Atomically Dispersed Pd Sites on ZrO2 Hybridized N-Doped Carbon for Efficient Suzuki–Miyaura Reaction
Abstract
1. Introduction
2. Results and Discussion
2.1. Synthesis of Pd@ZrO2/N–C
2.2. Characterization of the Catalysts
2.3. Performance Evaluation of the Suzuki Reaction
3. Materials and Methods
3.1. Chemicals
3.2. Synthesis of PdCl2/UiO-66–NH2
3.3. Synthesis of Pd@ZrO2/N–C
3.4. Suzuki–Miyaura Cross-Coupling Reaction
4. Conclusions
Supplementary Materials
Author Contributions
Funding
Data Availability Statement
Conflicts of Interest
References
- Biffis, A.; Centomo, P.; Del Zotto, A.; Zecca, M. Pd metal catalysts for cross-couplings and related reactions in the 21st century: A critical review. Chem. Rev. 2018, 118, 2249–2295. [Google Scholar] [CrossRef] [PubMed]
- Pengyao, J.; Shujie, W.; Qing, S.; Xiaodong, L.; Ziqian, L.; Guanghua, L.; Qiaolin, W. Salen–porphyrin-based conjugated microporous polymer supported Pd nanoparticles: Highly efficient heterogeneous catalysts for aqueous C–C coupling reactions†. J. Mater. Chem. A 2019, 7, 2660–2666. [Google Scholar]
- Trzeciak, A.M.; Augustyniak, A.W. The role of palladium nanoparticles in catalytic C–C cross-coupling reactions. Coord. Chem. Rev. 2019, 384, 1–20. [Google Scholar] [CrossRef]
- Chen, Z.; Vorobyeva, E.; Mitchell, S.; Fako, E.; Ortuno, M.A.; Lopez, N.; Collins, S.M.; Midgley, P.A.; Richard, S.; Vile, G.; et al. A heterogeneous single-atom palladium catalyst surpassing homogeneous systems for Suzuki coupling. Nat. Nanotechnol. 2018, 13, 702–707. [Google Scholar] [CrossRef] [PubMed]
- Yanhui, W.; Xiaotian, Q.; Qiao, M.; Peng, L.; Gavin Chit, T. Stereoselective palladium-catalyzed base-free Suzuki–Miyaura cross-coupling of tetrasubstituted gem-difluoroalkenes: An experimental and computational study. ACS Catal. 2021, 11, 4799–4809. [Google Scholar]
- Wang, L.; Lyu, S.; Zhang, P.; Tian, X.; Wang, D.; Huang, W.; Liu, Z. Nitrogen-bonded ultrasmall palladium clusters over the nitrogen-doped carbon for promoting Suzuki cross-coupling reactions. Adv. Compos. Hybrid Mater. 2022, 5, 1396–1403. [Google Scholar] [CrossRef]
- Beletskaya, I.P.; Alonso, F.; Tyurin, V. The Suzuki-Miyaura reaction after the nobel prize. Coord. Chem. Rev. 2019, 385, 137–173. [Google Scholar] [CrossRef]
- Alonso, F.; Beletskaya, I.P.; Yus, M. Non-conventional methodologies for transition-metal catalysed carbon–carbon coupling: A critical overview. Part 2: The Suzuki reaction. Tetrahedron 2008, 64, 3047–3101. [Google Scholar] [CrossRef]
- Molnár, Á.; Papp, A. Catalyst recycling—A survey of recent progress and current status. Coord. Chem. Rev. 2017, 349, 1–65. [Google Scholar] [CrossRef]
- Wan, Y.; Wang, H.; Zhao, Q.; Klingstedt, M.; Terasaki, O.; Zhao, D. Ordered mesoporous Pd/silica–carbon as a highly active heterogeneous catalyst for coupling reaction of chlorobenzene in aqueous media. J. Am. Chem. Soc. 2009, 131, 4541–4550. [Google Scholar] [CrossRef]
