Next Article in Journal
TiO2-Based Catalysts with Various Structures for Photocatalytic Application: A Review
Next Article in Special Issue
Impact of Co-Fed Hydrogen on High Conversion Propylene Aromatization on H-ZSM-5 and Ga/H-ZSM-5
Previous Article in Journal
Modification of NiSe2 Nanoparticles by ZIF-8-Derived NC for Boosting H2O2 Production from Electrochemical Oxygen Reduction in Acidic Media
 
 
Font Type:
Arial Georgia Verdana
Font Size:
Aa Aa Aa
Line Spacing:
Column Width:
Background:
Article

Pt3Mn/SiO2 + ZSM-5 Bifunctional Catalyst for Ethane Dehydroaromatization

by
Shan Jiang
1,
Che-Wei Chang
1,
William A. Swann
2,
Christina W. Li
2 and
Jeffrey T. Miller
1,*
1
Davidson School of Chemical Engineering, Purdue University, West Lafayette, IN 47907, USA
2
Department of Chemistry, Purdue University, West Lafayette, IN 47906, USA
*
Author to whom correspondence should be addressed.
Catalysts 2024, 14(6), 365; https://doi.org/10.3390/catal14060365
Submission received: 2 May 2024 / Revised: 28 May 2024 / Accepted: 30 May 2024 / Published: 4 June 2024
(This article belongs to the Special Issue Research Advances in Zeolites and Zeolite-Based Catalysts)

Abstract

Ethane dehydroaromatization (EDA) is a potentially attractive process for converting ethane to valuable aromatics such as benzene, toluene, and xylene (BTX). In this study, a Pt3Mn/SiO2 + ZSM-5 bifunctional catalyst was used to investigate the effect of dehydrogenation and the Brønsted acid catalyst ratio, hydrogen partial pressure, and reaction temperature on the product distributions for EDA. Pt3Mn/SiO2 + ZSM-5 with a 1/1 weight ratio showed the highest ethane conversion rate and BTX formation rate. Ethylene is initially formed by dehydrogenation by the Pt3Mn catalyst, which undergoes secondary reactions on ZSM-5, forming C3+ reaction intermediates. The latter form final products of CH4 and BTX. At conversions from 15 to 30%, the BTX selectivities are 82–90%. For all bifunctional catalysts, the ethane conversion significantly exceeds the ethane–ethylene equilibrium conversion due to reaction to secondary products. Low H2 partial pressures did not significantly alter the product selectivity or conversion. However, higher H2 partial pressures resulted in increased methane and decreased BTX selectivity. The excess hydrogen saturated the olefin intermediates to form alkanes, which produced methane by monomolecular cracking on ZSM-5. With an increasing reaction temperature from 550 °C to 650 °C, the benzene selectivity increased, while the highest BTX selectivity was obtained at 600 to 650 °C.

1. Introduction

The US shale gas revolution has led to a significant increase in light hydrocarbon production, due to the new technology of horizontal drilling and fracking. This provides an opportunity for converting light alkanes into valuable hydrocarbons for fuels and chemicals [1]. The major components of shale gas are methane, ethane, and propane. Methane is commonly used for electricity production in power plants. However, ethane and propane in remote areas are stranded due to the difficulty of transportation to chemical plants. Directly converting ethane and propane to more valuable hydrocarbons close to the wellhead could be an attractive option for utilization of these abundant light alkanes. Previous studies have shown that ethane and propane can be directly converted to aromatics such as benzene, toluene, and xylene (BTX), which are important intermediates for refining and the petrochemical industries [2,3].
Guisnet et al. proposed the reaction pathway of propane dehydroaromatization (PDA) on ZSM-5 [4]. Propane will first undergo monomolecular cracking to form methane, ethylene, and propylene. Subsequently, the propylene and ethylene are converted to aromatics by a series of reactions including oligomerization, cracking, cyclization, and aromatization. The rate-determining step is thought to be monomolecular cracking of propane [4]. However, since propane is mainly cracked to methane and ethylene on ZSM-5, different metal promotors were added to the zeolite to improve the dehydrogenation activity and selectivity, giving higher BTX yields [5,6]. For example, a Ga-promoted ZSM-5 bifunctional catalyst utilized in the UOP-BP Cyclar process converted propane and butane to intermediate olefins and further into aromatics (BTX) [7].
However, ethane intrinsically has lower activity, being 30 and 100 times less reactive than propane and butane, respectively [4]. Thus, higher reaction temperatures and a more active dehydrogenation catalysts are required for ethane dehydroaromatization (EDA). Previous studies suggested that the ethane activation rate on proton sites is very low, and thus metal-promoted ZSM-5 catalysts such as Ga/ZSM-5 and Zn/ZSM-5 are commonly used as the bifunctional catalyst to enhance the catalytic activity [8,9,10,11,12]. Catalysts with higher alkane dehydrogenation rates could further increase the olefin production rate, which ultimately would increase the BTX formation rates [10,13]. Compared with Ga and Zn, Pt is more active for alkane dehydrogenation [14]. However, monometallic Pt suffers from poor olefin selectivity and rapid deactivation [6]. Studies on alkane dehydrogenation show that the formation of Pt alloys, such as Sn, Mn, and Zn, increases the olefin selectivity and also significantly improves the catalyst life [6,15,16,17,18,19]. The higher activity, olefin selectivity, and stability of the Pt alloy catalyst provides an opportunity for improved bifunctional catalysts for EDA.
After alkanes are converted to olefins, zeolites are commonly used to further convert these to aromatics [3,11]. Although different types of zeolites have been used in the EDA process, ZSM-5 has the best selectivity and stability [9,11]. The kinetic diameter of 10-membered rings for ZSM-5 is similar to the size of BTX, while suppressing the formation of large aromatics, which cause deactivation [3,6]. Vosmerikova et al. studied different zinc-promoted zeolite framework structures for EDA and concluded that ZSM-5 is the most effective zeolite [20]. Jones et al. investigated the strength of Brønsted acid sites in different zeolite frameworks and concluded that the acid strengths are similar [21]. Therefore, ZSM-5 with the proper pore size, acid density, and good thermal stability is the optimum zeolite for ethane dehydroaromatization.
Wu et al. reported a highly active, olefin-selective, and stable Pt3Mn/SiO2 for ethane dehydrogenation. This catalyst was especially stable at higher reaction temperatures than other alloys typically used for propane dehydrogenation. Thus, Pt3Mn/SiO2 was chosen as the dehydrogenation catalyst for ethane dehydroaromatization [18]. The latter was physically mixed with ZSM-5 at different weight ratios to give bifunctional catalysts. Ethane conversion gave methane, intermediate olefins, propane, butanes, and BTX products, with methane and BTX the final products. The final product aromatic selectivity, i.e., BTX divided by the sum of CH4 + BTX, was above 80% and increased with decreasing weight ratios of ZSM-5 to Pt3Mn/SiO2. Additionally, low partial pressures cofed H2 had little effect on product selectivity or conversion; however, they marginally improved deactivation. Higher H2 partial pressures decreased ethane conversion and significantly increased the methane selectivity. With increasing H2, intermediate olefin products are converted to alkanes, which form CH4 by monomolecular cracking on ZSM-5.

