A Novel SnO2/ZnFe2O4 Magnetic Photocatalyst with Excellent Photocatalytic Performance in Rhodamine B Removal
Abstract
1. Introduction
2. Results and Discussion
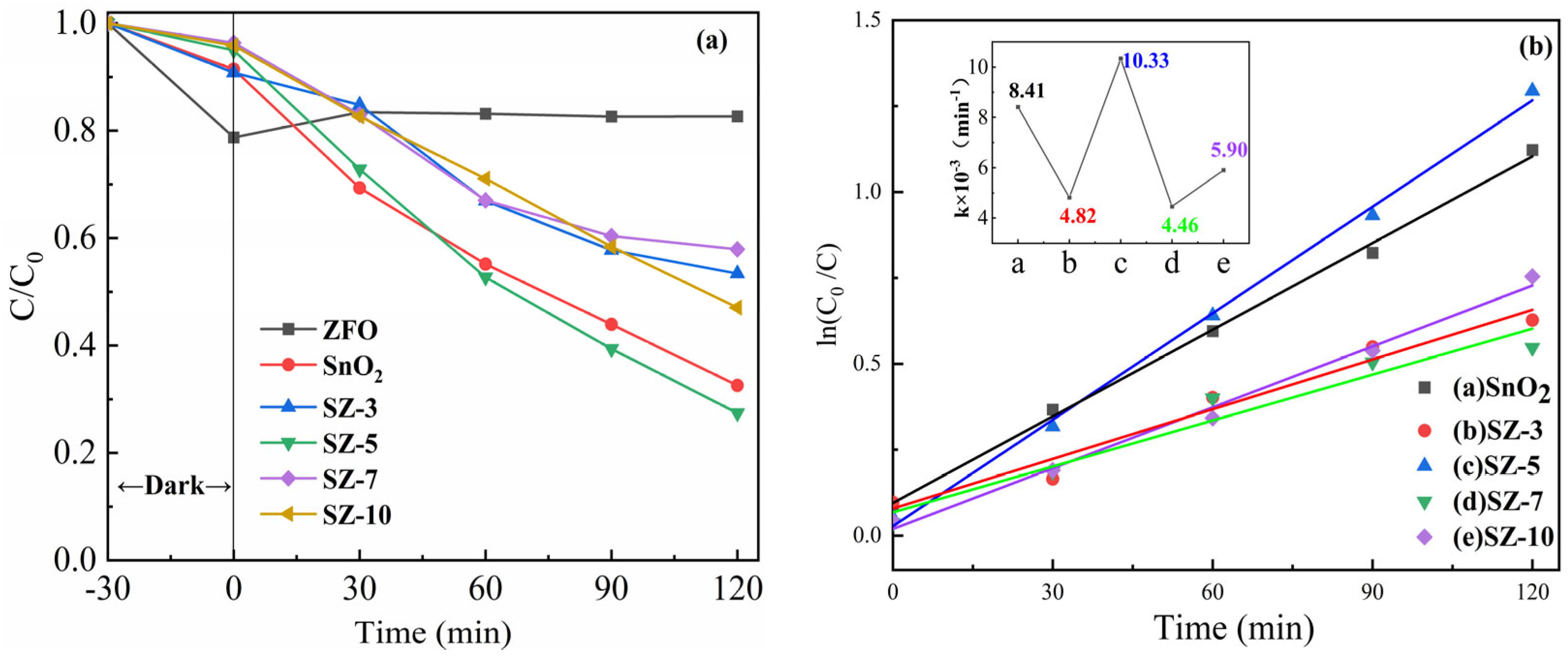
2.1. Photocatalytic Performance
2.2. Structural Characterization
2.3. Photoelectronic Property Characterization
2.4. Magnetic Property Analysis
2.5. Photocatalytic Mechanism
3. Materials and Methods
3.1. Sample Preparation
3.2. Structural Characterization
3.3. Photocatalytic Activity Test
4. Conclusions
Author Contributions
Funding
Data Availability Statement
Conflicts of Interest
References
- Li, Z.; Meng, X.; Zhang, Z. Equilibrium and kinetic modelling of adsorption of Rhodamine B on MoS2. Mater. Res. Bull. 2019, 111, 238–244. [Google Scholar] [CrossRef]
- Liang, B.; Yao, Q.; Cheng, H.; Gao, S.; Kong, F.; Cui, D.; Guo, Y.; Ren, N.; Lee, D.J.; Wang, A. Enhanced degradation of azo dye alizarin yellow R in a combined process of iron-carbon microelectrolysis and aerobic bio-contact oxidation. Environ. Sci. Pollut. Res. Int. 2012, 19, 1385–1391. [Google Scholar] [CrossRef] [PubMed]
- Kleineidam, S.; Schüth, C.; Grathwohl, P. Solubility-normalized combined adsorption-partitioning sorption isotherms for organic pollutants. Environ. Sci. Technol. 2002, 36, 4689–4697. [Google Scholar] [CrossRef] [PubMed]
- Sun, J.; Li, X.; Quan, Y.; Yin, Y.; Zheng, S. Effect of long-term organic removal on ion exchange properties and performance during sewage tertiary treatment by conventional anion exchange resins. Chemosphere 2015, 136, 181–189. [Google Scholar] [CrossRef] [PubMed]
- Saiyad, M.; Shah, N.; Joshipura, M.; Dwivedi, A.; Pillai, S. Modified biopolymers in wastewater treatment: A review. Mater. Today Proc. 2024, in press. [Google Scholar] [CrossRef]
- Hong, W.; Li, C.; Tang, T.; Xu, H.; Yu, Y.; Liu, G.; Wang, F.; Lei, C.; Zhu, H. The photocatalytic activity of the SnO2/TiO2/PVDF composite membrane in rhodamine B degradation. New J. Chem. 2021, 45, 2631–2642. [Google Scholar] [CrossRef]
- Ravelli, D.; Dondi, D.; Fagnoni, M.; Albini, A. Photocatalysis. A multi-faceted concept for green chemistry. Chem. Soc. Rev. 2009, 38, 1999–2011. [Google Scholar] [CrossRef] [PubMed]
- Feng, Q.; Zhang, Q.; Meng, L.; Liu, C.; Gong, S.; Zhang, R.; Ma, J.; Xu, L. A novel magnetic photocatalyst BiOBr/BiOCl/MnxZn1−xFe2O4: Highly photocatalytic activity and excellent stability. J. Sol-Gel Sci. Technol. 2023, 108, 490–501. [Google Scholar] [CrossRef]
