Promotion Effect of H2S at High Concentrations on Catalytic Dry Reforming of Methane in Sour Natural Gas
Abstract
1. Introduction
2. Results and Discussion
2.1. Thermodynamic Analysis of the Effect of H2S Concentration on DRM Reactions
2.2. Effect of H2S Concentration on DRM over Different Catalysts
2.2.1. MgO Catalyst
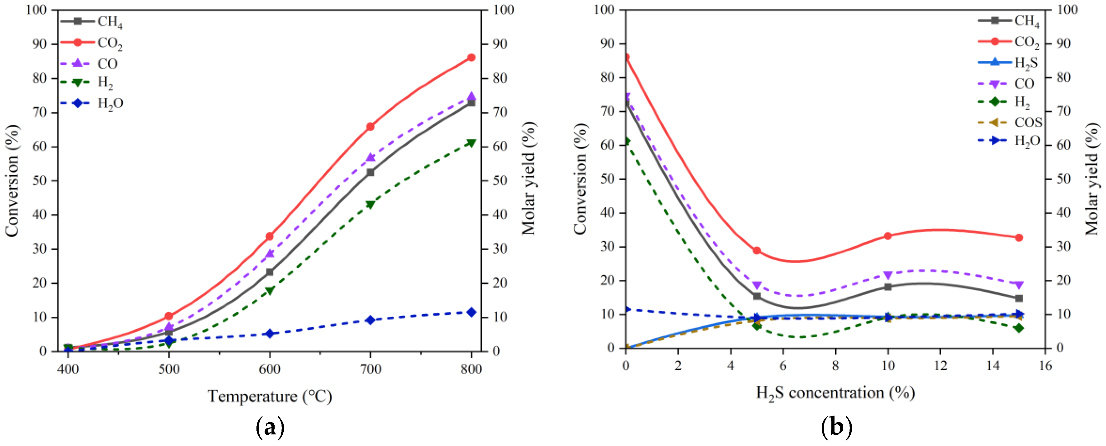
2.2.2. NiO/MgO Catalyst in Pristine and Reduced Form
2.2.3. LaNiO3-Derived Catalyst
2.3. Discussion
3. Materials and Methods
3.1. Catalyst Preparation
3.2. Catalytic DRM Test and Reaction Gas Composition Analysis
3.3. Catalyst Characterization
4. Conclusions
Supplementary Materials
Author Contributions
Funding
Data Availability Statement
Conflicts of Interest
References
- Xiong, G.; Hu, Y.; Fu, J.; Chen, C.; Yang, C.; Yan, X.; Jing, J.; Gao, F.; Chen, G.; Liu, Q.; et al. New progress and development direction of high-sulfur natural gas purification technology. Nat. Gas Ind. 2023, 43, 34–48. (In Chinese) [Google Scholar]
- Burgers, W.F.J.; Northrop, P.S.; Kheshgi, H.S.; Valencia, J.A. Worldwide development potential for sour gas. Energy Procedia 2011, 4, 2178–2184. [Google Scholar] [CrossRef]
- Wang, Y.; Yao, L.; Wang, S.; Mao, D.; Hu, C. Low-temperature catalytic CO2 dry reforming of methane on Ni-based catalysts: A review. Fuel Process. Technol. 2018, 169, 199–206. [Google Scholar] [CrossRef]
- Liu, Q.; Liu, Y.; Zhou, N.; Zhang, P.; Liu, Z.; Vovk, E.I.; Zhu, Y.-A.; Yang, Y.; Zhu, K. Realization of high-pressure dry methane reforming by suppressing coke deposition with Co-Rh intermetallic clusters. Appl. Catal. B Environ. 2023, 339, 123102. [Google Scholar] [CrossRef]
- Alipour, Z.; Borugadda, V.B.; Wang, H.; Dalai, A.K. Syngas production through dry reforming: A review on catalysts and their materials, preparation methods and reactor type. Chem. Eng. J. 2023, 452, 139416. [Google Scholar] [CrossRef]
- Appari, S.; Janardhanan, V.M.; Bauri, R.; Jayanti, S.; Deutschmann, O. A detailed kinetic model for biogas steam reforming on Ni and catalyst deactivation due to sulfur poisoning. Appl. Catal. A Gen. 2014, 471, 118–125. [Google Scholar] [CrossRef]
- Gaillard, M.; Virginie, M.; Khodakov, A.Y. New molybdenum-based catalysts for dry reforming of methane in presence of sulfur: A promising way for biogas valorization. Catal. Today 2017, 289, 143–150. [Google Scholar] [CrossRef]
- Chein, R.; Yang, Z.W. H2S effect on dry reforming of biogas for syngas production. Int. J. Energy Res. 2019, 43, 3330–3345. [Google Scholar] [CrossRef]
- Akansu, H.; Arbag, H.; Tasdemir, H.M.; Yasyerli, S.; Yasyerli, N.; Dogu, G. Nickel-based alumina supported catalysts for dry reforming of biogas in the absence and the presence of H2S: Effect of manganese incorporation. Catal. Today 2022, 397–399, 37–49. [Google Scholar] [CrossRef]