2. Results

2.1. Structural Characterization and Catalytic Performance of Pt3Mn/SiO2

Two active sites, which are dehydrogenation and Brønsted acid sites, are required for EDA. A Pt3Mn/SiO2 alloy catalyst was reported to have above 98% olefin selectivity for ethane dehydrogenation [18]. Thus, the Pt3Mn/SiO2 alloy is utilized as the dehydrogenation catalyst. In situ XAS and ethane dehydrogenation catalyst performance were assessed to ensure that the Pt3Mn/SiO2 alloy was successfully synthesized for use in this study. Figure 1a shows the X-ray absorption near-edge structure (XANES) from 11.55 to 11.60 keV of the reduced Pt3Mn/SiO2 and Pt foil at the Pt LIII edge. The edge energy is defined as the inflection point of the leading absorption edge. Compared with the Pt foil, the reduced Pt3Mn/SiO2 shows an increase of 0.9 eV in edge energy and a decrease in the white line intensity, which indicates the incorporation of a second metallic scatter, e.g., Mn, bonded to Pt. Figure 1b shows the k2-weighted magnitude of the Fourier transform of the extended X-ray absorption fine structure (EXAFS). The Pt foil has three distinct peaks at R of about 2–3 Å characteristic of a single Pt-Pt scattering path. The Pt3Mn sample displays a significantly reduced Pt scattering intensity indicative of additional metallic scattering paths. The spectrum is qualitatively consistent with previously reported EXAFS for a Pt3Mn alloy [18].
Table 1 shows the coordination number and bond distance EXAFS fitting results. The k2-weighted Fourier transform of the first shell of Pt3Mn/SiO2 was fit with the phase and amplitude of model Pt-Pt and Pt-Mn scattering paths. Good fits were obtained with a Pt-Pt coordination number of 5.5 at 2.69 Å and Pt-Mn coordination number of 2.1 at 2.69 Å, indicating alloy nanoparticles (NPs) were formed. For a full Pt3Mn alloy, the ratio of Pt-Pt to Pt-Mn bonds is 8:4. However, for this sample, this ratio was 2.6; thus, is a Pt-rich alloy composition. With the high energy of the XAS technique, all atoms in the sample are detected. Previously, it was shown that Pt-rich Pt3Mn intermetallic alloys have a Pt3Mn surface with a monometallic Pt core [18]. This Pt core surface–Pt3Mn shell structure was also highly selective for alkane dehydrogenation. To confirm this structure, the ethane dehydrogenation performance was also determined. In addition, the STEM image and the particle size distribution are shown in Figure S1. The Pt3Mn/SiO2 particle size was estimated as 2.0 ± 0.6 nm.
The ethane dehydrogenation for the Pt3Mn/SiO2 catalyst was performed at 600 °C and 650 °C to evaluate the ethylene selectivity in comparison with Pt/SiO2 (Figure 2). Pt3Mn/SiO2 exhibited greater than 98% selectivity across different conversions including at equilibrium conversion, which is about 18% at 600 °C (Figure 2a) and about 28% at 650 °C (Figure 2b). By comparison, ethylene selectivity on Pt/SiO2 decreases from 98% to 73% as conversion increases from 8% to 16% at 600 °C, while selectivity decreases from 98% to 83% as ethane conversion increases from 16% to 26% at 650 °C. The higher selectivity of Pt3Mn/SiO2 indicates that hydrogenolysis reactions are mostly suppressed even at these high reaction temperatures. The catalytic performance of the Pt3Mn/SiO2 catalyst indicates that it is suitable for the preparation of a bifunctional EDA catalyst.

2.2. The Effect of the Catalytic Composition of the Bifunctional Pt3Mn/SiO2 + ZSM-5

A previous study on propane dehydroaromatization (PDA) with PtZn/SiO2 + ZSM-5 demonstrated that increasing ratios of zeolite in the bifunctional catalyst lead to increasing selectivity of light alkane byproducts, e.g., methane and ethene, due to monomolecular cracking of propane [22]. However, monomolecular cracking of ethane does not occur. Nevertheless, the conversion of ethane to aromatics does require the formation of C3+ intermediate products, which may undergo monomolecular cracking, thus lowering the BTX yield. As a result, the influence of the bifunctional catalyst composition, i.e., the ratio of the amounts of Pt3Mn and ZSM-5 catalysts, on the ethane conversion rate and product distribution was determined. A high-activity ZSM-5 (SiO2/Al2O3 = 30) catalyst was selected to convert ethylene effectively. The reaction was conducted at 600 °C and 1 bar of ethane. Figure 3 shows the different product selectivities as a function of ethane conversion with different catalyst compositions, for example, 10:1 to 1:10 ZSM-5/Pt3Mn.
All catalysts showed the same general product selectivity trend with increasing conversion. At low conversion, ethylene is initially formed, and thus it is a primary product. As the ethane conversion increases, the ethylene selectivity decreases, indicating that it undergoes secondary reactions to other products. At low conversion, CH4, C3+ hydrocarbons, and BTX selectivities are low, indicating that these are secondary (or higher order) products. As the ethylene selectivity decreases, the C3+ hydrocarbons increase, go through a maximum, and then decrease at a higher conversion, indicating that these are secondary and intermediate products. CH4 and BTX selectivities are also low at low conversion but continuously increase with increasing conversion, indicating that these are secondary and final products. For example, for ZSM-5/Pt3Mn = 1/1, the ethylene selectivity is nearly 100% at a few percent ethane conversion, then decreases rapidly as the ethane conversion increases. The C3+ products are mainly composed of propylene, propane, butene, and other higher-molecular-weight hydrocarbons, which begin to form at about 5% ethane conversion. At this conversion, CH4 and BTX selectivities are near zero. These latter products start to increase at higher conversion, indicating that these are formed by reactions of the C3+ hydrocarbons. Figure S2 shows the product selectivities of different catalyst compositions at a similar ethane conversion (15–18%). By increasing the amounts of ZSM-5 in the bifunctional catalyst, there is an increase in methane and BTX selectivity and a decrease in ethylene selectivity, while there is only a minor change in the C3+ selectivity. The effect of catalyst composition on the product distribution was determined by changing the ratio of the ZSM-5 (SiO2/Al2O3 = 30) and Pt3Mn/SiO2 catalysts.
The ethane conversion rates of different catalysts are shown in Figure 4. The rates were calculated at a similar conversion of about 14%, which is close to the ethane–ethylene equilibrium at 600 °C. The catalyst with a ZSM-5/Pt3Mn = 1/1 ratio has the highest rate among all compositions. The catalysts with higher dehydrogenation weight ratios (1/10 and 1/3) have a slightly higher ethane conversion rate than those with higher zeolite weight ratios (3/1 and 10/1). In general, for catalysts with low amounts of Pt3Mn, the ethane conversion rate is low due to the low dehydrogenation rate. For catalysts with low amounts of ZSM-5, there are high levels of ethylene in the products (see Figure 3) near the ethane–ethylene equilibrium composition, but with little ZSM-5, further reaction of ethylene leads to low ethane conversion rates. For catalysts with balanced levels of dehydrogenation and ZSM-5 catalysts, the ethylene conversion rate is higher since the ethylene is rapidly converted to high-molecular-weight products, allowing for additional ethane to be converted. For all bifunctional catalysts, the ethane conversion significantly exceeds the ethane–ethylene equilibrium concentration since the initially formed ethylene is converted to higher-molecular-weight C3+ and BTX products (Figure 3). Changing the SiO2/Al2O3 ratio of ZSM-5 or the Pt weight loading or dispersion would be expected to lead to similar product distributions and trends; however, the optimized ZSM-5 to Pt3Mn ratio would be different.