- Xue, J.; Liu, K.; Liu, B.; Dai, B.; Yang, L.; Han, J.; Zhu, J. Modulation of carrier transport in bipolar response BDD/SnO2 p+-n heterojunction UV photodetectors. Appl. Surf. Sci. 2023, 640, 158246. [Google Scholar] [CrossRef]
- Paek, S.-M.; Yoo, E.; Honma, I. Enhanced Cyclic Performance and Lithium Storage Capacity of SnO2/Graphene Nanoporous Electrodes with Three-Dimensionally Delaminated Flexible Structure. Nano Lett. 2009, 9, 72–75. [Google Scholar] [CrossRef]
- Jiang, Z.; Xiao, C.; Yin, X.; Xu, L.; Liu, C.; Wang, H. Facile preparation of a novel Bi24O31Br10/nano-ZnO composite photocatalyst with enhanced visible light photocatalytic ability. Ceram. Int. 2020, 46, 10771–10778. [Google Scholar] [CrossRef]
- Maruthupandy, M.; Muneeswaran, T.; Chackaravarthi, G.; Vennila, T.; Anand, M.; Cho, W.-S.; Quero, F. Synthesis of chitosan/SnO2 nanocomposites by chemical precipitation for enhanced visible light photocatalytic degradation efficiency of congo red and rhodamine-B dye molecules. J. Photochem. Photobiol. A Chem. 2022, 430, 113972. [Google Scholar] [CrossRef]
- Wang, S.; Li, G.; Leng, Z.; Wang, Y.; Fang, S.; Wang, J.; Wei, Y.; Li, L. Systematic optimization of promoters in trace SnS2 coating SnO2 nano-heterostructure for high performance Cr(VI) photoreduction. Appl. Surf. Sci. 2019, 471, 813–821. [Google Scholar] [CrossRef]
- Law, M.; Kind, H.; Messer, B.; Kim, F.; Yang, P.D. Photochemical sensing of NO2 with SnO2 nanoribbon nanosensors at room temperature. Angew. Chem. Int. Ed. 2002, 41, 2405–2408. [Google Scholar] [CrossRef]
- Hossain, M.A.; Jennings, J.R.; Koh, Z.Y.; Wang, Q. Carrier Generation and Collection in CdS/CdSe-Sensitized SnO2 Solar Cells Exhibiting Unprecedented Photocurrent Densities. ACS Nano 2011, 5, 3172–3181. [Google Scholar] [CrossRef] [PubMed]
- Goebbert, C.; Aegerter, M.A.; Burgard, D.; Nass, R.; Schmidt, H. Ultrafiltration conducting membranes and coatings from redispersable, nanoscaled, crystalline SnO2:Sb particles. J. Mater. Chem. 1999, 9, 253–258. [Google Scholar] [CrossRef]
- Ahmed, S.; Rasul, M.G.; Martens, W.N.; Brown, R.; Hashib, M.A. Advances in Heterogeneous Photocatalytic Degradation of Phenols and Dyes in Wastewater: A Review. Water Air Soil Pollut. 2011, 215, 3–29. [Google Scholar] [CrossRef]
- Sayadi, M.H.; Ghollasimood, S.; Ahmadpour, N.; Homaeigohar, S. Biosynthesis of the ZnO/SnO2 nanoparticles and characterization of their photocatalytic potential for removal of organic water pollutants. J. Photochem. Photobiol. A-Chem. 2022, 425, 113662. [Google Scholar] [CrossRef]
