Abstract
The prevalence of amides in biological systems and chemical fields such as polymers, materials and natural products drives continuous research on novel procedures to obtain these ubiquitous functional groups. Currently, efforts to this purpose are mainly focused around the discovery of direct and catalytic methods that are more atom economic, safe and practical for diversified applications (e.g., organic, medicinal and peptide chemistries, material and polymer purposes, etc.), in accordance with green chemistry principles. The field of amide synthesis has attained such a level of significance that the number of reviews and articles addressing it grown exponentially in the last decade. Rather than providing a general overview of amidation methods, which have been described broadly and well in recent literature, the purpose of this review is to highlight recent efforts in the catalytic formation of amide bonds from amines and carboxylic acids or esters. The goal is to emphasize mechanistic and catalytic aspects, but also to discuss substrate tolerance and racemization issues (when applicable).
1. Introduction
The amide bond is of particular importance, not only for its key function in peptide/protein structures, but also its role in a large number of natural and synthetic small molecules and polymers [1,2]. Amide bond formation is traditionally achieved through the activation of the carboxylic acid partner using a greater-than-stoichiometric quantity of some complex activating agent (carbodiimides + additives (HOBt, HOAt or Oxyma), phosphonium or guanidinium salts, etc.), thus generating a large amount of unvalorized byproducts, whereas amide formation is ‘just’ about the elimination of one molecule of water. In 2006, a round table dedicated to the development of green chemistry research ranked “amide formation avoiding poor atom economy reagents” as a top priority [3]. This point is even more crucial, as the formation of amides from acids and amines is by far the most used reaction in medicinal chemistry [4]. This review intends to highlight more recent progress in catalytic formation of amide bonds from amines, carboxylic acids and esters (Scheme 1) [5,6,7]. These catalytic amidation strategies were recently covered by Sheppard, Wang and Perrin, who focused on green aspects, perspectives and peptide synthesis [8,9,10]. General reviews on amide bond formation that do not focus on catalytic direct approaches have also appeared [11,12]. Catalytic redox reactions starting from aldehydes or alcohols are beyond the scope of this review and, consequently, will not be reported herein [12]. C–H catalytic amidation reactions from nitrene precursors, which cannot be considered as direct amidation of amines, have been recently covered in comprehensive reviews and thus will not be addressed here [13]. This review aims to focus on mechanistic and practical aspects and to discuss substrate tolerance and racemization (whenever relevant).
Scheme 1.
Catalytic amidation reactions from amines and acids (or esters).
Before discussing catalyzed reactions, it is appropriate to comment on amidation reactions under thermal conditions in the absence of a catalyst. The direct thermal condensation of acids and amines is indeed possible, but usually requires high temperatures (>160 °C) to proceed and is thus generally limited to insensitive and poorly functionalized substrates [14,15]. The key issue is the formation of poorly reactive ammonium salts from the carboxylic and amine partners. Nevertheless, these statements must be tempered and depend largely on the reaction partners, in particular, the acidity of the carboxylic acid, and the reaction conditions [16]. Therefore, when a catalytic reaction is carried out under thermal conditions, it is necessary to conduct a control reaction without any catalyst to obtain the background uncatalyzed reaction. For example, the reaction of Boc-Phe-OH with benzylamine under refluxing toluene using a Dean–Stark apparatus allows the formation of the corresponding amide at a 56% yield (Scheme 2) [17]. Microwave-assisted solvent-free preparations have appeared in the literature and may be considered as practical and easy to handle conditions for undemanding substrates [18,19].
Scheme 2.
Thermal amidation of Boc-Phe-OH with benzylamine.
In direct amidation reactions from amines and carboxylic acids, the only byproduct is water. Thus, the central question is how to trap/remove water to promote/favor amide formation. Either azeotropic removal of water (using a Dean–Stark apparatus or a Soxhlet extractor with a dehydrating agent) or excess molecular sieves have been used. While molecular sieves allow a reaction at lower temperature, they are incompatible with large-scale synthesis. Indeed, catalytic amidations have been used only marginally in the large-scale synthesis of amides [20].
The nature of the dehydrating agent and the method of activating it may also be crucial in these reactions, as illustrated by Blanchet in the boronic acid 1-catalyzed amidation of phenylacetic acid with benzylamine (Scheme 3) Supplementary Information described in ref [21]. Both the type of drying agent (4 Å MS vs. 5 Å MS) and the activation method (microwaves vs. Kugelrhor) have a profound impact on the yield. Questions as to the actual role of molecular sieves in these reactions have thus arisen, and recent developments have shed light on the function of these agents beyond simple water traps (Scheme 3).
Scheme 3.
Influence of the nature and method of activation of the drying agent in an amidation reaction; µM = microwaves.
2. Direct Amidations of Carboxylic Acids with Amines
2.1. Boron-Derived Catalysts
From the seminal boronic acid catalysts described by Yamamoto in 1996 (structure 2) to the much more elaborated bis-boronic acids (Figure 1, structures 3–11), boron derivatives have emerged as an efficient class of catalysts that allow the formation of amides under milder conditions in the presence of sensitive and functionalized substrates. For a general review of boronic acid catalysis, see [22].
Figure 1.
Evolution of boron-derived catalysts used in direct amidation reactions.
Since the publication of Ishihara and Yamamoto’s seminal paper, more than 20 boron-derived catalysts were described in the literature in the 1996–2015 period (for a list of catalysts developed in this period, see [5]). Initially, in 1996, refluxing conditions were required (using toluene, xylene or mesitylene), and thus these reactions were restricted to rather non-functionalized substrates. In the following paragraphs, we would like to highlight how the evolution of the fine understanding of the mechanisms involved in these reactions has enabled the refinement of the structure of catalysts and for reactions to be achieved under mild conditions with more complex or sensitive substrates.
As illustrated in Figure 1, ortho-substituted derivatives (see structures 4–6, Figure 1) have experimentally emerged as promising catalytic systems, allowing reactions at room temperature for less-demanding substrates and reactions around 60 °C for the synthesis of dipeptides [21,23,24]. Ishihara also described the use of DMAPO as an efficient acyl-transfer co-catalyst in these reactions, as illustrated in the multigram-scale of N-Boc-protected sitaglipin [25,26] (Scheme 4). This co-catalyst was also used in the microwave-assisted synthesis of cinnamides using a PhB(OH)2/DMAPO catalytic system [27].
Scheme 4.
DMAPO as a co-catalyst in boronic acid-catalyzed amidation reactions.
These ortho-substituted boronic acids have thus appeared experimentally as efficient catalysts, but their efficiency has not been directly correlated to the generally accepted mechanism for these reactions. A major breakthrough in this area was achieved in 2018 in an extensive mechanistic study by Sheppard and Whiting [28]. Supported by related analytical, experimental and theoretical studies, evidence has been found that the reaction does not proceed through a ‘monocyclic’ acyloxyboron 12 active intermediate, as was initially proposed and accepted, but through the formation of a bicyclic intermediate involving a 2:2 carboxylic acid/arylboronic complex 13 (or 14) (Scheme 5b). Such intermediates embed a B-X-B (X = O or NR) connection, as previously observed by X-ray analysis in tetraacetyl diborate, which was originally assigned a triacetoxyborate structure (Scheme 5a).
Scheme 5.
Mono- vs. bicyclic structures of boron derivatives. (a) Triacetoxyborate, (b) Active intermediate in direct amidations.
The isolated (and fully characterized) bicyclic derivative 13 is a key active intermediate in amide formation. In the presence of an amine, a new intermediate can be observed in 11B NMR, which was tentatively attributed to the bicyclic compound 14 (Scheme 6). From the intermediates 13 or 14, different mechanisms to explain the formation of the amide bond have been studied computationally, but no preferential pathway has been identified.
Scheme 6.
Postulated (simplified) amidation mechanism.
The study by Sheppard and Whiting may also shed lights on some yet unexplained experimental observations:
- The formation of the bicyclic intermediate 13 is highly dependent of the quantity and nature of molecular sieves; a large quantity of 5 Å MS is required and less than 5% conversion was observed with 4 Å MS (see Scheme 3);
- Boroxine 15 could be considered as a poorly reactive ‘resting state’ intermediate. As determined by DFT, the use of o-substituted aromatic boronic acids destabilizes the formation of the corresponding boroxine 15 derivatives, thus explaining the efficiency and success of such ortho-substituted catalysts (see Figure 1);
- Finally, it should be noted that for borinic acid 6, the actual catalyst can be determined to be ortho-chloro boronic acid (obtained by protodeborylation of borinic acid 6).
Moreover, this mechanistic study is in line with a work published in 2017 by Shibasaki and Kumagai describing the use of B-O-B heterocycles as efficient catalysts for direct amidation reactions [29], where 1,3-Dioxa-5-aza-2,4,6-triborinane (DATB) derivative 8 was found to be an efficient catalyst for the amidation of a wide range of carboxylic acids and amines. The scope of this catalyst includes undemanding substrates (for which catalytic loadings of 0.5 mol% can be used), highly epimerizable ones and hindered substrates or APIs, and the yields are high (Scheme 7).
Scheme 7.
DTAB 8 catalyzed reactions.
This methodology has also been applied to the synthesis of peptides using Fmoc amino acids. This synthetic potential was illustrated in the synthesis of a pentapeptide (obtained by fragment coupling at the C-terminus of a glycine residue) [30].
The major drawback of this methodology is the lengthy route to obtain such DTAB derivatives. Kumagai and Shibasaki then developed pyrimidine analogs—so-called Pym-DTABs (Figure 2). These compounds are more accessible and show rather similar catalytic performance (temperature, loading, scope) [31].
Figure 2.
Pym-DTAB structure.
Mechanistic studies have highlighted the dual role of the two distinct classes of boron atoms [32]. The most Lewis acidic “O-B-O” boron atoms readily activate the amine via an adduct formation. The “B-N-B” moiety reacts as both a Brønsted base and a Lewis acid, allowing the formation of a “B-O=C-O-B” cyclic complex where the electrophilicity of the carboxylic function is activated (Scheme 8).
Scheme 8.
Intermediates involved in the DTAB-catalyzed reactions.
Saito also described the use of simpler diboron structures—tetrahydroxy diboron and tetrakis(dimethylamino) diboron 9—to enable the catalytic amidation of various (hetero)aromatic acids in refluxing toluene, with good yields with low catalytic loadings (2 mol%) [33]. As illustrated in Figure 3, the cooperative role of the two boron centers in the amidation process is highlighted by structure 16, detected by ESI-HRMS.
Figure 3.
Mechanistic insights into the carboxylic acid activation with diboron catalyst 9.
