Anionic Rhodium Complexes as Very Active Catalysts for Hydro-Silylation Reactions
Abstract
1. Introduction
2. Results and Discussion
2.1. Synthesis of Anionic Rhodium(III) Complexes
2.2. Crystal Structures of Salts [BMPip][RhCl4]
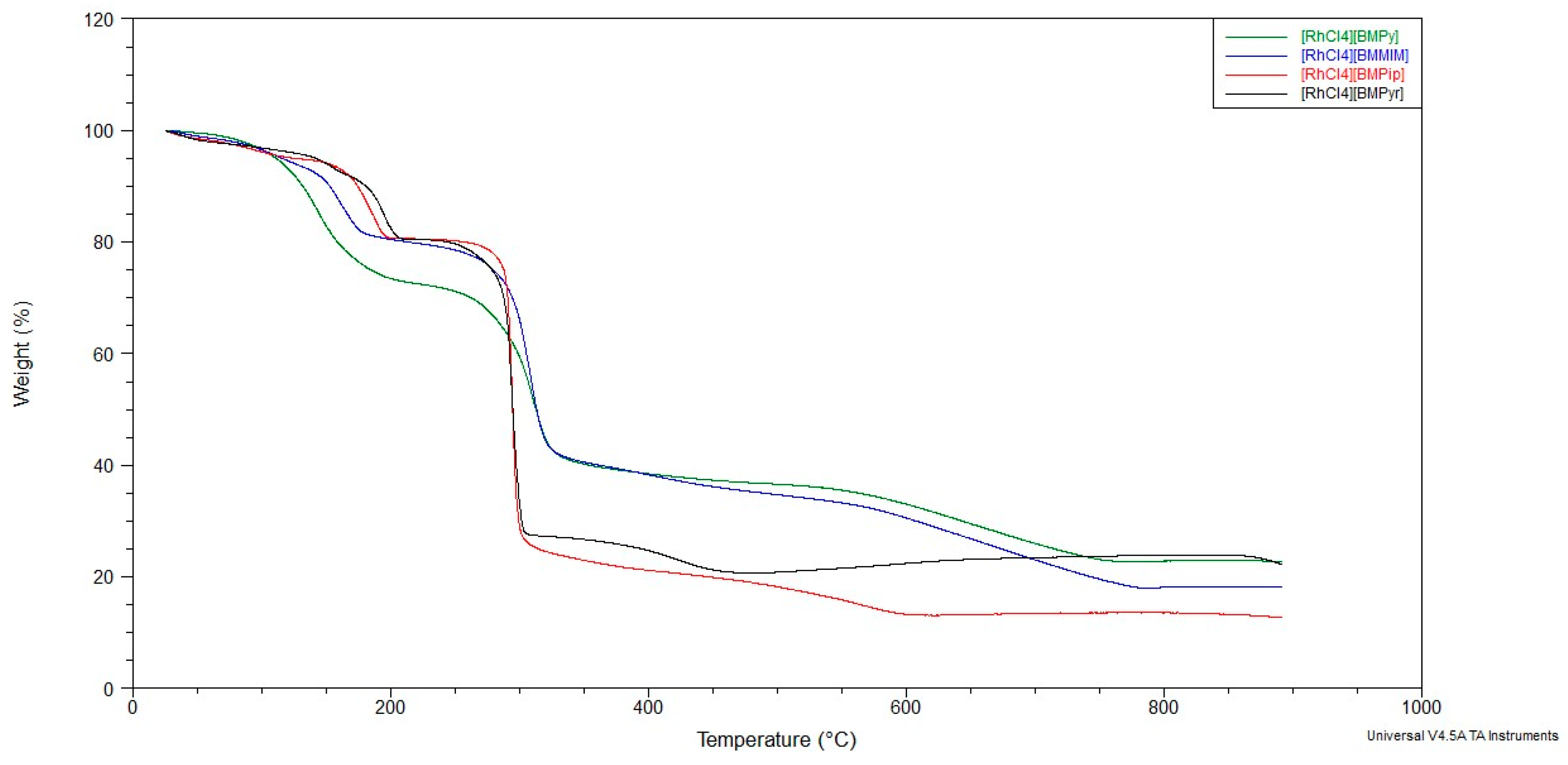
2.3. Melting Points and Thermal Stability of the Obtained Compounds
2.4. Catalysis
3. Materials and Methods
3.1. Materials
3.2. Techniques
3.2.1. GC Analysis
3.2.2. NMR Analysis
3.2.3. ICP-MS Analysis
3.2.4. ESI-MS Analysis
3.2.5. TGA
3.2.6. FT-IR Analysis
3.2.7. Melting Point
3.3. X-Ray Crystallography
3.4. Synthesis and Characterization of Rhodium Complexes
3.4.1. 1-Butyl-4-methylpyridinium Tetrachlororhodate (III) [BMPy][RhCl4]
3.4.2. 1-Butyl-2,3-Dimethylimidazolium Tetrachlororhodate (III) [BMMIM][RhCl4]
3.4.3. 1-Butyl-1-Methylpiperidinium Tetrachlororhodate (III) [BMPip][RhCl4]
3.4.4. 1-Butyl-1-Methylpyrrolidinium Tetrachlororhodate (III) [BMPyr][RhCl4]
3.5. General Procedure for Catalytic Tests
4. Conclusions
Supplementary Materials
Author Contributions
Funding
Data Availability Statement
Conflicts of Interest
References
- Marciniec, B.; Maciejewski, H.; Pietraszuk, C.; Pawluć, P. Hydrosilylation. A Comprehensive Review on Recent Advances; Marciniec, B., Ed.; Springer: Berlin/Heidelberg, Germany, 2009. [Google Scholar]
- Nakajima, Y.; Shimada, S. Hydrosilylation Reaction of Olefins: Recent Advances and Perspectives. RSC Adv. 2015, 5, 20603–20616. [Google Scholar] [CrossRef]
- Trogel, D.; Strohrer, J. Recent Advances and Actual Challenges in Late Transition Metal Catalyzed Hydrosilylation of Olefins from an Industrial Point of View. Coord. Chem. Rev. 2011, 255, 1440–1459. [Google Scholar] [CrossRef]
- Yang, H.; Zhou, Z.; Tang, C.; Chen, F. Recent Advances in Heterogeneous Hydrosilylation of Unsaturated Carbon-Carbon bonds. Chin. Chem. Lett. 2024, 35, 109257. [Google Scholar] [CrossRef]
- Lukin, R.Y.; Kuchkaev, A.M.; Sukhov, A.V.; Bekmukhamedov, G.E.; Yakhvarov, D.G. Platinum-Catalyzed Hydrosilylation in Polymer Chemistry. Polymers 2020, 12, 2174. [Google Scholar] [CrossRef]
- Hoffmann, R.J.; Vlathovic, M.; Wiesbrock, F. Fifty Years of Hydrosilylation in Polymer Science: A Review of Current Trends of Low-Cost Transition-Metal and Metal-Free Catalysts, Non-Thermally Triggered Hydrosilylation Reactions and Industrial Applications. Polymers 2017, 9, 534. [Google Scholar] [CrossRef]