- Etacheri, V.; Di Valentin, C.; Schneider, J.; Bahnemann, D.; Pillai, S.C. Visible-light activation of TiO2 photocatalysts: Advances in theory and experiments. J. Photochem. Photobiol. C-Photochem. Rev. 2015, 25, 1–29. [Google Scholar] [CrossRef]
- Wu, W.; Jiang, C.; Roy, V.A.L. Recent progress in magnetic iron oxide-semiconductor composite nanomaterials as promising photocatalysts. Nanoscale 2015, 7, 38–58. [Google Scholar] [CrossRef]
- Chu, L.; Zhang, J.; Wu, Z.; Wang, C.; Sun, Y.; Dong, S.; Sun, J. Solar-driven photocatalytic removal of organic pollutants over direct Z-scheme coral-branch shape Bi2O3/SnO2 composites. Mater. Charact. 2020, 159, 110036. [Google Scholar] [CrossRef]
- Zhang, Q.; Yang, Z.; Zhang, R.; Hao, Y.; Xu, L.; Liu, C. A novel recyclable BiOCl/BiOI/MnxZn1-xFe2O4 photocatalyst with enhanced Rhodamine B removal under visible light. J. Phys. Chem. Solids 2022, 170, 110892. [Google Scholar] [CrossRef]
- Ma, C.M.; Hong, G.B.; Wang, Y.K. Performance Evaluation and Optimization of Dyes Removal using Rice Bran-Based Magnetic Composite Adsorbent. Materials 2020, 13, 2764. [Google Scholar] [CrossRef]
- Kang, Z.; Liu, X.; Tan, W.; Wang, J.; Zhang, R.; Feng, Q.; Xu, L. Facile construction novel SnO2/NiFe2O4 Z-scheme heterojunctions with largely enhanced photocatalytic activities. J. Sol-Gel Sci. Technol. 2023, 109, 449–460. [Google Scholar] [CrossRef]
- Sonu; Sharma, S.; Dutta, V.; Raizada, P.; Hosseini-Bandegharaei, A.; Thakur, V.; Nguyen, V.-H.; VanLe, Q.; Singh, P. An overview of heterojunctioned ZnFe2O4 photocatalyst for enhanced oxidative water purification. J. Environ. Chem. Eng. 2021, 9, 105812. [Google Scholar] [CrossRef]
- Ren, X.; Chen, R.; Ding, S.; Fu, N. Preparation and photocatalytic performance of a magnetically recyclable ZnFe2O4@TiO2@Ag2O p-n/Z-type tandem heterojunction photocatalyst: Degradation pathway and mechanism. Colloids Surf. A Physicochem. Eng. Asp. 2023, 658, 130604. [Google Scholar] [CrossRef]
- Gao, F.; Guo, X.; Cui, H.; Wang, J.; Liu, J.; Wu, Y.; Wan, L.; Zhang, C.; Xu, G. Preparation of magnetic ZnFe2O4 nanosphere photocatalyst for high concentration ammonia nitrogen wastewater treatment. J. Environ. Chem. Eng. 2023, 11, 110894. [Google Scholar] [CrossRef]
- Chen, R.; Ding, S.; Wang, B.; Ren, X. Preparation of ZnFe2O4@TiO2 Novel Core-Shell Photocatalyst by Ultrasonic Method and Its Photocatalytic Degradation Activity. Coatings 2022, 12, 1407. [Google Scholar] [CrossRef]
