Abstract
This paper aims to investigate the promotion of persulfate (PS) activation by ZnO in discharge plasma systems for the degradation of ofloxacin (OFX). Scanning electron microscopy and transmission electron microscopy showed that ZnO nanoparticles were successfully prepared by a hydrothermal method. With an increase in the PS dosage, the removal efficiency of OFX first increased and then decreased. With an increase in the ZnO dosage, the removal efficiency of OFX showed a similar trend. Under the optimum 595 mg/L PS dosage and 295 mg/L ZnO dosage, the removal efficiency of OFX by plasma, plasma/ZnO, and plasma/ZnO/PS systems reached 53.6%, 82.8%, and 98.9%, respectively. Increasing the input power was beneficial to the degradation of OFX. ESR results showed that the addition of ZnO could further stimulate PS to produce more ·OH and ·SO4− than that of plasma alone. The capture agent experiment proved that ·OH, ·SO4−, ·O2−, and 1O2 all participated in the degradation of OFX. A total organic carbon (TOC) removal of 49.6% was obtained in the plasma/ZnO/PS system. Based on liquid chromatography-mass spectrometry (LC-MS) and the Toxicity Estimation Software Tool (TEST), degradation pathways and toxicity were analyzed. Compared to other technologies, it can be concluded that the plasma/ZnO/PS system is a promising technology for pollutant remediation.
1. Introduction
Ofloxacin (OFX) is widely used in the fields of human and livestock disease prevention, animal husbandry, and aquaculture due to its good pharmacokinetic characteristics, broad-spectrum antibacterial activity, and highly effective bactericidal effect [1]. OFX cannot be fully absorbed and utilized in organisms because of its long half-life and stable chemical properties. It will enter the aquatic environment through biological metabolism and wastewater discharge and accumulate for an extended period [2]. OFX has a concentration between ng–mg/L in special environments. OFX in the environment will lead to the emergence of resistant microorganisms, threatening the ecological balance and human health [3]. Therefore, it is an urgent need to explore an efficient technology to solve OFX pollution problems.
Existing OFX degradation methods primarily include ferrate catalytic degradation [4], photocatalytic degradation [5], electro-Fenton degradation [6], electrocatalytic degradation [7], etc. Although these methods can degrade OFX to a certain extent, there are many problems, such as secondary pollution caused by metal ions, the low light energy utilization efficiency of photocatalysis, and high pH requirements, so it is still urgent to explore new methods for OFX degradation. In recent years, discharge plasma has been widely used in water pollution remediation and has been proven to be effective in the degradation of dyes, polycyclic aromatic hydrocarbons, antibiotics, endocrine disruptors, etc. [8,9,10,11,12]. The degradation process is primarily ascribed to the strong oxidizing radicals generated during plasma discharge. Among them, ·OH was considered to play a key role in the degradation process. However, the light and electrons generated during plasma discharge and active substances with a relatively low oxidation performance cannot participate in the degradation of pollutants, resulting in a waste of energy. Based on this, researchers have combined plasma and persulfate (PS) to generate dioxygenic radicals (·OH and ·SO4−), which improves the energy utilization efficiency of the discharge plasma and the removal efficiency of organic matter. For example, Shang et al. used discharge plasma to activate PS to improve the removal efficiency of acid orange and sulfamethoxazole [12,13]. Wang et al. used DBD plasma coupled with PS to degrade perfluorooctanoic acid in water, and the removal efficiency of perfluorooctanoic acid increased from 80% to 99.0% [14]. In our previous research, it was found that water film DBD plasma can successfully activate PS to achieve efficient degradation of sulfamethoxazole, with a degradation rate of 95%, while the degree of mineralization was relatively low [15]. At the same time, it was found that active substances, such as ultraviolet light and electrons generated by plasma, were not fully utilized. Therefore, for plasma-activated PS technology, there is still much room to improve the activation efficiency of PS to achieve the maximum improvement of energy efficiency, pollutant degradation efficiency, and even mineralization.
Zinc oxide (ZnO), as a transition metal oxide, is favored in the field of photocatalysis due to its high stability, low cost, and non-toxicity [16]. ZnO can activate PS to produce strong oxidation radicals using its electron-hole pairing effect [17,18]. At the same time, previous studies have shown that plasma can successfully activate photocatalysts to produce electron-hole pairs, which can lead to photocatalytic reactions [19,20]. Based on this, it is proposed to use plasma-coupled ZnO to activate PS to generate more ·OH and ·SO4−, thereby greatly improving the energy efficiency of plasma and removal efficiency of organic matter. However, as far as we know, co-activation of PS by plasma coupled with ZnO has not been reported.
Based on the above analysis, the degradation of OFX by plasma-activated PS coupled with ZnO was explored. Firstly, ZnO nanoparticles were prepared by a hydrothermal method and characterized by scanning electron microscopy (SEM) and transmission electron microscope (TEM). The effect of the PS dosage, ZnO dosage, and input power on OFX degradation was investigated. The energy efficiency and synergetic factor under plasma, plasma/PS, and plasma/ZnO/PS systems were compared. The ·OH and ·SO4− radicals were identified by electron paramagnetic resonance (EPR). The role of active species, including ·OH, ·SO4−, ·O2−, and 1O2, were inspected by a radical scavenger experiment. The mineralization of OFX in different systems was explored. The degradation pathways and toxicity analysis were inspected. Finally, the degradation of OFX by different systems was compared based on treatment time, removal efficiency, and energy efficiency.
