Platinum Alloys for Methanol Oxidation Electrocatalysis: Reaction Mechanism and Rational Design of Catalysts with Exceptional Activity and Stability
Abstract
1. Introduction
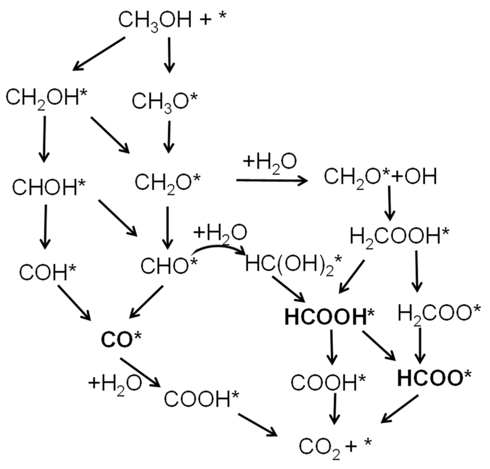
2. MOR Catalytic Pathways: CO Pathways and Non-CO Pathways
3. Electronic Effects on Catalytic Performance
4. Dimensional Engineering of Pt-Based Alloys for MOR
5. Strategies to Enhance Activity and Stability
5.1. Intermetallic Compounds
5.2. Interface Engineering
5.3. Surface Facet Engineering

6. The Use of High-Entropy Alloys in Electrocatalysis
7. Conclusions and Perspectives
Author Contributions
Funding
Conflicts of Interest
References
- Li, M.; Zhao, Z.; Zhang, W.; Luo, M.; Tao, L.; Sun, Y.; Xia, Z.; Chao, Y.; Yin, K.; Zhang, Q.; et al. Sub-monolayer YOx/MoOx on ultrathin Pt nanowires boosts alcohol oxidation electrocatalysis. Adv. Mater. 2021, 33, 2103762. [Google Scholar] [CrossRef] [PubMed]
- Tian, H.; Wu, D.; Li, J.; Luo, J.; Jia, C.; Liu, Z.; Huang, W.; Chen, Q.; Shim, C.M.; Deng, P.; et al. Rational design ternary platinum based electrocatalysts for effective methanol oxidation reaction. J. Energy Chem. 2022, 70, 230–235. [Google Scholar] [CrossRef]
- Wang, K.; Huang, D.; Guan, Y.; Liu, F.; He, J.; Ding, Y. Fine-tuning the electronic structure of dealloyed PtCu nanowires for efficient methanol oxidation reaction. ACS Catal. 2021, 11, 14428–14438. [Google Scholar] [CrossRef]
- Zhang, W.; Yang, Y.; Huang, B.; Lv, F.; Wang, K.; Li, N.; Luo, M.; Chao, Y.; Li, Y.; Sun, Y.; et al. Ultrathin PtNiM (M = Rh, Os, and Ir) nanowires as efficient fuel oxidation electrocatalytic materials. Adv. Mater. 2019, 31, e1805833. [Google Scholar] [CrossRef] [PubMed]
- Lamy, C.; Léger, J.-M.; Srinivasan, S. Direct methanol fuel cells: From a twentieth century electrochemist’s dream to a twenty-first century emerging technology. In Modern Aspects of Electrochemistry; Bockris, J.O.M., Conway, B.E., White, R.E., Eds.; Kluwer Academic Publishers: New York, NY, USA, 2002; pp. 53–118. [Google Scholar]
- Li, H.; Pan, Y.; Zhang, D.; Han, Y.; Wang, Z.; Qin, Y.; Lin, S.; Wu, X.; Zhao, H.; Lai, J.; et al. Surface oxygen-mediated ultrathin PtRuM (Ni, Fe, and Co) nanowires boosting methanol oxidation reaction. J. Mater. Chem. A 2019, 8, 2323–2330. [Google Scholar] [CrossRef]
- Sheng, T.; Ma, Z.-W.; Sun, S.-G. Insights into the Pt/Rh(1 1 1) interface for direct ethanol fuel cells. Appl. Surf. Sci. 2020, 502, 144093. [Google Scholar] [CrossRef]
- Sheng, T.; Sun, S.-G. Insight into the promoting role of Rh doped on Pt(111) in methanol electro-oxidation. J. Electroanal. Chem. 2016, 781, 24–29. [Google Scholar] [CrossRef]
- Belenov, S.; Pavlets, A.; Paperzh, K.; Mauer, D.; Menshikov, V.; Alekseenko, A.; Pankov, I.; Tolstunov, M.; Guterman, V. The PtM/C (M = Co, Ni, Cu, Ru) electrocatalysts: Their synthesis, structure, activity in the oxygen reduction and methanol oxidation reactions, and durability. Catalysts 2023, 13, 243. [Google Scholar] [CrossRef]
- Deshpande, P.; Prasad, B.L.V. Alloying with Mn enhances the activity and durability of the CoPt catalyst toward the methanol oxidation reaction. ACS Appl. Mater. Interfaces 2023, 15, 26554–26562. [Google Scholar] [CrossRef]
- Kwon, T.; Jun, M.; Kim, H.Y.; Oh, A.; Park, J.; Baik, H.; Joo, S.H.; Lee, K. Vertex-reinforced PtCuCo ternary nanoframes as efficient and stable electrocatalysts for the oxygen reduction reaction and the methanol oxidation reaction. Adv. Funct. Mater. 2018, 28, 1706440. [Google Scholar] [CrossRef]
- Pramadewandaru, R.K.; Lee, Y.W.; Hong, J.W. Synergistic effect of bimetallic Pd-Pt nanocrystals for highly efficient methanol oxidation electrocatalysts. RSC Adv. 2023, 13, 27046–27053. [Google Scholar] [CrossRef] [PubMed]
- Roessner, L.; Armbruester, M. Electrochemical energy conversion on intermetallic compounds: A review. ACS Catal. 2019, 9, 2018–2062. [Google Scholar] [CrossRef]
- Casado-Rivera, E.; Volpe, D.J.; Alden, L.; Lind, C.; Downie, C.; Vázquez-Alvarez, T.; Angelo, A.C.D.; DiSalvo, F.J.; Abruña, H.D. Electrocatalytic activity of ordered intermetallic phases for fuel cell applications. J. Am. Chem. Soc. 2004, 126, 4043–4049. [Google Scholar] [CrossRef] [PubMed]
- Ghosh, T.; Leonard, B.M.; Zhou, Q.; DiSalvo, F.J. Pt alloy and intermetallic phases with V, Cr, Mn, Ni, and Cu: Synthesis as nanomaterials and possible applications as fuel cell catalysts. Chem. Mater. 2010, 22, 2190–2202. [Google Scholar] [CrossRef]