- Li, Z.; Wang, X.; Bai, H.; Cao, M. Advances in Bioinspired Superhydrophobic Surfaces Made from Silicones; Fabrication and Application. Polymers 2023, 15, 543. [Google Scholar] [CrossRef]
- Bartlewicz, O.; Dąbek, I.; Szymańska, A.; Maciejewski, H. Heterogeneous Catalysis with the Participation of Ionic Liquids. Catalysts 2020, 10, 1227. [Google Scholar] [CrossRef]
- Wasserscheid, P.; Welton, T. Ionic Liquids in Synthesis; Wiley-VCH: Weinheim, Germany, 2003. [Google Scholar]
- Adams, D.J.; Dyson, P.J.; Tavener, S.J. Chemistry in Alternative Reaction Media; Wiley: Chichester, UK, 2004. [Google Scholar]
- Singh, S.K.; Savoy, A.W. Ionic Liquids Synthesis and Applications: An Overview. J. Mol. Liq. 2020, 297, 112038–112100. [Google Scholar] [CrossRef]
- Hajipour, A.R.; Rafiee, F. Recent Progress in Ionic Liquids and Their Applications in Organic Synthesis. Org. Prep. Proced. Int. 2015, 47, 249–308. [Google Scholar] [CrossRef]
- Dyson, P.J.; Geldbach, T.J. Metal Catalysed Reaction in Ionic Liquids; Springer: Dordrecht, The Netherlands, 2005. [Google Scholar]
- Dupont, J.; Kollar, L. Ionic Liquids (ILs) in Organometallic Catalysis; Springer: Dordrecht, The Netherlands, 2015. [Google Scholar]
- Hardacre, C.; Parvulescu, V. Catalysis in Ionic Liquids in Catalysts Synthesis to Applications; RS: Cambridge, UK, 2014. [Google Scholar]
- Vekariya, R.L. A Review of Ionic Liquids: Applications Towards Catalytic Transformations. J. Mol. Liq. 2017, 227, 44–60. [Google Scholar] [CrossRef]
- van den Broeke, J.; Winter, F.; Deelman, B.-J.; van Koten, G. A Highly Fluorous Room-Temperature Ionic Liquid Exhibiting Fluorous Biphasic Behavior and Its Use in Catalyst Recycling. Org. Lett. 2002, 22, 3851–3854. [Google Scholar] [CrossRef] [PubMed]
- Weyershausen, B.; Hell, K.; Hesse, U. Industrial Application of Ionic Liquids as process aid. Green Chem. 2005, 7, 283–287. [Google Scholar] [CrossRef]
- Oliver-Bourbigou, H.; Magna, L.; Morvan, D. Ionic Liquids in Catalysis: Recent Progress from Knowledge to Applications. Appl. Catal. 2010, 373, 1–56. [Google Scholar] [CrossRef]