2. Results and Discussion
2.1. Characterization
The morphology of ZnO nanoparticles was characterized by SEM and TEM, and the results are shown in Figure 1. As can be seen from Figure 1A, the prepared ZnO particles present a uniform nanoflower structure. Figure 1B is a high-definition TEM of ZnO showing an obvious lattice structure. The measured lattice is 2.42A, which belongs to the typical crystal plane (101) of ZnO [21]. Figure 1C is the SAED diagram of ZnO, and its ring structure belongs to the standard ZnO characteristic ring. Figure 1D shows the EDS analysis results of the prepared materials. It can be clearly seen that the prepared materials are composed of Zn and O elements. Moreover, the results of EDS mapping (Figure 1E,F) show that Zn and O are evenly distributed in the material. Based on the above analysis, it can be concluded that ZnO can be successfully prepared by a hydrothermal method. In addition, the effect of plasma on ZnO is shown in Figure 2. It can be seen that there is no obvious variation of the XRD spectrum before or after plasma treatment, illustrating that the effect of plasma on ZnO was minor.
Figure 1.
Characterization of ZnO: (A) SEM; (B) TEM; (C) SAED; (D) EDS; (E) EDS mapping of Zn; (F) EDS mapping of O.
Figure 2.
XRD spectrum before and after plasma treatment.
2.2. Effect of PS Dosage
The effect of PS addition on the degradation of OFX by plasma was investigated first. As shown in Figure 3, it can be seen that the addition of PS improved the removal efficiency of OFX compared with the plasma system alone. PS alone had almost no removal effect on OFX. At the same time, in order to eliminate the influence of temperature, the temperature during the discharge time was determined. It was found that the temperature of the solution was maintained between 23~25 °C from the beginning to the end, which is far lower than the temperature of thermally activated PS. To summarize, the plasma can effectively activate PS and produce strong oxidants (·OH and ·SO4−), thus enhancing the degradation of OFX by the plasma system. Moreover, with an increase in the PS dosage, the removal efficiency of OFX first increased and then decreased. When the dosage was 595 mg/L, the removal efficiency reached a maximum value of 82.8% (Figure 3A), which was 29.2% higher than that of the sole plasma system. At the same time, the kinetic constant increased from 0.034 min−1 to 0.086 min−1 (Figure 3B). When the addition of PS exceeded 595 mg/L, the removal efficiency and kinetic constant of OFX all decreased, which implied that excessive PS was not conducive to the degradation of OFX. On the one hand, plasma and its accompanying physical and chemical effects, such as high-energy electrons, ultraviolet radiation, ·OH, and ·O, could activate PS to produce ·OH and ·SO4− through Equations (1)–(3) [13,14,22], thus accelerating the degradation process of OFX. On the other hand, the energy released by the plasma was limited by the specific discharge intensity. Although increasing PS was beneficial to generate more ·SO4−, the higher concentration of ·SO4− was more likely to undergo a recombination reaction (Equations (4) and (5)) [23], which in turn inhibited the degradation of OFX.
Figure 3.
Effect of PS dosage. (A) Removal efficiency. (B) Kinetic curve.
2.3. Effect of ZnO Dosage
The effect of ZnO addition is shown in Figure 4. It can be seen that compared to the plasma/PS system, the addition of ZnO continued to improve the removal rate of OFX. When the dosage was 50 mg/L, 150 mg/L, 250 mg/L, and 350 mg/L, the removal rate of OFX was increased from 82.8% to 87.2%, 93.7%, 98.9%, and 97.6%, respectively, and the corresponding kinetic constant increased from 0.086 min−1 to 0.103 min−1, 0.130 min−1, 0.185 min−1, and 0.0161 min−1, respectively. The addition of ZnO can further improve the removal efficiency of OFX because the light and electrons generated by plasma effectively stimulate ZnO to undergo a photocatalytic reaction. The generated conduction band electrons further stimulate PS to generate more ·SO4− and ·OH, thus increasing the removal efficiency of OFX. However, excessive ZnO is not conducive to the degradation of OFX. This may have two reasons. First, when the amount of ZnO was too large, the excess ZnO would agglomerate [24], which would reduce the catalytic effect of ZnO, thus reducing the removal efficiency of OFX. Secondly, when the concentration of ZnO increased, the suspended particles in the solution increased, and the ultraviolet transmittance declined, which further hindered the light effect in the plasma channel to respond to the induction of ZnO photocatalytic activity, and finally resulted in the inhibition of OFX degradation [25].
Figure 4.
Effect of ZnO dosage. (A) Removal efficiency. (B) Kinetic curve.