- Cho, J.K.; Najman, R.; Dean, T.W.; Ichihara, O.; Muller, C.; Bradley, M. Captured and cross-linked palladium nanoparticles. J. Am. Chem. Soc. 2006, 128, 6276–6277. [Google Scholar] [CrossRef]
- Wang, J.; Li, T.; Zhao, Z.; Zhang, X.; Pang, W. Pd nanoparticles embedded into MOF-808: Synthesis, structural characteristics, and catalyst properties for the Suzuki–Miyaura coupling reaction. Catal. Lett. 2021, 152, 1545–1554. [Google Scholar] [CrossRef]
- Veisi, H.; Ozturk, T.; Karmakar, B.; Tamoradi, T.; Hemmati, S. In situ decorated Pd NPs on chitosan-encapsulated Fe3O4/SiO2-NH2 as magnetic catalyst in Suzuki-Miyaura coupling and 4-nitrophenol reduction. Carbohydr. Polym. 2020, 235, 115966. [Google Scholar] [CrossRef]
- Xinyao, S.; Ning, S.; Wengang, L.; Manhong, L.; Jian, L. In situ generation of supported palladium nanoparticles from a Pd/Sn/S chalcogel and applications in 4-nitrophenol reduction and Suzuki coupling†. J. Mater. Chem. A 2019, 7, 4446–4450. [Google Scholar]
- Matías, B.; Dario, M.; Cristina, T.; Andrea, B.; Denis, B.; Paolo, P.; Michal, O.; Aristides, B.; Zhibo, L.; Wencai, R.; et al. Palladium nanoparticles supported on graphene acid: A stable and eco-friendly bifunctional C–C homo- and cross-coupling catalyst. Green Chem. 2019, 21, 5238–5247. [Google Scholar]
- Feizi Mohazzab, B.; Jaleh, B.; Issaabadi, Z.; Nasrollahzadeh, M.; Varma, R.S. Stainless steel mesh-GO/Pd NPs: Catalytic applications of Suzuki–Miyaura and Stille coupling reactions in eco-friendly media. Green Chem. 2019, 21, 3319–3327. [Google Scholar] [CrossRef]
- Baran, T.; Nasrollahzadeh, M. Facile synthesis of palladium nanoparticles immobilized on magnetic biodegradable microcapsules used as effective and recyclable catalyst in Suzuki-Miyaura reaction and p-nitrophenol reduction. Carbohydr. Polym. 2019, 222, 115029. [Google Scholar] [CrossRef]
- Li, Y.; Fan, X.; Qi, J.; Ji, J.; Wang, S.; Zhang, G.; Zhang, F. Palladium nanoparticle-graphene hybrids as active catalysts for the Suzuki reaction. Nano Res. 2010, 3, 429–437. [Google Scholar] [CrossRef]
- Kim, S.; Jee, S.; Choi, K.M.; Shin, D.-S. Single-atom Pd catalyst anchored on Zr-based metal-organic polyhedra for Suzuki-Miyaura cross coupling reactions in aqueous media. Nano Res. 2020, 14, 486–492. [Google Scholar] [CrossRef]
- He, P.; Xu, B.; Xu, X.; Song, L.; Wang, X. Surfactant encapsulated palladium-polyoxometalates: Controlled assembly and their application as single-atom catalysts. Chem. Sci. 2016, 7, 1011–1015. [Google Scholar] [CrossRef]
- Cao, C.; Song, W. Single-atom catalysts for thermal heterogeneous catalysis in liquid: Recent progress and future perspective. ACS Mater. Lett. 2020, 2, 1653–1661. [Google Scholar] [CrossRef]