- Oezaslan, M.; Hasché, F.; Strasser, P. Pt-based core-shell catalyst architectures for oxygen fuel cell electrodes. J. Phys. Chem. Lett. 2013, 4, 3273–3291. [Google Scholar] [CrossRef]
- Strasser, P.; Koh, S.; Anniyev, T.; Greeley, J.; More, K.; Yu, C.; Liu, Z.; Kaya, S.; Nordlund, D.; Ogasawara, H.; et al. Lattice-strain control of the activity in dealloyed core-shell fuel cell catalysts. Nat. Chem. 2010, 2, 454–460. [Google Scholar] [CrossRef] [PubMed]
- Kuttiyiel, K.A.; Sasaki, K.; Choi, Y.; Su, D.; Liu, P.; Adzic, R.R. Bimetallic IrNi core platinum monolayer shell electrocatalysts for the oxygen reduction reaction. Energy Environ. Sci. 2012, 5, 5297–5304. [Google Scholar] [CrossRef]
- Norskov, J.K.; Abild-Pedersen, F.; Studt, F.; Bligaard, T. Density functional theory in surface chemistry and catalysis. Proc. Natl. Acad. Sci. USA 2011, 108, 937–943. [Google Scholar] [CrossRef]
- Wang, W.; Chen, X.; Zhang, X.; Ye, J.; Xue, F.; Zhen, C.; Liao, X.; Li, H.; Li, P.; Liu, M.; et al. Quatermetallic Pt-based ultrathin nanowires intensified by Rh enable highly active and robust electrocatalysts for methanol oxidation. Nano Energy 2020, 71, 104623. [Google Scholar] [CrossRef]
- Tang, J.-X.; Chen, Q.-S.; You, L.-X.; Liao, H.-G.; Sun, S.-G.; Zhou, S.-G.; Xu, Z.-N.; Chen, Y.-M.; Guo, G.-C. Screw-like PdPt nanowires as highly efficient electrocatalysts for methanol and ethylene glycol oxidation. J. Mater. Chem. A 2018, 6, 2327–2336. [Google Scholar] [CrossRef]
- Zhao, F.; Ye, J.; Yuan, Q.; Yang, X.; Zhou, Z. Realizing a CO-free pathway and enhanced durability in highly dispersed Cu-doped PtBi nanoalloys towards methanol full electrooxidation. J. Mater. Chem. A 2020, 8, 11564–11572. [Google Scholar] [CrossRef]
- Zhu, R.; Yu, Y.; Yu, R.; Lai, J.; Jung, J.C.-Y.; Zhang, S.; Zhao, Y.; Zhang, J.; Xia, Z. PtIrM (M = Ni, Co) jagged nanowires for efficient methanol oxidation electrocatalysis. J. Colloid Interface Sci. 2022, 625, 493–501. [Google Scholar] [CrossRef] [PubMed]
- Qi, Z.; Xiao, C.; Liu, C.; Goh, T.W.; Zhou, L.; Maligal-Ganesh, R.V.; Pei, Y.; Li, X.; Curtiss, L.A.; Huang, W. Sub-4 nm PtZn intermetallic nanoparticles for enhanced mass and specific activities in catalytic electrooxidation reaction. J. Am. Chem. Soc. 2017, 139, 4762–4768. [Google Scholar] [CrossRef] [PubMed]
- Wang, X.; Liu, Y.; Ma, X.-Y.; Chang, L.-Y.; Zhong, Q.; Pan, Q.; Wang, Z.; Yuan, X.; Cao, M.; Lyu, F.; et al. The Role of Bismuth in Suppressing the CO Poisoning in Alkaline Methanol Electrooxidation: Switching the Reaction from the CO to Formate Pathway. Nano Lett. 2023, 23, 685–693. [Google Scholar] [CrossRef] [PubMed]
- Zhu, R.; Yu, R.; Yin, K.; Zhang, S.; Jung, J.C.-Y.; Zhao, Y.; Li, M.; Xia, Z.; Zhang, J. Integration of multiple advantages into one catalyst: Non-CO pathway of methanol oxidation electrocatalysis on surface Ir-modulated PtFeIr jagged nanowires. J. Colloid Interface Sci. 2023, 640, 348–358. [Google Scholar] [CrossRef]
- Zeng, R.; Yang, Y.; Shen, T.; Wang, H.; Xiong, Y.; Zhu, J.; Wang, D.; Abruña, H.D. Methanol oxidation using ternary ordered intermetallic electrocatalysts: A DEMS study. ACS Catal. 2020, 10, 770–776. [Google Scholar] [CrossRef]
- Kitchin, J.R.; Nørskov, J.K.; Barteau, M.A.; Chen, J.G. Role of strain and ligand effects in the modification of the electronic and chemical properties of bimetallic surfaces. Phys. Rev. Lett. 2004, 93, 156801. [Google Scholar] [CrossRef]
- Mavrikakis, M.; Hammer, B.; Nørskov, J.K. Effect of strain on the reactivity of metal surfaces. Phys. Rev. Lett. 1998, 81, 2819–2822. [Google Scholar] [CrossRef]
- Stamenkovic, V.; Mun, B.S.; Mayrhofer, K.J.J.; Ross, P.N.; Markovic, N.M.; Rossmeisl, J.; Greeley, J.; Nørskov, J.K. Changing the activity of electrocatalysts for oxygen reduction by tuning the surface electronic structure. Angew. Chem. Int. Ed. 2006, 45, 2897–2901. [Google Scholar] [CrossRef]
- Nilsson, A.; Pettersson, L.G.M.; Hammer, B.; Bligaard, T.; Christensen, C.H.; Nørskov, J.K. The electronic structure effect in heterogeneous catalysis. Catal. Lett. 2005, 100, 111–114. [Google Scholar] [CrossRef]
- Ruban, A.; Hammer, B.; Stoltze, P.; Skriver, H.; Nørskov, J. Surface electronic structure and reactivity of transition and noble metals. J. Mol. Catal. A Chem. 1997, 115, 421–429. [Google Scholar] [CrossRef]
- Li, H.; Han, Y.; Zhao, H.; Qi, W.; Zhang, D.; Yu, Y.; Cai, W.; Li, S.; Lai, J.; Huang, B.; et al. Fast site-to-site electron transfer of high-entropy alloy nanocatalyst driving redox electrocatalysis. Nat. Commun. 2020, 11, 5437. [Google Scholar] [CrossRef]