Shimada next developed diboronic acid anhydride 10 (Figure 1) with a B-O-B linkage. The catalyst 10 was shown to be effective in the amidation of alpha or beta hydroxy acids with a wide range of amines or anilines, but not in cases of ‘simple’ carboxylic acids (without OH groups). It also should be noted that these reactions were carried out in toluene (60 °C or reflux) in the absence a molecular sieve or Dean–Stark apparatus [34]. The reaction was next extended to β-hydroxy-α-amino acids (serine, threonine derivatives, etc.), to the formation of Weinreb amides and the synthesis of Garner’s aldehyde [35,36,37].
In 2020, Takemoto analyzed the catalytic performance of gem-diboronic acid 11, incorporating a B-C-B linkage, in catalytic dehydrative peptide synthesis. As illustrated in Scheme 9, dipeptides were obtained in good yields in toluene at 65 °C in the presence of 5 Å MS. Epimerization-prone dipeptides were also synthesized, with only partial epimerization observed [38].
Scheme 9.
Scope of dipeptide synthesis using cat 11.
Preliminary mechanistic experiments were carried out. Cat 11 is not the actual catalyst and rapidly evolved in the presence of 5 Å MS to form of cis-17 (determined by X-ray analysis). Addition of Boc-Phe-OH (in the presence of a proton sponge) led to the observation (by ESI-MS) of the dehydrated complex 18, which embeds the two boron atoms and the carboxylic acid (Scheme 10).
Scheme 10.
Mechanistic insights into cat 11-catalyzed reactions.
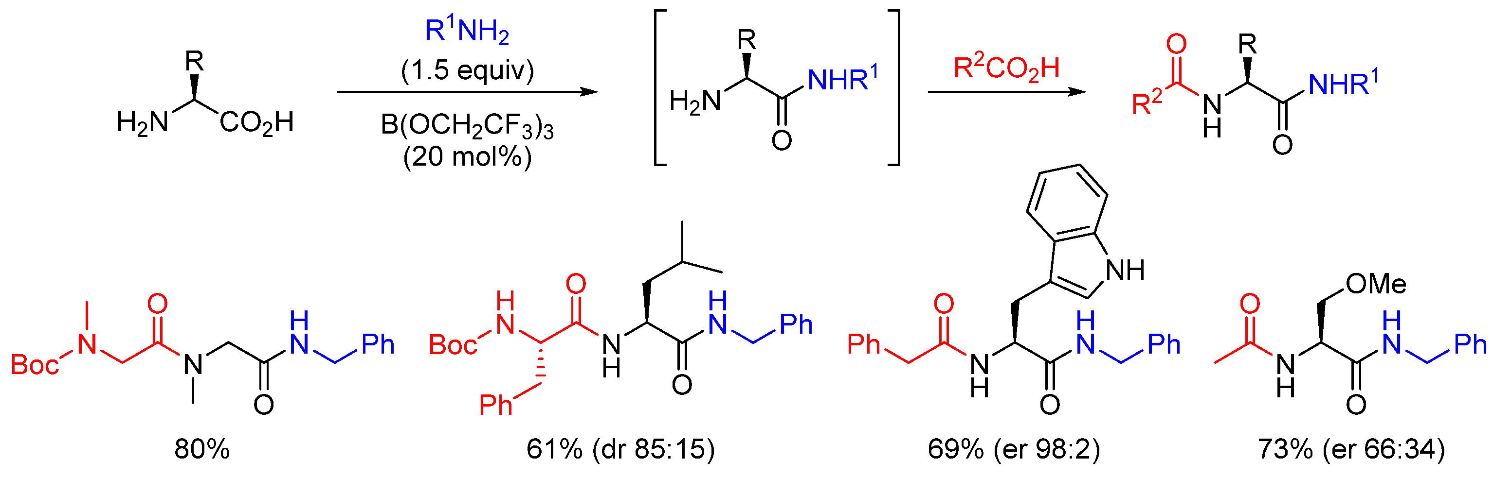
The fine comprehension of the reaction mechanisms and the search for gentle reaction conditions allowing the coupling of sensitive and/or functionalized substrates has led to the development of more and more structurally complex catalysts. More simple catalysts have also emerged, such as borate B(OCH2CF3)3 7 developed by Sheppard [39,40]. In particular, Sheppard achieved an impressive selective catalytic amidation of unprotected amino acids. A large range of unprotected amino-acids and amines can be used in these reactions, with tert-amyl methyl ether (TAME) as solvent at 86 °C and a Dean–Stark apparatus [41]. As illustrated by the authors, the key point is the formation of soluble intermediate 19 in minute amounts from the insoluble zwitterionic amino acid (Scheme 11). This intermediate, in the presence of an apparent excess of amine, will smoothly yield the desired amide, while unwanted oligomerization is prevented. It should be emphasized that Ti(OiPr)4 could also be considered (at least in the most favorable cases) as a cheaper alternative in these reactions.
Scheme 11.
Mechanistic insights into cat 7-catalyzed reactions; TAME = tert-amyl methyl ether.
Sheppard and co-workers also developed a one-pot sequential double amidation process. As illustrated in Scheme 12, good yields were usually observed, but with significant enantiopurity erosion.
Scheme 12.
Double amidation reactions.
More recently, the use of tert-butyl acetate as the solvent reaction was described by Sheppard. Beyond increased safety and durability, greater range was obtained using fewer nucleophilic anilines and polar substrates [42]. Interestingly, a large-scale procedure (100 mol) was described with no aqueous work-up or chromatography.
Nevertheless, it should be remembered that for undemanding substrates with low sensitivity, reactions can be carried out with simple and inexpensive boric acid [43,44,45], as recently illustrated by Popowycz for the synthesis of various amides from renewable isosorbide (Scheme 13) [46].
Scheme 13.
Boric acid-catalyzed amidation of isosorbide.
Silica-supported and polymer-bound versions of these catalysts have been developed from appropriately derived aromatic boronic acids. Such immobilized catalysts have been proven to be easily recoverable, reusable and suitable in flow chemistry [47,48]. Taking a different approach, Ishihara used boronic acids bound to a cationic resin or complexed with DMAPO. In both cases, the boronic acid catalyst can be released to perform the reaction, while the poor solubility of the complexes allows undemanding work-up and high catalyst recovery [26].
2.2. Phosporus- and Silicon-Derived Catalysts
Since the seminal work of Chan [49,50], the use of silicon reagents to perform amidation reactions has been well known, but even in modern developments, these reactions still require a stoichiometric amount of a silicon reagent, resulting in poor atom economy [51,52]. In 2022, Haas described a solvent-free procedure using 20 mol% of dodecamethoxyneopentasilane 20 as catalyst [53]. As illustrated in Scheme 14, relatively poorly functionalized amides were obtained in good to excellent yields (13 examples) in the absence of any external water trap. Neopentasilane 20 (20 mol%) fragments into five reactive silicons upon methanolysis. In this reaction, water is trapped by the formation of a polysiloxane byproduct.
Scheme 14.
Dodecamethoxyneopentasilane-catalyzed amidation reactions.
It should also be mentioned that the direct amidation of carboxylic acids can be performed under microwave irradiation using silica gel as a solid support and catalyst [54]. In a parallel study, the mechanism of this transformation was elucidated using IR and computational studies. This study highlights the role of some specific weakly interacting SiOH pairs to organize/favor the co-existence of amine and carboxylic acid pairs in both their neutral and ionic forms [55].
Phosphine and phospine oxide (organo)catalysts have also been described as promoting direct amidation reactions. They are mainly based on a P(III) P(V) catalytic cycle, which requires a reductant (or an oxidant) in stoichiometric quantity to regenerate the catalytic species [56,57,58].
In 2020, Sato described the use of tris(o-phenylenedioxy)cyclotriphosphazene TAP as a pre-catalyst for the direct amidation of aromatic acids and amines [59]. On the basis of 31P NMR and ESI-MS experiments, different relevant catalytic intermediates were identified (Scheme 15). TAP acts as a pre-catalyst, generating the catechol cyclic phosphate CCP in situ. This catalytic species promotes amide formation while generating pyrocatechol phosphate (PP) as a byproduct. Next, dehydration of PP regenerates CCP, thus completing the catalytic cycle. Regarding the formation of the amide bond, two mechanisms were considered by the authors, involving either an inner P-sphere mechanism (direct attack of the carboxylic partner on the phosphorus atom of the CCP) or an outer P-sphere (with the phosphate of the CCP acting to stabilize a tetrahedral intermediate) mechanism. It should be stressed that CCP is a poorly stable compound, which is why pre-catalysts such as TAP are required and reactions must be carried out under an inert atmosphere.
Scheme 15.
Mechanistic rationale in TAP-catalyzed amidation reactions.
As illustrated in Scheme 16, a wide range (25 examples) of aromatic and heteroaromatic carboxylic acids have been efficiently coupled with mono- and di-substituted amines (Scheme 16). However, low yields were observed when aniline or H-Trp-OMe were used. Moreover, in the latter case, substantial erosion of the enantioselectivity (91:9 er) was also observed, probably due to the high temperature required in these reactions.
Scheme 16.
TAP-catalyzed amidation reactions.
2.3. Organo-Catalyzed Reactions
Stoichiometric amounts of phosphines (or phosphites) have also been used in conceptually different organocatalyzed redox amidation reactions, playing on the cleavage of weak heteroatom–heteroatom bonds (S-N or Se-Se) of compounds 21–24 (Figure 4) [60,61,62,63].
Figure 4.
S-N- and Se-Se-based organocatalysts.
A general (and simplified) modus operandi is presented in Scheme 17. Cleavage of the weak heteroatom–heteroatom (S-N or Se-Se) bond by the nucleophilic phosphine enables the formation of an electrophilic phosphonium salt that can be trapped by the carboxylic acid. Such a generated activated acid can then react with the amine to generate the amide bond and phosphine oxide as a byproduct. Ultimately, the reduced organocatalyst is re-oxidized in situ to regenerate the catalyst and complete the catalytic cycle.
Scheme 17.
General mechanism using S-N- and Se-Se-based organocatalysts.
S-acylthiosalicylamide 21 was first described by Liebeskind and notably allows the formation of various peptides and peptide derivatives under relatively mild conditions (20 mol% 21, (EtO)3P (1.5 equiv.), MeCN, 50 °C, dry air, 4 Å MS) with high yields and in the absence of racemization [60]. In this case, dry air was used in the presence of a catalytic amount of a copper to promote the regeneration of the organocatalyst 21.
Liebeskind extended this dehydrative strategy to the use of diselenide derivative 22 (R = Me or H) [61]. The use of selenium instead of sulfur was chosen to enhance the re-oxidation of the reduced form of the organocatalyst and thus avoid the use of copper as a co-catalyst. Using diselenide 22, catalyst loading can be reduced to 2.5 mol% and the reaction can be carried out in the absence of copper. It should be emphasized that the remote NMe2 group in 22 also plays an important role in the oxidation step (re-formation of the Se-Se bond). As illustrated in Scheme 18, complex and highly functionalized amides have been obtained in high yields and in the absence of racemization for sensitive substrates.