- Wang, A.Q.; Li, J.; Zhang, T. Heterogeneous single-atom catalysis. Nat. Rev. Chem. 2018, 2, 65–81. [Google Scholar] [CrossRef]
- Liu, D.; He, Q.; Ding, S.; Song, L. Structural regulation and support coupling effect of single-atom catalysts for heterogeneous catalysis. Adv. Energy Mater. 2020, 10, 2001482. [Google Scholar] [CrossRef]
- Gawish, M.; Drmosh, Q.; Onaizi, S. Single atom catalysts: An overview of the coordination and interactions with metallic supports. Chem. Rec. 2022, 22, e202100328. [Google Scholar] [CrossRef]
- Jeong, H.; Shin, S.; Lee, H. Heterogeneous atomic catalysts overcoming the limitations of single-atom catalysts. ACS Nano 2020, 14, 14355–14374. [Google Scholar] [CrossRef]
- Wang, X.; Jia, Y.; Mao, X.; Liu, D.; He, W.; Li, J.; Liu, J.; Yan, X.; Chen, J.; Song, L.; et al. Edge-rich Fe–N4 active sites in defective carbon for oxygen reduction catalysis. Adv. Mater. 2020, 32, 2000966. [Google Scholar] [CrossRef]
- Zhang, H.; Li, J.; Xi, S.; Du, Y.; Hai, X.; Wang, J.; Xu, H.; Wu, G.; Zhang, J.; Lu, J.; et al. A graphene-supported single-atom FeN5 catalytic site for efficient electrochemical CO2 reduction. Angew. Chem. Int. Ed. 2019, 58, 14871–14876. [Google Scholar] [CrossRef]
- Gong, W.; Lin, Y.; Chen, C.; Al-Mamun, M.; Lu, H.S.; Wang, G.; Zhang, H.; Zhao, H. Nitrogen-doped carbon nanotube confined Co–Nx sites for selective hydrogenation of biomass-derived compounds. Adv. Mater. 2019, 31, 1808341. [Google Scholar] [CrossRef]
- Zhou, D.; Li, X.; Shang, H.; Qin, F.; Chen, W. Atomic regulation of metal–organic framework derived carbon-based single-atom catalysts for the electrochemical CO2 reduction reaction. J. Mater. Chem. A 2021, 9, 23382–23418. [Google Scholar] [CrossRef]
- Xie, X.; Shang, L.; Xiong, X.; Shi, R.; Zhang, T. Fe single-atom catalysts on MOF-5 derived carbon for efficient oxygen reduction reaction in proton exchange membrane fuel cells. Adv. Energy Mater. 2021, 12, 2102688. [Google Scholar] [CrossRef]
- Sui, X.; Zhang, L.; Li, J.; Doyle-Davis, K.; Li, R.; Wang, Z.; Sun, X. Advanced support materials and interactions for atomically dispersed noble-metal catalysts: From support effects to design strategies. Adv. Energy Mater. 2021, 12, 2102556. [Google Scholar] [CrossRef]
- Wen, X.; Zhang, Q.; Guan, J. Applications of metal–organic framework-derived materials in fuel cells and metal-air batteries. Coord. Chem. Rev. 2020, 409, 213214. [Google Scholar] [CrossRef]
- Zhao, W.; Wan, G.; Peng, C.; Sheng, H.; Wen, J.; Chen, H. Key single-atom electrocatalysis in metal-organic framework (MOF)-derived bifunctional catalysts. ChemSusChem 2018, 11, 3473–3479. [Google Scholar] [CrossRef]