2.3. The Effect of Hydrogen Partial Pressure

With the highly active Pt alloy dehydrogenation catalyst, H2 is also produced along with BTX in the EDA reaction network. For example, when three moles of ethane are converted to one mole of benzene, six moles of hydrogen are also produced. Previously, H2 was shown to mitigate coke formation to significantly extend the life of propane dehydrogenation catalysts [23,24]. However, for the EDA reaction, high H2 partial pressures limit the ethane dehydrogenation equilibrium and could also saturate important reaction intermediates. As a result, the role of hydrogen in EDA was evaluated. Different partial pressures of H2 were cofed along with ethane. The ethane conversion and product distribution are shown in Figure 5. At low H2 partial pressures (2 kPa, 6 kPa), there is little change in ethane conversion and product selectivity compared to no added hydrogen. However, at a higher H2 partial pressure—for example, 16 kPa—the ethane conversion drops from 22% to 14%, and the BTX selectivity decreases from 36% to 23%, while the methane selectivity increases from 4% to 8%. In addition, the ethylene selectivity increases from 41% to 50%. With further increases in the H2 partial pressure to 32 kPa and 49 kPa, the methane selectivity increases significantly and BTX selectivity decreases to less than 10%. The propane selectivity slightly increases, while the propylene selectivity decreases to near zero, suggesting that propylene is hydrogenated to propane. These results indicate that the ethane conversion rate and product distribution are strongly and negatively affected by high H2 partial pressures. Figure S3 shows the product distribution across different conversions with 6 kPa and 16 kPa H2 partial pressure. At a similar conversion, 6 kPa H2 partial pressure shows a minimum change in product distribution, while for 49 kPa H2, the methane is very high.
H2 partial pressures have previously been shown to lower catalyst deactivation rates for Pt alloy dehydrogenation catalysts, albeit at high alkane-to-H2 ratios [23,24]. Since the product ethane conversion rates and BTX selectivity are minimally affected at low H2 partial pressures, the effect of low H2 partial pressures on EDA deactivation was determined (Figure 6). The initial ethane conversions with and without added H2 were similar. However, with added H2, the deactivation was slightly reduced. Even with small amounts of hydrogen, approximately half the conversion was lost in almost 6 h. In reaction tests lasting 5 h, the amount of coke on the spent catalyst was about 7%. Assuming an average conversion of 15%, the fraction of coke was about 1% of all products. The calculation details are included in the experimental section. Thus, with or without small amounts of added H2, these catalysts will require regular regeneration for the development of a steady-state process.

2.4. The Effect of Reaction Temperature

The effect of the reaction temperature on the ethane conversion rate and product selectivity was also determined for the 1/1 ZSM-5/Pt3Mn catalyst. The product selectivities at different reaction temperatures from 550 °C to 650 °C are shown in Figure 7. Similar to the results at 600 °C, the primary, secondary, intermediate, and final products are the same. As the temperature increases, so does the ethane–ethylene equilibrium conversion from 10, 18, and 28%, respectively. In addition, with increasing temperature, the ethane conversion is higher and exceeds the ethane–ethylene equilibrium conversions at each reaction temperature (Figure 7).
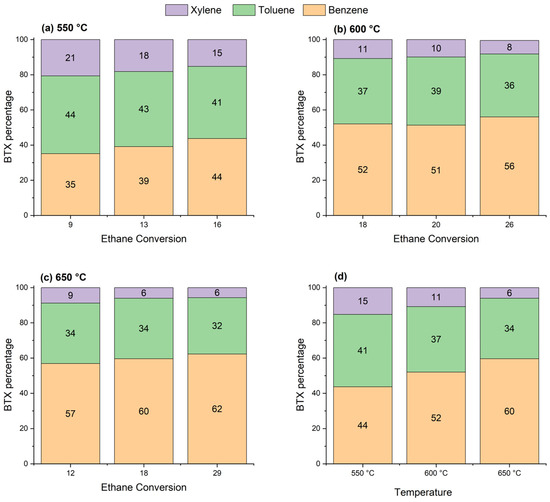
The product distribution was compared at similar conversions, at 16–18%, for the different reaction temperatures (Figure S4). At 550 °C, the BTX selectivity is highest, which is due to the lower yields of intermediate ethylene and C3+ products. At higher temperatures, the BTX selectivities are similar, but at 650 °C, there is slightly more CH4. Since the latter is a final product, at this temperature, the aromatic yield is slightly lower than at 600 °C. Figure 8 shows the percentage of BTX at different ethane conversions and temperatures. With increasing conversion, the fraction of benzene increases and xylene decreases (Figure 8a–c). At constant conversion (Figure 8d), with an increasing reaction temperature, the fraction of benzene also increases and toluene and xylene decrease. Thus, benzene is favored in high-temperature conditions, which is also observed in the PDA reaction [25].

