The Effect of Cu(II) Nanoparticle Decoration on the Electron Relaxations and Gaseous Photocatalytic Oxidations of Nanocrystalline TiO2
Abstract
1. Introduction
2. Results and Discussion
2.1. Physical Characterization
2.2. Photochromism and Chemical State Shift
2.3. Atmosphere-Dependent Photochromism and Electron Relaxation Mechanism
2.4. Photoinduced Absorptions at 1550 nm
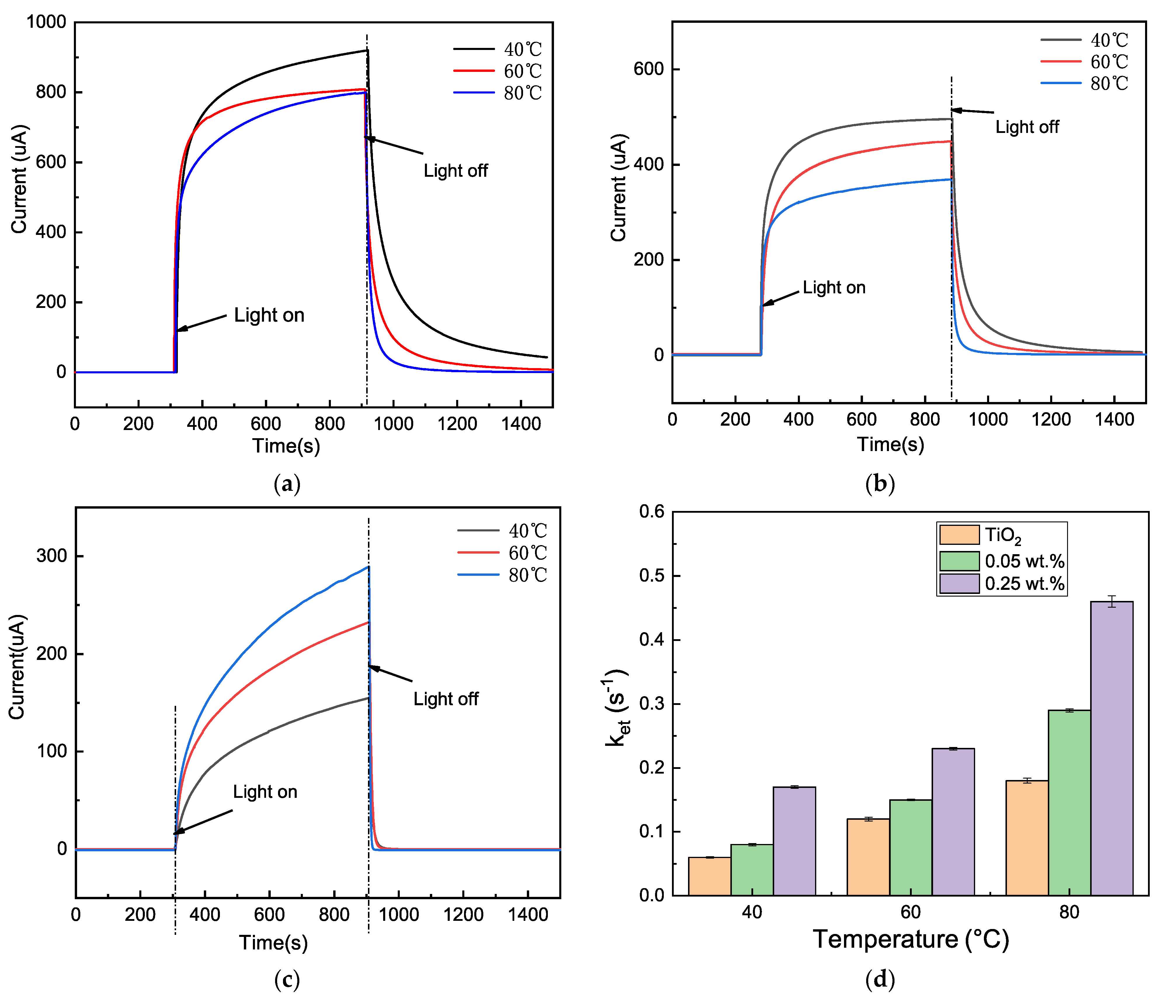
2.5. Atmosphere-Dependent Photoconductances and Relaxation Kinetics
2.6. Photocatalytic Property and the Relation with the Electron Relaxation
3. Experimental Section
3.1. Sample Preparation
3.2. Catalyst Characterization
3.3. Photoconductance Measurement
3.4. Photochromism Measurement
3.5. Photocatalytic Experiments
4. Conclusions
Supplementary Materials
Author Contributions
Funding
Data Availability Statement
Conflicts of Interest
References
- Hejazi, S.; Mohajernia, S.; Osuagwu, B.; Zoppellaro, G.; Andryskova, P.; Tomanec, O.; Kment, S.; Zboril, R.; Schmuki, P. On the controlled loading of single platinum atoms as a Co-catalyst on TiO2 anatase for optimized photocatalytic H2 generation. Adv. Mater. 2020, 32, 1908505. [Google Scholar] [CrossRef] [PubMed]
- Zhang, X.; Zhang, X.R.; Yang, P.; Chen, H.S.; Jiang, S.P. Black magnetic Cu-g-C3N4 nanosheets towards efficient photocatalytic H2 generation and CO2/benzene conversion. Chem. Eng. J. 2022, 450, 138030. [Google Scholar] [CrossRef]
- Wang, R.; Che, G.; Wang, C.; Liu, C.; Liu, B.; Ohtani, B.; Liu, Y.; Zhang, X. Alcohol plasma processed surface amorphization for photocatalysis. ACS Catal. 2022, 12, 12206–12216. [Google Scholar] [CrossRef]
- Zhang, Y.; Xia, B.; Ran, J.; Davey, K.; Qiao, S.Z. Atomic-level reactive sites for semiconductor-based photocatalytic CO2 reduction. Adv. Energy Mater. 2020, 10, 1903879. [Google Scholar] [CrossRef]
- Shayegan, Z.; Lee, C.S.; Haghighat, F. TiO2 photocatalyst for removal of volatile organic compounds in gas phase—A review. Chem. Eng. J. 2018, 334, 2408–2439. [Google Scholar] [CrossRef]
- Chu, L.; Zhang, J.; Wu, Z.; Wang, C.; Sun, Y.; Dong, S.; Sun, J. Solar-driven photocatalytic removal of organic pollutants over direct Z-scheme coral-branch shape Bi2O3/SnO2 composites. Mater. Charact. 2020, 159, 110036. [Google Scholar] [CrossRef]
- Liu, B.; Zhao, X.; Terashima, C.; Fujishima, A.; Nakata, K. Thermodynamic and kinetic analysis of heterogeneous photocatalysis for semiconductor systems. Phys. Chem. Chem. Phys. 2014, 16, 8751–8760. [Google Scholar] [CrossRef]
- Liu, B.; Wu, H.; Parkin, I.P. New insights into the fundamental principle of semiconductor photocatalysis. ACS Omega 2020, 5, 14847–14856. [Google Scholar] [CrossRef]