- Wang, Q.; Ina, T.; Chen, W.-T.; Shang, L.; Sun, F.; Wei, S.; Sun-Waterhouse, D.; Telfer, S.G.; Zhang, T.; Waterhouse, G.I.N. Evolution of Zn(II) single atom catalyst sites during the pyrolysis-induced transformation of ZIF-8 to N-doped carbons. Sci. Bull. 2020, 65, 1743–1751. [Google Scholar] [CrossRef]
- Gong, Y.N.; Jiao, L.; Qian, Y.; Pan, C.; Zheng, L.; Cai, X.; Liu, B.; Yu, S.H.; Jiang, H.L. Regulating the coordination environment of MOF-templated single-atom nickel electrocatalysts for boosting CO2 reduction. Angew. Chem. Int. Ed. 2020, 59, 2705–2709. [Google Scholar] [CrossRef]
- Yang, Z.K.; Yuan, C.Z.; Xu, A.W. A rationally designed Fe-tetrapyridophenazine complex: A promising precursor to a single-atom Fe catalyst for an efficient oxygen reduction reaction in high-power Zn-air cells. Nanoscale 2018, 10, 16145–16152. [Google Scholar] [CrossRef]
- Song, Z.; Zhang, L.; Doyle-Davis, K.; Fu, X.; Luo, J.L.; Sun, X. Recent advances in MOF-derived single atom catalysts for electrochemical applications. Adv. Energy Mater. 2020, 10, 2001561. [Google Scholar] [CrossRef]
- Liu, K.; Tang, Y.; Yu, Z.; Ge, B.; Ren, G.; Ren, Y.; Su, Y.; Zhang, J.; Sun, X.; Chen, Z.; et al. High-loading and thermally stable Pt1/MgAl1.2Fe0.8O4 single-atom catalysts for high-temperature applications. Sci. China Mater. 2020, 63, 949–958. [Google Scholar] [CrossRef]
- Zhao, L.; Zhang, Y.; Huang, L.B.; Liu, X.Z.; Zhang, Q.H.; He, C.; Wu, Z.Y.; Zhang, L.J.; Wu, J.; Yang, W.; et al. Cascade anchoring strategy for general mass production of high-loading single-atomic metal-nitrogen catalysts. Nat. Commun. 2019, 10, 1278. [Google Scholar] [CrossRef]
- Zhang, L.; Wang, A.; Wang, W.; Huang, Y.; Liu, X.; Miao, S.; Liu, J.; Zhang, T. Co–N–C catalyst for C–C coupling reactions: On the catalytic performance and active sites. ACS Catal. 2015, 5, 6563–6572. [Google Scholar] [CrossRef]
- Rong, C.; Shen, X.; Wang, Y.; Thomsen, L.; Zhao, T.; Li, Y.; Lu, X.; Amal, R.; Zhao, C. Electronic structure engineering of single-atom Ru sites via Co-N4 sites for bifunctional pH-universal water splitting. Adv. Mater. 2022, 34, 2110103. [Google Scholar] [CrossRef]
- Chowdhuri, A.R.; Laha, D.; Chandra, S.; Karmakar, P.; Sahu, S.K. Synthesis of multifunctional upconversion NMOFs for targeted antitumor drug delivery and imaging in triple negative breast cancer cells. Chem. Eng. J. 2017, 319, 200–211. [Google Scholar] [CrossRef]
- Rakhshani, N.; Hassanzadeh Nemati, N.; Saadatabadi, A.R.; Sadrnezhaad, S.K. Fabrication of novel poly(N-vinylcaprolactam)-coated UiO-66-NH2 metal organic framework nanocarrier for the controlled release of doxorubicin against A549 lung cancer cells. J. Drug Delivery Sci. Technol. 2021, 66, 102881. [Google Scholar] [CrossRef]
- Kandiah, M.; Nilsen, M.H.; Usseglio, S.; Jakobsen, S.; Olsbye, U.; Tilset, M.; Larabi, C.; Quadrelli, E.A.; Bonino, F.; Lillerud, K.P. Synthesis and stability of tagged UiO-66 Zr-MOFs. Chem. Mater. 2010, 22, 6632–6640. [Google Scholar] [CrossRef]