In addition, we calculated the energy efficiency and synergetic factors (SF) under different systems, and the results are shown in Figure 5. It can be seen that the addition of a catalyst can improves the energy utilization efficiency of plasma, and the energy efficiency follows plasma < plasma/ZnO < plasma/PS < plasma/ZnO/PS. It can be illustrated that the combined action of ZnO and PS maximizes the energy efficiency of the plasma degradation of OFX, which increased from 0.134 g/kWh to 0.247 g/kWh. Through the analysis of SF, it can be found that the SF follows plasma/ZnO + plasma/PS < plasma/ZnO/PS, illustrating that ZnO not only produces a photocatalytic reaction but also activates PS to produce ·SO4− and ·OH. In other words, the addition of the two catalysts not only had a superposition function but greatly improved catalytic performance through synergy.
Figure 5.
Energy efficiency and SF in various systems.
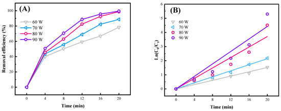
2.4. Effect of Input Power
The input power determines the intensity of plasma discharge and then affects the catalytic and degradation effects. Therefore, the influence of input power on the degradation effect of OFX was further investigated, and the results are shown in Figure 5. It can be seen that with an increase in the input power, the removal efficiency of OFX tends to increase. When the input power was increased from 60 W to 70 W and 80 W, the removal efficiency of OFX increased. After treatment for 20 min, the removal efficiency increased from 78.4% to 93.7% and 98.9%, respectively (Figure 6A). When the power was increased from 80 W to 90 W, the removal efficiency increased slightly from 98.9% to 99.5%. The corresponding kinetics showed a similar trend (Figure 6B). With an increase in the input power, the discharge intensity increased, and the active substances (including ·OH, O3, H2O2, etc.) produced by the plasma increased [11], which improved the removal efficiency of OFX. In addition, the ultraviolet light and high-energy electron effects produced by the plasma increased synchronously, which was beneficial in stimulating the catalytic reaction between ZnO and PS [14], and improved the removal efficiency of OFX. However, it is not economical to increase the input power blindly to improve the removal efficiency of pollutants, as this will lead to a decrease in energy efficiency [26].
Figure 6.
Effect of power. (A) Removal efficiency. (B) Kinetic curve.
2.5. Generation and Role of Active Species
·OH and ·SO4− are important active substances in the plasma/ZnO/PS system, and their strong oxidation can greatly improve the degradation effect of OFX. In order to reveal the reaction mechanism of the plasma/ZnO/PS system, electron paramagnetic resonance (EPR) was used to verify the existence of ·OH and ·SO4− in various systems. Since the active free radicals generated by plasma have a very short life span and are not easily detected directly, DMPO was used as a free radical scavenger in an EPR experiment to capture ·OH and ·SO4−. DMPO can react with ·OH and ·SO4− to generate DMPO-·OH and DMPO-·SO4− adducts, thus showing the characteristic peaks of DMPO-·OH and DMPO-·SO4− adducts on an EPR spectrum [27]. As shown in Figure 7A, the characteristic peaks of DMPO-·OH (1:1:1:1) could be observed in the plasma, plasma/PS, and plasma/ZnO/PS systems. According to qualitative analysis, the intensity of the characteristic peaks follows the principle of plasma < plasma/PS < plasma/ZnO/PS, which shows that the amount of ·OH produced in the plasma/ZnO/PS system was the largest. This result is consistent with the law of degradation efficiency. In order to avoid the interference of the characteristic peak of ·OH, we used a trapping agent to capture the ·OH and then detect the existence of ·SO4−; the result is shown in Figure 7B. In a single plasma system, there was no characteristic peak for ·SO4−. After PS was added, there was an obvious characteristic peak of ·SO4−, which indicated that PS could be successfully activated by plasma. With the further addition of ZnO, it was found that the characteristic peak of ·SO4− continued to increase, which indicates that the addition of ZnO could further stimulate PS to produce more ·SO4−. This result was also consistent with the removal efficiency of OFX in different systems.
Figure 7.
ESR spectrum in various systems: (A) ·OH; (B) ·SO4−.
In order to further evaluate the role of ·OH and ·SO4− in the degradation of OFX, ethanol (Et-OH) and tert-butanol (TBA) capture experiments were carried out. In the radical scavenging experiment, the concentration of each scavenger was controlled at 6 mM. The reaction rates of Et-OH to capture ·OH and ·SO4− are similar (1.2–2.8 × 109 m−1s−1 and 1.6–7.7 × 107 m−1s−1, respectively) [28]. The reaction rate of TBA capturing ·OH (3.8–7.6 × 108 m−1s−1) is 418–1900 times higher than that of TBA and ·SO4− (4–9.1 × 105 m−1s−1) [29]. Therefore, both of these can be used to quench ·OH and ·SO4− in this experiment so as to analyze the effect of ·OH and ·SO4− on the degradation efficiency of OFX. As shown in Figure 8, after adding TBA, the removal efficiency of OFX decreased from 98.9% to 81.5%, primarily because TBA only captured the active species ·OH. However, with the addition of Et-OH, the removal efficiency of OFX decreased from 98.9% to 70.2%. Due to the co-capture of ·OH and ·SO4− by Et-OH, the removal efficiency of OFX with Et-OH decreased 11.3% more than that in the TBA system, which further confirmed the role of ·OH and ·SO4− for OFX degradation.
Figure 8.
Radical quenching experiment on OFX degradation.