- Akel, S.; Dillert, R.; Balayeva, N.O.; Boughaled, R.; Koch, J.; Azzouzi, M.E.; Bahnemann, D.W. Ag/Ag2O as a Co-Catalyst in TiO2 photocatalysis: Effect of the Co-catalyst/photocatalyst mass ratio. Catalysts 2018, 8, 647. [Google Scholar] [CrossRef]
- Wang, C.; Fan, H.; Ren, X.; Wen, Y.; Wang, W. Highly dispersed PtO nanodots as efficient co-catalyst for photocatalytic hydrogen evolution. Appl. Surf. Sci. 2018, 462, 423–431. [Google Scholar] [CrossRef]
- Ran, J.; Gao, G.; Li, F.T.; Ma, T.Y.; Du, A.; Qiao, S.Z. Ti3C2 MXene co-catalyst on metal sulfide photo-absorbers for enhanced visible-light photocatalytic hydrogen production. Nat. Comm. 2017, 8, 13907. [Google Scholar] [CrossRef] [PubMed]
- Wang, C.H.; Zhang, X.T.; Liu, Y.C. Promotion of multi-electron transfer for enhanced photocatalysis: A review focused on oxygen reduction reaction. Appl. Surf. Sci. 2015, 358, 28–45. [Google Scholar] [CrossRef]
- Kumar, D.P.; Reddy, N.L.; Srinivas, B.; Durgakumari, V.; Roddatis, V.; Bondarchuk, O.; Karthik, M.; Ikuma, Y.; Shankar, M.V. Stable and active CuxO/TiO2 nanostructured catalyst for proficient hydrogen production under solar light irradiation. Sol. Energy Mater. Sol. Cells 2016, 146, 63–71. [Google Scholar] [CrossRef]
- Cui, L.; Niu, C.; Kang, Y.S.; Caruso, R.A.; Zhang, X.L. Durable CuxO/mesoporous T photocatalyst for stable and efficient hydrogen evolution. Nanoscale 2022, 14, 17460–17465. [Google Scholar] [CrossRef] [PubMed]
- Xi, H.; Xu, Y.; Zou, W.; Ji, J.; Cai, Y.; Wan, H.; Dong, L. Enhanced methanol selectivity of CuxO/TiO2 photocatalytic CO2 reduction: Synergistic mechanism of surface hydroxyl and low-valence copper species. J. CO2 Util. 2022, 55, 101825. [Google Scholar] [CrossRef]
- Qian, X.; Zhang, L.; Lin, Y.; Wang, M.; Wang, X.; Su, W. CuxO modified La2Sn2O7 photocatalyst with enhanced photocatalytic CO2 reduction activity. Appl. Surf. Sci. 2021, 568, 150985. [Google Scholar] [CrossRef]
- Liu, L.; Gao, F.; Zhao, H.; Li, Y. Tailoring Cu valence and oxygen vacancy in Cu/TiO2 catalysts for enhanced CO2 photoreduction efficiency. Appl. Catal. B Environ. 2013, 134, 349–358. [Google Scholar] [CrossRef]
- Ansari, F.; Sheibani, S.; Caudillo-Flores, U.; Fernández-García, M. Effect of TiO2 nanoparticle loading by sol–gel method on the gas-phase photocatalytic activity of CuxO–TiO2 nanocomposite. J. Sol-Gel Sci. Technol. 2020, 96, 464–479. [Google Scholar] [CrossRef]
- Li, G.; Dimitrijevic, N.M.; Chen, L.; Rajh, K.; Gray, K.A. Role of surface/interfacial Cu2+ sites in the photocatalytic activity of coupled CuO-TiO2 nanocomposites. J. Phys. Chem. C 2008, 112, 19040–19044. [Google Scholar] [CrossRef]