- Zhao, Y.; Wang, D.; Wei, W.; Cui, L.; Cho, C.W.; Wu, G. Effective adsorption of mercury by Zr(IV)-based metal-organic frameworks of UiO-66-NH2 from aqueous solution. Environ. Sci. Pollut. Res. Int. 2021, 28, 7068–7075. [Google Scholar] [CrossRef]
- Chen, W.X.; Pei, J.J.; He, C.T.; Wan, J.W.; Ren, H.L.; Wang, Y.; Dong, J.C.; Wu, K.L.; Cheong, W.C.; Mao, J.J.; et al. Single tungsten atoms supported on MOF-derived N-doped carbon for robust electrochemical hydrogen evolution. Adv. Mater. 2018, 30, 1800396. [Google Scholar] [CrossRef]
- Cai, A.; He, H.W.; Zhang, Q.C.; Xu, Y.S.; Li, X.T.; Zhang, F.B.; Fan, X.B.; Peng, W.C.; Li, Y. Synergistic effect of N-doped sp2 carbon and porous structure in graphene gels toward selective oxidation of C–H bond. ACS Appl. Mater. Interfaces 2021, 13, 13087–13096. [Google Scholar] [CrossRef]
- Wang, Y.; Jia, G.; Cui, X.; Zhao, X.; Zhang, Q.; Gu, L.; Zheng, L.; Li, L.H.; Wu, Q.; Singh, D.J.; et al. Coordination number regulation of molybdenum single-atom nanozyme peroxidase-like specificity. Chem 2021, 7, 436–449. [Google Scholar] [CrossRef]
- Sun, Z.Y.; Zhang, X.R.; Na, N.; Liu, Z.M.; Han, B.X.; An, G.M. Synthesis of ZrO2-carbon nanotube composites and their application as chemiluminescent sensor material for ethanol. J. Phys. Chem. B 2006, 110, 13410–13414. [Google Scholar] [CrossRef]
- Lu, X.-F.; Wu, D.-J.; Li, R.-Z.; Li, Q.; Ye, S.-H.; Tong, Y.-X.; Li, G.-R. Hierarchical NiCo2O4 nanosheets@hollow microrod arrays for high-performance asymmetric supercapacitors. J. Mater. Chem. A 2014, 2, 4706–4713. [Google Scholar] [CrossRef]
- Liu, J.; Chen, Z.; Liu, C.; Zhang, B.; Du, Y.; Liu, C.-F.; Ma, L.; Xi, S.; Li, R.; Zhao, X.; et al. Molecular engineered palladium single atom catalysts with an M-C1N3 subunit for Suzuki coupling. J. Mater. Chem. A 2021, 9, 11427–11432. [Google Scholar] [CrossRef]
- Xu, H.; Zhang, Z.; Liu, J.; Do-Thanh, C.L.; Chen, H.; Xu, S.; Lin, Q.; Jiao, Y.; Wang, J.; Wang, Y.; et al. Entropy-stabilized single-atom Pd catalysts via high-entropy fluorite oxide supports. Nat. Commun. 2020, 11, 3908. [Google Scholar] [CrossRef]
- Turbasu, S.; Dinesh, B.; Shiv, N.K. Developing efficient Suzuki cross-coupling catalysts by doping palladium clusters with silver. ACS Catal. 2021, 11, 11459–11468. [Google Scholar]
- Beletskaya, I.P.; Cheprakov, A.V. Palladacycles in catalysis—A critical survey. J. Organomet. Chem. 2004, 689, 4055–4082. [Google Scholar] [CrossRef]
- Chen, H.; Shuang, H.; Lin, W.; Li, X.; Zhang, Z.; Li, J.; Fu, J. Tuning interfacial electronic properties of palladium oxide on vacancy-abundant carbon nitride for low-temperature dehydrogenation. ACS Catal. 2021, 11, 6193–6199. [Google Scholar] [CrossRef]
