicity, hydrophobicity, and superhydrophobicity: Getting the basics right. J. Phys. Chem. Lett. 2014, 4, 686–688. [Google Scholar] [CrossRef]
- Schneider, C.A.; Rasband, W.S.; Eliceiri, K.W. NIH image to imageJ: 25 years of image analysis. Nat. Methods 2012, 9, 671–675. [Google Scholar] [CrossRef]
- Bootpakdeetam, P.; MacDonnell, F.M.; Dennis, B.H. Effect of a high thermal capacitance core-shell structure on Co-Ru/SiO2 catalyst for low temperature Fischer-Tropsch synthesis. Top. Catal. 2023, 5, 498–507. [Google Scholar] [CrossRef]
Disclaimer/Publisher’s Note: The statements, opinions and data contained in all publications are solely those of the individual author(s) and contributor(s) and not of MDPI and/or the editor(s). MDPI and/or the editor(s) disclaim responsibility for any injury to people or property resulting from any ideas, methods, instructions or products referred to in the content. |
© 2024 by the authors. Licensee MDPI, Basel, Switzerland. This article is an open access article distributed under the terms and conditions of the Creative Commons Attribution (CC BY) license (https://creativecommons.org/licenses/by/4.0/).