·O2− may also be one of the main active substances for the degradation of OFX in the plasma/ZnO/PS system. ·O2− plays an important role in the generation of ·OH and the activation of PS to generate ·SO4−. Benzoquinone (BQ) is an efficient ·O2− trapping agent that can be used to explore the role of ·O2− in the discharge process [30]. As shown in Figure 8, comparing with and without BQ, the removal efficiency of OFX decreased by 23.3% when BQ was added, which indicates that ·O2− played a key role in the degradation of OFX in the plasma/ZnO/PS system. On the one hand, ·O2− may be involved in the direct reaction of OFX. On the other hand, ·O2− can be transformed into other active substances to degrade OFX because ·O2− is the main source of H2O2 and O3 in the discharge plasma process. Although H2O2 and O3 are relatively weak in oxidizing and degrading organic pollutants, they are both the primary active substances of ozonation, which may indirectly affect the content of ·OH generated in water during discharge. In addition, ·O2− may be directly involved in the activation of PS (Equation (6)) [31]. After ·O2− capture, the efficiency of PS activation decreased, which decreased the removal efficiency of OFX.
In the process of plasma activating PS, 1O2 can be generated by the following processes [14,32,33]:
The ability to oxidize organic matter is present in 1O2. Therefore, triethylenediamine (TEDA) was used as a trapping agent to evaluate the role of 1O2 in OFX degradation. As shown in Figure 8, it can be seen that the removal efficiency of OFX decreased from 98.9% to 78.3% due to the addition of TEDA, illustrating that strong inhibition would occur when 1O2 was absent. Therefore, it can be shown that 1O2 plays a role in the degradation of OFX in the plasma/ZnO/PS system.
2.6. Total Organic Carbon (TOC) Removal
Mineralization is an important indicator of wastewater treatment. The removal efficiency of TOC in different systems was compared, and the results are shown in Figure 9. It can be seen that the mineralization of OFX was only 35.9% in the single plasma system, which increased to 42.5% with the addition of PS. The removal efficiency was further increased to 49.6% with the further addition of ZnO. It can be seen that the mineralization rate did not exceed 50%. Compared with a removal efficiency close to 100%, it can be illustrated that a large number of intermediate products were generated during OFX degradation.
Figure 9.
TOC removal in various systems.
2.7. Degradation Pathways and Toxicity Analysis
LC-MS was adopted to identify the degradation intermediates. Then, the degradation pathways were proposed, which is shown in Figure 10A. There are two possible degradation pathways for OFX, starting with piperazine and quinolone, respectively. In the first pathway, the active substances produced by the plasma system, namely ·OH and 1O2, react with OFX, and a hydroxyl group is linked to the C-5 of OFX, thus breaking the stability of the original substance. Further, the interaction of P1 with the active free radical, the quinolone C-10, will also link a hydroxyl group to form P2 and then remove H-42 and H-33 to form a new C-C double bond, eventually forming CO2 and H2O. For the second pathway, the reaction mainly starts with quinolones. Under the action of ·OH and 1O2, the methyl group at N-14 is shot down, the stability of the original substance is destroyed, and P4 is formed. The action of the reactive oxygen species will also connect a hydroxyl group at C-40 and then further remove the hydrogen atoms at C-40 and C-31, forming a C-C double bond.
Figure 10.
(A) Degradation pathways. (B) Oral, rat, 50% lethal dose (LD50). (C) Development toxicity.
The toxicity of OFX and its intermediates was evaluated by an oral 50% lethal dose (LD50) in rats and developmental toxicity, which is shown in Figure 10B,C. For LD50, most of the intermediates were less toxic than OFX, except for P1 and P3. The toxicity of all intermediates was lower than that of OFX for developmental toxicity. As a whole, the target pollutants can be degraded into less toxic substances in this system.
2.8. Comparison to Other Technologies
In order to illustrate the advantage of the plasma/ZnO/PS system, the degradation of OFX by different technologies was compared via the aspects of treatment time, removal efficiency, and energy efficiency (Table 1). Zhang et al. used the Gd2Ti2O7 photocatalyst to degrade OFX. After a 90 min treatment, the removal efficiency of OFX reached 96.0%, but the energy efficiency was only 2.0 mg/kWh [34]. Wang et al. used the photo-Fenton process to degrade OFX. OFX was completely degraded in 50 min, but its energy efficiency was only 1.92 mg/kWh, which was still lower than that of the Gd2Ti2O7 photocatalytic process [35]. Porous cerium titanate was also used for the photocatalytic degradation of OFX, but its removal efficiency was only 50.0% [36]. Bhatia et al. adopted visible photocatalysis to remove OFX, but it took 360 min to remove 86.0% of the OFX [37]. Although 100% OFX could be degraded by photocatalytic-activated PS technology, the relatively long treatment time was inhibiting [38]. The Sm2Ti2O7 photocatalyst could degrade 99.2% OFX, and its energy efficiency reached 42.5 mg/kWh [39]. It is worth noting that in this work, 99.5% of OFX was degraded under a removal time of 20 min, and the energy efficiency was as high as 247.5 mg/kWh. Therefore, it can be concluded that compared with other technologies, plasma/ZnO/PS has obvious advantages in the aspects of treatment time, removal efficiency, and energy efficiency.
Table 1.
Comparison of other technologies for OFX degradation.