- Tao, X.; Long, R.; Wu, D.; Hu, Y.; Qiu, G.; Qi, Z.; Li, B.; Jiang, R.; Xiong, Y. Anchoring positively charged Pd single atoms in ordered porous ceria to boost catalytic activity and stability in Suzuki coupling reactions. Small 2020, 16, 2001782. [Google Scholar] [CrossRef]






| Entry | mol% (Pd) | Base | Temp. (°C) | Time (h) | Yield b (%) |
|---|---|---|---|---|---|
| 1 | 0.03 | K2CO3 | 80 | 2 | 61 |
| 2 | 0.03 | K2CO3 | 80 | 3 | 82 |
| 3 | 0.03 | K2CO3 | 80 | 4 | 99 |
| 4 | 0.03 | K2CO3 | 60 | 4 | 50 |
| 5 | 0.03 | K2CO3 | 70 | 4 | 93 |
| 6 | 0.01 | K2CO3 | 80 | 4 | 82 |
| 7 | 0.02 | K2CO3 | 80 | 4 | 94 |
| 8 | 0.03 | Na2CO3 | 80 | 4 | 94 |
| 9 | 0.03 | KOH | 80 | 4 | 90 |
| 10 | 0.03 | NaOH | 80 | 4 | 95 |
| 11 | 0.03 | — | 80 | 12 | Trace |
| 12 | — | K2CO3 | 80 | 12 | Trace |
![]() | ||||
![]() | ||||
| 99% (X = I, 4 h) 93% (X = Br, 4 h) | 92% (X = I, 4 h) | 92% (X = I, 4 h) | 85% (X = I, 4 h) 98% (X = I, 6 h) | 74% (X = I, 4 h) 94% (X = I, 6 h) |
![]() | ||||
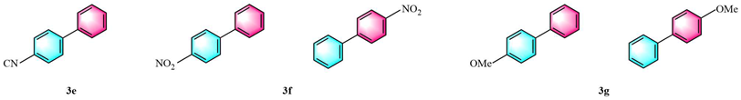
| 97% (X = I, 4 h) | 93% (X = I, 4 h) | 96% (X = I, 4 h) | 95% (X = I, 4 h) | 97% (X = I, 4 h) |
Disclaimer/Publisher’s Note: The statements, opinions and data contained in all publications are solely those of the individual author(s) and contributor(s) and not of MDPI and/or the editor(s). MDPI and/or the editor(s) disclaim responsibility for any injury to people or property resulting from any ideas, methods, instructions or products referred to in the content. |
© 2023 by the authors. Licensee MDPI, Basel, Switzerland. This article is an open access article distributed under the terms and conditions of the Creative Commons Attribution (CC BY) license (https://creativecommons.org/licenses/by/4.0/).
Share and Cite
Du, J.; Peng, Y.; Guo, X.; Zhang, G.; Zhang, F.; Fan, X.; Peng, W.; Li, Y. Atomically Dispersed Pd Sites on ZrO2 Hybridized N-Doped Carbon for Efficient Suzuki–Miyaura Reaction. Catalysts 2023, 13, 651. https://doi.org/10.3390/catal13040651
Du J, Peng Y, Guo X, Zhang G, Zhang F, Fan X, Peng W, Li Y. Atomically Dispersed Pd Sites on ZrO2 Hybridized N-Doped Carbon for Efficient Suzuki–Miyaura Reaction. Catalysts. 2023; 13(4):651. https://doi.org/10.3390/catal13040651
Chicago/Turabian StyleDu, Jiaqi, Yidan Peng, Xu Guo, Guoliang Zhang, Fengbao Zhang, Xiaobin Fan, Wenchao Peng, and Yang Li. 2023. "Atomically Dispersed Pd Sites on ZrO2 Hybridized N-Doped Carbon for Efficient Suzuki–Miyaura Reaction" Catalysts 13, no. 4: 651. https://doi.org/10.3390/catal13040651
APA StyleDu, J., Peng, Y., Guo, X., Zhang, G., Zhang, F., Fan, X., Peng, W., & Li, Y. (2023). Atomically Dispersed Pd Sites on ZrO2 Hybridized N-Doped Carbon for Efficient Suzuki–Miyaura Reaction. Catalysts, 13(4), 651. https://doi.org/10.3390/catal13040651