- Li, H.; Sun, M.; Pan, Y.; Xiong, J.; Feng, S.; Li, Z.; Lai, J.; Huang, B.; Wang, L. The self-complementary effect through strong orbital coupling in ultrathin high-entropy alloy nanowires boosting pH-universal multifunctional electrocatalysis. Appl. Catal. B Environ. 2022, 312, 121431. [Google Scholar] [CrossRef]
- Zhan, C.; Xu, Y.; Bu, L.; Zhu, H.; Feng, Y.; Yang, T.; Zhang, Y.; Yang, Z.; Huang, B.; Shao, Q.; et al. Subnanometer high-entropy alloy nanowires enable remarkable hydrogen oxidation catalysis. Nat. Commun. 2021, 12, 6261. [Google Scholar] [CrossRef] [PubMed]
- Luo, X.; Liu, C.; Wang, X.; Shao, Q.; Pi, Y.; Zhu, T.; Li, Y.; Huang, X. Spin regulation on 2D Pd-Fe-Pt nanomeshes promotes fuel electrooxidations. Nano Lett. 2020, 20, 1967–1973. [Google Scholar] [CrossRef]
- Zhang, Y.; Huang, B.; Shao, Q.; Feng, Y.; Xiong, L.; Peng, Y.; Huang, X. Defect engineering of palladium-tin nanowires enables efficient electrocatalysts for fuel cell reactions. Nano Lett. 2019, 19, 6894–6903. [Google Scholar] [CrossRef] [PubMed]
- Qin, Y.; Huang, H.; Yu, W.; Zhang, H.; Li, Z.; Wang, Z.; Lai, J.; Wang, L.; Feng, S. Porous PdWM (M = Nb, Mo and Ta) trimetallene for high C1 selectivity in alkaline ethanol oxidation reaction. Adv. Sci. 2022, 9, 2103722. [Google Scholar] [CrossRef]
- Wang, H.; Liang, Y.; Liu, S.; Yu, H.; Deng, K.; Xu, Y.; Li, X.; Wang, Z.; Wang, L. Electron regulation of heterostructured Pt/Rh metallene boosts ethylene glycol electrooxidation and hydrogen evolution. Inorg. Chem. 2023, 62, 14477–14483. [Google Scholar] [CrossRef]
- Wang, H.; Wang, W.; Mao, Q.; Yu, H.; Deng, K.; Xu, Y.; Li, X.; Wang, Z.; Wang, L. Tensile strained PdNi bimetallene for energy-efficient hydrogen production integrated with formate oxidation. Chem. Eng. J. 2022, 450, 137995. [Google Scholar] [CrossRef]
- Xiong, J.; Li, H.; Pan, Y.; Liu, J.; Zhang, Y.; Xu, J.; Li, B.; Lai, J.; Wang, L. Multiple strategies of porous tetrametallene for efficient ethanol electrooxidation. J. Mater. Chem. A 2022, 10, 23015–23022. [Google Scholar] [CrossRef]
- Zhao, Y.; Yuan, Z.-H.; Huang, J.-T.; Wang, M.-Y.; He, B.; Ding, Y.; Jin, P.-J.; Chen, Y. Rhodium metallene-supported platinum nanocrystals for ethylene glycol oxidation reaction. Nanoscale 2023, 15, 1947–1952. [Google Scholar] [CrossRef] [PubMed]
- Luo, M.; Zhao, Z.; Zhang, Y.; Sun, Y.; Xing, Y.; Lv, F.; Yang, Y.; Zhang, X.; Hwang, S.; Qin, Y.; et al. PdMo bimetallene for oxygen reduction catalysis. Nature 2019, 574, 81–85. [Google Scholar] [CrossRef]
- Wang, H.; Li, Y.; Liu, S.; Yu, H.; Deng, K.; Wang, Z.; Xu, Y.; Wang, L. B-Doping-Induced Lattice Expansion of Pd Metallene Nanoribbons for Oxygen Reduction Reaction. Inorg. Chem. 2023, 62, 15157–15163. [Google Scholar] [CrossRef] [PubMed]
- Wang, Z.; Tian, P.; Zhang, H.; Deng, K.; Yu, H.; Xu, Y.; Li, X.; Wang, H.; Wang, L. PdCu bimetallene for enhanced oxygen reduction electrocatalysis. Inorg. Chem. 2023, 62, 5622–5629. [Google Scholar] [CrossRef] [PubMed]
- Wang, Z.; Xu, S.; Mao, Q.; Deng, K.; Xu, Y.; Wang, H.; Yu, H.; Wang, L. Polyethylenimine-ethylenediamine-induced Pd metallene toward alkaline oxygen reduction. Inorg. Chem. 2023, 62, 13537–13543. [Google Scholar] [CrossRef] [PubMed]
- Yu, H.; Zhou, T.; Wang, Z.; Xu, Y.; Li, X.; Wang, L.; Wang, H. Defect-rich porous palladium metallene for enhanced alkaline oxygen reduction electrocatalysis. Angew. Chem.-Int. Ed. 2021, 60, 12027–12031. [Google Scholar] [CrossRef] [PubMed]
- Zhang, H.; Li, X.; Wang, Y.; Deng, K.; Yu, H.; Xu, Y.; Wang, H.; Wang, Z.; Wang, L. Porous PdZn bimetallene for oxygen reduction electrolysis. Appl. Catal. B Environ. 2023, 338, 123006. [Google Scholar] [CrossRef]
- Wu, J.; Cui, X.; Fan, J.; Zhao, J.; Zhang, Q.; Jia, G.; Wu, Q.; Zhang, D.; Hou, C.; Xu, S.; et al. Stable bimetallene hydride boosts anodic CO tolerance of fuel cells. ACS Energy Lett. 2021, 6, 1912–1919. [Google Scholar] [CrossRef]
- Feng, Y.; Zhao, Z.; Li, F.; Bu, L.; Shao, Q.; Li, L.; Wu, J.; Zhu, X.; Lu, G.; Huang, X. Highly surface-distorted Pt superstructures for multifunctional electrocatalysis. Nano Lett. 2021, 21, 5075–5082. [Google Scholar] [CrossRef]
- Gong, W.; Jiang, Z.; Wu, R.; Liu, Y.; Huang, L.; Hu, N.; Tsiakaras, P.; Shen, P.K. Cross-double dumbbell-like Pt-Ni nanostructures with enhanced catalytic performance toward the reactions of oxygen reduction and methanol oxidation. Appl. Catal. B Environ. 2019, 246, 277–283. [Google Scholar] [CrossRef]