3. Experiment
3.1. Reagents
OFX, potassium persulfate, zinc acetate, NaOH, ethanol, Et-OH, TBA, BQ, triethylenediamine, 5,5-Dimethyl-1-pyrroline N-oxide, and tetramethylpiperidine were bought from Shanghai Aladdin Biochemical Technology Co., Ltd. (Shanghai, China). Acetonitrile and formic acid were purchased from Sinopharm Chemical Reagent Company (Beijing, China). During the experiment, deionized water was used to prepare the solution, which was prepared using an ultrapure water machine.
3.2. Experimental System
The experimental system is shown in Figure 11A and consisted of a pulse power supply system (PSPT-2000C) provided by Nanjing Propect Electronic Technology Co., Ltd. (Nanjing, China), an electrical detection system (Tektronix, P6015A, Beaverton, OR, USA and Tektronix, P6021), a circulation system (longer, BT600-2J, Tucson, AZ, USA), and a reaction system (a cylinder 10 cm in diameter and 15 cm in height). The power supply system included a plasma power supply and contact voltage regulator. The electrical detection system consisted of an oscilloscope, voltage probe, and current probe. The main discharge form of the reactor was DBD discharge. The high-voltage electrode was composed of stainless-steel mesh, the ground electrode was composed of a water electrode, and the medium was a quartz glass tube. During the experiment, the water sample was pumped into the upper part of the reactor through a peristaltic pump, with a flow rate of 100 mL/min, and flowed through the discharge area in the form of a water film. The OFX molecules were attacked by the active species generated by the discharge.
Figure 11.
(A) Schematic diagram of the experimental system. (B) Optical emission spectra (OES).
3.3. ZnO Preparation and Characterization
The preparation method of the ZnO nanoparticles was as follows. Zinc acetate was first dissolved in a glycol solution. Secondly, the solution was stirred in a water bath at 70 °C for 1 h and then dispersed by ultrasonic treatment for 1 h. The previously prepared NaOH solution was added to the above solution and was stirred at 70 °C for 2 h. Then, the solution was included in a Teflon reactor for reaction at 160 °C for approximately 20 h. Finally, centrifuge washing was performed using deionized water and anhydrous ethanol. The obtained ZnO nanoparticles were dried in a vacuum drying furnace (70 °C) for 10 h.
The morphology of the prepared ZnO nanoparticles was examined using a scanning electron microscope (SEM, FEI, Nova Nano SEM 450, Portland, OR, USA) and transmission electron microscope (TEM, Tecnai F30 instrument, Philips-FEI, Amsterdam, Holland). The crystalline form was examined by an X-ray diffractometer (XRD, Rigaku Corporation, D/MAX 2400, Tokyo, Japan).
3.4. Analysis
The initial concentration of the experimental OFX solution was 20 mg/L, and the volume used in a single experiment was 300 mL. The total discharge time was 20 min, and 2 mL samples were taken every 5 min to determine the residual concentration of OFX in the liquid phase. The pH of the solution was measured by a pH meter. High-performance liquid chromatography (HPLC, Shimadzu LC-10Avp, Kyoto, Tapan) was used to determine the residual concentration of OFX during the degradation process. The mobile phase was 30% acetonitrile (chromatographically pure) and 70% formic acid (1%), which was passed through the Waters C18 column at a flow rate of 1 mL/min. The detection wavelength was set to 288 nm, the retention time was 10 min, and the injection amount was 20 μL. The degradation kinetics were calculated according to the pseudo-first-order kinetic model:
where C0 and Ct are the initial concentration and the concentration of OFX at t min, respectively, mg/L; k is the reaction rate constant, min−1; and t is the reaction time, min.
The synergetic factor was calculated based on the kinetic constant, which is shown as follows:
where SF is the synergetic factor; kplasma+C is the kinetic constant of OFX degradation by plasma with a catalyst; kplasma is the kinetic constant of OFX degradation by plasma alone; and kC is the kinetic constant by catalyst alone. The energy efficiency at a certain period of degradation time was described as follows:
where C0 and Ct have the same meaning as in Equation (11).
An ESR spectrometer (Brooke, Micro) was adopted to identify ·OH and ·SO4−. The TOC was determined by a TOC analyzer (SHMADZU, TOC-V). The intermediates were verified by a liquid chromatography-mass spectrometer (LC-MS). The toxicity of intermediates was assessed by a Toxicity Estimation Software Tool (TEST).
4. Conclusions
In this study, the degradation effect of the plasma/PS/ZnO system on OFX was investigated. With the basis of traditional plasma/PS technology, ZnO was used to further improve the activation efficiency of plasma on PS, thus improving the degradation efficiency of OFX and the energy utilization efficiency of plasma. First, ZnO nanoparticles were prepared by a hydrothermal synthesis method, and the morphology was characterized by SEM and TEM, which proved that ZnO nanoparticles could be successfully prepared. Then, the effects of different PS additions, ZnO additions, and input powers on the degradation of OFX were investigated. The optimal dosages of PS and ZnO were 2.5 mM and 0.25 g/L, respectively. A higher input power increased the removal efficiency of OFX. Compared to the plasma and plasma/ZnO systems, the plasma/ZnO/PS system showed a higher energy utilization efficiency and synergistic factor. ESR analysis showed that plasma and ZnO could successfully activate PS and produce more ·OH and ·SO4−. The free radical scavenger experiment proved that ·OH, ·SO4−, ·O2−, and 1O2 played a role in the degradation of OFX. The addition of PS and ZnO further improved mineralization. Degradation pathways and toxicity were analyzed. Compared with other technologies, plasma/ZnO/PS has advantages in terms of treatment time, removal efficiency, and energy efficiency. Although ZnO can promote the plasma activation of PS, its characteristics of a wide bandgap and easy electron-hole recombination limit its catalytic effect. Therefore, promoting the application range of visible light, avoiding the problem of easy electron-hole recombination in ZnO, and improving catalytic efficiency are the next research directions.