- Gao, Y.; Jiang, J.; Meng, Y.; Ju, T.; Han, S. Influence of H2S and NH3 on biogas dry reforming using Ni catalyst: A study on single and synergetic effect. Front. Environ. Sci. Eng. 2022, 17, 32. [Google Scholar] [CrossRef]
- Fidalgo, B.; Muradov, N.; Menéndez, J.A. Effect of H2S on carbon-catalyzed methane decomposition and CO2 reforming reactions. Int. J. Hydrogen Energy 2012, 37, 14187–14194. [Google Scholar] [CrossRef]
- Chattanathan, S.A.; Adhikari, S.; McVey, M.; Fasina, O. Hydrogen production from biogas reforming and the effect of H2S on CH4 conversion. Int. J. Hydrogen Energy 2014, 39, 19905–19911. [Google Scholar] [CrossRef]
- Jin, G.; Li, K.; Zhang, L.; Luo, Y.M.; Chen, D.K.; He, D.D. In situ observation of the promoting effect of H2S on the formation of efffcient MoS2 catalyst for CH4/CO2 reforming. Sep. Purif. Technol. 2023, 308, 122883. [Google Scholar] [CrossRef]
- Hu, Y.H.; Ruckenstein, E. Conment on “Dry reforming of methane by stable Ni-Mo nanocatalysts on single-crystalline MgO”. Science 2020, 368, eabb5459. [Google Scholar] [CrossRef]
- Feng, X.; Zhao, Y.; Liu, S.; Wang, K.; Liu, B.; Zhang, Q.; Wang, H.; Zhao, Y.; Liu, J.; Zhang, P.; et al. Flower-like hollow Ni0.5/xMgO-Al2O3 catalysts with excellent stability for dry reforming of methane: The role of Mg addition. Fuel 2024, 358, 130029. [Google Scholar] [CrossRef]
- Taira, K. Dry reforming reactions of CH4 over CeO2/MgO catalysts at high concentrations of H2S, and behavior of CO2 at the CeO2-MgO interface. J. Catal. 2022, 407, 29–43. [Google Scholar]
- Georgiadis, A.G.; Charisiou, N.D.; Goula, M.A. A mini-review on lanthanum–nickel-based perovskite-derived catalysts for hydrogen production via the dry reforming of methane (DRM). Catalysts 2023, 13, 1357. [Google Scholar] [CrossRef]
- Georgiadis, A.G.; Siakavelas, G.I.; Tsiotsias, A.I.; Charisiou, N.D.; Ehrhardt, B.; Wang, W.; Sebastian, V.; Hinder, S.J.; Baker, M.A.; Mascotto, S.; et al. Biogas dry reforming over Ni/LnOx-type catalysts (Ln = La, Ce, Sm or Pr). Int. J. Hydrogen Energy 2023, 48, 19953–19971. [Google Scholar] [CrossRef]
- Niu, J.; Liu, H.; Jin, Y.; Fan, B.; Qi, W.; Ran, J. A density functional theory study of methane activation on MgO supported Ni9M1 cluster: Role of M on C-H activation. Front. Chem. Sci. Eng. 2022, 16, 1485–1492. [Google Scholar] [CrossRef]
- Su, H.; Li, Y.; Li, P.; Chen, Y.; Zhang, Z.; Fang, X. Simultaneous recovery of carbon and sulfur resources from reduction of CO2 with H2S using catalysts. J. Energy Chem. 2016, 25, 110–116. [Google Scholar] [CrossRef]