- Liang, W.; Wang, Y.; Zhao, L.; Guo, W.; Li, D.; Qin, W.; Wu, H.; Sun, Y.; Jiang, L. 3D anisotropic Au@Pt-Pd hemispherical nanostructures as efficient electrocatalysts for methanol, ethanol, and formic acid oxidation reaction. Adv. Mater. 2021, 33, 2100713. [Google Scholar] [CrossRef] [PubMed]
- Shang, C.; Guo, Y.; Wang, E. Ultrathin nanodendrite surrounded PtRuNi nanoframes as efficient catalysts for methanol electrooxidation. J. Mater. Chem. A 2019, 7, 2547–2552. [Google Scholar] [CrossRef]
- Wang, Z.; Huang, L.; Tian, Z.Q.; Shen, P.K. The controllable growth of PtCuRh rhombic dodecahedral nanoframes as efficient catalysts for alcohol electrochemical oxidation. J. Mater. Chem. A 2019, 7, 18619–18625. [Google Scholar] [CrossRef]
- Xia, T.; Zhao, K.; Zhu, Y.; Bai, X.; Gao, H.; Wang, Z.; Gong, Y.; Feng, M.; Li, S.; Zheng, Q.; et al. Mixed-dimensional Pt-Ni alloy polyhedral nanochains as bifunctional electrocatalysts for direct methanol fuel cells. Adv. Mater. 2023, 35, e2206508. [Google Scholar] [CrossRef] [PubMed]
- Xiao, Y.-X.; Ying, J.; Tian, G.; Yang, X.; Zhang, Y.-X.; Chen, J.-B.; Wang, Y.; Symes, M.D.; Ozoemena, K.I.; Wu, J.; et al. Hierarchically Fractal PtPdCu Sponges and their Directed Mass- and Electron-Transfer Effects. Nano Lett. 2021, 21, 7870–7878. [Google Scholar] [CrossRef] [PubMed]
- Yao, W.; Jiang, X.; Li, M.; Li, Y.; Liu, Y.; Zhan, X.; Fu, G.; Tang, Y. Engineering hollow porous platinum-silver double-shelled nanocages for efficient electro-oxidation of methanol. Appl. Catal. B Environ. 2021, 282, 119595. [Google Scholar] [CrossRef]
- Zhang, J.; Li, H.; Ye, J.; Cao, Z.; Chen, J.; Kuang, Q.; Zheng, J.; Xie, Z. Sierpinski gasket-like Pt-Ag octahedral alloy nanocrystals with enhanced electrocatalytic activity and stability. Nano Energy 2019, 61, 397–403. [Google Scholar] [CrossRef]
- Becknell, N.; Kang, Y.; Chen, C.; Resasco, J.; Kornienko, N.; Guo, J.; Markovic, N.M.; Somorjai, G.A.; Stamenkovic, V.R.; Yang, P. Atomic structure of Pt3Ni nanoframe electrocatalysts by in situ X-ray absorption spectroscopy. J. Am. Chem. Soc. 2015, 137, 15817–15824. [Google Scholar] [CrossRef]
- Becknell, N.; Son, Y.; Kim, D.; Li, D.; Yu, Y.; Niu, Z.; Lei, T.; Sneed, B.T.; More, K.L.; Markovic, N.M.; et al. Control of architecture in rhombic dodecahedral Pt-Ni nanoframe electrocatalysts. J. Am. Chem. Soc. 2017, 139, 11678–11681. [Google Scholar] [CrossRef]
- Chen, C.; Kang, Y.; Huo, Z.; Zhu, Z.; Huang, W.; Xin, H.L.; Snyder, J.D.; Li, D.; Herron, J.A.; Mavrikakis, M.; et al. Highly crystalline multimetallic nanoframes with three-dimensional electrocatalytic surfaces. Science 2014, 343, 1339–1343. [Google Scholar] [CrossRef]
- Chen, S.; Li, M.; Gao, M.; Jin, J.; van Spronsen, M.A.; Salmeron, M.B.; Yang, P. High-performance Pt-Co nanoframes for fuel-cell electrocatalysis. Nano Lett. 2020, 20, 1974–1979. [Google Scholar] [CrossRef] [PubMed]
- Ding, J.; Bu, L.; Guo, S.; Zhao, Z.; Zhu, E.; Huang, Y.; Huang, X. Morphology and phase controlled construction of Pt-Ni nanostructures for efficient electrocatalysis. Nano Lett. 2016, 16, 2762–2767. [Google Scholar] [CrossRef] [PubMed]
- Zhang, N.; Shao, Q.; Xiao, X.; Huang, X. Advanced catalysts derived from composition-segregated platinum-nickel nanostructures: New opportunities and challenges. Adv. Funct. Mater. 2019, 29, 1808161. [Google Scholar] [CrossRef]
- Oezaslan, M.; Hasche, F.; Strasser, P. PtCu3, PtCu and Pt3Cu alloy nanoparticle electrocatalysts for oxygen reduction reaction in alkaline and acidic media. J. Electrochem. Soc. 2012, 159, B444–B454. [Google Scholar] [CrossRef]
- Oezaslan, M.; Hasche, F.; Strasser, P. Oxygen electroreduction on PtCo3, PtCo and Pt3Co alloy nanoparticles for alkaline and acidic PEM fuel cells. J. Electrochem. Soc. 2012, 159, B394–B405. [Google Scholar] [CrossRef]
- Oezaslan, M.; Strasser, P. Activity of dealloyed PtCo3 and PtCu3 nanoparticle electrocatalyst for oxygen reduction reaction in polymer electrolyte membrane fuel cell. J. Power Sources 2011, 196, 5240–5249. [Google Scholar] [CrossRef]
- Andersson, K.J.; Calle-Vallejo, F.; Rossmeisl, J.; Chorkendorff, I. Adsorption-driven surface segregation of the less reactive alloy component. J. Am. Chem. Soc. 2009, 131, 2404–2407. [Google Scholar] [CrossRef]
- Jakob, P.; Schlapka, A. CO adsorption on epitaxially grown Pt layers on Ru(0001). Surf. Sci. 2007, 601, 3556–3568. [Google Scholar] [CrossRef]
- Schlapka, A.; Lischka, M.; Groß, A.; Käsberger, U.; Jakob, P. Surface strain versus substrate interaction in heteroepitaxial metal layers: Pt on Ru(0001). Phys. Rev. Lett. 2003, 91, 016101. [Google Scholar] [CrossRef]