- Wang, K.; Bielan, Z.; Endo-Kimura, M.; Janczarek, M.; Zhang, D.; Kowalski, D.; Zielińska-Jurek, A.; Markowska-Szczupak, A.; Ohtani, B.; Kowalska, E. On the mechanism of photocatalytic reactions on CuxO@TiO2 core–shell photocatalysts. J. Mater. Chem. A 2021, 9, 10135–10145. [Google Scholar] [CrossRef]
- Xiang, Y.; Li, Y.; Zhang, X.; Zhou, A.; Jing, N.; Xu, Q. Hybrid CuxO–TiO2 porous hollow nanospheres: Preparation, characterization and photocatalytic properties. RSC Adv. 2017, 7, 31619–31627. [Google Scholar] [CrossRef]
- Irie, H.; Kamiya, K.; Shibamuma, T.; Miura, S.; Tryk, D.A.; Yokoyama, T.; Hashimoto, K. Visible light-sensitive Cu(II)-grafted TiO2 photocatalysts: Activities and X-ray absorption fine structure analyses. J. Phys. Chem. C 2009, 113, 10761–10766. [Google Scholar] [CrossRef]
- Qiu, X.; Miyauchi, M.; Sunada, K.; Minoshima, M.; Liu, M.; Lu, Y.; Li, D.; Shimodaira, Y.; Hosogi, Y.; Kuroda, Y.; et al. Hybrid CuxO/TiO2 nanocomposites as risk-reduction materials in indoor environments. ACS Nano 2012, 6, 1609–1618. [Google Scholar] [CrossRef] [PubMed]
- Nosaka, Y.; Takahashi, S.; Sakamoto, H.; Nosaka, A.Y. Reaction mechanism of Cu(II)-grafted visible-light responsive TiO2 and WO3 photocatalysts studied by means of ESR spectroscopy and chemiluminescence photometry. J. Phys. Chem. C 2011, 115, 21283–21290. [Google Scholar] [CrossRef]
- Kong, L.; Zhang, X.; Wang, C.; Wan, F.; Li, L. Synergic effects of CuxO electron transfer co-catalyst and valence band edge control over TiO2 for efficient visible-light photocatalysis. Chin. J. Catal. 2017, 38, 2120–2131. [Google Scholar] [CrossRef]
- Yamanaka, K.; Ohwaki, T.; Morikawa, T. Charge-carrier dynamics in Cu- or Fe-loaded nitrogen-doped TiO2 powder studied by femtosecond diffuse reflectance spectroscopy. J. Phys. Chem. C 2013, 117, 16448–16456. [Google Scholar] [CrossRef]
- Baldoví, H.G.; Neaţu, Ş.; Khan, A.; Asiri, A.M.; Kosa, S.A.; Garcia, H. Understanding the origin of the photocatalytic CO2 reduction by Au- and Cu-loaded TiO2: A microsecond transient absorption spectroscopy study. J. Phys. Chem. C 2015, 119, 6819–6827. [Google Scholar] [CrossRef]
- Yamakata, A.; Ishibashi, T.; Onishi, H. Water- and oxygen-induced decay kinetics of photogenerated electrons in TiO2 and Pt/TiO2: A time-resolved infrared absorption study. J. Phys. Chem. B 2001, 105, 7258–7262. [Google Scholar] [CrossRef]