3. Discussion

The product selectivity with increasing conversion (Figure 3) was similar to that previously reported for Zn-, Ga-, and Re-promoted ZSM-5 [9,13,26]. The initial product is ethylene formed by dehydrogenation over the Pt3Mn catalyst. At less than about 5% conversion, there are few other products since the dehydrogenation catalyst has high selectivity, and there is also little conversion of ethane by ZSM-5. At these reaction temperatures, ethylene reacts on ZSM-5, forming higher-molecular-weight hydrocarbons. Thus, ethylene is a reactive intermediate, and the C3+ olefins and paraffins are secondary reaction products. The selectivities of ethylene and C3+ products are dependent on the specific catalyst. Higher amounts of ZSM-5 lead to lower amounts of ethylene and higher amounts of C3+ products. At conversions of less than about 10% ethane, there are small amounts of CH4 and BTX. With increasing ethane conversion, the selectivity of ethylene continues to decrease, while the C3+ hydrocarbons increase, go through a maximum, and then decrease at higher conversion, indicating these also undergo secondary reactions, and thus are reaction intermediates. The CH4 and BTX products form at ethane conversions above about 10%. The selectivities of these, however, continue to increase with increasing ethane conversion; therefore, they are final products. With bifunctional catalysts, BTX products are formed primarily by dehydrogenation of naphthenes, i.e., Pt3Mn in this study, rather than hydrogen transfer over ZSM-5 [4,5,25,26,27,28]. Methane is the only non-aromatic, final hydrocarbon product in this reaction network, since it is unreactive at the EDA reaction temperatures [28].
Since CH4 and BTX are the final products, one can define a final product selectivity and yield, which are calculated by Equations (3) and (4) in the Section 4. The final product yield is the amount of methane and BTX produced, while the final BTX selectivity is the percentage of BTX in the final products. Figure 9 illustrates the differences in the final BTX product selectivities of the different catalyst compositions. For nearly all catalysts, the BTX selectivity is above about 80%, and catalysts with lower amounts of ZSM-5 have slightly higher BTX selectivities above 85%. The higher BTX selectivity with lower levels of ZSM-5 is consistent with the formation of CH4 formed by monomolecular cracking of C3+ alkanes, which was previously shown for propane dehydroaromatization [22]. The BTX selectivity also decreases slightly as the final product yield increases above about 15%. At this yield, there are few reaction intermediates (Figure 3), e.g., ethylene and C3+ hydrocarbons in the reaction mixture are low. Thus, the lower BTX selectivity may result from over-conversion of aromatic products and increasing formation of benzene at higher ethane conversions (Figure 8).
The BTX formation rates at 600 °C of different catalysts are shown in Figure 10. The rates were calculated at a similar (15–18%) ethane conversion. Additionally, the ethane conversion was 2% for ZSM-5, and Pt3Mn does not form aromatics. The catalyst with a ZSM-5/Pt3Mn = 1/1 ratio showed the highest BTX formation rate. For catalysts with higher amounts of ZSM-5, e.g., weight ratios of 10/1 and 3/1, the BTX rates were lower (approximately one-third of that for the 1/1 ratio), suggesting that the BTX rate was limited by the ethane dehydrogenation reaction and that there was sufficient ZSM-5 to convert ethylene and C3+ hydrocarbon intermediates to aromatics. Consistent with this, the ethylene and C3+ selectivities at an equivalent conversion were lower than catalysts with lower amounts of ZSM-5 (Figure 3 and Figure S2).
For catalysts with lower amounts of ZSM-5, e.g., weight ratios of 1/3 and 1/10, the rates were also lower, about one-third that of the 1/1 catalyst. Catalysts with too little ZSM-5 were unable to convert ethylene to BTX and thus had low BTX rates. Like all bifunctional catalysts and reactions, the rate of either of the two reactions, e.g., alkane dehydrogenation or Brønsted acid reactions, can be rate-limiting, and the optimum composition will depend on the relative rates of the two rate-limiting steps.
The final BTX product selectivity as a function of yield is shown in Figure 11 for reaction temperatures from 550 °C to 650 °C. At yields below about 15%, the BTX selectivity at 600 °C is slightly higher than at higher or lower temperatures. However, at yields above 15%, the BTX selectivity is similar at 600 and 650 °C, at about 80% BTX. At 550 °C, the ethane–ethylene equilibrium conversion is low at about 10%, and increasing the yield to above 15% is difficult. However, at 600 °C, the ethane–ethylene equilibrium is 18% and one can obtain ethane conversions above this equilibrium value, giving higher conversions than at 550 °C (Figure 7). As discussed above, with increasing ethane conversions, the BTX selectivity decreases slightly due to increased benzene and decreased xylene selectivities (Figure 9 and Figure 11). At 650 °C, the ethane–ethylene equilibrium increases to 28% and the ethane conversion can be increased above about 35% (Figure 7). At this temperature, the benzene selectivity is high with little xylene, and the BTX yield is less affected by increasing ethane conversion. Reaction temperatures from about 600 to 650 °C appear to be optimum for higher BTX selectivity and conversion.
The formation of one mole of aromatic also forms six moles of H2, for example, three moles from ethylene and three moles per aromatic. Thus, with increasing conversion, there is a significant increase in the product H2 partial pressure. As shown in Figure 5, high H2 partial pressures significantly lower the BTX selectivity. In addition, Figure 12 shows the product formation rates of all products at different H2 partial pressures. For the products produced by dehydrogenation, e.g., ethylene and BTX, the rates decrease with an increasing H2 partial pressure. Figure S5 also shows that the ethane dehydrogenation rate decreases rapidly with increasing H2 partial pressures. At higher H2 partial pressures, the ethane–ethylene equilibrium is also significantly reduced. Since all products result from the secondary reaction of ethylene, the rates of all secondary products also decrease with increasing H2 partial pressures. Reduced BTX formation rates and selectivity at high H2 partial pressures suggest that very high ethane conversion is unlikely, ca. less than about 40%, and recycling of unconverted ethane will be required for complete conversion. For high BTX rates, yields, and selectivity, separation of H2 will also be required. However, since with up to about 6 kPa, or 6% H2, the selectivity and rates of all products are similar, complete removal of H2 from the recycled ethane is unnecessary.