- Wang, H.; Wu, J.; Xiao, Z.; Ma, Z.; Li, P.; Zhang, X.; Li, H.; Fang, X. Sulfidation of MoO3/γ-Al2O3 towards a highly efficient catalyst for CH4 reforming with H2S. Catal. Sci. Technol. 2021, 11, 1125–1140. [Google Scholar] [CrossRef]
- Taifan, W.; Baltrusaitis, J. Minireview: Direct catalytic conversion of sour natural gas (CH4 + H2S + CO2) components to high value chemicals and fuels. Catal. Sci. Technol. 2017, 7, 2919–2929. [Google Scholar] [CrossRef]
- Spatolisano, E.; de Guido, G.; Pellegrini, L.A.; Calemma, V.; de Angelis, A.R.; Nali, M. Hydrogen sulphide to hydrogen via H2S methane reformation: Thermodynamics and process scheme assessment. Int. J. Hydrogen Energy. 2022, 47, 15612–15623. [Google Scholar] [CrossRef]
- Hu, Y.H.; Ruckenstein, E. An optimum NiO content in the CO2 reforming of CH4 with NiO/MgO solid solution catalysts. Catal. Lett. 1996, 36, 145–149. [Google Scholar] [CrossRef]
- Jiang, S.P.; Lu, Y.; Wang, S.P.; Zhao, Y.J.; Ma, X.B. Insight into the reaction mechanism of CO2 activation for CH4 reforming over NiO-MgO: A combination of DRIFTS and DFT study. Appli. Surf. Sci. 2017, 416, 59–68. [Google Scholar] [CrossRef]
- Zhang, T.T.; Liu, Z.X.; Zhu, Y.A.; Liu, Z.C.; Sui, Z.J.; Zhu, K.K.; Zhou, X.G. Dry reforming of methane on Ni-Fe-MgO catalysts: Influence of Fe on carbon-resistant property and kinetics. Appl. Catal. B Environ. 2020, 264, 118497. [Google Scholar] [CrossRef]
- Ahadzadeh, M.; Alavi, S.M.; Rezaei, M.; Akbari, E. Propane dry reforming over highly active NiO-MgO solid solution catalyst for synthesis gas production. Mol. Catal. 2022, 524, 112325. [Google Scholar] [CrossRef]
- Wang, Y.; Chen, X.M.; Shi, H.; Lercher, J.A. Catalytic reforming of methane with H2S via dynamically stabilized sulfur on transition metal oxides and sulfides. Nat. Catal. 2023, 6, 204–214. [Google Scholar] [CrossRef]
- Wang, Y.; Zhao, W.R.; Chen, X.F.; Ji, Y.J.; Zhu, X.L.; Chen, X.M.; Mei, D.H.; Shi, H.; Lercher, J.A. Methane-H2S reforming catalyzed by carbon and metal sulfide stabilized sulfur dimers. J. Am. Chem. Soc. 2024, 146, 8630–8640. [Google Scholar] [CrossRef]
- Zheng, C.; Zhao, H. Exploring the microscopic reaction mechanism of H2S and COS with CuO oxygen carrier in chemical looping combustion. Fuel Process. Technol. 2020, 205, 106431. [Google Scholar] [CrossRef]
- Pereñíguez, R.; González-DelaCruz, V.M.; Holgado, J.P.; Caballero, A. Synthesis and characterization of a LaNiO3 perovskite as precursor for methane reforming reactions catalysts. Appl. Catal. B Environ. 2010, 93, 346–353. [Google Scholar] [CrossRef]








| Gas Field | CO2 (vol%) | H2S (vol%) | Country |
|---|---|---|---|
| East Crossfield | 12.0 | 36.0 | Canada |
| BEC | 40.0 | 21.0 | America |
| Lacq | 9.3 | 15.6 | France |
| Zechstein | 20.0–50.0 | 15.0–20.0 | Germany |