- Bartlewicz, O.; Szymanska, A.; Jankowska-Wajda, M.; Dąbek, I.; Maciejewski, H. Catalysis of Hydrosilylation Processes with the Participation of Ionic Liquids. Wiadomości Chem. 2021, 75, 3–29. [Google Scholar]
- Wu, C.; Peng, J.; Li, J.; Bai, Y.; Hu, Y.; Lai, G. Synthesis of (Poly(Ethylene Glycol) (PEG) Functionalized Ionic Liquids and the Application to Hydrosilylation. Cat. Comm. 2008, 10, 248–250. [Google Scholar] [CrossRef]
- Xu, Y.; Bai, Y.; Peng, J.; Li, J.; Xiao, W.; Lai, G. Hydrosilylation of Alkenes Catalyzed by Rhodium with polyethylene Glycol-based Ionic Liquids as ligands. J. Organomet. Chem. 2014, 765, 59–63. [Google Scholar] [CrossRef]
- Bai, Y.; Zhang, F.; Li, J.; Xu, Y.; Peng, J.; Xiao, W. Application of Polyethyleneglycol (PEG) Functionalized Ionic Liquids for the Rhodium-Catalyzed Hydrosilylation Reactions of Alkene. J. Organomet. Chem. 2015, 794, 65–69. [Google Scholar] [CrossRef]
- Hofmann, N.; Bauer, A.; Frey, T.; Auer, M.; Stanjek, V.; Schulz, P.S.; Taccardi, N.; Wasserscheid, P. Liquid-Liquid Biphasic, Platinum-Catalyzed Hydrosilylation of Allyl Chloride with Trichlorosilane Using an Ionic Liquid Catalyst Phase in a Continuous Loop Reactor. Adv. Synth. Catal. 2008, 350, 2599–2609. [Google Scholar] [CrossRef]
- Maciejewski, H.; Szubert, K.; Marciniec, B.; Pernak, J. Hydrosilylation of Functionalised Olefins Catalyzed by Rhodium Siloxide Complexes in Ionic Liquids. Green Chem. 2009, 11, 1045–1051. [Google Scholar] [CrossRef]
- Geldbach, T.J.; Zhao, D.; Castillo, N.C.; Laurenczy, G.; Weyershausen, B.; Dyson, P.J. Biphasic Hydrosilylation in Ionic Liquids: A Process Set for Industrial Implementation. J. Am. Chem. Soc. 2006, 128, 9773–9780. [Google Scholar] [CrossRef]
- Peng, J.; Li, J.; Bai, Y.; Qiu, H.; Jiang, K.; Jiang, J.; Lai, G. Ionic Liquid (Molten Salt): Thermoregulated Catalyst Support for Catalytic Hydrosilylation Process. Cat. Comm. 2008, 29, 2236–2238. [Google Scholar] [CrossRef]
- Aubin, S.; le Floch, F.D.; Carrie, D.; Guegan, J.P.; Vaultier, M. Transition-Metal-Catalyzed Hydrosilylation and Hydroboration of Terminal Alkynes in Ionic Liquids. In Ionic Liquids: Industrial Applications for Green Chemistry; Rogers, W.D., Seddon, K.R., Eds.; ACS: Washington, DC, USA, 2002; pp. 334–346. [Google Scholar]