Scheme 18.
Organocatalyzed 22 amidation reactions.
The design of the diselenide organocatalyst was next refined by Arora, introducing a urea in 23 to stabilize the tetrahedral intermediate in the amide bond formation (Figure 5), and a macrocycle to entropically favor the regeneration (oxidation) of the Se-Se bond [62]. This organocatalyst was used in the synthesis of various Fmoc-dipeptides under very mild conditions (23 (5 mol%), PBu3 (1.0 equiv.), 4 Å MS, MeCN, rt). This methodology was ultimately used in solid phase peptide synthesis (SPPS) for the synthesis of the pentapeptide Fmoc-FEKAG-NH2.
Figure 5.
Urea-stabilized tetrahedral intermediate using organocatalyst 23.
The major drawbacks of the diselenide catalyst 23 are its complexity and long/tedious synthesis (10 steps). In 2022, Arora developed a simpler ‘monomeric’ catalyst 24, which still incorporates a urea moiety and a remote tertiary amine [63]. Regarding the nucleophilic phosphorus partner, phosphetane oxide 25 is used as a co-catalyst (10 mol%) and the phosphine is generated in situ in the presence of an excess of PhSiH3 (2 equiv.) (Scheme 19). No dehydrating reagent (molecular sieves) is necessary under these conditions, which makes the procedure much easier, especially in SPPS.
Scheme 19.
The use of phosphetane oxide 25 as a phosphine precursor in 24-catalyzed amidation reactions.
Taking a different approach, though one that still requires the presence of a stoichiometric oxidant, Nguyen described tropone organocatalyst 26 [64]. The tropone 26, in the presence of oxalyl chloride (1.2 equiv.), generates 1,1-dichlorocycloheptatriene 27 and is able to react with and activate the carboxylic acid partner (Scheme 20). Such a compound can directly react with the amine to form the amide, or indirectly react through the transient formation of acyl chloride or anhydride. This strategy has been mainly used in the synthesis of esters (and lactones), but also in the synthesis of amides. The scope of this method nevertheless rather restricted (five examples in a 39–83% yield) when using dialkylamines.
Scheme 20.
Tropone-organocatalyzed amidation reactions.
Huy used sub-stoichiometric amounts of trichlorotriazine (TCT) in amidation reactions [65]. TCT is a well-known peptide coupling reagent usually used in stoichiometric amounts. In the presence of a catalytic amount of N-formylpyrrolidine (FPyr), the amount of TCT could be reduced to 40 mol%. The scope of this method is quite large (27 examples) and it exhibits good tolerance of functional groups (Scheme 21). The use of the three chlorine atoms available in TCT allows good atom economy.
Scheme 21.
Substoichiometric amounts of TCT in direct amidation reactions.
2.4. Metal-Catalyzed Reactions
Although the use of metals (especially titanium salts) in direct amidation reactions has been known since the 1970s, these methodologies were limited by high temperatures, relatively high catalytic loadings and limited scope. In 2012, two groundbreaking papers independently published by the Aldolfsson and Williams groups described the use of group(IV) metal salts, using zirconium and titanium salts, respectively, to allow amidification under milder conditions and with greater scope [66,67]. The mechanism of the zirconium-catalyzed reactions was then studied in a work combining kinetics, NMR and DFT experiments (Scheme 22) [68]. The dinuclear zirconium complex 28 is the actual catalytic species that is able to react one carboxylate carbon with the amine to produce the tetrahedral intermediate 29. After deprotonation (by the intervention of a second amine equivalent), the rate-determining step (with a barrier of 10.9 kcal/mol) is the cleavage of the C–O bond to produce 30, which, in turn, releases the amide bond (accompanied by a water and amine molecule) and regenerates the catalytic species 28. Interestingly, these studies also achieved improved reaction conditions (higher yields and lower catalytic loadings). The need for molecular sieves to trap water can then be overcome by using the hydrolytically more stable Cp2Zr(OTf)2•THF (2–10 mol%) (THF, 70 °C) [69,70].
Scheme 22.
Mechanistic rationale in Zr-catalyzed amidations.
In 2015, Aldolfsson was also able to develop hafnium-catalyzed reactions using 10 mol% of Cp2HfCl2, enabling reactions at room temperature with short reaction times (90 min) [71]. This method showed great scope (>25 examples) and the yields were very good. However, the reaction is sensitive to steric hindrance at the carboxylic acid partner (no reaction with Boc-Ile-OH), and no reaction was observed with anilines (Scheme 23). CAN (ceric ammonium nitrate) was also reported to be an efficient catalyst (2 mol% loading) under microwave irradiation [19].
Scheme 23.
Cp2HfCl2-catalyzed direct amidation reactions; NR = no reaction.
In 2019, Parac-Vogt described the use of Zr- and Hf-based Lewis-acid-PolyOxoMetalate (POM) complexes enabling amide formation in relatively mild conditions (1 mol% catalyst, DMSO, 70 °C) in the absence of molecular sieves and with a reusable catalyst [72,73]. The use of low catalytic loadings (1 mol%) and the stability of the catalyst can be rationalized by the nature of the POM framework, which prevents hydrolysis of the Lewis acid. More recently, the use of iron-based POMs has been described, though this requires higher temperatures (120 °C) and the use of a catalytic amount of PhSiH3 (30 mol%) [74]. The use of metal–organic frameworks (MOFs) that embed Zr-dicarboxylates as heterogeneous catalysts has also been reported [75]. Finally, Nb2O5 was described as a heterogeneous and reusable Lewis acid for the direct amidation of carboxylic acids under refluxing toluene (or xylene), including examples with anilines and, with a carboxylic acid partner, unprotected alcohols, phenols and thiophenol [76].
2.5. Miscellaneous
Kumar has described the use of substoichiometric (50 mol%) quantities of KPF6 in the amidation (and esterification) of carboxylic acids in the absence of solvent at 130 °C (14 examples) [77].
Electrochemical synthesis of amides and peptides was recently reported, but required a greater-than-stoichiometric quantity of phosphine to proceed [78,79].
Taking a completely different approach, the abiotic formation of amide bonds was described using adsorbed precursors on a Au(111) surface under ultrahigh vacuum conditions [80].
3. Direct Amidations of Carboxylic Esters with Amines
While the combination of carboxylic acids and amines is still the most widespread amidation method, either through activated carboxylic acids or direct amidation, further development of this field might involve the evaluation of other substrates to broaden applications and simplify reaction conditions (Scheme 24).
Scheme 24.
Ester amidations: classical and direct strategies.
Direct amide synthesis from unactivated esters is a well-known method; however, it is rarely applied, as it often requires harsh reaction conditions (such as greater-than-stoichiometric quantities of strong bases or organometallic reagents to ensure amine deprotonation), even though esters afford a more electrophilic carbonyl site compared to free-carboxylic acids [81,82,83,84,85,86,87,88,89,90,91,92,93,94,95,96,97,98,99,100,101,102,103,104,105,106]. This method is also associated with excess reactants, the need for very nucleophilic amine substrates and long reaction times. Milder methods have been recently described [5,107,108,109,110,111,112]; however, narrow functional tolerance and racemization issues often prevent their generalization. While efforts have been made to develop more practical and milder conditions for direct amidation of esters with amines, there is still room for improvement by avoiding high temperatures and/or the need for noble metals or sensitive, complex and expensive catalytic systems. Moreover, kinetic issues and a broader substrate scope can also be considered. In this section, catalytic methods devised from 2016 to date are described, with attention to the discussion of mechanistic insights when relevant (Figure 6).
Figure 6.
Direct ester amidations: overview of main methods since 1977 [81,82,83,84,85,86,87,88,89,90,91,92,93,94,95,96,97,98,99,100,101,102,103,104,105,106].
3.1. Transition Metal-Derived Catalysts
In 2016, Yamamoto and Tsuji explored the capacity of β-hydroxy esters to mediate metal-catalyzed hydroxy-directed amidation reactions [113]. Their idea was to use the β-hydroxyl group as a directing group for the activation of the carbonyl group through metal coordination to achieve the chemoselective aminolysis of esters. They identified tantalum(V) ethoxide (10 mol%) as the most efficient catalyst. In the presence of phenyl/methyl/isopropyl β-hydroxypropanoate 31 and equimolar amounts of competitive phenyl/methyl/isopropyl propanoate 32 (1.0 equiv. each) with amines (3.0 equiv.), more than 15 examples of amides were synthesized with remarkable chemoselectivities (33:34 >97:3) (Scheme 25). Reactions with activated phenyl esters proceeded at room temperature, whereas higher temperatures (100 °C) are mandatory for unactivated methyl or isopropyl esters. The procedure was transposed to a large-scale synthesis and extended to a series of β-mono- and β-di-substituted β-hydroxy esters, β-hydroxy diesters, α-hydroxy esters and aminoester substrates. In the latter case, dipeptide derivatives were synthesized in good yields in the absence of epimerization. The authors presumed that the observed racemization-free procedure is due to the use of methyl esters rather than activated carboxylic acids, even if aminolysis requires heating (60 °C to 100 °C). Interestingly, no amide formation was observed when N-Boc-cysteine methyl ester was used, showing no directing effect with a thiol group.
Scheme 25.
Hydroxy-directed amidation of esters with Ta(OEt)5.
In the same year, Shah proposed the use of Cu-Mn spinel oxide as an efficient catalyst for oxidative aminolysis of ethyl esters [114]. This bimetallic catalytic system can switch its state of oxidation between Cu+1/+2 and Mn+3/+4 and, consequently, participate in electron-transfer reactions through aminium radical cation formation. The reaction conditions were quite mild (THF, 80 °C, air, 1–7 h), and the primary and secondary amines were compatible, although the scope of this method was not very broad (Scheme 26).
Scheme 26.
Cu-Mn-spinel-oxide-catalyzed synthesis of amides.
Control experiments support a radical mechanism with the generation of a superoxide radical, which is responsible for the formation of the key aminium radical cation 35 for ester cleavage and amide formation. Indeed, no amide formation was detected when the reaction was run either under argon or in the presence of a radical scavenger (Scheme 27).
Scheme 27.
Mechanistic insights into Cu-Mn-spinel-oxide-catalyzed synthesis of amides.
Manganese pincer complex 36 combined with a catalytic amount of KOtBu was employed in base-metal-catalyzed dehydrogenative amidations in the presence of amines with either alcohols or esters (Scheme 28) [115]. One remarkable advantage of the proposed strategy is that hydrogen gas is the only side compound formed. Nevertheless, the use of ‘symmetrical’ esters is necessary to ensure the formation of two equivalents of the same product. Indeed, the ‘alcohol’ moiety of the ester substrate (i.e., R1CH2O-) is also ‘recycled’ into amide through an oxidative process (Scheme 29). Concerning the reaction conditions, heating (toluene, 110 °C) as well as long reactions times (48–72 h) are necessary, with an ester–amine ratio of 1:2. Well they have narrow scope (10 amides), primary and secondary alkyl amines are compatible with the reaction conditions.