| Astrakhan | 15.0 | 25.0 | Russia |
| Puguang | 8.6 | 15.2 | China |
| No. | Reaction Equation | ΔH(1073.15 K)/kJ·mol−1 | ΔG(1073.15 K)/kJ·mol−1 |
|---|---|---|---|
| (1) | CO2 + H2S ↔ H2O + COS | 34.4 | 31.6 |
| (2) | CH4 + 2H2S ↔ 4H2 + CS2 | 261.0 | 29.6 |
| (3) | H2S ↔ H2 + 1/2S2 | 90.3 | 37.5 |
| (4) | CO2 + CH4 ↔ 2H2 + 2CO | 260.4 | −45.0 |
| (5) | CO2 + H2 ↔ H2O + CO | 34.0 | 0.7 |
| Catalyst Sample | CO2 Conversion (%) | CH4 Conversion (%) | H2S Conversion (%) | CO Molar Yield (%) | H2 Molar Yield (%) |
|---|---|---|---|---|---|
| MgO | 36.30 | 19.39 | 8.52 | 24.72 | 10.07 |
| Pristine NiO/MgO | 42.10 | 26.86 | 8.03 | 33.10 | 16.93 |
| Reduced NiO/MgO | 34.76 | 19.03 | 7.39 | 25.33 | 10.85 |
| Reduced LaNiO3 | 28.86 | 15.38 | 9.06 | 18.88 | 6.71 |
| Catalyst Sample | Specific Surface Area/m2·g−1 | Pore Volume/cm3·g−1 | Average Pore Diameter/nm |
|---|---|---|---|
| MgO | 16.20 | 0.055 | 13.7 |
| Used MgO | 15.66 | 0.047 | 11.9 |
| Pristine NiO/MgO | 40.12 | 0.30 | 30.3 |
| Used NiO/MgO | 45.67 | 0.46 | 40.5 |
| Reduced NiO/MgO | 43.28 | 0.40 | 35.5 |
| Used reduced NiO/MgO | 42.10 | 0.37 | 35.0 |
| Pristine LaNiO3 | 4.21 | 0.025 | 24.0 |
| Used reduced LaNiO3 | 3.28 | 0.017 | 20.3 |
Disclaimer/Publisher’s Note: The statements, opinions and data contained in all publications are solely those of the individual author(s) and contributor(s) and not of MDPI and/or the editor(s). MDPI and/or the editor(s) disclaim responsibility for any injury to people or property resulting from any ideas, methods, instructions or products referred to in the content. |
© 2024 by the authors. Licensee MDPI, Basel, Switzerland. This article is an open access article distributed under the terms and conditions of the Creative Commons Attribution (CC BY) license (https://creativecommons.org/licenses/by/4.0/).
Share and Cite
Ni, H.; Jia, X.; Yu, L.; Li, Y.; Li, P. Promotion Effect of H2S at High Concentrations on Catalytic Dry Reforming of Methane in Sour Natural Gas. Catalysts 2024, 14, 352. https://doi.org/10.3390/catal14060352
Ni H, Jia X, Yu L, Li Y, Li P. Promotion Effect of H2S at High Concentrations on Catalytic Dry Reforming of Methane in Sour Natural Gas. Catalysts. 2024; 14(6):352. https://doi.org/10.3390/catal14060352
Chicago/Turabian StyleNi, Hengchang, Xiaoyu Jia, Li Yu, Yuyang Li, and Ping Li. 2024. "Promotion Effect of H2S at High Concentrations on Catalytic Dry Reforming of Methane in Sour Natural Gas" Catalysts 14, no. 6: 352. https://doi.org/10.3390/catal14060352
APA StyleNi, H., Jia, X., Yu, L., Li, Y., & Li, P. (2024). Promotion Effect of H2S at High Concentrations on Catalytic Dry Reforming of Methane in Sour Natural Gas. Catalysts, 14(6), 352. https://doi.org/10.3390/catal14060352