4. Materials and Methods

4.1. Catalyst Synthesis

The Pt3Mn on SiO2 alkane dehydrogenation catalyst was synthesized using pH-controlled incipient wetness impregnation (IWI). To synthesize 12 g of Pt3Mn/SiO2, 2.74 g manganese nitrate tetrahydrate (Sigma-Aldrich, St. Louis, MO, USA) and 4.2 g citric acid (Sigma-Aldrich) were dissolved into 4 mL of de-ionized water. The solution was adjusted to pH = 11 (confirmed by pH paper) by adding 30% ammonium hydroxide (Sigma-Aldrich) and de-ionized water to make the total volume 9 mL. This manganese precursor solution was added dropwise to 12 g silica (Davisil 646 silica gel from Sigma-Aldrich, 480 m2/g and 1.1 mL/g pore volume). The resulting solids were dried overnight at 125 °C and calcined at 550 °C for 3 h. Then, 0.48g tetraammineplatinum(II) nitrate (Sigma-Aldrich) was added, following the same procedure for making a 9 mL, pH = 11 solution, which was then added dropwise to the SiO2 sample previously impregnated with Mn. The sample was dried overnight at 125 °C, calcined at 225 °C for 3 h, and reduced in flowing 5% H2/N2 (100 cm3/min) at 225 °C for 1 h.
Pt/SiO2 was synthesized following the same procedure of Pt3Mn/SiO2 synthesis but without the addition of Mn. Then, 0.2 g tetraammineplatinum (II) nitrate (Sigma-Aldrich) was dissolved into a solution with controlled pH values and added to the 5 g silica support by IWI. The sample was dried overnight, calcinated at 225 °C for 3 h, and reduced in flowing 5% H2/N2 (100 cm3/min) at 225 °C for 1 h.
Ammonium form ZSM-5 (CBV 3024E, Zeolyst International, Conshohocken, PA, USA) was calcined at 550 °C for 3 h to convert it to its acidic form. The ZSM-5 catalyst was ground, pelletized, and sieved to maintain 150–300 μm particle sizes. The bifunctional catalyst was prepared by physically mixing Pt3Mn/SiO2 and ZSM-5. The ZSM-5/Pt3Mn ratio is defined as the weight-loading ratio of the physical mixture.

4.2. X-ray Absorption Spectroscopy (XAS)

Insitu XAS experiments were conducted 10-BM-B beamline at the Advanced Photon Source (APS) of Argonne National Lab (ANL, Lemont, IL, USA). A Pt foil was measured to calibrate the energy and compare it with the synthesized Pt alloy. Both Pt foil and Pt alloy samples were measured at the Pt LIII edge (11,564 eV), from 250 eV prior to the edge to 1000 eV after the edge. Samples were pre-reduced in the 3% H2/He for 30 min and then scanned under ambient conditions. WinXAS 4.0 was used to analyze the data to determine the bond distance, edge energy shift, and coordination number from the X-ray absorption near edge structure (XANES) and extended X-ray absorption fine structure (EXAFS) using standard procedures. The analyzed data were used to confirm the formation of the Pt3Mn alloy.

4.3. Scanning Transmission Electron Microscopy (STEM)

For scanning transmission electron microscopy (STEM, FEI, Hillsboro, OR, USA), 10 μL of a 1 mg/mL supported catalyst suspension was drop-dried onto a copper grid. High-angle annular dark-field scanning transmission electron microscopy (HAADF-STEM) images were captured with a FEI Talos F200X S/TEM (Hillsboro, OR, USA), which features a 200 kV X-FEG field-emission source. The particle diameter was measured by ImageJ software (https://imagej.net/ij/download.html, accessed on 1 April 2024).

4.4. Catalyst Testing

A quartz tube fixed bed reactor (ID 10.5 mm) with a gas chromatograph (HP 6890 series with HP-AL/S column, Agilent, Santa Clara, CA, USA) was used to conduct catalyst tests. A furnace (Applied Test Systems series 3210, Butler, PA, USA) with a temperature controller was used to control the reaction temperature (550–650 °C). A mass flow rate controller (Parker Porter, CM400, Odense, Denmark) was connected to control the feed flow rate. A thermocouple was placed in the center of the catalyst bed to measure the temperature. The heating (Omega, Norwalk, CT, USA) and insulation tapes were wrapped to the reactor effluent line to maintain the temperature at 150 °C.
Varying amounts of catalyst (0–1 g) were loaded into the reactor and diluted to 1.0 g (when <1 g Pt3Mn/SiO2 was loaded) with SiO2 to change the space velocity and maintain the same pressure drop, respectively. The catalysts were heated under N2 flow at the reaction temperature for 15 min and reduced for 30 min in flowing 5% H2/N2 prior to the reaction. A back-pressure regulator was used to control the outlet pressure at 1 bar. The fresh catalysts were loaded for each experiment and the data point was taken as the first injection after the reaction for 10 min to minimize the effect of deactivation on the rate and selectivity.

4.5. Calculation of Ethane Conversion and Product Selectivity

Ethane conversion was calculated based on the carbon basis as,
Ethane   conversion = n   ×   F a l l   p r o d u c t     2   ×   F e t h a n e n   ×   F a l l   p r o d u c t
Product selectivity was also calculated from the carbon basis; take methane as an example,
Methane   selectivity = 1   ×   F m e t h a n e n   ×   F a l l   p r o d u c t     2   ×   F e t h a n e
where n is the carbon number of each product, and F is the concentration of each product.
Methane is inert in the ethane reaction condition and BTX is the desired product in the system. All other products, such as ethylene, propane, and propylene, can be recycled and further converted to BTX. Thus, the final product selectivity was calculated as,
Final   product   selectivity = S B T X S B T X   +   S m e t h a n e
The final product conversion was calculated as,
Final   product   yield = Ethane   conversion   ×   S B T X   +   S m e t h a n e
where S is the selectivity calculated by Equation (2).

4.6. Calculation of Coke Formation

The catalyst after 5 h of reaction was used to estimate the coke fraction on the catalyst and the coke percentage from the reactant. The spent catalyst was weighed first, then calcinated in the calcinated oven at 550 °C for 3 h to burn off the carbon deposit. The weight of coke produced was estimated by the mass difference after the calcination. The weight fraction of coke on the catalyst was estimated by Equation (5). The total mass of converted ethane was estimated by the average of the initial and final ethane conversion in 5 h. The percentage of coke produced from the reactant was estimated by Equation (6).
Coke   mass   fraction   on   catalyst = m c o k e m c a t a l y s t   +   m c o k e
Ethane   to   coke   conversion = m c o k e m c o n v e r t e d   e t h a n e
where m is the mass.