- Zhang, J.; Kuang, M.; Cao, Y.; Ji, Z. Environment-friendly ternary ZnO/ZnFe2O4/TiO2 composite photocatalyst with synergistic enhanced photocatalytic activity under visible-light irradiation. Solid State Sci. 2022, 129, 106913. [Google Scholar] [CrossRef]
- Huerta-Aguilar, C.A.; Diaz-Puerto, Z.J.; Tecuapa-Flores, E.D.; Thangarasu, P. Crystal Plane Impact of ZnFe2O4-Ag Nanoparticles Influencing Photocatalytical and Antibacterial Properties: Experimental and Theoretical Studies. ACS Omega 2022, 7, 33985–34001. [Google Scholar] [CrossRef]
- Alzahrani, F.M.A.; Anwar, M.; Farooq, A.; Alrowaili, Z.A.; Al-Buriahi, M.S.; Warsi, M.F. A new BiOCl–ZnFe2O4/CNTs ternary composite for remarkable photocatalytic degradation studies of a herbicide and a diazo dye. Opt. Mater. 2024, 148, 114876. [Google Scholar] [CrossRef]
- Said, M.; Rizki, W.T.; Asri, W.R.; Desnelli, D.; Rachmat, A.; Hariani, P.L. SnO2-Fe3O4 nanocomposites for the photodegradation of the Congo red dye. Heliyon 2022, 8, e09204. [Google Scholar] [CrossRef] [PubMed]
- Li, Y.; Li, L.; Hu, J.; Yan, L. A spray pyrolysis synthesis of MnFe2O4/SnO2 yolk/shell composites for magnetically recyclable photocatalyst. Mater. Lett. 2017, 199, 135–138. [Google Scholar] [CrossRef]
- Liu, X.Y.; Shu, J.H.; Wang, H.Y.; Jiang, Z.; Xu, L.J.; Liu, C.L. One-pot preparation of a novel CoWO4ZnWO4 p-n heterojunction photocatalyst for enhanced photocatalytic activity under visible light irradiation. J. Phys. Chem. Solids 2023, 172, 8. [Google Scholar] [CrossRef]
- Jiang, Z.; Hao, Y.; Wu, T.Z.; Xu, L.J.; Liu, C.L.; Liu, X.Y. Carbon-coated MnxZn1-x Fe2O4 as a magnetic substrate for Zn0.8 Cd0.2S applied in photocatalytic rhodamine B. Opt. Mater. 2021, 112, 9. [Google Scholar] [CrossRef]
- Soltani, N.; Tavakkoli, N.; Eslami, E.; Mirmohammadi, L.S. Electrochemical measurement of naproxen in the presence of diclofenac and ascorbic acid using Gr/ZnFe2O4/CPE. Diam. Relat. Mater. 2024, 141, 110569. [Google Scholar] [CrossRef]
- Davis, M.; Hung-Low, F.; Hikal, W.; Hope-Weeks, L. Enhanced photocatalytic performance of Fe-doped SnO2 nanoarchitectures under UV irradiation: Synthesis and activity. J. Mater. Sci. 2013, 48, 6404–6409. [Google Scholar] [CrossRef]
- Huang, M.; Li, J.; Huang, Y.; Zhou, X.; Qin, Z.; Tong, Z.; Fan, M.; Li, B.; Dong, L. Construction of g-C3N4 based heterojunction photocatalyst by coupling TiO2-SnO2 solid solution for efficient multipurpose photocatalysis. J. Alloys Compd. 2021, 864, 158132. [Google Scholar] [CrossRef]
- Pascariu, P.; Airinei, A.; Olaru, N.; Olaru, L.; Nica, V. Photocatalytic degradation of Rhodamine B dye using ZnO–SnO2 electrospun ceramic nanofibers. Ceram. Int. 2016, 42, 6775–6781. [Google Scholar] [CrossRef]