- Chen, H.-S.; Benedetti, T.M.; Lian, J.; Cheong, S.; O’mara, P.B.; Sulaiman, K.O.; Kelly, C.H.W.; Scott, R.W.J.; Gooding, J.J.; Tilley, R.D. Role of the secondary metal in ordered and disordered Pt-M intermetallic nanoparticles: An example of Pt3Sn nanocubes for the electrocatalytic methanol oxidation. ACS Catal. 2021, 11, 2235–2243. [Google Scholar] [CrossRef]
- Chen, L.; Zhu, J.; Xuan, C.; Xiao, W.; Xia, K.; Xia, W.; Lai, C.; Xin, H.L.; Wang, D. Effects of crystal phase and composition on structurally ordered Pt-Co-Ni/C ternary intermetallic electrocatalysts for the formic acid oxidation reaction. J. Mater. Chem. A 2018, 6, 5848–5855. [Google Scholar] [CrossRef]
- Chen, M.-X.; Luo, X.; Song, T.-W.; Jiang, B.; Liang, H.-W. Ordering degree-dependent activity of Pt3M (M = Fe, Mn) intermetallic nanoparticles for electrocatalytic methanol oxidation. J. Phys. Chem. Lett. 2022, 13, 3549–3555. [Google Scholar] [CrossRef] [PubMed]
- Chen, W.; Luo, S.; Sun, M.; Tang, M.; Fan, X.; Cheng, Y.; Wu, X.; Liao, Y.; Huang, B.; Quan, Z. Hexagonal PtBi intermetallic inlaid with sub-monolayer Pb oxyhydroxide boosts methanol oxidation. Small 2022, 18, e2107803. [Google Scholar] [CrossRef] [PubMed]
- Di, Q.; Zhao, X.; Zhu, W.; Luan, Y.; Hou, Z.; Fan, X.; Zhou, Y.; Wang, S.; Quan, Z.; Zhang, J. Controllable synthesis of platinum-tin intermetallic nanoparticles with high electrocatalytic performance for ethanol oxidation. Inorg. Chem. Front. 2022, 9, 1143–1151. [Google Scholar] [CrossRef]
- Feng, Q.; Zhao, S.; He, D.; Tian, S.; Gu, L.; Wen, X.; Chen, C.; Peng, Q.; Wang, D.; Li, Y. Strain engineering to enhance the electrooxidation performance of atomic-layer Pt on intermetallic Pt3Ga. J. Am. Chem. Soc. 2018, 140, 2773–2776. [Google Scholar] [CrossRef] [PubMed]
- Fu, X.; Li, H.; Xu, A.; Xia, F.; Zhang, L.; Zhang, J.; Ma, D.; Wu, J.; Yue, Q.; Yang, X.; et al. Phase engineering of intermetallic PtBi2 nanoplates for formic acid electrochemical oxidation. Nano Lett. 2023, 23, 5467–5474. [Google Scholar] [CrossRef]
- Huang, B.; Ge, Y.; Zhang, A.; Zhu, S.; Chen, B.; Li, G.; Yun, Q.; Huang, Z.; Shi, Z.; Zhou, X.; et al. Seeded synthesis of hollow PdSn intermetallic nanomaterials for highly efficient electrocatalytic glycerol oxidation. Adv. Mater. 2023, 35, e2302233. [Google Scholar] [CrossRef]
- Nie, Y.; Qi, X.; Wu, R.; Yang, R.; Wang, H.; Deng, M.; Zhang, S.; Lu, S.; Gu, Z.; Liu, X. Structurally ordered PtFe intermetallic nanocatalysts toward efficient electrocatalysis of methanol oxidation. Appl. Surf. Sci. 2021, 569, 151004. [Google Scholar] [CrossRef]
- Qin, Y.; Luo, M.; Sun, Y.; Li, C.; Huang, B.; Yang, Y.; Li, Y.; Wang, L.; Guo, S. Intermetallic hcp-PtBi/fcc-Pt core/shell nanoplates enable efficient bifunctional oxygen reduction and methanol oxidation electrocatalysis. ACS Catal. 2018, 8, 5581–5590. [Google Scholar] [CrossRef]
- Zhang, B.-W.; Lai, W.-H.; Sheng, T.; Qu, X.-M.; Wang, Y.-X.; Ren, L.; Zhang, L.; Du, Y.; Jiang, Y.-X.; Sun, S.-G.; et al. Ordered platinum-bismuth intermetallic clusters with Pt-skin for a highly efficient electrochemical ethanol oxidation reaction. J. Mater. Chem. A 2019, 7, 5214–5220. [Google Scholar] [CrossRef]
- Zhu, J.; Yang, Y.; Chen, L.; Xiao, W.; Liu, H.; Abruña, H.D.; Wang, D. Copper-induced formation of structurally ordered Pt-Fe-Cu ternary intermetallic electrocatalysts with tunable phase structure and improved stability. Chem. Mater. 2018, 30, 5987–5995. [Google Scholar] [CrossRef]
- Chen, W.; Luo, S.; Sun, M.; Wu, X.; Zhou, Y.; Liao, Y.; Tang, M.; Fan, X.; Huang, B.; Quan, Z. High-entropy intermetallic PtRhBiSnSb nanoplates for highly efficient alcohol oxidation electrocatalysis. Adv. Mater. 2022, 34, e2206276. [Google Scholar] [CrossRef]
- Li, J.; Sun, S. Intermetallic nanoparticles: Synthetic control and their enhanced electrocatalysis. Acc. Chem. Res. 2019, 52, 2015–2025. [Google Scholar] [CrossRef] [PubMed]
- Li, J.; Xi, Z.; Pan, Y.-T.; Spendelow, J.S.; Duchesne, P.N.; Su, D.; Li, Q.; Yu, C.; Yin, Z.; Shen, B.; et al. Fe Stabilization by Intermetallic L1(0)-FePt and Pt Catalysis Enhancement in L1(0)-FePt/Pt Nanoparticles for Efficient Oxygen Reduction Reaction in Fuel Cells. J. Am. Chem. Soc. 2018, 140, 2926–2932. [Google Scholar] [CrossRef] [PubMed]
- Bu, L.; Zhang, N.; Guo, S.; Zhang, X.; Li, J.; Yao, J.; Wu, T.; Lu, G.; Ma, J.-Y.; Su, D.; et al. Biaxially strained PtPb/Pt core/shell nanoplate boosts oxygen reduction catalysis. Science 2016, 354, 1410–1414. [Google Scholar] [CrossRef]