Scheme 28.
Manganese-pincer-complex-catalyzed aminolysis of ester.
Scheme 29.
Proposed mechanism for Mn-pincer-complex-36-catalyzed dehydrogenative amidation.
Based on experimental observations, a plausible mechanistic pathway has been proposed (Scheme 29). First, ester aminolysis takes place to form amide and alcohol. In parallel, intermediate 37 is formed through deprotonation of the N-H site in catalyst 36. Thus, the obtained alcohol enters into the mechanistic cycle through reaction with 37, producing a new intermediate 38, which is prone to β-hydride elimination thanks to the opening of the hemilabile pincer arm, thereby forming 39. Reaction of this intermediate with the amine engenders the formation of a manganese complex bound to the hemiaminal 40, which, after β-hydride elimination, produces the amide and manganese hydride complex 41. The latter is able to regenerate 37 via dehydrogenation.
Taking a different approach, Wei and Liu described the synthesis and evaluation of air- and moisture-stable manganese pincer complexes on direct amidation of esters with amines [116]. Among the several complexes synthesized, the Mn(I)-pincer complex 42, bearing a N-n-propyl benzimidazole and a pyridine ring, displayed better catalytic activity. With a low required catalyst loading (cat 42 (1 mol%), tBuONa (20 mol%), toluene, 120 °C, 18 h), the reaction is compatible with a broad scope of substrates concerning both ester and amine partners (around 60 aliphatic, aromatic and heteroaromatic amides) (Scheme 30a). This method has found interesting synthetic applications, such as the preparation of the amide-containing drugs tigan and itopride, the use of fatty acid esters as substrates and the gram-scale synthesis of 43 (Scheme 30b).
Scheme 30.
Manganese(I)-pincer-complex-42-catalyzed aminolysis of ester. (a) General scope of the reaction, (b) Synthetic applications.
Based on DFT calculations, an acid–base mechanistic pathway seems more likely for this Mn(I)-catalyzed amidation than an oxidative addition–reductive elimination process. The transformation is believed to occur via three phases: (1) amine deprotonation (TS-44); (2) nucleophilic addition of the Mn-complex (cat 42) coordinated to the deprotonated amine (intermediate I-45) to the ester substrate associated with the dissociation of the amide through transition state TS-46; and (3) protonation of the methoxy ion by the in situ-generated tBuOH. The rate-determining step is the second step (C–N bond formation and amide dissociation; higher energy barrier of 30.2 kcal/mol) (Scheme 31).
Scheme 31.
Key intermediates (I) and transition states (TS) in DFT calculations for the acid–base mechanism of manganese-catalyzed aminolysis of ester.
Another trend in amide synthesis is the use of palladium-based catalysts for cross-coupling reactions between esters and amines. Since being first described in 2017 by Newman [117], other procedures have been proposed (Szostak in 2017 and Hazari in 2018) [118,119]. It is important to mention that, in all cases, activated aryl esters and aniline derivatives were used as substrates. In general, Pd-NHC complexes were used and reactions required high temperatures (110 °C) and excess of a base (Scheme 32). In the case of Hazari’s work, amides could be formed in milder conditions by using both lower reaction temperatures (40 °C) and lower catalyst loading (1 mol%). These pioneering works on Pd-catalyzed cross-coupling of phenyl esters and anilines may offer a different reactivity towards aryl amides synthesis that cannot be achieved by other means. Despite some improvement towards more stable and easy-to-access catalytic systems (e.g., [Pd(NHC)(acac)Cl] pre-catalyst for phenolic esters cross-coupling (one example)) [120], mechanism elucidation for the use of unactivated esters with general amines (not only aromatic ones) is necessary to achieve more general amidation processes. To date, analogous to precedents in ketone synthesis from esters and biaryls [121,122,123,124,125,126,127], it is assumed that the Pd(0)-NHC active catalyst makes the oxidative addition into the ester C–O bond, followed by the reaction of the intermediate Pd(II) complex with the aniline partner.
Scheme 32.
Palladium-catalyzed cross-coupling of aryl esters and anilines.
In 2018, Newman reported the merging of the Ni/NHC catalytic system for direct amidation of methyl esters in the absence of an external base (Scheme 33) [128]. This combination allows quite broad functional tolerance for methyl esters (aryl and alkyl substituted) and amines (primary and secondary aliphatic amines and aniline derivatives). Typically, the reaction conditions involve Ni(cod)2 (10 mol%) and 1,3-bis(2,6-diisopropylphenyl)imidazole-2-ylidene (IPr) (20 mol%) as ligands in toluene at 140 °C for 16 h. The reaction has broad scope, obtaining around 50 amides in good yields. Although quite general, some improvements in terms of catalyst loading and temperature deserve to be considered. Soon after, the same group reported structures of many other ligands (NHC, phosphine, and nitrogen-containing ligands) compatible with this Ni-catalyzed coupling reaction and were able to improve on difficult transformations [129].
Scheme 33.
Acid/base-free-Ni/IPr-catalyzed cross-coupling of methyl esters and amines.
Concerning the reaction pathway, it has been argued that the reactions proceed through a neutral cross-coupling mechanism, which differs from classical acidic and basic activation of ester and amine substrates, respectively [122,123,130,131]. These assumptions are supported by DFT calculations by Hong (Scheme 34) [132]. The coupling reactions involve: (1) sequential oxidative addition of the catalyst into the C-O bond on the ester partner to obtain the acylnickel species 48 (via TS-47); (2) an intramolecular proton transfer (via TS-49) to form the Ni(II) amido complex 50; and (3) reductive elimination via TS-51 with concomitant product liberation and catalyst regeneration. As highlighted in Pd-catalyzed cross-couplings of esters and anilines, the bulky NHC ligand on the acylnickel species prevents decarbonylation.
Scheme 34.
Key intermediates (I) and transition states (TS) in DFT calculations for Ni/IPr-catalyzed cross-coupling of aromatic methyl esters and amines.
In 2020, Moshapo reported the use of Fe(III) chloride salts as a low-priced and readily available Lewis acid catalyst to achieve direct amidation from esters [133]. The reaction conditions devised also have the advantage of being solvent-free and having lower temperatures requirements and shorter reactions times (80 °C at 1.5–3 h) (Scheme 35). The amidations were compatible with primary and secondary amines and with ethyl esters bearing aromatic and aliphatic functionalized backbones. Products were isolated in good yields and the procedure has found a synthetic application in the synthesis of the potential antitubercular pyrimidine carboxamide 52. Furthermore, 2-pyridinecarboxamides were obtained using the devised conditions. For this class of compound, the authors ascribed the reactivity to iron coordination with the carbonyl oxygen and the pyridine nitrogen atoms, producing a stabilized intermediate complex prone to amidation. Indeed, 3-pyridinecarboxylate fails to produce the expected amide product.
Scheme 35.
FeCl3 as Lewis acid catalyst for direct amidation from esters.
The amidation of unactivated methyl esters under continuous-flow conditions was recently achieved using a heterogeneous zirconium-oxide catalyst (amorphous zirconia) [134]. Although improvements are required in order to expand the scope of this reaction, to reduce reaction temperatures and to improve kinetics, this approach is very stimulating, as it breaks ground towards more sustainable alternative techniques and suggests future directions for direct amide synthesis from unactivated esters.
3.2. Lanthanide-Derived Catalysts
Along with examples in which transition metal-catalysis has been successfully used in the direct amidation of esters with amines, the use of rare-earth elements has emerged in recent years. In a seminal work by Yao and Yuan, published in 2018, a heterobimetallic lanthanum-sodium complex was used as an efficient catalyst for methyl ester amidation (Scheme 36) [135]. The reaction conditions were quite mild (ester:amine ratio 1:1.2, 80 °C, solvent-free, 6 h, with 0.5 mol% La2Na8(OCH2CF3)14(THF)6) and the scope was relatively broad (>35 amides). Nevertheless, yields for anilines as substrates were low, generally below 50%. The authors supposed that the heterobimetallic catalyst might simultaneously activate the ester and the amine substrates. Thus, an ‘intramolecular amidation’ might take place instead of the usually intermolecular reaction.
Scheme 36.
Heterobimetallic La-Na complex for direct amidation from esters.
Soon after, the scope for primary or secondary reluctant anilines was improved by using the lanthanide tris(amide) complexes Ln[N(SiCH3)2]3(µ-Cl)Li(THF)3. In contrast with the use of the heterobimetallic lanthanum-sodium complex, 30 mol% of catalyst was necessary in this particular case to achieve good reaction outcomes [136]. Nevertheless, and quite remarkably, amidations (≈25 examples) took place at 30 °C in only 20 min in THF. Aromatic methyl esters were mainly used, but a few examples with aliphatic esters were also reported. No reactivity was observed when Boc-protected glycine methyl esters were engaged in combination with secondary anilines (Scheme 37).
Scheme 37.
La-complex for direct amidation from esters and anilines.
1H NMR monitoring combined with experimental controls suggests a mechanism that differs from classical processes, which mostly start from ester activation (Scheme 38). It is assumed that the first stage is amine deprotonation by the catalyst, producing intermediate 53. After nucleophilic attack from 53 on the ester substrate, an amide and a lanthanide methoxide complex is formed, which, in turn, can deprotonate a second amine molecule to regenerate 53 and restart the catalytic cycle. It is believed that the MeOH side compound might react with 53 and produce some inactive species, explaining the need for such a high catalyst loading (30 mol%) in this particular case.
Scheme 38.
Mechanism pathway for La-complex direct amidation from esters and anilines.
3.3. Miscellaneous
In 2017, Jamieson developed an organocatalyzed procedure for amidation of unactivated methyl esters through the use of trifluoroethanol (54, TFE; 20 mol%) [137]. The rationale behind using an alcohol as additive was to form the activated ester intermediate 55 via a preliminary transesterification. A notable advantage of this method is that the reaction conditions can be tuned to improve both the reaction scope and the stereoretention of chiral ester substrates. While the combination of TFE/K3PO4 was effective for aminolysis of esters with primary and secondary alkyl amines, it was observed that such a mixture is incompatible with chiral esters (such as aminoester derivatives), for which complete epimerization was observed. The authors observed a strong relationship between the strength of the base and the epimerization levels. Thus, using 4-(trifluoromethyl)phenol (56) as the alcohol additive (pKa 9 vs. 12.5 for TFE) and replacing K3PO4 for KOAc (pKa values 12.3 and 6, respectively) allowed amidation processes in an epimerization-free manner from enantiopure esters (Scheme 39).
Scheme 39.
Organocatalyzed approach for amide synthesis from esters and amines.