- Miyauchi, M.; Irie, H.; Liu, M.; Qiu, X.; Yu, H.; Sunada, K.; Hashimoto, K. Visible-light-sensitive photocatalysts: Nanocluster-grafted titanium dioxide for indoor environmental remediation. J. Phys. Chem. Lett. 2016, 7, 75–84. [Google Scholar] [CrossRef]
- Savory, D.M.; McQuillan, A.J. Influence of formate adsorption and protons on shallow trap infrared absorption (STIRA) of anatase TiO2 during photocatalysis. J. Phys. Chem. Lett. 2013, 117, 23645–23656. [Google Scholar] [CrossRef]
- Marimuthu, A.; Zhang, J.; Linic, S. Tuning selectivity in propylene epoxidation by plasmon mediated photo-switching of Cu oxidation state. Science 2013, 339, 1590–1593. [Google Scholar] [CrossRef]
- Biesinger, M.C.; Lau, L.W.M.; Gerson, A.R.; Smart, R.S.C. Resolving surface chemical states in XPS analysis of first row transition metals, oxides and hydroxides: Sc, Ti, V, Cu and Zn. Appl. Surf. Sci. 2010, 257, 887–898. [Google Scholar] [CrossRef]
- Alotaibi, A.M.; Williamson, B.A.D.; Sathasivam, S.; Kafizas, A.; Alqahtani, M.; Sotelo-Vazquez, C.; Buckeridge, J.; Wu, J.; Nair, S.P.; Scanlon, D.O.; et al. Enhanced photocatalytic and antibacterial ability of Cu-doped anatase TiO2 thin films: Theory and experiment. ACS Appl. Mater. Interfaces 2020, 12, 15348–15361. [Google Scholar] [CrossRef]
- Sakaguchi, K.; Shimakawa, K.; Hatanaka, Y. Transport and recombination of photo-carriers under potential fluctuation in TiOx films prepared by rf magnetron sputtering method. Phys. Status Solidi C 2011, 8, 2796–2799. [Google Scholar] [CrossRef]
- Liu, B.; Wu, H.; Zhang, X.; Parkin, I.P.; Zhao, X. New Insight into the role of electron transfer to O2 in photocatalytic oxidations of acetone over TiO2 and the effect of Au cocatalyst. Phys. Chem. C 2019, 123, 30958–30971. [Google Scholar] [CrossRef]
- Zaki, M.I.; Hasan, M.A.; Pasupulety, L. Surface reactions of Acetone on Al2O3, TiO2, ZrO2, and CeO2: IR spectroscopic assessment of impacts of the surface acid-base properties. Langmuir 2001, 17, 768–774. [Google Scholar] [CrossRef]
- Mattsson, A.; Leideborg, M.; Laesson, K.; Westin, G.; Sterlund, O.L. Adsorption and solar light decomposition of acetone on anatase TiO2 and Niobium doped TiO2 thin films. J. Phys. Chem. 2006, 110, 1210–1220. [Google Scholar] [CrossRef]
- Saedy, S.; Hiemstra, N.; Benz, D.; Van Bui, H.; Nolan, M.; van Ommen, J.R. Dual promotional effect of CuxO clusters grown with atomic layer deposition on TiO2 for photocatalytic hydrogen production. Catal. Sci. Technol. 2022, 12, 4511–4523. [Google Scholar] [CrossRef]
- Tobaldi, D.M.; Kočí, K.; Edelmannová, M.; Lajaunie, L.; Figueiredo, B.; Calvino, J.J.; Seabra, M.P.; Labrincha, J.A. CuxO and carbon–modified TiO2–based hybrid materials for photocatalytically assisted H2 generation. Mater. Today Energy 2021, 19, 100607. [Google Scholar] [CrossRef]