- Li, J.; Jilani, S.Z.; Lin, H.; Liu, X.; Wei, K.; Jia, Y.; Zhang, P.; Chi, M.; Tong, Y.J.; Xi, Z.; et al. Ternary CoPtAu nanoparticles as a general catalyst for highly efficient electro-oxidation of liquid fuels. Angew. Chem. Int. Ed. 2019, 58, 11527–11533. [Google Scholar] [CrossRef]
- Escudero-Escribano, M.; Malacrida, P.; Hansen, M.H.; Vej-Hansen, U.G.; Velázquez-Palenzuela, A.; Tripkovic, V.; Schiøtz, J.; Rossmeisl, J.; Stephens, I.E.L.; Chorkendorff, I. Tuning the activity of Pt alloy electrocatalysts by means of the lanthanide contraction. Science 2016, 352, 73–76. [Google Scholar] [CrossRef]
- Zhang, S.; Zeng, Z.; Li, Q.; Huang, B.; Zhang, X.; Du, Y.; Yan, C.-H. Lanthanide electronic perturbation in Pt-Ln (La, Ce, Pr and Nd) alloys for enhanced methanol oxidation reaction activity. Energy Environ. Sci. 2021, 14, 5911–5918. [Google Scholar] [CrossRef]
- Fan, C.; Wen, P.; Li, G.; Li, G.; Gu, J.; Li, Q.; Li, B. Facile synthesis of Pt5La nanoalloys as the enhanced electrocatalysts for oxygen reduction reaction and methanol oxidation reaction. J. Alloy. Compd. 2022, 894, 161892. [Google Scholar] [CrossRef]
- Cui, Z.; Chen, H.; Zhao, M.; Marshall, D.; Yu, Y.; Abruna, H.; DiSalvo, F.J. Synthesis of structurally ordered Pt3Ti and Pt3V nanoparticles as methanol oxidation catalysts. J. Am. Chem. Soc. 2014, 136, 10206–10209. [Google Scholar] [CrossRef]
- Li, Q.; Wu, L.; Wu, G.; Su, D.; Lv, H.; Zhang, S.; Zhu, W.; Casimir, A.; Zhu, H.; Mendoza-Garcia, A.; et al. New approach to fully ordered fct-FePt nanoparticles for much enhanced electrocatalysis in acid. Nano Lett. 2015, 15, 2468–2473. [Google Scholar] [CrossRef] [PubMed]
- Liang, J.; Li, N.; Zhao, Z.; Ma, L.; Wang, X.; Li, S.; Liu, X.; Wang, T.; Du, Y.; Lu, G.; et al. Tungsten-doped L10-PtCo ultrasmall nanoparticles as a high-performance fuel cell cathode. Angew. Chem. Int. Ed. 2019, 58, 15471–15477. [Google Scholar] [CrossRef] [PubMed]
- Wang, X.; Xie, M.; Lyu, F.; Yiu, Y.-M.; Wang, Z.; Chen, J.; Chang, L.-Y.; Xia, Y.; Zhong, Q.; Chu, M.; et al. Bismuth oxyhydroxide-Pt inverse interface for enhanced methanol electrooxidation performance. Nano Lett. 2020, 20, 7751–7759. [Google Scholar] [CrossRef]
- Yuan, X.; Zhang, Y.; Cao, M.; Zhou, T.; Jiang, X.; Chen, J.; Lyu, F.; Xu, Y.; Luo, J.; Zhang, Q.; et al. Bi(OH)(3)/PdBi composite nanochains as highly active and durable electrocatalysts for ethanol oxidation. Nano Lett. 2019, 19, 4752–4759. [Google Scholar] [CrossRef]
- Chen, Z.; Liu, Y.; Liu, C.; Zhang, J.; Chen, Y.; Hu, W.; Deng, Y. Engineering the metal/oxide interface of Pd nanowire@CuOx electrocatalysts for efficient alcohol oxidation reaction. Small 2020, 16, 1904964. [Google Scholar] [CrossRef]
- Tao, L.; Shi, Y.; Huang, Y.-C.; Chen, R.; Zhang, Y.; Huo, J.; Zou, Y.; Yu, G.; Luo, J.; Dong, C.-L.; et al. Interface engineering of Pt and CeO2 nanorods with unique interaction for methanol oxidation. Nano Energy 2018, 53, 604–612. [Google Scholar] [CrossRef]
- Li, C.; Huang, B.; Luo, M.; Qin, Y.; Sun, Y.; Li, Y.; Yang, Y.; Wu, D.; Li, M.; Guo, S. An efficient ultrathin PtFeNi nanowire/ionic liquid conjugate electrocatalyst. Appl. Catal. B Environ. 2019, 256, 117828. [Google Scholar] [CrossRef]
- Huang, L.; Zhang, X.; Wang, Q.; Han, Y.; Fang, Y.; Dong, S. Shape-control of Pt-Ru nanocrystals: Tuning surface structure for enhanced electrocatalytic methanol oxidation. J. Am. Chem. Soc. 2018, 140, 1142–1147. [Google Scholar] [CrossRef]
- Kang, Y.; Li, M.; Cai, Y.; Cargnello, M.; Diaz, R.E.; Gordon, T.R.; Wieder, N.L.; Adzic, R.R.; Gorte, R.J.; Stach, E.A.; et al. Heterogeneous catalysts need not be so “heterogeneous”: Monodisperse Pt nanocrystals by combining shape-controlled synthesis and purification by colloidal recrystallization. J. Am. Chem. Soc. 2013, 135, 2741–2747. [Google Scholar] [CrossRef]
- Li, C.; Chen, X.; Zhang, L.; Yan, S.; Sharma, A.; Zhao, B.; Kumbhar, A.; Zhou, G.; Fang, J. Synthesis of core@shell Cu-Ni@Pt-Cu nano-octahedra and their improved MOR activity. Angew. Chem. Int. Ed. 2021, 60, 7675–7680. [Google Scholar] [CrossRef]
- Huang, L.; Zheng, C.Y.; Shen, B.; Mirkin, C.A. High-index-facet metal-alloy nanoparticles as fuel cell electrocatalysts. Adv. Mater. 2020, 32, 2002849. [Google Scholar] [CrossRef] [PubMed]
- Shen, B.; Huang, L.; Shen, J.; He, K.; Zheng, C.Y.; Dravid, V.P.; Wolverton, C.; Mirkin, C.A. Crystal structure engineering in multimetallic high-index facet nanocatalysts. Proc. Natl. Acad. Sci. USA 2021, 118, e2105722118. [Google Scholar] [CrossRef]
- Huang, L.; Lin, H.; Zheng, C.Y.; Kluender, E.J.; Golnabi, R.; Shen, B.; Mirkin, C.A. Multimetallic high-index faceted heterostructured nanoparticles. J. Am. Chem. Soc. 2020, 142, 4570–4575. [Google Scholar] [CrossRef] [PubMed]