Furthermore, in 2017, Williams proposed acetic acid as an organocatalyst for the N-acetylation of primary and secondary alkyl amines, with either ethyl or butyl acetate as the acyl donor (Scheme 40) [138]. Due to the lower nucleophilicity of secondary amines, harsher reaction conditions were necessary to ensure good conversions. Based on experimental observations, the authors postulated that the transformation proceeds via a transition state involving acetic acid instead of a single proton (57). Such an approach was previously suggested by Whiting in 2011 [16]. Furthermore, peptide bond formation using pivalic acid as a Brønsted acid catalyst in a biomimetic manner was proposed by Yamamoto and Nakashima [139]. The method offers dipeptide production in a less costly and more environmentally-friendly manner, and could be transposed to flow chemistry. While the method required quite a high catalyst loading (50–100 mol%), the reaction conditions were mild (either 70 °C in THF for 72 h or room temperature in THF for 2–48 h) and compatible with classical N-urethane protecting groups in peptide chemistry (Boc, CBz, Fmoc). It is important to mention that no notable racemization was detected when reactions were run at room temperature (up to 99:1 dr).
Scheme 40.
Organocatalyzed approach for N-acetylation of amines using EtOAc or BuOAc.
In the field of direct N-acylation of amines by esters, plasma flow chemistry was used in 2022, obtaining amides from tert-butyl esters and primary and secondary aliphatic/cyclic amine and aniline derivatives [140].
Direct mechanochemical amidation of methyl and ethyl esters has been described [141]. The used strategy was applicable to a wide-ranging of substrates (ester and amines) and generated a large library of amides (>70 examples) under solvent-free conditions. While this emerging technic can also be successfully applied to the synthesis of APIs and agrochemicals, as well as transposed to the gram-scale synthesis of moclobemide, the procedure still requires substoichiometric amounts of KOtBu (85 mol%).
More recently, Lee and Maruoka identified a catalytic approach for p-hydroxyphenyl ester activation based on the combination of 4-iodoanisole (30 mol%)/m-chloroperoxybenzoic acid (MCPBA) (1.5–3.0 equiv.)/HF·pyridine (2.0 equiv.) for the in situ generation of a hypervalent iodine(III) [142]. The p-hydroxyphenyl group on the ester moiety acts as an activating group that combines with hypervalent iodine(III) species to produce a reactive acyl fluoride intermediate through oxidative dearomatization of phenols. The reaction conditions proposed were suited to amides (11 examples) and dipeptides (five examples). While the scope was somewhat narrow (only two amines were used: 1-phenylethylamine for ‘general’ amides and L-alanine methyl ester hydrochloride for dipeptides), it might be mentioned that the reluctant encumbered α,α-dialkyl-α-amino ester gave good yields (2 examples).
4. Conclusions
Our motivation to write this review was to present a general overview of recent catalytic methods that enable amide bond formation from amines and carboxylic acids or esters. Rather than producing a novel review on amidation reactions, a subject that is covered widely and well in the literature, the idea here was to focus on direct carboxylic acid or ester aminolysis (without the need for an additional activation step). Though such topics have been partially covered in the literature, our goal was to emphasize the mechanistic aspects and comment, when possible, on novel technologies, limitations in substrate scope, racemization issues, practicability and scalability. Many amidation reactions can be efficiently catalyzed; however, difficult challenges remain. For example, simpler and more accessible catalytic systems associated with milder and more practical reaction conditions are crucial to promote novel methods to synthetic chemists in both academia and industry. Thus, we have tried to show that, even though tremendous efforts led to quite elegant and efficient strategies, there is still room for further improvements. Due to the omnipresence of amides in biology and chemistry, amide bond formation is a constantly evolving research field. Future works should be directed towards more practical and milder reaction conditions in order to address the main gaps in this field (e.g., broader substrate tolerance, compatibility with organic, medicinal and peptide chemistry requirements, racemization issues, atom economy, etc.).
Author Contributions
All authors (A.T., R.M.d.F. and J.-M.C.) have equally participated to the redaction and correction of the manuscript. They validated the final revised version of the manuscript for publication. All authors have read and agreed to the published version of the manuscript.
Funding
This research was funded by ANR-Agence Nationale de la Recherche, project NOPS (ANR-18-CE07-0038-01).
Data Availability Statement
Not applicable.
Acknowledgments
The authors are grateful to the ENSCM (Ecole Nationale Supérieure de Chimie de Montpellier) and to the CNRS (Centre National de la Recherche Scientifique).
Conflicts of Interest
The authors declare no conflict of interest.
References
- Greenberg, A.; Breneman, C.M.; Liebman, J.F. The Amide Linkage: Structural Significance in Chemistry, Biochemistry, and Materials Science. Wiley-Interscience: New York, NY, USA, 2000. [Google Scholar]
- Rajput, P.; Sharma, A. Synthesis and biological importance of amide analogues. J. Pharmacol. Med. Chem. 2018, 2, 22. [Google Scholar]
- Carey, J.S.; Laffan, D.; Thomsonc, C.; Williams, M.T. Analysis of the reactions used for the preparation of drug candidate molecules. Org. Biomol. Chem. 2006, 4, 2337. [Google Scholar] [CrossRef] [PubMed]
- Brown, D.G.; Boström, J. Analysis of past and present synthetic methodologies on medicinal chemistry: Where have all the new reactions gone? J. Med. Chem. 2016, 59, 4443. [Google Scholar] [CrossRef] [PubMed]
- De Figueiredo, R.M.; Suppo, J.-S.; Campagne, J.-M. Nonclassical routes for amide bond formation. Chem. Rev. 2016, 116, 12029. [Google Scholar] [CrossRef] [PubMed]
- Ojeda-Porras, A.; Gamba-Sánchez, D. Recent developments in amide synthesis using nonactivated starting materials. J. Org. Chem. 2016, 81, 11548. [Google Scholar] [CrossRef] [PubMed]
- Lundberg, H.; Tinnis, F.; Selander, N.; Adolfsson, H. Catalytic amide formation from non-activated carboxylic acids and amines. Chem. Soc. Rev. 2014, 43, 2714. [Google Scholar] [CrossRef]
- Sabatini, M.T.; Boulton, L.T.; Sneddon, H.F.; Sheppard, T.D. A green chemistry perspective on catalytic amide bond formation. Nat. Catal. 2019, 2, 10. [Google Scholar] [CrossRef]
- Wang, X. Challenges and outlook for catalytic direct amidation reactions. Nat. Catal. 2019, 2, 98. [Google Scholar] [CrossRef]
- Todorovic, M.; Perrin, D.M. Recent developments in catalytic amide bond formation. Pept. Sci. 2020, 112, e24210. [Google Scholar] [CrossRef]
- Massolo, E.; Pirola, M.; Benaglia, M. Amide bond formation strategies: Latest advances on a dateless transformation. Eur. J. Org. Chem. 2020, 2020, 4641–4645. [Google Scholar] [CrossRef]
- Santos, A.S.; Silva, A.M.S.; Marques, M.M.B. Sustainable amidation reactions—Recent advances. Eur. J. Org. Chem. 2020, 2020, 2501. [Google Scholar] [CrossRef]
- Tosi, E.; de Figueiredo, R.M.; Campagne, J.-M. Enantioselective catalytic C−H amidations: An highlight. Catalysts 2021, 11, 471. [Google Scholar] [CrossRef]
- Cossy, J.; Pale-Grosdemange, C. A convenient synthesis of amides from carboxylic acids and primary amines. Tetrahedron Lett. 1989, 30, 2771. [Google Scholar] [CrossRef]
- Arnold, K.; Davies, B.; Giles, R.; Grosjean, C.; Smith, G.; Whiting, A. To catalyze or not to catalyze? Insight into direct amide bond formation from amines and carboxylic acids under thermal and catalyzed conditions. Adv. Synth. Catal. 2006, 348, 813. [Google Scholar] [CrossRef]
- Charville, H.; Jackson, D.A.; Hodges, G.; Whiting, A.; Wilson, M.R. The uncatalyzed direct amide formation reaction—Mechanism studies and the key role of carboxylic acid H-bonding. Eur. J. Org. Chem. 2011, 2011, 5981. [Google Scholar] [CrossRef]
- Unpublished result from this laboratory.