Author Contributions
Methodology, Z.L. and J.H.; Formal analysis, J.H.; Data curation, Y.W.; Writing—original draft, Z.L. and W.J.; Project administration, H.G.; Funding acquisition, H.G. All authors have read and agreed to the published version of the manuscript.
Funding
This research was funded by the National Natural Science Foundation of China (No. 22006069), Natural Science Foundation of Jiangsu Province in China (No. BK20200801), Natural Science Research of the Jiangsu Higher Education Institution of China (No. 20KJB610015), Postdoctoral Science Foundation of Jiangsu Province in China (No. 2021K592C), and Postgraduate Research and Practice Innovation Program of Jiangsu Province (Nos. SJCX21_ 0343; SJCX22_0322).
Data Availability Statement
Not applicable.
Conflicts of Interest
The authors declare no conflict of interest.
References
- Georgin, J.; Franco, D.S.P.; Ramos, C.G.; Piccilli, D.G.A.; Lima, E.C.; Sher, F. A review of the antibiotic ofloxacin: Current status of ecotoxicology and scientific advances in its removal from aqueous systems by adsorption technology. Chem. Eng. Res. Des. 2023, 193, 99–120. [Google Scholar] [CrossRef]
- Chen, P.; Blaney, L.; Cagnetta, G.; Huang, J.; Wang, B.; Wang, Y.J.; Deng, S.B.; Yu, G. Degradation of ofloxacin by perylene diimide supramolecular nanofiber sunlight-driven photocatalysis. Environ. Sci. Technol. 2019, 53, 1564–1575. [Google Scholar] [CrossRef] [PubMed]
- Guo, H.; Li, Z.; Lin, S.Y.; Li, D.S.; Jiang, N.; Wang, H.J.; Han, J.G.; Li, J. Multi-catalysis induced by pulsed discharge plasma coupled with graphene-Fe3O4 nanocomposites for efficient removal of ofloxacin in water: Mechanism, degradation pathway and potential toxicity. Chemosphere 2021, 265, 129089. [Google Scholar] [CrossRef] [PubMed]
- Chen, Y.; Jin, Q.; Tang, Z. Degradation of ofloxacin by potassium ferrate: Kinetics and degradation pathways. Environ. Sci. Pollut. Res. 2022, 29, 44504–44512. [Google Scholar] [CrossRef] [PubMed]
- Rytwo, G.; Zelkind, A.L. Evaluation of Kinetic Pseudo-Order in the Photocatalytic Degradation of Ofloxacin. Catalysts 2022, 12, 24. [Google Scholar] [CrossRef]
- Rajendran, H.K.; Fakrudeen, M.A.D.; Chandrasekar, R.; Hullebusch, E.D.; Chellam, P.V. Electrocatalytic Removal of Fluroquinolones from simulated pharmaceutical effluent: Chemometric analysis, Chemical Blueprint of Electrodes and generated Sludge. Environ. Res. 2021, 195, 110844. [Google Scholar] [CrossRef]
- Lv, H.; Han, P.; Li, X.; Mu, Z.; Zuo, Y.; Wang, X.; Tan, Y.; He, G.; Jin, H.; Sun, C.; et al. Electrocatalytic Degradation of Levofloxacin, a Typical Antibiotic in Hospital Wastewater. Materials 2021, 14, 6814. [Google Scholar] [CrossRef]
- Magureanu, M.; Bilea, F.; Bradu, C.; Hong, D. A review on non-thermal plasma treatment of water contaminated with antibiotics. J. Hazard. Mater. 2021, 417, 125481. [Google Scholar] [CrossRef]
- Mouele, E.S.M.; Tijani, J.O.; Badmus, K.O.; Pereao, O.; Babajide, O.; Fatoba, O.O.; Zhang, C.; Shao, T.; Sosnin, E.; Tarasenko, V.; et al. A critical review on ozone and co-species, generation and reaction mechanisms in plasma induced by dielectric barrier discharge technologies for wastewater remediation. J. Environ. Chem. Eng. 2021, 9, 105758. [Google Scholar] [CrossRef]
- Shang, K.F.; Li, J.; Morent, R. Hybrid electric discharge plasma technologies for water decontamination-a short review. Plasma Sci. Technol. 2019, 21, 5–13. [Google Scholar] [CrossRef]
- Aggelopoulos, C.A. Recent advances of cold plasma technology for water and soil remediation: A critical review. Chem. Eng. J. 2022, 428, 131657. [Google Scholar] [CrossRef]
- Shang, K.F.; Wang, X.J.; Li, J.; Wang, H.; Lu, N.; Jiang, N.; Wu, Y. Synergetic degradation of Acid Orange 7 (AO7) dye by DBD plasma and persulfate. Chem. Eng. J. 2017, 311, 378–384. [Google Scholar] [CrossRef]