- Lys, A.; Zabolotnii, V.; Čaplovičová, M.; Tepliakova, I.; Berzins, A.; Sahul, M.; Čaplovič, Ľ.; Pogrebnjak, A.; Iatsunskyi, I.; Viter, R. Core-shell nanofibers of ZnFe2O4/ZnO for enhanced visible-light photoelectrochemical performance. J. Alloys Compd. 2024, 984, 173885. [Google Scholar] [CrossRef]
- Ravichandran, D.; Abdullah, M.M.S.; Vasanthakumar, V.; Ranjith, R.; Suganya, S.; Meena, R.; Murugesan, S. Ulva lactuca L. extract bio-templated fabrication of CuO/ZnFe2O4 nanocomposites for photodegradation organic dye pollutants and in vitro biological activities. Colloids Surf. A Physicochem. Eng. Asp. 2024, 689, 133701. [Google Scholar]
- Luque, P.A.; Garrafa-Gálvez, H.E.; Nava, O.; Olivas, A.; Martínez-Rosas, M.E.; Vilchis-Nestor, A.R.; Villegas-Fuentes, A.; Chinchillas-Chinchillas, M.J. Efficient sunlight and UV photocatalytic degradation of Methyl Orange, Methylene Blue and Rhodamine B, using Citrus×paradisi synthesized SnO2 semiconductor nanoparticles. Ceram. Int. 2021, 47, 23861–23874. [Google Scholar] [CrossRef]
- Sreekanth, T.V.M.; Prasad, K.; Yoo, J.; Kim, J.; Yoo, K. CuO-SnO2 nanocomposites: Efficient and cost-effective electrocatalysts for urea oxidation. Mater. Lett. 2023, 353, 135243. [Google Scholar] [CrossRef]
- Babu, B.; Koutavarapu, R.; Shim, J.; Yoo, K. SnO2 quantum dots decorated NiFe2O4 nanoplates: 0D/2D heterojunction for enhanced visible-light-driven photocatalysis. Mater. Sci. Semicond. Process. 2020, 107, 104834. [Google Scholar] [CrossRef]
- Uddin, M.T.; Nicolas, Y.; Olivier, C.; Toupance, T.; Servant, L.; Mueller, M.M.; Kleebe, H.-J.; Ziegler, J.; Jaegermann, W. Nanostructured SnO2-ZnO Heterojunction Photocatalysts Showing Enhanced Photocatalytic Activity for the Degradation of Organic Dyes. Inorg. Chem. 2012, 51, 7764–7773. [Google Scholar] [CrossRef] [PubMed]
- Fan, G.; Gu, Z.; Yang, L.; Li, F. Nanocrystalline zinc ferrite photocatalysts formed using the colloid mill and hydrothermal technique. Chem. Eng. J. 2009, 155, 534–541. [Google Scholar] [CrossRef]
- Lv, H.; Ma, L.; Zeng, P.; Ke, D.; Peng, T. Synthesis of floriated ZnFe2O4 with porous nanorod structures and its photocatalytic hydrogen production under visible light. J. Mater. Chem. 2010, 20, 3665–3672. [Google Scholar] [CrossRef]
- Yang, Z.; Chen, Y.; Xu, L.; Liu, C.; Jiang, Z. A novel Z-scheme Bi4O5I2/NiFe2O4 heterojunction photocatalyst with reliable recyclability for Rhodamine B degradation. Adv. Powder Technol. 2021, 32, 4522–4532. [Google Scholar] [CrossRef]