- Perreux, L.; Loupy, A.; Volatron, F. Solvent-free preparation of amides from acids and primary amines under microwave irradiation. Tetrahedron 2002, 58, 2155. [Google Scholar] [CrossRef]
- Zarecki, A.P.; Kolanowski, J.L.; Markiewicz, W.T. Microwave-assisted catalytic method for a green synthesis of amides directly from amines and carboxylic acids. Molecules 2020, 25, 1761. [Google Scholar] [CrossRef]
- Magano, J. Large-scale amidations in process chemistry: Practical considerations for reagent selection and reaction execution. Org. Process Res. Dev. 2022, 26, 1562. [Google Scholar] [CrossRef]
- El Dine, T.M.; Erb, W.; Berhault, Y.; Rouden, J.; Blanchet, J. Catalytic chemical amide synthesis at room temperature: One more step toward peptide synthesis. J. Org. Chem. 2015, 80, 4532. [Google Scholar] [CrossRef]
- Hall, D.G. Boronic acid catalysis. Chem. Soc. Rev. 2019, 48, 3475. [Google Scholar] [CrossRef]
- Wang, K.; Lu, Y.; Ishihara, K. The ortho-substituent on 2,4-bis(trifluoromethyl)phenylboronic acid catalyzed dehydrative condensation between carboxylic acids and amines. Chem. Commun. 2018, 54, 5410. [Google Scholar] [CrossRef] [PubMed]
- Al-Zoubi, R.M.; Al-Jammal, W.K.; McDonald, R. Regioselective synthesis of ortho-iodobiphenylboronic acid derivatives: A superior catalyst for carboxylic acid activation. New J. Chem. 2020, 44, 3612. [Google Scholar] [CrossRef]
- Ishihara, K.; Lu, Y. Boronic acid–DMAPO cooperative catalysis for dehydrative condensation between carboxylic acids and amines. Chem. Sci. 2016, 7, 1276. [Google Scholar] [CrossRef] [PubMed]
- Lu, Y.; Wang, K.; Ishihara, K. Design of boronic acid-base complexes as reusable homogeneous catalysts in dehydrative condensations between carboxylic acids and amines. Asian J. Org. Chem. 2017, 6, 1191. [Google Scholar] [CrossRef]
- Khaldoun, K.; Safer, A.; Saidi-Besbes, S.; Carboni, B.; Le Guével, R.; Carreaux, F. An efficient solvent-free microwave-assisted synthesis of cinnamamides by amidation reaction using phenylboronic acid/Lewis base Co-catalytic system. Synthesis 2019, 51, 3891. [Google Scholar] [CrossRef]
- Arkhipenko, S.; Sabatini, M.T.; Batsanov, A.S.; Karaluka, V.; Sheppard, T.D.; Rzepa, H.S.; Whiting, A. Mechanistic insights into boron-catalysed direct amidation reactions. Chem. Sci. 2018, 9, 1058. [Google Scholar] [CrossRef]
- Noda, H.; Furutachi, M.; Asada, Y.; Shibasaki, M.; Kumagai, N. Unique physicochemical and catalytic properties dictated by the B3NO2 ring system. Nat. Chem. 2017, 9, 571. [Google Scholar] [CrossRef]
- Liu, Z.; Noda, H.; Shibasaki, M.; Kumagai, N. Catalytic oligopeptide synthesis. Org. Lett. 2018, 20, 612. [Google Scholar] [CrossRef]
- Opie, C.R.; Noda, H.; Shibasaki, M.; Kumagai, N. All non-carbon B3NO2 exotic heterocycles: Synthesis, dynamics, and catalysis. Chem. Eur. J. 2019, 25, 4648. [Google Scholar] [CrossRef]
- Noda, H.; Asada, Y.; Shibasaki, M.; Kumagai, N. Neighboring protonation unveils Lewis acidity in the B3NO2 heterocycle. J. Am. Chem. Soc. 2019, 141, 1546. [Google Scholar] [CrossRef]
- Sawant, D.N.; Bagal, D.B.; Ogawa, S.; Selvam, K.; Saito, S. Diboron-catalyzed dehydrative amidation of aromatic carboxylic acids with amines. Org. Lett. 2018, 20, 4397. [Google Scholar] [CrossRef] [PubMed]
- Shimada, N.; Hirata, M.; Koshizuka, M.; Ohse, N.; Kaito, R.; Makino, K. Diboronic acid anhydrides as effective catalysts for the hydroxy-directed dehydrative amidation of carboxylic acids. Org. Lett. 2019, 21, 4303. [Google Scholar] [CrossRef]
- Koshizuka, M.; Makino, K.; Shimada, N. Diboronic acid anhydride-catalyzed direct peptide bond formation enabled by hydroxy-directed dehydrative condensation. Org. Lett. 2020, 22, 8658. [Google Scholar] [CrossRef] [PubMed]
- Shimada, N.; Takahashi, N.; Ohse, N.; Koshizuka, M.; Makino, K. Synthesis of Weinreb amides using diboronic acid anhydride-catalyzed dehydrative amidation of carboxylic acids. Chem. Commun. 2020, 56, 13145. [Google Scholar] [CrossRef]
- Shimada, N.; Ohse, N.; Takahashi, N.; Urata, S.; Koshizuka, M.; Makino, K. Direct synthesis of N-protected serine- and threonine-derived Weinreb amides via diboronic acid anhydride-catalyzed dehydrative amidation: Application to the concise synthesis of Garner’s aldehyde. Synlett 2021, 32, 1024. [Google Scholar] [CrossRef]
- Michigami, K.; Sakaguchi, T.; Takemoto, Y. Catalytic dehydrative peptide synthesis with gem-diboronic acids. ACS Catal. 2020, 10, 683. [Google Scholar] [CrossRef]
- Yohda, M.; Yamamoto, Y. Enantioselective addition of arylboronic acids to methyl 2-formylbenzoates by using a ruthenium/Me-BIPAM catalyst for synthesis of chiral 3-aryl-isobenzofuranones. Org. Biomol. Chem. 2015, 13, 10874. [Google Scholar] [CrossRef] [PubMed]
- Sabatini, M.T.; Boulton, L.T.; Sheppard, T.D. Borate esters: Simple catalysts for the sustainable synthesis of complex amides. Sci. Adv. 2017, 3, e1701028. [Google Scholar] [CrossRef]
- Sabatini, M.T.; Karaluka, V.; Lanigan, R.M.; Boulton, L.T.; Badland, M.; Sheppard, T.D. Protecting-group-free amidation of amino acids using Lewis acid catalysts. Chem. Eur. J. 2018, 24, 7033. [Google Scholar] [CrossRef]
- Coomber, C.E.; Laserna, V.; Martin, L.T.; Smith, P.D.; Hailes, H.C.; Porter, M.J.; Sheppard, T.D. Catalytic direct amidations in tert-butyl acetate using B(OCH2CF3)3. Org. Biomol. Chem. 2019, 17, 6465. [Google Scholar] [CrossRef]
- Mylavarapu, R.K.; GCM, K.; Kolla, N.; Veeramalla, R.; Koilkonda, P.; Bhattacharya, A.; Bandichhor, R. Boric acid catalyzed amidation in the synthesis of active pharmaceutical ingredients. Org. Proc. Res. Dev. 2007, 11, 1065. [Google Scholar] [CrossRef]
- Shinde, G.B.; Niphade, N.C.; Deshmukh, S.P.; Toche, R.B.; Mathad, V.T. Industrial application of the Forster reaction: Novel one-pot synthesis of cinacalcet hydrochloride, a calcimimetic agent. Org. Proc. Res. Dev. 2011, 15, 455. [Google Scholar] [CrossRef]
- Tang, P.W. Boric acid catalyzed formation from carboxylic acids and amines: N-Benzyl-4-phenylbutyramide. Org. Synth. 2012, 89, 432. [Google Scholar]
- Janvier, M.; Moebs-Sanchez, S.; Popowycz, F. Bio-based amides from renewable isosorbide by a direct and atom-economic boric acid amidation methodology. Eur. J. Org. Chem. 2016, 2016, 2308–2318. [Google Scholar] [CrossRef]
- Du, Y.; Barber, T.; Lim, S.E.; Rzepa, H.S.; Baxendale, H.S.; Whiting, A. A solid-supported arylboronic acid catalyst for direct amidation. Chem. Commun. 2019, 55, 2916. [Google Scholar] [CrossRef]
- Baraniak, M.K.; Lalancette, R.A.; Jäkle, F. Electron-deficient borinic acid polymers: Synthesis, supramolecular assembly, and examination as catalysts in amide bond formation. Chem. Eur. J. 2019, 25, 13799. [Google Scholar] [CrossRef] [PubMed]
- Chan, T.H.; Wong, L.T.L. Silicon tetrachloride as a coupling reagent for amide formation. J. Org. Chem. 1969, 34, 2766. [Google Scholar] [CrossRef]
- Chan, T.H.; Wong, L.T.L. Evaluation of acyloxysilane as acylating agent for peptide synthesis. J. Org. Chem. 1971, 36, 850. [Google Scholar] [CrossRef]
- Davies, J.J.; Braddock, D.C.; Lickiss, P.D. Silicon compounds as stoichiometric coupling reagents for direct amidation. Org. Biomol. Chem. 2021, 19, 6746. [Google Scholar] [CrossRef]
- For the recent use of stoichiometric amount of silicon reagent in the presence of a co-catalytic amount of another silicon reagent in peptide synthesis, see: Muramatsu, W.; Manthena, C.; Nakashima, E.; Yamamoto, H. Peptide bond-forming reaction via amino acid silyl esters: New catalytic reactivity of an aminosilane. ACS Catal. 2020, 10, 9594. [Google Scholar] [CrossRef]
- Lainer, T.; Czerny, F.; Haas, M. Solvent-free amide bond formation using a variety of methoxysilanes as coupling agent. Org. Biomol. Chem. 2022, 20, 3717. [Google Scholar] [CrossRef] [PubMed]
- Ojeda-Porras, A.; Hernández-Santana, A.; Gamba-Sánchez, D. Direct amidation of carboxylic acids with amines under microwave irradiation using silica gel as a solid support. Green Chem. 2015, 17, 3157. [Google Scholar] [CrossRef]
- Rimola, A.; Fabbiani, M.; Sodupe, M.; Ugliengo, P.; Martra, G. How does silica catalyze the amide bond formation under dry conditions? Role of specific surface silanol pairs. ACS Catal. 2018, 8, 4558. [Google Scholar] [CrossRef]
- Lenstra, D.C.; Rutjes, F.P.J.T.; Mecinović, J. Triphenylphosphine-catalysed amide bond formation between carboxylic acids and amines. Chem. Commun. 2014, 50, 5763. [Google Scholar] [CrossRef]
- Hamstra, D.F.J.; Lenstra, D.C.; Koenders, T.J.; Rutjes, F.P.J.T.; Mecinović, J. Poly(methylhydrosiloxane) as a green reducing agent in organophosphorus-catalysed amide bond formation. Org. Biomol. Chem. 2017, 15, 6426. [Google Scholar] [CrossRef]
- Ren, J.-W.; Tong, M.-N.; Zhao, Y.-F.; Ni, F. Synthesis of dipeptide, amide, and ester without racemization by oxalyl chloride and catalytic triphenylphosphine oxide. Org. Lett. 2021, 23, 7497. [Google Scholar] [CrossRef]