- Wu, Z.; Li, L.; Zhou, X.; Parkin, I.P.; Zhao, X.; Liu, B. A light-heat synergism in the sub-bandgap photocatalytic response of pristine TiO2: A study of in situ diffusion reflectance and conductance. Phys. Chem. Chem. Phys. 2022, 24, 5618–5626. [Google Scholar] [CrossRef]
- Liu, B.; Wang, J.; Parkin, I.P.; Zhao, X. The effect of Cu dopants on electron transfer to O2 and the connection with acetone photocatalytic oxidations over nano-TiO2. Phys. Chem. Chem. Phys. 2021, 23, 8300–8308. [Google Scholar] [CrossRef] [PubMed]
- Wu, Z.; Li, L.; Zhou, X.; Zhao, X.; Liu, B. Kinetics and energetic analysis of the slow dispersive electron transfer from nano-TiO2 to O2 by in situ diffusion reflectance and Laplace transform. Phys. Chem. Chem. Phys. 2021, 23, 19901–19910. [Google Scholar] [CrossRef] [PubMed]













Disclaimer/Publisher’s Note: The statements, opinions and data contained in all publications are solely those of the individual author(s) and contributor(s) and not of MDPI and/or the editor(s). MDPI and/or the editor(s) disclaim responsibility for any injury to people or property resulting from any ideas, methods, instructions or products referred to in the content. |
© 2023 by the authors. Licensee MDPI, Basel, Switzerland. This article is an open access article distributed under the terms and conditions of the Creative Commons Attribution (CC BY) license (https://creativecommons.org/licenses/by/4.0/).
Share and Cite
Zhao, B.; Wen, L.; Xu, L.; Zhao, X.; Liu, B. The Effect of Cu(II) Nanoparticle Decoration on the Electron Relaxations and Gaseous Photocatalytic Oxidations of Nanocrystalline TiO2. Catalysts 2023, 13, 550. https://doi.org/10.3390/catal13030550
Zhao B, Wen L, Xu L, Zhao X, Liu B. The Effect of Cu(II) Nanoparticle Decoration on the Electron Relaxations and Gaseous Photocatalytic Oxidations of Nanocrystalline TiO2. Catalysts. 2023; 13(3):550. https://doi.org/10.3390/catal13030550
Chicago/Turabian StyleZhao, Binshan, Liping Wen, Li Xu, Xiujian Zhao, and Baoshun Liu. 2023. "The Effect of Cu(II) Nanoparticle Decoration on the Electron Relaxations and Gaseous Photocatalytic Oxidations of Nanocrystalline TiO2" Catalysts 13, no. 3: 550. https://doi.org/10.3390/catal13030550
APA StyleZhao, B., Wen, L., Xu, L., Zhao, X., & Liu, B. (2023). The Effect of Cu(II) Nanoparticle Decoration on the Electron Relaxations and Gaseous Photocatalytic Oxidations of Nanocrystalline TiO2. Catalysts, 13(3), 550. https://doi.org/10.3390/catal13030550