- Wei, Y.; Zhu, Q.; Xie, W.; Wang, X.; Li, S.; Chen, Z. Biocatalytic enhancement of laccase immobilized on ZnFe2O4 nanoparticles and its application for degradation of textile dyes. Chin. J. Chem. Eng. 2024, 68, 216–223. [Google Scholar] [CrossRef]
- Zheng, X.; Yuan, J.; Shen, J.; Liang, J.; Che, J.; Tang, B.; He, G.; Chen, H. A carnation-like rGO/Bi2O2CO3/BiOCl composite: Efficient photocatalyst for the degradation of ciprofloxacin. J. Mater. Sci. Mater. Electron. 2019, 30, 5986–5994. [Google Scholar] [CrossRef]
- Jones, W.; Martin, D.J.; Caravaca, A.; Beale, A.M.; Bowker, M.; Maschmeyer, T.; Hartley, G.; Masters, A. A comparison of photocatalytic reforming reactions of methanol and triethanolamine with Pd supported on titania and graphitic carbon nitride. Appl. Catal. B Environ. 2019, 240, 373–379. [Google Scholar] [CrossRef]
- Zhang, X.; Sun, R.; Sun, S.; Ren, F.; Chen, X.; Wu, L.; Xing, R. Metal-Free Organic Optoelectronic Molecule as a Highly Efficient Photocatalyst for the Degradation of Organic Pollutants. ACS Omega 2019, 4, 6068–6076. [Google Scholar] [CrossRef] [PubMed]
- Zhang, R.; Liu, X.; Hao, Y.; Su, H.; Jiang, Z.; Xu, L.; Liu, C. A novel magnetic photocatalyst SnO2/SrFe12O19 applied in degradation for Rhodamine B. Int. J. Hydrog. Energy 2023, 48, 39360–39372. [Google Scholar] [CrossRef]
- Jiang, Z.; Yang, Z.; Shu, J.; Xu, L.; Liu, C.; Liu, X.; Zhang, T. Zn0.5Cd0.5S nanoparticle modified 2D BiOCl as solid-state Z-scheme photocatalyst for enhanced rhodamine B removal. Colloids Surf. A-Physicochem. Eng. Asp. 2022, 644, 128898. [Google Scholar] [CrossRef]
- Chang, N.; Chen, Y.-R.; Xie, F.; Liu, Y.-P.; Wang, H.-T. Facile construction of Z-scheme AgCl/Ag-doped-ZIF-8 heterojunction with narrow band gaps for efficient visible-light photocatalysis. Colloids Surf. A-Physicochem. Eng. Asp. 2021, 616, 126351. [Google Scholar] [CrossRef]
- Tian, J.; Wei, L.; Ren, Z.; Lu, J.; Ma, J. The facile fabrication of Z-scheme Bi2WO6-P25 heterojunction with enhanced photodegradation of antibiotics under visible light. J. Environ. Chem. Eng. 2021, 9, 106167. [Google Scholar] [CrossRef]
- Zhong, Z.; Xia, X.; Yang, X.; Li, N.; He, J.; Chen, D.; Gu, P.; Xu, Q.; Lu, J. Metal-free modification of porphyrin-based porous organic polymers for effective photocatalytic degradation of bisphenol A in water. Sep. Purif. Technol. 2022, 301, 121981. [Google Scholar] [CrossRef]