- Movahed, F.S.; Sawant, D.N.; Bagal, D.B.; Saito, S. Tris(o-phenylenedioxy)cyclotriphosphazene as a promoter for the formation of amide bonds between aromatic acids and amines. Synthesis 2020, 52, 3253. [Google Scholar]
- Liebeskind, L.S.; Gangireddy, P.; Lindale, M.G. Benzoisothiazolone organo/copper-cocatalyzed redox dehydrative construction of amides and peptides from carboxylic acids using (EtO)3P as the reductant and O2 in air as the terminal oxidant. J. Am. Chem. Soc. 2016, 138, 6715. [Google Scholar] [CrossRef]
- Akondi, S.M.; Gangireddy, P.; Pickel, T.C.; Liebeskind, L.S. Aerobic, diselenide-catalyzed redox dehydration: Amides and peptides. Org. Lett. 2018, 20, 538. [Google Scholar] [CrossRef]
- Satishkumar, S.; Panigrahi, N.R.; Arora, P.S. Rational design of an organocatalyst for peptide bond formation. J. Am. Chem. Soc. 2019, 141, 15977. [Google Scholar]
- Panigrahi, N.R.; Arora, P.S. Two-component redox organocatalyst for peptide bond formation. J. Am. Chem. Soc. 2022, 144, 3637. [Google Scholar]
- Nguyen, T.V.; Lyons, D.J.M. A novel aromatic carbocation-based coupling reagent for esterification and amidation reactions. Chem. Commun. 2015, 51, 3131. [Google Scholar] [CrossRef] [PubMed]
- Huy, P.H.; Mbouhom, C. Formamide catalyzed activation of carboxylic acids—Versatile and cost-efficient amidation and esterification. Chem. Sci. 2019, 10, 7399. [Google Scholar] [CrossRef] [PubMed]
- Lundberg, H.; Tinnis, F.; Adolfsson, H. Direct amide coupling of non-activated carboxylic acids and amines catalysed by zirconium(IV) chloride. Chem. Eur. J. 2012, 18, 3822. [Google Scholar] [CrossRef] [PubMed]
- Allen, C.L.; Chhatwal, A.R.; Williams, J.M.J. Direct amide formation from unactivated carboxylic acids and amines. Chem. Commun. 2012, 48, 666. [Google Scholar] [CrossRef] [PubMed]
- Lundberg, H.; Tinnis, F.; Zhang, J.; Algarra, A.G.; Himo, F.; Adolfsson, H. Mechanistic elucidation of zirconium-catalyzed direct amidation. J. Am. Chem. Soc. 2017, 139, 2286. [Google Scholar] [CrossRef]
- Li, N.; Wang, L.; Zhang, L.; Zhao, W.; Qiao, J.; Xu, X.; Liang, Z. Air-stable Bis(pentamethylcyclopentadienyl) zirconium perfluorooctanesulfonate as an efficient and recyclable catalyst for the synthesis of N-substituted amides. ChemCatChem 2018, 10, 3532. [Google Scholar] [CrossRef]
- Lundberg, H.; Tinnis, F.; Adolfsson, H. Zirconium catalyzed amide formation without water scavenging. Appl. Organometal. Chem. 2019, 33, e5062. [Google Scholar] [CrossRef]
- Lundberg, H.; Adolfsson, H. Hafnium-catalyzed direct amide formation at room temperature. ACS Catal. 2015, 5, 3271. [Google Scholar] [CrossRef]
- De Azambuja, F.; Parac-Vogt, T.N. Water-tolerant and atom economical amide bond formation by metal-substituted polyoxometalate catalysts. ACS Catal. 2019, 9, 10245. [Google Scholar] [CrossRef]
- De Azambuja, F.; Loosen, A.; Conic, D.; van den Besselaar, M.; Harvey, J.N.; Parac-Vogt, T.N. En route to a heterogeneous catalytic direct peptide bond formation by Zr-based metal-organic framework catalysts. ACS Catal. 2021, 11, 7647. [Google Scholar] [CrossRef]
- Wang, A.; Xie, Y.; Wang, J.; Shi, D.; Yu, H. Atom-economic amide synthesis by using an iron-substituted polyoxometalate catalyst. Chem. Commun. 2022, 58, 1127. [Google Scholar] [CrossRef] [PubMed]
- Abánades Lázaro, I.; Forgan, R.S.; Cirujano, F.G. MOF nanoparticles as heterogeneous catalysts for direct amide bond formations. Dalton Trans. 2022, 51, 8368. [Google Scholar] [CrossRef] [PubMed]
- Ali, M.A.; Siddiki, S.M.A.H.; Onodera, W.; Kon, K.; Shimizu, K.-i. Amidation of carboxylic acids with amines by Nb2O5 as a reusable Lewis acid catalyst. ChemCatChem 2015, 7, 3555. [Google Scholar] [CrossRef]
- Shinde, V.N.; Kumar, A. KPF6-mediated rsterification and amidation of carboxylic acids. J. Org. Chem. 2022, 87, 2651. [Google Scholar]
- Großmann, L.M.; Beier, V.; Duttenhofer, L.; Lennartz, L.; Opatz, T. An iodide-mediated anodic amide coupling. Chem. Eur. J. 2022, 28, e202201768. [Google Scholar] [CrossRef]
- Nagahara, S.; Okada, Y.; Kitano, Y.; Chiba, K. Biphasic electrochemical peptide synthesis. Chem. Sci. 2021, 12, 12911. [Google Scholar] [CrossRef]
- Yang, B.; Niu, K.; Haag, F.; Cao, N.; Zhang, J.; Zhang, H.; Li, Q.; Allegretti, F.; Björk, J.; Barth, J.V.; et al. Abiotic formation of an amide bond via surface-supported direct carboxyl-amine coupling. Angew. Chem. Int. Ed. 2022, 61, e202113590. [Google Scholar]
- Basha, A.; Lipton, M.F.; Weinreb, S.M. A mild, general method for conversion of esters to amides. Tetrahedron Lett. 1977, 48, 4171. [Google Scholar] [CrossRef]
- Lipton, M.F.; Basha, A.; Weinreb, S.M. Conversion of esters to amides with dimethylaluminium amides: N,N-dimethylcyclohexanecarboxamide. Org. Synth. 1979, 59, 49. [Google Scholar]
- Ishihara, K.; Kuroki, Y.; Hanaki, N.; Ohara, S.; Yamamoto, H. Antimony-templated macrolactamization of tetraamino esters. Facile synthesis of macrocyclic spermine alkaloids, (±)-buchnerine, (±)-verbacine, (±)-verbaskine, and (±)-verbascenine. J. Am. Chem. Soc. 1996, 118, 1569. [Google Scholar] [CrossRef]
- Wang, W.-B.; Roskamp, E.J. Tin(II) amides: New reagents for the conversion of esters to amides. J. Org. Chem. 1992, 57, 6101. [Google Scholar] [CrossRef]
- De M. Muñoz, J.; Alcázar, J.; de la Hoz, A.; Díaz-Ortiz, Á.; de Diego, S.-A.A. Preparation of amides mediated by isopropylmagnesium chloride under continuous flow conditions. Green Chem. 2012, 14, 1335. [Google Scholar] [CrossRef]
- Kim, B.R.; Lee, H.-G.; Kang, S.-B.; Sung, G.H.; Kim, J.-J.; Park, J.K.; Lee, S.-G.; Yoon, Y.-J. tert-Butoxide-assisted amidation of esters under green conditions. Synthesis 2012, 1, 42. [Google Scholar]
- Nad, P.; Gupta, K.; Sen, A.; Mukherjee, A. Mechanistic understanding of KOtBu-mediated direct amidation of esters with anilines: An experimental study and computational approach. Chem. Asian J. 2022, 17, e202200800. [Google Scholar] [CrossRef]
- Li, G.; Szostak, M. Highly selective transition-metal-free transamidation of amides and amidation of esters at room temperature. Nat. Commun. 2018, 9, 4165. [Google Scholar] [CrossRef]
- Li, G.; Ji, C.-L.; Hong, X.; Szostak, M. Highly chemoselective, transition-metal-free transamidation of unactivated amides and direct amidation of alkyl esters by N−C/O−C cleavage. J. Am. Chem. Soc. 2019, 141, 11161. [Google Scholar] [CrossRef]
- Rzhevskiy, S.A.; Ageshina, A.A.; Chesnokov, G.; Gribanov, P.S.; Topchiy, M.A.; Nechaev, M.S.; Asachenko, A.F. Solvent- and transition metal-free amide synthesis from phenyl esters and aryl amines. RSC Adv. 2019, 9, 1536. [Google Scholar] [CrossRef]
- Zhang, R.; Yao, W.-Z.; Qian, L.; Sang, W.; Yuan, Y.; Du, M.-C.; Cheng, H.; Chen, C.; Qin, X. A practical and sustainable protocol for direct amidation of unactivated esters under transition-metal-free and solvent-free conditions. Green Chem. 2021, 23, 3972. [Google Scholar] [CrossRef]
- Ranu, B.C.; Dutta, P. A simple and convenient procedure for the conversion of esters to secondary amides. Synth. Commun. 2003, 33, 297. [Google Scholar] [CrossRef]
- Han, C.; Lee, J.P.; Lobkovsky, E.; Porco, J.A., Jr. Catalytic ester-amide exchange using group (IV) metal alkoxide-activator complexes. J. Am. Chem. Soc. 2005, 127, 10039. [Google Scholar] [CrossRef] [PubMed]
- Nguyen, D.T.; Lenstra, D.C.; Mecinović, J. Chemoselective calcium-catalysed direct amidation of carboxylic esters. RSC Adv. 2015, 5, 77658. [Google Scholar] [CrossRef]
- Arora, R.; Paul, S.; Gupta, R. A mild and efficient procedure for the conversion of aromatic carboxylic esters to secondary amides. Can. J. Chem. 2005, 83, 1137. [Google Scholar] [CrossRef]
- Ohshima, T.; Hayashi, Y.; Agura, K.; Fujii, Y.; Yoshiyama, A.; Mashima, K. Sodium methoxide: A simple but highly efficient catalyst for the direct amidation of esters. Chem. Commun. 2012, 48, 5434. [Google Scholar] [CrossRef] [PubMed]
- Price, K.E.; Larrivée-Aboussafy, C.; Lillie, B.M.; McLaughlin, R.W.; Mustakis, J.; Hettenbach, K.W.; Hawkins, J.M.; Vaidyanathan, R. Mild and efficient DBU-catalyzed amidation of cyanoacetates. Org. Lett. 2009, 11, 2003. [Google Scholar] [CrossRef]
- Yang, X.; Birman, V.B. Acyl transfer catalysis with 1,2,4-triazole anion. Org. Lett. 2009, 11, 1499. [Google Scholar] [CrossRef] [PubMed]
- Lee, J.; Muthaiah, S.; Hong, S.H. Tandem synthesis of amides and secondary amines from esters with primary amines under solvent-free conditions. Adv. Synth. Catal. 2014, 356, 2653. [Google Scholar] [CrossRef]
- Vandavasi, J.K.; Hsiao, C.-T.; Hu, W.-P.; Boominathan, S.S.K.; Wang, J.-J. Silver(I)-catalyzed tandem approach to β-oxo amides. Eur. J. Org. Chem. 2015, 2015, 3171. [Google Scholar] [CrossRef]
- Morimoto, H.; Fujiwara, R.; Shimizu, Y.; Morisaki, K.; Ohshima, T. Lanthanum(III) triflate catalyzed direct amidation of esters. Org. Lett. 2014, 16, 2018. [Google Scholar] [CrossRef]
- Furukawa, S.; Fukuyama, T.; Matsui, A.; Kuratsu, M.; Nakaya, R.; Ineyama, T.; Ueda, H.; Ryu, I. Coupling-reagent-free synthesis of dipeptides and tripeptides using amino acid ionic liquids. Chem. Eur. J. 2015, 21, 11980. [Google Scholar] [CrossRef]