- Song, Y.; Bi, C.; Wu, C.; He, H.; Huang, L.; Wang, D.; Xia, H. Promoting charge transfer in hyperbranched, trisoctahedral-shaped core-shell Au@PdPt nanoparticles by facet-dependent construction of transition layers as high performance electrocatalysts. J. Mater. Chem. A 2017, 5, 18878–18887. [Google Scholar] [CrossRef]
- Huang, L.; Zhang, X.; Han, Y.; Wang, Q.; Fang, Y.; Dong, S. High-index facets bounded platinum-lead concave nanocubes with enhanced electrocatalytic properties. Chem. Mater. 2017, 29, 4557–4562. [Google Scholar] [CrossRef]
- Li, Y.; Wang, Y.; Li, S.; Li, M.; Liu, Y.; Fang, X.; Dai, X.; Zhang, X. Pt3Mn alloy nanostructure with high-index facets by Sn doping modified for highly catalytic active electro-oxidation reactions. J. Catal. 2021, 395, 282–292. [Google Scholar] [CrossRef]
- Luo, M.; Sun, Y.; Zhang, X.; Qin, Y.; Li, M.; Li, Y.; Li, C.; Yang, Y.; Wang, L.; Gao, P.; et al. Stable high-index faceted Pt skin on zigzag-like PtFe nanowires enhances oxygen reduction catalysis. Adv. Mater. 2018, 30, 1705515. [Google Scholar] [CrossRef]
- Quan, Z.; Wang, Y.; Fang, J. High-index faceted noble metal nanocrystals. Acc. Chem. Res. 2013, 46, 191–202. [Google Scholar] [CrossRef]
- Feng, G.; Ning, F.; Pan, Y.; Chen, T.; Song, J.; Wang, Y.; Zou, R.; Su, D.; Xia, D. Engineering structurally ordered high-entropy intermetallic nanoparticles with high-activity facets for oxygen reduction in practical fuel cells. J. Am. Chem. Soc. 2023, 145, 11140–11150. [Google Scholar] [CrossRef]
- Feng, G.; Ning, F.; Song, J.; Shang, H.; Zhang, K.; Ding, Z.; Gao, P.; Chu, W.; Xia, D. Sub-2 nm ultrasmall high-entropy alloy nanoparticles for extremely superior electrocatalytic hydrogen evolution. J. Am. Chem. Soc. 2021, 143, 17117–17127. [Google Scholar] [CrossRef]
- Wu, D.; Kusada, K.; Yamamoto, T.; Toriyama, T.; Matsumura, S.; Gueye, I.; Seo, O.; Kim, J.; Hiroi, S.; Sakata, O.; et al. On the electronic structure and hydrogen evolution reaction activity of platinum group metal-based high-entropy-alloy nanoparticles. Chem. Sci. 2021, 12, 7196. [Google Scholar] [CrossRef] [PubMed]
- Wu, D.; Kusada, K.; Yamamoto, T.; Toriyama, T.; Matsumura, S.; Kawaguchi, S.; Kubota, Y.; Kitagawa, H. Platinum-group-metal high-entropy-alloy nanoparticles. J. Am. Chem. Soc. 2020, 142, 13833–13838. [Google Scholar] [CrossRef] [PubMed]
- Bueno, S.L.A.; Leonardi, A.; Kar, N.; Chatterjee, K.; Zhan, X.; Chen, C.; Wang, Z.; Engel, M.; Fung, V.; Skrabalak, S.E. Quinary, senary, and septenary high entropy alloy nanoparticle catalysts from core@shell nanoparticles and the significance of intraparticle heterogeneity. ACS Nano 2022, 16, 18873–18885. [Google Scholar] [CrossRef] [PubMed]
- Amiri, A.; Shahbazian-Yassar, R. Recent progress of high-entropy materials for energy storage and conversion. J. Mater. Chem. A 2021, 9, 782–823. [Google Scholar] [CrossRef]
- Xin, Y.; Li, S.; Qian, Y.; Zhu, W.; Yuan, H.; Jiang, P.; Guo, R.; Wang, L. High-entropy alloys as a platform for catalysis: Progress, challenges, and opportunities. ACS Catal. 2020, 10, 11280–11306. [Google Scholar] [CrossRef]
- Zhao, P.; Cao, Q.; Yi, W.; Hao, X.; Li, J.; Zhang, B.; Huang, L.; Huang, Y.; Jiang, Y.; Xu, B.; et al. Facile and general method to synthesize Pt-based high-entropy-alloy nanoparticles. ACS Nano 2022, 16, 14017–14028. [Google Scholar] [CrossRef]
- Wang, D.; Chen, Z.; Huang, Y.-C.; Li, W.; Wang, J.; Lu, Z.; Gu, K.; Wang, T.; Wu, Y.; Chen, C.; et al. Tailoring lattice strain in ultra-fine high-entropy alloys for active and stable methanol oxidation. Sci. China Mater. 2021, 64, 2454–2466. [Google Scholar] [CrossRef]
- Zhang, N.; Bu, L.; Guo, S.; Guo, J.; Huang, X. Screw thread-like platinum-copper nanowires bounded with high index facets for efficient electrocatalysis. Nano Lett. 2016, 16, 5037–5043. [Google Scholar] [CrossRef]
- Chen, X.; Wang, W.; Chen, X.-J.; Liao, X.; Lyu, Z.; Liu, K.; Xie, S. Structure-intensified PtCoRh spiral nanowires as highly active and durable electrocatalysts for methanol oxidation. Nanoscale 2021, 13, 2632–2638. [Google Scholar] [CrossRef]
- Xu, Y.; Cui, X.; Wei, S.; Zhang, Q.; Gu, L.; Meng, F.; Fan, J.; Zheng, W. Highly active zigzag-like Pt-Zn alloy nanowires with high-index facets for alcohol electrooxidation. Nano Res. 2019, 12, 1173–1179. [Google Scholar] [CrossRef]
- Sun, Y.; Liang, Y.; Luo, M.; Lv, F.; Qin, Y.; Wang, L.; Xu, C.; Fu, E.; Guo, S. Defects and interfaces on PtPb nanoplates boost fuel cell electrocatalysis. Small 2017, 14, 1702259. [Google Scholar] [CrossRef] [PubMed]