- Li, J.; Peng, J.; Bai, Y.; Zhang, G.; Lai, G.; Li, X.J. Phosphines with 2-Imidazolium Ligands Enhence the Catalytic Activity and Selectivity of Rhodium Complexes for Hydrosilylation Reactions. J. Organomet. Chem. 2010, 695, 431–436. [Google Scholar] [CrossRef]
- Li, J.; Peng, J.; Wang, D.; Bai, Y.; Jiang, J.; Lai, G.J. Hydrosilylation Reactions Catalyzed by Rhodium Complexes with Phosphine Ligands Functionalized with Imidazolium Salts. J. Organomet. Chem. 2011, 696, 263–268. [Google Scholar] [CrossRef]
- Bartlewicz, O.; Jankowska-Wajda, M.; Maciejewski, H. Highly Efficient and Reusable Alkyne Hydrosilylation Catalysts Based on Rhodium Complexes Ligated by Imidazolium-Substituted Phosphine. Catalysts 2020, 10, 608. [Google Scholar] [CrossRef]
- Wilkes, J.S. A Short History of Ionic Liquids—From Molten Salts to Neoteric Solvents. Green Chem. 2002, 4, 73–80. [Google Scholar] [CrossRef]
- Jankowska-Wajda, M.; Bartlewicz, O.; Walczak, A.; Stefankiewicz, A.R. Highly Efficient Hydrosilylation Catalysts Based on Chloroplatinate “Ionic Liquids”. J. Catal. 2019, 374, 266–275. [Google Scholar] [CrossRef]
- Bartlewicz, O.; Jankowska-Wajda, M.; Maciejewski, H. New Anionic Rhodium Complexes as Catalysts for the Reduction of Acetophenone and its Derivatives. RSC Adv. 2019, 9, 711–720. [Google Scholar] [CrossRef]
- Gamage, S.N.; Morris, R.H.; Rettig, S.J.; Thackray, D.C.; Thorburn, I.S.; James, B.R. Formation of a trimethyldihydroperimidinium cation from proton sponge [1,8-bis(dimethylamino)naphthalene] during base-promoted reactions of rhodium and ruthenium complexes. J. Chem. Soc. Chem. Comm. 1987, 894–895. [Google Scholar] [CrossRef]
- Gamage, S.N.; James, B.R.; Rettig, S.J.; Trotter, J. Synthesis and structural characterization of two triclinic modifications of diethylammonium trans-tetrachlorobis(dimethylsulfoxide-S)rhodate(III), an example of hydrogen-bond acceptor structural isomerism. Can. J. Chem. 1988, 66, 1123–1128. [Google Scholar] [CrossRef]
- Ngo, H.L.; LeCompte, K.; Hargens, L.; McEwen, A.B. Thermal properties of imidazolium ionic liquids. Termochim. Acta 2000, 357–358, 97–102. [Google Scholar] [CrossRef]
- Rigaku Oxford Diffraction. CrysAlis PRO, Version 1.171.38.41. 2015.