- Shang, K.F.; Morent, R.; Wang, N.; Wang, Y.X.; Peng, B.; Jiang, N.; Lu, N.; Li, J. Degradation of sulfamethoxazole (SMX) by water falling film DBD Plasma/Persulfate: Reactive species identification and their role in SMX degradation. Chem. Eng. J. 2022, 431, 133916. [Google Scholar] [CrossRef]
- Wang, X.J.; Wang, P.; Liu, X.M.; Hu, L.; Wang, Q.; Xu, P.; Zhang, G.S. Enhanced degradation of PFOA in water by dielectric barrier discharge plasma in a coaxial cylindrical structure with the assistance of peroxymonosulfate. Chem. Eng. J. 2020, 389, 124381. [Google Scholar] [CrossRef]
- Wang, Y.W.; Huang, J.W.; Guo, H.; Puyang, C.D.; Han, J.G.; Li, Y.; Ruan, Y.X. Mechanism and process of sulfamethoxazole decomposition with persulfate activated by pulse dielectric barrier discharge plasma. Sep. Purif. Technol. 2022, 287, 120540. [Google Scholar] [CrossRef]
- Patil, S.A.; Jagdale, P.B.; Singh, A.; Singh, R.V.; Khan, Z.; Samal, A.K.; Saxena, M. 2D Zinc oxide-synthesis, methodologies, Reaction mechanism, and applications. Small 2023, 19, 2206063. [Google Scholar] [CrossRef]
- Asgari, G.; Shabanloo, A.; Salari, M.; Eslami, F. Sonophotocatalytic treatment of AB113 dye and real textile wastewater using ZnO/persulfate: Modeling by response surface methodology and artificial neural network. Environ. Res. 2020, 184, 109367. [Google Scholar] [CrossRef]
- Xu, R.Y.; Li, M.; Zhang, Q. Collaborative optimization for the performance of ZnO/biochar composites on persulfate activation through plant enrichment-pyrolysis method. Chem. Eng. J. 2022, 429, 132294. [Google Scholar] [CrossRef]
- Zhou, J.; Wei, T.; An, X.Q. Combining non-thermal plasma technology with photocatalysis: A critical review. Phys. Chem. Chem. Phys. 2023, 25, 1538–1545. [Google Scholar] [CrossRef]
- Khezami, L.; Nguyen-Tri, P.; Saoud, W.A.; Bouzaza, A.; El Jery, A.; Duc Nguyen, D.; Gupta, V.K.; Assadi, A.A. Recent progress in air treatment with combined photocatalytic/plasma processes: A review. J. Environ. Manag. 2021, 299, 113588. [Google Scholar] [CrossRef]
- Guo, H.; Yang, H.; Huang, J.W.; Tong, J.; Liu, X.Y.; Wang, Y.W.; Qiao, W.C.; Han, J.G. Theoretical and experimental insight into plasma-catalytic degradation of aqueous p-nitrophenol with graphene-ZnO nanoparticles. Sep. Purif. Technol. 2022, 295, 121362. [Google Scholar] [CrossRef]
- Wang, Q.C.; Zhang, A.; Li, P.; Héroux, P.; Zhang, H.; Yu, X.; Liu, Y.N. Degradation of aqueous atrazine using persulfate activated by electrochemical plasma coupling with microbubbles: Removal mechanisms and potential applications. J. Hazard Mater. 2021, 403, 124087. [Google Scholar] [CrossRef]
- Lou, J.; Lu, G.L.; Wei, Y.; Zhang, Y.; An, J.T.; Jia, M.K.; Li, M.H. Enhanced degradation of residual potassium ethyl xanthate in mineral separation wastewater by dielectric barrier discharge plasma and peroxymonosulfate. Sep. Purif. Technol. 2022, 282, 119955. [Google Scholar] [CrossRef]
- Yan, X.; Yi, C.W.; Wang, Y.H.; Cao, W.D.; Mao, D.N.; Ou, Q.Q.; Shen, P.Y.; Wang, H.J. Multi-catalysis of nano-zinc oxide for bisphenol A degradation in a dielectric barrier discharge plasma system: Effect and mechanism. Sep. Purif. Technol. 2020, 231, 115897. [Google Scholar] [CrossRef]
- Guo, H.; Wang, Y.W.; Yao, X.; Zhang, Y.T.; Li, Z.; Pan, S.J.; Han, J.G.; Xu, L.J.; Qiao, W.C.; Li, J.; et al. A comprehensive insight into plasma-catalytic removal of antibiotic oxytetracycline based on graphene-TiO2-Fe3O4 nanocomposites. Chem. Eng. J. 2021, 425, 130614. [Google Scholar] [CrossRef]
- Wang, C.; Qu, G.Z.; Wang, T.C.; Deng, F.; Liang, D.L. Removal of tetracycline antibiotics from wastewater by pulsed corona discharge plasma coupled with natural soil particles. Chem. Eng. J. 2018, 346, 159–170. [Google Scholar] [CrossRef]