5. Conclusions

In this work, the catalytic composition, hydrogen partial pressure, and reaction temperature were investigated for ethane dehydroaromatization (EDA) on a Pt3Mn/SiO2 + ZSM-5 bifunctional catalyst. The catalyst with a ZSM-5/Pt3Mn = 1/1 ratio showed the highest BTX formation rate and ethane conversion rate. Ethylene is initially formed by the Pt3Mn dehydrogenation catalyst and undergoes secondary reactions forming C3+ reaction intermediates. These intermediate products form final products of CH4 and BTX at ethane conversions up to 35%. For all bifunctional catalysts, the ethane conversion exceeded the ethane–ethylene equilibrium since the initially formed ethylene is converted to higher-molecular-weight C3+ and BTX products. With an increasing reaction temperature from 550 °C to 650 °C or increasing ethane conversion, the benzene selectivity increased. The highest BTX selectivity and conversion were obtained at 600 to 650 °C with a BTX selectivity above 80% at product yields (CH4 + BTX) of about 25%. Increasing amounts of H2 significantly reduce the EDA reaction rate and BTX selectivity and will limit the ethane conversion to below about 40%, requiring recycling ethane and separation of co-produced H2. Catalyst life times are about 5h, thus will require regular regeneration to develop a steady-state process.

Supplementary Materials

The following supporting information can be downloaded at https://www.mdpi.com/article/10.3390/catal14060365/s1, Figure S1: (a) STEM images of Pt3Mn/SiO2 and (b) the corresponding particle size distribution. Figure S2: The product distribution of different ratios of catalysts. Figure S3: Product selectivity as a function of ethane conversion on a ZSM-5/Pt3Mn = 1/1 bifunctional catalyst. Figure S4: Product distribution for different reaction temperatures with a similar ethane conversion. Figure S5: The product formation rate as a function of hydrogen partial pressure for ethane dehydrogenation on Pt3Mn/SiO2.

Author Contributions

S.J.: conceptualization, methodology, investigation, data analysis, writing—original draft, writing—review and editing. C.-W.C.: conceptualization, methodology, writing—review and editing. W.A.S.: STEM investigation. C.W.L.: STEM supervision. J.T.M.: conceptualization, methodology, writing—review and editing, supervision, funding acquisition. All authors have read and agreed to the published version of the manuscript.

Funding

This work was funded by the National Science Foundation (NSF) under Cooperative Agreement No. EEC-1647722.

Data Availability Statement

Data are contained within the article and Supplementary Materials.

Acknowledgments

This research used resources of the Advanced Photon Source, a U.S. Department of Energy (DOE) Office of Science User Facility operated for the DOE Office of Science by Argonne National Laboratory under Contract No. DE-AC02-06CH11357.

Conflicts of Interest

The authors declare no conflicts of interest.