- Huang, J.; Liu, Y.; Xu, M.; Wan, C.; Liu, H.; Li, M.; Huang, Z.; Duan, X.; Pan, X.; Huang, Y. PtCuNi tetrahedra catalysts with tailored surfaces for efficient alcohol oxidation. Nano Lett. 2019, 19, 5431–5436. [Google Scholar] [CrossRef] [PubMed]
- Maya-Cornejo, J.; Garcia-Bernabé, A.; Compañ, V. Bimetallic Pt-M electrocatalysts supported on single-wall carbon nanotubes for hydrogen and methanol electrooxidation in fuel cells applications. Int. J. Hydrogen Energy 2018, 43, 872–884. [Google Scholar] [CrossRef]










| Catalysts | Electrolyte | Mass Activity (A mgPt/Pd−1) | Specific Activity (mA cm−2) | Stability (Retention in Activity after Tests | References |
|---|---|---|---|---|---|
| 22% YOx/MoOx-Pt ultrathin nanowires | 0.1 M HClO4 + 0.5 M CH3OH | 2.10 | 3.25 | 64.7% after 1200 cycles (Pt/C: 50.6%) | [1] |
| Pt69Ni16Rh15 ultrathin nanowires | 0.1 M HClO4 + 0.5 M CH3OH | 1.72 | 2.49 | 146.8 mA mgPt−1 after 5000 s (Pt/C: 17.2 mA mgPt−1) | [4] |
| screw thread-like PtCu2.1 nanowires | 0.1 M HClO4 + 0.2 M CH3OH | 1.56 | 3.31 | 72.9% after 1000 cycles (Pt/C: 27.6%) | [119] |
| Pt77Co11Rh12 spiral nanowires | 0.1 M HClO4 + 0.5 M CH3OH | 1.48 | 4.76 | 74.3% after 1600 cycles (Pt/C: 49.9%) | [120] |
| Pt2Bi nanochains | 1 M KOH + 1 M CH3OH | 4.61 | N/A | 1.52 A mgPt−1 after 10,000 s (Pt/C: 0.28 A mgPt−1) | [94] |
| Pt3Bi3Zn nanoplates | 0.1 M HClO4 + 0.5 M CH3OH | 3.29 | 3.02 | 71% after 1000 cycles (Pt/C: 58%) | [2] |
| Pt94Zn6 zigzag-like nanowires | 0.1 M HClO4 + 0.2 M CH3OH | 0.51 | 2.98 | ~60 mA mgPt−1 after 3000 s (Pt/C: ~8 mA mgPt−1) | [121] |
| Pd59Fe27Pt14 nanomeshes | 0.1 M HClO4 + 0.5 M CH3OH | 1.61 | 4.36 | 80% after 500 cycles (Pt/C: 40%) | [36] |
| PtCoNiRh ultrathin nanowires | 0.1 M HClO4 + 0.5 M CH3OH | 1.36 | 2.08 | ~0.30 A mgPt−1 after 10,000 s (Pt/C: ~0.08 A mgPt−1) | [20] |
| Pt18Ni26Fe15Co14Cu27 high-entropy alloy nanoparticles | 1 M KOH + 1 M CH3OH | 15.04 | 114.93 | 93.6% after 1000 cycles (Pt/C: 73.1%) | [33] |
| PtBi@6.7%Pb nanoplates | 1 M KOH + 1 M CH3OH | 13.93 | 43.32 | 71.9% after 3000 cycles | [74] |
| PtPb/C irra-3 nanoplates | 0.1 M HClO4 + 0.1 M CH3OH | 5.15 | 6.22 | 52.4% after 2500 cycles (Pt/C: 18.2%) | [122] |
| Pt64Fe20Ir16 jagged nanowires | 0.1 M HClO4 + 0.5 M CH3OH | 2.13 | 4.25 | 1.34 A mgPt−1 after 10,000 s (Pt/C: 0.30 A mgPt−1) | [26] |
| Pt62Ru18Ni20–O ultrathin nanowires | 0.5 M H2SO4 + 0.5 M CH3OH | 2.72 | 4.36 | 92.4% after 1000 cycles (Pt/C: 79.8%) | [6] |
| core-shell Pt56Cu28Ni16 tetrahedra | 1 M KOH + 1 M CH3OH | 7.0 | 14.0 | 0.83 A mgPt−1 after 3600 s (Pt/C: 0.20 A mgPt−1) | [123] |
Disclaimer/Publisher’s Note: The statements, opinions and data contained in all publications are solely those of the individual author(s) and contributor(s) and not of MDPI and/or the editor(s). MDPI and/or the editor(s) disclaim responsibility for any injury to people or property resulting from any ideas, methods, instructions or products referred to in the content. |
© 2024 by the authors. Licensee MDPI, Basel, Switzerland. This article is an open access article distributed under the terms and conditions of the Creative Commons Attribution (CC BY) license (https://creativecommons.org/licenses/by/4.0/).
Share and Cite
Yu, R.; Zhang, Y.; Deng, S.; Zhu, R.; Zhang, S.; Zhang, J.; Zhao, Y.; Xia, Z. Platinum Alloys for Methanol Oxidation Electrocatalysis: Reaction Mechanism and Rational Design of Catalysts with Exceptional Activity and Stability. Catalysts 2024, 14, 60. https://doi.org/10.3390/catal14010060
Yu R, Zhang Y, Deng S, Zhu R, Zhang S, Zhang J, Zhao Y, Xia Z. Platinum Alloys for Methanol Oxidation Electrocatalysis: Reaction Mechanism and Rational Design of Catalysts with Exceptional Activity and Stability. Catalysts. 2024; 14(1):60. https://doi.org/10.3390/catal14010060
Chicago/Turabian StyleYu, Renqin, Yifan Zhang, Sixu Deng, Rongying Zhu, Shiming Zhang, Jiujun Zhang, Yufeng Zhao, and Zhonghong Xia. 2024. "Platinum Alloys for Methanol Oxidation Electrocatalysis: Reaction Mechanism and Rational Design of Catalysts with Exceptional Activity and Stability" Catalysts 14, no. 1: 60. https://doi.org/10.3390/catal14010060
APA StyleYu, R., Zhang, Y., Deng, S., Zhu, R., Zhang, S., Zhang, J., Zhao, Y., & Xia, Z. (2024). Platinum Alloys for Methanol Oxidation Electrocatalysis: Reaction Mechanism and Rational Design of Catalysts with Exceptional Activity and Stability. Catalysts, 14(1), 60. https://doi.org/10.3390/catal14010060