- Zhang, M.X.; Ognier, S.; Touati, N.; Hauner, I.; Guyon, C.; Binet, L.; Michael, T. A plasma/liquid microreactor for radical reaction chemistry: An experimental and numerical investigation by EPR spin trapping. Plasma Process. Polym. 2018, 15, 1700188. [Google Scholar] [CrossRef]
- Khan, J.A.; He, X.X.; Shah, N.S.; Sayed, M.; Khan, H.M.; Dionysiou, D.D. Degradation kinetics and mechanism of desethyl-atrazine and desisopropyl-atrazine in water with ·OH and ·SO4− based-AOPs. Chem. Eng. J. 2017, 325, 485–494. [Google Scholar] [CrossRef]
- Cai, C.; Zhang, H.; Zhong, X.; Hou, L.W. Electrochemical enhanced heterogeneous activation of peroxydisulfate by Fe-Co/SBA-15 catalyst for the degradation of Orange II in water. Water. Res. 2014, 66, 473–485. [Google Scholar] [CrossRef]
- Liu, N.; Lu, N.; Yu, H.T.; Chen, S.; Quan, X. Enhanced degradation of organic water pollutants by photocatalytic in-situ activation of sulfate based on Z-scheme g-C3N4/BiPO4. Chem. Eng. J. 2022, 428, 132116. [Google Scholar] [CrossRef]
- Chen, G.Y.; Yu, Y.; Liang, L.; Duan, X.G.; Li, R.; Lu, X.K.; Yan, B.B.; Li, N.; Wang, S.B. Remediation of antibiotic wastewater by coupled photocatalytic and persulfate oxidation system: A critical review. J. Hazard. Mater. 2021, 408, 124461. [Google Scholar] [CrossRef] [PubMed]
- Yuan, D.L.; Zhang, C.; Tang, S.F.; Wang, Z.T.; Sun, Q.N.; Zhang, X.Y.; Jiao, T.F.; Zhang, Q.R. Ferric ion-ascorbic acid complex catalyzed calcium peroxide for organic wastewater treatment: Optimized by response surface method. Chinese. Chem. Lett. 2021, 32, 3387–3392. [Google Scholar] [CrossRef]
- Nie, M.H.; Deng, Y.W.; Nie, S.H.; Yan, C.X.; Ding, M.J.; Dong, W.B.; Dai, Y.H.; Zhang, Y.M. Simultaneous removal of bisphenol A and phosphate from water by peroxymonosulfate combined with calcium hydroxide. Chem. Eng. J. 2019, 369, 35–45. [Google Scholar] [CrossRef]
- Zhang, W.J.; Liu, Y.X.; Li, C.G. Photocatalytic degradation of ofloxacin on Gd2Ti2O7 supported on quartz spheres. J. Phys. Chem. Solids 2018, 118, 144–149. [Google Scholar] [CrossRef]
- Wang, J.F.; Liu, Y.; Shao, P.; Zhu, Z.Y.; Ji, H.D.; Du, Z.X.; Wang, C.C.; Liu, W.; Gao, L.J. Efficient ofloxacin degradation via photo-Fenton process over eco-friendly MIL-88A(Fe): Performance, degradation pathways, intermediate library establishment and toxicity evaluation. Environ. Res. 2022, 210, 112937. [Google Scholar] [CrossRef] [PubMed]
- Zhang, W.J.; Yang, J.; Li, C.G. Role of thermal treatment on sol-gel preparation of porous cerium titanate: Characterization and photocatalytic degradation of ofloxacin. Mat. Sci. Semicon. Proc. 2018, 85, 33–39. [Google Scholar] [CrossRef]
- Bhatia, V.; Ray, A.K.; Dhir, A. Enhanced photocatalytic degradation of ofloxacin by co-doped titanium dioxide under solar irradiation. Sep. Purif. Technol. 2016, 161, 1–7. [Google Scholar] [CrossRef]
- Wang, K.Y.; Liang, G.Z.; Waqas, M.; Yang, B.; Xiao, K.; Zhu, C.Z.; Zhang, J.M. Peroxymonosulfate enhanced photoelectrocatalytic degradation of ofloxacin using an easily coated cathode. Sep. Purif. Technol. 2020, 236, 116301. [Google Scholar] [CrossRef]
- Zhang, T.Y.; Zhang, W.J.; Li, H.; Yang, L.L.; Xu, W.D. Enhanced photocatalytic degradation of ofloxacin by Sm2Ti2O7 supported on quartz sand. Mat. Sci. Semicon. Proc. 2023, 158, 107354. [Google Scholar] [CrossRef]
Disclaimer/Publisher’s Note: The statements, opinions and data contained in all publications are solely those of the individual author(s) and contributor(s) and not of MDPI and/or the editor(s). MDPI and/or the editor(s) disclaim responsibility for any injury to people or property resulting from any ideas, methods, instructions or products referred to in the content. |
© 2023 by the authors. Licensee MDPI, Basel, Switzerland. This article is an open access article distributed under the terms and conditions of the Creative Commons Attribution (CC BY) license (https://creativecommons.org/licenses/by/4.0/).