- Hie, L.; Fine Nathel, N.F.; Hong, X.; Yang, Y.-F.; Houk, K.N.; Garg, N.K. Nickel-catalyzed activation of acyl C−O bonds of methyl esters. Angew. Chem. Int. Ed. 2016, 55, 2810. [Google Scholar] [CrossRef] [PubMed]
- Ali, A.; Siddiki, S.M.A.H.; Kon, K.; Shimizu, K.-i. A heterogeneous Niobium(V) oxide catalyst for the direct amidation of esters. ChemCatChem 2015, 7, 2705. [Google Scholar] [CrossRef]
- Gnanaprakasam, B.; Milstein, D. Synthesis of amides from esters and amines with liberation of H2 under neutral conditions. J. Am. Chem. Soc. 2011, 133, 1682. [Google Scholar] [CrossRef] [PubMed]
- Guo, H.; Wang, Y.; Du, G.-F.; Dai, B.; He, L. N-Heterocyclic carbene-catalysed amidation of vinyl esters with aromatic amines. Tetrahedron 2015, 71, 3472. [Google Scholar] [CrossRef]
- Caldwell, N.; Jamieson, C.; Simpson, I.; Watson, A.J.B. Catalytic amidation of unactivated ester derivatives mediated by trifluoroethanol. Chem. Commun. 2015, 51, 9495. [Google Scholar] [CrossRef] [PubMed]
- Lenstra, D.C.; Nguyen, D.T.; Mecinović, J. Zirconium-catalyzed direct amide bond formation between carboxylic esters and amines. Tetrahedron 2015, 71, 5547. [Google Scholar] [CrossRef]
- Caldwell, N.; Jamieson, C.; Simpson, I.; Tuttle, T. Organobase-catalyzed amidation of esters with amino alcohols. Org. Lett. 2013, 15, 2506. [Google Scholar] [CrossRef]
- Sabot, C.; Kumar, K.A.; Meunier, S.; Mioskowski, C. A convenient aminolysis of esters catalyzed by 1,5,7-triazabicyclo [4.4.0]dec-5-ene (TBD) under solvent-free conditions. Tetrahedron Lett. 2007, 48, 3863. [Google Scholar] [CrossRef]
- Movassaghi, M.; Schmidt, M.A. N-Heterocyclic Carbene-catalyzed amidation of unactivated esters with amino alcohols. Org. Lett. 2005, 7, 2453. [Google Scholar] [CrossRef]
- Allen, C.L.; Williams, J.M. Metal-catalysed approaches to amide bond formation. Chem. Soc. Rev. 2011, 40, 3405. [Google Scholar] [CrossRef]
- Tsuji, H.; Yamamoto, H. Hydroxy-directed amidation of carboxylic acid esters using a tantalum alkoxide catalyst. J. Am. Chem. Soc. 2016, 138, 14218. [Google Scholar] [CrossRef] [PubMed]
- Sultan, S.; Kumar, M.; Devari, S.; Mukherjee, D.; Ali Shah, B. Copper-manganese spinel oxide catalyzed synthesis of amides and azobenzenes via aminyl radical cations. ChemCatChem 2016, 8, 703. [Google Scholar] [CrossRef]
- Kumar, A.; Espinosa-Jalapa, N.A.; Leitus, G.; Diskin-Posner, Y.; Avram, L.; Milstein, D. Direct synthesis of amides by dehydrogenative coupling of amines with either alcohols or esters: Manganese pincer complex as catalyst. Angew. Chem. Int. Ed. 2017, 56, 14992. [Google Scholar] [CrossRef] [PubMed]
- Fu, Z.; Wang, X.; Tao, S.; Bu, Q.; Wei, D.; Liu, N. Manganese catalyzed direct amidation of esters with amines. J. Org. Chem. 2021, 86, 2339. [Google Scholar] [CrossRef]
- Ben Halima, T.; Vandavasi, J.K.; Shkoor, M.; Newman, S.G. A cross-coupling approach to amide bond formation from esters. ACS Catal. 2017, 7, 2176. [Google Scholar] [CrossRef]
- Shi, S.; Szostak, M. Pd–PEPPSI: A general Pd–NHC precatalyst for Buchwald–Hartwig cross-coupling of esters and amides (transamidation) under the same reaction conditions. Chem. Commun. 2017, 53, 10584. [Google Scholar] [CrossRef]
- Dardir, A.H.; Melvin, P.R.; Davis, R.M.; Hazari, N.; Mohadjer Beromi, M. Rapidly activating Pd-precatalyst for Suzuki-Miyaura and Buchwald-Hartwig couplings of aryl esters. J. Org. Chem. 2018, 83, 469. [Google Scholar] [CrossRef]
- Zhou, T.; Li, G.; Nolan, S.P.; Szostak, M. [Pd(NHC)(acac)Cl]: Well-defined, air-stable, and readily available precatalysts for Suzuki and Buchwald-Hartwig cross-coupling (transamidation) of amides and esters by N–C/O–C activation. Org. Lett. 2019, 21, 3304. [Google Scholar] [CrossRef]
- Muto, K.; Yamaguchi, J.; Musaev, D.G.; Itami, K. Decarbonylative organoboron cross-coupling of esters by nickel catalysis. Nat. Commun. 2015, 6, 7508. [Google Scholar] [CrossRef]
- Hong, X.; Liang, Y.; Houk, K.N. Mechanisms and origins of switchable chemoselectivity of Ni-catalyzed C(aryl)-O and C(acyl)-O activation of aryl esters with phosphine ligands. J. Am. Chem. Soc. 2014, 136, 2017. [Google Scholar] [CrossRef]
- Ben Halima, T.; Zhang, W.; Yalaoui, I.; Hong, X.; Yang, Y.-F.; Houk, K.N.; Newman, S.G. Palladium-catalyzed Suzuki–Miyaura coupling of aryl esters. J. Am. Chem. Soc. 2017, 139, 1311. [Google Scholar] [CrossRef] [PubMed]
- Pu, X.; Hu, J.; Zhao, Y.; Shi, Z. Nickel-catalyzed decarbonylative borylation and silylation of esters. ACS Catal. 2016, 6, 6692. [Google Scholar] [CrossRef]
- Lu, Q.; Yu, H.; Fu, Y. Mechanistic study of chemoselectivity in Ni-catalyzed coupling reactions between azoles and aryl carboxylates. J. Am. Chem. Soc. 2014, 136, 8252. [Google Scholar] [CrossRef] [PubMed]
- Li, Z.; Zhang, S.-L.; Fu, Y.; Guo, Q.-X.; Liu, L. Mechanism of Ni-catalyzed selective C−O bond activation in cross-coupling of aryl esters. J. Am. Chem. Soc. 2009, 131, 8815. [Google Scholar] [CrossRef] [PubMed]
- Xu, H.; Muto, K.; Yamaguchi, J.; Zhao, C.; Itami, K.; Musaev, D.G. Key mechanistic features of Ni-catalyzed C–H/C–O biaryl coupling of azoles and naphthalen-2-yl pivalates. J. Am. Chem. Soc. 2014, 136, 14834. [Google Scholar] [CrossRef]
- Ben Halima, T.; Masson-Makdissi, J.; Newman, S.G. Nickel-catalyzed amide bond formation from methyl esters. Angew. Chem. Int. Ed. 2018, 57, 12925. [Google Scholar] [CrossRef]
- Zheng, Y.-L.; Newman, S.G. Methyl esters as cross-coupling electrophiles: Direct synthesis of amide bonds. ACS Catal. 2019, 9, 4426. [Google Scholar] [CrossRef]
- Hie, L.; Fine Nathel, N.; Shah, T.K.; Baker, E.L.; Hong, X.; Yang, Y.-F.; Liu, P.; Houk, K.N.; Garg, N.K. Conversion of amides to esters by the nickel-catalysed activation of amide C–N bonds. Nature 2015, 524, 79. [Google Scholar] [CrossRef]
- Chu, C.-q.; Dang, L. Esterification of aryl and alkyl amides enabled by tailor-made and proposed nickel catalyst: Insights from theoretical investigation. J. Org. Chem. 2018, 83, 5009. [Google Scholar] [CrossRef]
- Ji, C.-L.; Xie, P.-P.; Hong, X. Computational study of mechanism and thermodynamics of Ni/IPr-catalyzed amidation of esters. Molecules 2018, 23, 2681. [Google Scholar] [CrossRef]
- Mkhonazi, B.D.; Shandu, M.; Tshinavhe, R.; Simelane, S.B.; Moshapo, P.T. Solvent-free iron(III) chloride-catalyzed direct amidation of esters. Molecules 2020, 25, 1040. [Google Scholar] [CrossRef] [PubMed]
- Rashed, M.N.; Masuda, K.; Ichitsuka, T.; Koumura, N.; Sato, K.; Kobayashi, S. Zirconium oxide-catalyzed direct amidation of unactivated esters under continuous-flow conditions. Adv. Synth. Catal. 2021, 363, 2529. [Google Scholar] [CrossRef]
- Li, Z.; Wang, C.; Wang, Y.; Yuan, D.; Yao, Y. Heterobimetallic lanthanide–sodium alkoxides catalyze the amidation of esters. Asian J. Org. Chem. 2018, 7, 810. [Google Scholar] [CrossRef]
- Li, Z.; Guo, C.; Chen, J.; Yao, Y.; Luo, Y. Facile amidation of esters with aromatic amines promoted by lanthanide tris (amide) complexes. Appl. Organometal. Chem. 2020, 34, e5517. [Google Scholar] [CrossRef]
- McPherson, C.G.; Caldwell, N.; Jamieson, C.; Simpson, I.; Watson, A.J.B. Amidation of unactivated ester derivatives mediated by trifluoroethanol. Org. Biomol. Chem. 2017, 15, 3507. [Google Scholar] [CrossRef] [PubMed]
- Sanz Sharley, D.D.; Williams, J.M.J. Acetic acid as a catalyst for the N-acylation of amines using esters as the acyl source. Chem. Commun. 2017, 53, 2020. [Google Scholar] [CrossRef] [PubMed]
- Nakashima, E.; Yamamoto, H. Biomimetic peptide catalytic bond-forming utilizing a mild Brønsted acid. Chem. Eur. J. 2022, 28, e202103989. [Google Scholar] [CrossRef]
- Abedelnour, E.; Ognier, S.; Zhang, M.; Schio, L.; Venier, O.; Cossy, J.; Tatoulian, M. Plasma flow chemistry for direct N-acylation of amines by esters. Chem. Commun. 2022, 58, 7281. [Google Scholar] [CrossRef]
- Nicholson, W.I.; Barreteau, F.; Leitch, J.A.; Payne, R.; Priestley, I.; Godineau, E.; Battilocchio, C.; Browne, D.L. Direct amidation of esters by ball milling. Angew. Chem. Int. Ed. 2021, 60, 21868. [Google Scholar] [CrossRef]
- Lee, H.-J.; Choi, E.-S.; Maruoka, K. Development of a catalytic ester activation protocol for the efficient formation of amide bonds using an Ar−I/HF⋅pyridine/mCPBA system. Asian J. Org. Chem. 2022, 11, e202200483. [Google Scholar] [CrossRef]
Disclaimer/Publisher’s Note: The statements, opinions and data contained in all publications are solely those of the individual author(s) and contributor(s) and not of MDPI and/or the editor(s). MDPI and/or the editor(s) disclaim responsibility for any injury to people or property resulting from any ideas, methods, instructions or products referred to in the content. |
© 2023 by the authors. Licensee MDPI, Basel, Switzerland. This article is an open access article distributed under the terms and conditions of the Creative Commons Attribution (CC BY) license (https://creativecommons.org/licenses/by/4.0/).













