References

  1. Siirola, J.J. The Impact of Shale Gas in the Chemical Industry. AIChE J. 2014, 60, 810–819. [Google Scholar] [CrossRef]
  2. Ono, Y. Transformation of Lower Alkanes into Aromatic Hydrocarbons over ZSM-5 Zeolites. Catal. Rev. 1992, 34, 179–226. [Google Scholar] [CrossRef]
  3. Giannetto, G.; Monque, R.; Galiasso, R. Transformation of LPG into Aromatic Hydrocarbons and Hydrogen over Zeolite Catalysts. Catal. Rev. 1994, 36, 271–304. [Google Scholar] [CrossRef]
  4. Guisnet, M.; Gnep, N.S.; Alario, F. Aromatization of Short Chain Alkanes on Zeolite Catalysts. Appl. Catal. Gen. 1992, 89, 1–30. [Google Scholar] [CrossRef]
  5. Shibata, M.; Kitagawa, H.; Sendoda, Y.; Ono, Y. Transformation of Propene into Aromatic Hydrocarbons over ZSM-5 Zeolites. In Studies in Surface Science and Catalysis; Elsevier: Amsterdam, The Netherlands, 1986; Volume 28, pp. 717–724. ISBN 978-0-444-98981-9. [Google Scholar]
  6. Saito, H.; Sekine, Y. Catalytic Conversion of Ethane to Valuable Products through Non-Oxidative Dehydrogenation and Dehydroaromatization. RSC Adv. 2020, 10, 21427–21453. [Google Scholar] [CrossRef] [PubMed]
  7. Rodrigues, V.D.O.; Faro Júnior, A.C. On Catalyst Activation and Reaction Mechanisms in Propane Aromatization on Ga/HZSM5 Catalysts. Appl. Catal. Gen. 2012, 435–436, 68–77. [Google Scholar] [CrossRef]
  8. Ono, Y.; Nakatani, H.; Kitagawa, H.; Suzuki, E. The Role of Metal Cations in the Transformation of Lower Alkanes into Aromatic Hydrocarbons. Stud. Surf. Sci. Catal. 1989, 44, 279–290. [Google Scholar]
  9. Mehdad, A.; Lobo, R.F. Ethane and Ethylene Aromatization on Zinc-Containing Zeolites. Catal. Sci. Technol. 2017, 7, 3562–3572. [Google Scholar] [CrossRef]
  10. Schulz, P.; Baerns, M. Aromatization of Ethane over Gallium-Promoted H-ZSM-5 Catalysts. Appl. Catal. 1991, 78, 15–29. [Google Scholar] [CrossRef]
  11. Xiang, Y.; Wang, H.; Cheng, J.; Matsubu, J. Progress and Prospects in Catalytic Ethane Aromatization. Catal. Sci. Technol. 2018, 8, 1500–1516. [Google Scholar] [CrossRef]
  12. Bhan, A.; Nicholas Delgass, W. Propane Aromatization over HZSM-5 and Ga/HZSM-5 Catalysts. Catal. Rev. 2008, 50, 19–151. [Google Scholar] [CrossRef]
  13. Guisnet, M.; Gnep, N.S. Aromatization of Propane over GaHMFI Catalysts. Reaction Scheme, Nature of the Dehydrogenating Species and Mode of Coke Formation. Catal. Today 1996, 31, 275–292. [Google Scholar] [CrossRef]
  14. Kwak, B.S.; Sachtler WM, H.; Haag, W.O. Catalytic Conversion of Propane to Aromatics: Effects of Adding Ga and/or Pt to HZSM-5. J. Catal. 1994, 149, 465–473. [Google Scholar] [CrossRef]
  15. Liu, S.; Zhang, B.; Liu, G. Metal-Based Catalysts for the Non-Oxidative Dehydrogenation of Light Alkanes to Light Olefins. React. Chem. Eng. 2021, 6, 9–26. [Google Scholar] [CrossRef]
  16. Cybulskis, V.J.; Bukowski, B.C.; Tseng, H.-T.; Gallagher, J.R.; Wu, Z.; Wegener, E.; Kropf, A.J.; Ravel, B.; Ribeiro, F.H.; Greeley, J.; et al. Zinc Promotion of Platinum for Catalytic Light Alkane Dehydrogenation: Insights into Geometric and Electronic Effects. ACS Catal. 2017, 7, 4173–4181. [Google Scholar] [CrossRef]
  17. Wegener, E.C.; Wu, Z.; Tseng, H.-T.; Gallagher, J.R.; Ren, Y.; Diaz, R.E.; Ribeiro, F.H.; Miller, J.T. Structure and Reactivity of Pt–In Intermetallic Alloy Nanoparticles: Highly Selective Catalysts for Ethane Dehydrogenation. Catal. Today 2018, 299, 146–153. [Google Scholar] [CrossRef]
  18. Wu, Z.; Bukowski, B.C.; Li, Z.; Milligan, C.; Zhou, L.; Ma, T.; Wu, Y.; Ren, Y.; Ribeiro, F.H.; Delgass, W.N.; et al. Changes in Catalytic and Adsorptive Properties of 2 Nm Pt 3 Mn Nanoparticles by Subsurface Atoms. J. Am. Chem. Soc. 2018, 140, 14870–14877. [Google Scholar] [CrossRef] [PubMed]
  19. Galvita, V.; Siddiqi, G.; Sun, P.; Bell, A.T. Ethane Dehydrogenation on Pt/Mg(Al)O and PtSn/Mg(Al)O Catalysts. J. Catal. 2010, 271, 209–219. [Google Scholar] [CrossRef]
  20. Vosmerikova, L.N.; Barbashin, Y.E.; Vosmerikov, A.V. Catalytic Aromatization of Ethane on Zinc-Modified Zeolites of Various Framework Types. Pet. Chem. 2014, 54, 420–425. [Google Scholar] [CrossRef]
  21. Jones, A.J.; Iglesia, E. The Strength of Brønsted Acid Sites in Microporous Aluminosilicates. ACS Catal. 2015, 5, 5741–5755. [Google Scholar] [CrossRef]
  22. Chang, C.-W.; Pham, H.N.; Alcala, R.; Datye, A.K.; Miller, J.T. Dehydroaromatization Pathway of Propane on PtZn/SiO2 + ZSM-5 Bifunctional Catalyst. ACS Sustain. Chem. Eng. 2022, 10, 394–409. [Google Scholar] [CrossRef]
  23. Sattler, A.; Paccagnini, M.; Gomez, E.; Meyer, R.J.; Yacob, S.; Klutse, H.; Caulfield, M.; Gao, Y. Catalytic Limitations on Alkane Dehydrogenation under H 2 Deficient Conditions Relevant to Membrane Reactors. Energy Environ. Sci. 2022, 15, 2120–2129. [Google Scholar] [CrossRef]
  24. Alcala, R.; Dean, D.P.; Chavan, I.; Chang, C.-W.; Burnside, B.; Pham, H.N.; Peterson, E.; Miller, J.T.; Datye, A.K. Strategies for Regeneration of Pt-Alloy Catalysts Supported on Silica for Propane Dehydrogenation. Appl. Catal. Gen. 2023, 658, 119157. [Google Scholar] [CrossRef]
  25. Chang, C.-W.; Miller, J.T. Catalytic Process Development Strategies for Conversion of Propane to Liquid Hydrocarbons. Appl. Catal. Gen. 2022, 643, 118753. [Google Scholar] [CrossRef]
  26. Ma, L.; Zou, X. Cooperative Catalysis of Metal and Acid Functions in Re-HZSM-5 Catalysts for Ethane Dehydroaromatization. Appl. Catal. B Environ. 2019, 243, 703–710. [Google Scholar] [CrossRef]
  27. Chen, H.; Li, W.; Zhang, M.; Wang, W.; Zhang, X.-H.; Lu, F.; Cheng, K.; Zhang, Q.; Wang, Y. Boosting Propane Dehydroaromatization by Confining PtZn Alloy Nanoparticles within H-ZSM-5 Crystals. Catal. Sci. Technol. 2022, 12, 7281–7292. [Google Scholar] [CrossRef]
  28. Inui, T.; Ishihara, Y.; McKamachi, K.; Matsuda, H. Pt Loaded HIGH-Ga Silicates for Aromatization of Light Paraffins and Methane. In Studies in Surface Science and Catalysis; Elsevier: Amsterdam, The Netherlands, 1989; Volume 49, pp. 1183–1192. ISBN 978-0-444-87466-5. [Google Scholar]
Figure 1. (a) Pt LIII edge XANES and (b) EXAFS spectra of reduced Pt3Mn catalyst (red) and Pt foil (blue).
Figure 1. (a) Pt LIII edge XANES and (b) EXAFS spectra of reduced Pt3Mn catalyst (red) and Pt foil (blue).
Catalysts 14 00365 g001
Figure 2. Ethane dehydrogenation selectivity vs. conversion for Pt3Mn/SiO2 and Pt/SiO2. Reaction conditions: cat., 0.05–0.3 g; temperature, 600 °C (a) and 650 °C (b); pressure, 101 kPa; pure ethane. The dashed line is ethane dehydrogenation equilibrium conversion.
Figure 2. Ethane dehydrogenation selectivity vs. conversion for Pt3Mn/SiO2 and Pt/SiO2. Reaction conditions: cat., 0.05–0.3 g; temperature, 600 °C (a) and 650 °C (b); pressure, 101 kPa; pure ethane. The dashed line is ethane dehydrogenation equilibrium conversion.
Catalysts 14 00365 g002
Figure 3. Product selectivity as a function of ethane conversion with different catalytic compositions. The dashed line is the ethane to ethylene equilibrium conversion. Reaction conditions: cat., 0.2–0.8 g; temperature, 600 °C; pressure, 101 kPa; pure ethane.
Figure 3. Product selectivity as a function of ethane conversion with different catalytic compositions. The dashed line is the ethane to ethylene equilibrium conversion. Reaction conditions: cat., 0.2–0.8 g; temperature, 600 °C; pressure, 101 kPa; pure ethane.
Catalysts 14 00365 g003
Figure 4. The ethane conversion rates for different catalysts. Reaction conditions: cat., 0.2–0.8 g; temperature, 600 °C; pressure, 101 kPa; pure ethane.
Figure 4. The ethane conversion rates for different catalysts. Reaction conditions: cat., 0.2–0.8 g; temperature, 600 °C; pressure, 101 kPa; pure ethane.
Catalysts 14 00365 g004
Figure 5. Ethane conversion and product selectivity as a function of different ratios of hydrogen cofeeding. Reaction conditions: cat., 0.6 g; ZSM-5/Pt3Mn = 1/1; temperature, 600 °C; total pressure, 101 kPa; ethane partial pressure, constant at 35 kPa; hydrogen partial pressure, ranging from 2 to 49 kPa; balanced with nitrogen.
Figure 5. Ethane conversion and product selectivity as a function of different ratios of hydrogen cofeeding. Reaction conditions: cat., 0.6 g; ZSM-5/Pt3Mn = 1/1; temperature, 600 °C; total pressure, 101 kPa; ethane partial pressure, constant at 35 kPa; hydrogen partial pressure, ranging from 2 to 49 kPa; balanced with nitrogen.
Catalysts 14 00365 g005
Figure 6. Catalyst conversion as a function of time for no hydrogen addition (red) and 2 kPa hydrogen addition (blue) on ZSM-5/Pt3Mn = 1/1 bifunctional catalyst.
Figure 6. Catalyst conversion as a function of time for no hydrogen addition (red) and 2 kPa hydrogen addition (blue) on ZSM-5/Pt3Mn = 1/1 bifunctional catalyst.
Catalysts 14 00365 g006
Figure 7. Product selectivity as a function of ethane conversion at different reaction temperatures. Reaction conditions: cat., 0.2–0.8 g; temperature, 550–650 °C; pressure, 101 kPa; pure ethane; weight ratio of ZSM-5/Pt3Mn = 1/1.
Figure 7. Product selectivity as a function of ethane conversion at different reaction temperatures. Reaction conditions: cat., 0.2–0.8 g; temperature, 550–650 °C; pressure, 101 kPa; pure ethane; weight ratio of ZSM-5/Pt3Mn = 1/1.
Catalysts 14 00365 g007
Figure 8. (ac) The BTX percentage under different conversions ranging from 550 °C to 650 °C. (d) The BTX distribution under a similar conversion (16–18%) at different temperatures.
Figure 8. (ac) The BTX percentage under different conversions ranging from 550 °C to 650 °C. (d) The BTX distribution under a similar conversion (16–18%) at different temperatures.
Catalysts 14 00365 g008
Figure 9. The final product selectivity as a function of conversion for different ratios of bifunctional catalysts. Reaction conditions: cat., 0.2–0.8 g; temperature, 600 °C; pressure, 101 kPa; pure ethane.
Figure 9. The final product selectivity as a function of conversion for different ratios of bifunctional catalysts. Reaction conditions: cat., 0.2–0.8 g; temperature, 600 °C; pressure, 101 kPa; pure ethane.
Catalysts 14 00365 g009
Figure 10. The BTX formation rates for different catalysts. Z/PA is the weight ratio of ZSM-5 to Pt3Mn/SiO2. Reaction conditions: cat., 0.1–0.8 g; temperature, 600 °C; pressure, 101 kPa; pure ethane.
Figure 10. The BTX formation rates for different catalysts. Z/PA is the weight ratio of ZSM-5 to Pt3Mn/SiO2. Reaction conditions: cat., 0.1–0.8 g; temperature, 600 °C; pressure, 101 kPa; pure ethane.
Catalysts 14 00365 g010
Figure 11. The final product selectivity as a function of conversion at different temperatures. Reaction conditions: cat., 0.2–0.8 g; temperature, 550–650 °C; pressure, 101 kPa; pure ethane; weight ratio of ZSM-5/Pt3Mn = 1/1.
Figure 11. The final product selectivity as a function of conversion at different temperatures. Reaction conditions: cat., 0.2–0.8 g; temperature, 550–650 °C; pressure, 101 kPa; pure ethane; weight ratio of ZSM-5/Pt3Mn = 1/1.
Catalysts 14 00365 g011
Figure 12. Product formation rate as a function of hydrogen partial pressure on ZSM-5/Pt3Mn = 1/1 bifunctional catalyst. Reaction conditions: cat., 0.6 g; temperature, 600 °C; pressure, 101 kPa; ethane partial pressure, constant at 35 kPa; hydrogen partial pressure, ranging from 2–49 kPa; balanced with nitrogen.
Figure 12. Product formation rate as a function of hydrogen partial pressure on ZSM-5/Pt3Mn = 1/1 bifunctional catalyst. Reaction conditions: cat., 0.6 g; temperature, 600 °C; pressure, 101 kPa; ethane partial pressure, constant at 35 kPa; hydrogen partial pressure, ranging from 2–49 kPa; balanced with nitrogen.
Catalysts 14 00365 g012
Table 1. Pt LIII edge EXAFS fits for the Pt foil and Pt3Mn/SiO2 sample.
Table 1. Pt LIII edge EXAFS fits for the Pt foil and Pt3Mn/SiO2 sample.
SampleXANES Energy (keV)Scattering PairCoordination Number
(±10%)
Bond Distance
(±0.02 Å)
Pt Foil11.5640Pt-Pt12.0 2.76
Pt3Mn/SiO211.5649Pt-Pt5.52.69
Pt-Mn2.12.69
So = 0.80 and σ2 = 0.004.
Disclaimer/Publisher’s Note: The statements, opinions and data contained in all publications are solely those of the individual author(s) and contributor(s) and not of MDPI and/or the editor(s). MDPI and/or the editor(s) disclaim responsibility for any injury to people or property resulting from any ideas, methods, instructions or products referred to in the content.