- Kuila, A.; Saravanan, P.; Bahnemann, D.; Wang, C. Novel Ag decorated, BiOCl surface doped AgVO3 nanobelt ternary composite with Z-scheme homojunction-heterojunction interface for high prolific photo switching, quantum efficiency and hole mediated photocatalysis. Appl. Catal. B Environ. 2021, 293, 120224. [Google Scholar] [CrossRef]













| Catalyst | Substrate (Concentration) | Degradation Time | Degradation Rate (%) | References |
|---|---|---|---|---|
| Fe/SnO2 | RhB (10 mg/L) | 120 min | 55 | [37] |
| g-C3N4@TiO2-SnO2 | RhB (10 mg/L) | 120 min | 76 | [38] |
| ZnO/SnO2 | RhB (5 mg/L) | 360 min | 49 | [39] |
| SnO2/ZnFe2O4 | RhB (5 mg/L) | 120 min | 72.6 | This paper |
| Element | O | Fe | Zn | Sn |
|---|---|---|---|---|
| Wt (%) | 29.4 | 1.7 | 1.4 | 67.5 |
| At (%) | 74.7 | 1.3 | 0.9 | 23.2 |
Disclaimer/Publisher’s Note: The statements, opinions and data contained in all publications are solely those of the individual author(s) and contributor(s) and not of MDPI and/or the editor(s). MDPI and/or the editor(s) disclaim responsibility for any injury to people or property resulting from any ideas, methods, instructions or products referred to in the content. |
© 2024 by the authors. Licensee MDPI, Basel, Switzerland. This article is an open access article distributed under the terms and conditions of the Creative Commons Attribution (CC BY) license (https://creativecommons.org/licenses/by/4.0/).
Share and Cite
Hao, Y.; Xiao, Y.; Liu, X.; Ma, J.; Lu, Y.; Chang, Z.; Luo, D.; Li, L.; Feng, Q.; Xu, L.; et al. A Novel SnO2/ZnFe2O4 Magnetic Photocatalyst with Excellent Photocatalytic Performance in Rhodamine B Removal. Catalysts 2024, 14, 350. https://doi.org/10.3390/catal14060350
Hao Y, Xiao Y, Liu X, Ma J, Lu Y, Chang Z, Luo D, Li L, Feng Q, Xu L, et al. A Novel SnO2/ZnFe2O4 Magnetic Photocatalyst with Excellent Photocatalytic Performance in Rhodamine B Removal. Catalysts. 2024; 14(6):350. https://doi.org/10.3390/catal14060350
Chicago/Turabian StyleHao, Yu, Yi Xiao, Xiuzhu Liu, Jiawei Ma, Yuan Lu, Ziang Chang, Dayong Luo, Lin Li, Qi Feng, Longjun Xu, and et al. 2024. "A Novel SnO2/ZnFe2O4 Magnetic Photocatalyst with Excellent Photocatalytic Performance in Rhodamine B Removal" Catalysts 14, no. 6: 350. https://doi.org/10.3390/catal14060350
APA StyleHao, Y., Xiao, Y., Liu, X., Ma, J., Lu, Y., Chang, Z., Luo, D., Li, L., Feng, Q., Xu, L., & Huang, Y. (2024). A Novel SnO2/ZnFe2O4 Magnetic Photocatalyst with Excellent Photocatalytic Performance in Rhodamine B Removal. Catalysts, 14(6), 350. https://doi.org/10.3390/catal14060350