- Sheldrick, G.M. SHELXT—Integrated space-group and crystal-structure determination. Acta Cryst. 2015, 71, 3–8. [Google Scholar] [CrossRef]
- Spek, A.L. Crystal structure refinement with SHELXL. Acta Cryst. 2015, 71, 9–18. [Google Scholar]








| Cation [Cat] | Chemical Shifts in [ppm] | |
|---|---|---|
| Starting Ionic Liquid [Cat][Cl] | Corresponding Rh Complex [Cat][RhCl4] | |
| [BMMIM] | 10.54 | 9.91 |
| [BMPy] | 10.92 | 9.91 |
| [BMPyr] | 4.11 | 3.40 |
| [BMPip] | 4.33 | 3.57 |
| Complex | Melting Point [°C] | Decomposition Temperature [°C] | Yield of Complex [%] |
|---|---|---|---|
![]() | 118 | 131.80 | 96 |
![]() | 125 | 152.73 | 91 |
![]() | 132 | 174.44 | 90 |
![]() | 134 | 180.68 | 92 |
| Catalyst | Yield of Product in Subsequent Cycle * [%] | TON | h−1 |
|---|---|---|---|
| [BMPy][RhCl4] | 96 (96, 96, 96, 96, 96, 96, 96, 96, 96) | 96,000 | 0.96 |
| [BMPip][RhCl4] | 92 (92, 92, 92, 92, 83, 83, 31, 4, 3) | 66,400 | 0.66 |
| [BMMIM][RhCl4] | 93 (93, 89, 78, 78, 72, 70, 66, 52, 50) | 74,100 | 0.74 |
| [BMPyr][RhCl4] | 88 (88, 88, 82, 82, 82, 67, 67, 43, 5) | 69,200 | 0.69 |
| Run No | Yield of Product [%] |
|---|---|
| 1–10 | 96 |
| 11–39 | 92 |
| 40–50 | 91 |
| Catalyst | Yield of Product in Subsequent Cycle * [%] | Total TON | TOF × 105 h−1 |
|---|---|---|---|
| [BMPy][RhCl4] | 83 (83, 80, 54, 41, 28, 26, 19, 15, 13) | 44,200 | 0.44 |
| [BMPip][RhCl4] | 97 (45, 44, 42, 41, 8, 2, 2, 2, 2) | 28,500 | 0.29 |
| [BMMIM][RhCl4] | 97 (97, 97, 97, 97, 97, 96, 79, 70, 70) | 89,700 | 0.90 |
| [BMPyr][RhCl4] | 78 (76, 67, 64, 63, 63, 49, 46, 46, 45) | 59,700 | 0.60 |
Disclaimer/Publisher’s Note: The statements, opinions and data contained in all publications are solely those of the individual author(s) and contributor(s) and not of MDPI and/or the editor(s). MDPI and/or the editor(s) disclaim responsibility for any injury to people or property resulting from any ideas, methods, instructions or products referred to in the content. |
© 2024 by the authors. Licensee MDPI, Basel, Switzerland. This article is an open access article distributed under the terms and conditions of the Creative Commons Attribution (CC BY) license (https://creativecommons.org/licenses/by/4.0/).
Share and Cite
Jankowska-Wajda, M.; Kownacki, I.; Kubicki, M.; Dąbek, I.; Rubiś, B.; Maciejewski, H. Anionic Rhodium Complexes as Very Active Catalysts for Hydro-Silylation Reactions. Catalysts 2024, 14, 943. https://doi.org/10.3390/catal14120943
Jankowska-Wajda M, Kownacki I, Kubicki M, Dąbek I, Rubiś B, Maciejewski H. Anionic Rhodium Complexes as Very Active Catalysts for Hydro-Silylation Reactions. Catalysts. 2024; 14(12):943. https://doi.org/10.3390/catal14120943
Chicago/Turabian StyleJankowska-Wajda, Magdalena, Ireneusz Kownacki, Maciej Kubicki, Izabela Dąbek, Błażej Rubiś, and Hieronim Maciejewski. 2024. "Anionic Rhodium Complexes as Very Active Catalysts for Hydro-Silylation Reactions" Catalysts 14, no. 12: 943. https://doi.org/10.3390/catal14120943
APA StyleJankowska-Wajda, M., Kownacki, I., Kubicki, M., Dąbek, I., Rubiś, B., & Maciejewski, H. (2024). Anionic Rhodium Complexes as Very Active Catalysts for Hydro-Silylation Reactions. Catalysts, 14(12), 943. https://doi.org/10.3390/catal14120943