Share and Cite

MDPI and ACS Style

Jiang, S.; Chang, C.-W.; Swann, W.A.; Li, C.W.; Miller, J.T. Pt3Mn/SiO2 + ZSM-5 Bifunctional Catalyst for Ethane Dehydroaromatization. Catalysts 2024, 14, 365. https://doi.org/10.3390/catal14060365

AMA Style

Jiang S, Chang C-W, Swann WA, Li CW, Miller JT. Pt3Mn/SiO2 + ZSM-5 Bifunctional Catalyst for Ethane Dehydroaromatization. Catalysts. 2024; 14(6):365. https://doi.org/10.3390/catal14060365

Chicago/Turabian Style

Jiang, Shan, Che-Wei Chang, William A. Swann, Christina W. Li, and Jeffrey T. Miller. 2024. "Pt3Mn/SiO2 + ZSM-5 Bifunctional Catalyst for Ethane Dehydroaromatization" Catalysts 14, no. 6: 365. https://doi.org/10.3390/catal14060365

APA Style

Jiang, S., Chang, C.-W., Swann, W. A., Li, C. W., & Miller, J. T. (2024). Pt3Mn/SiO2 + ZSM-5 Bifunctional Catalyst for Ethane Dehydroaromatization. Catalysts, 14(6), 365. https://doi.org/10.3390/catal14060365

Note that from the first issue of 2016, this journal uses article numbers instead of page numbers. See further details here.

Article Metrics

Back to TopTop