A Comparison of the Sensing Behavior for Pt-Mo/C-, Pt-Zr/C-, Pt-Fe-Ir/C-, and Pt/C-Modified Glassy Carbon Electrodes for the Oxidation of Ascorbic Acid and Dopamine
Abstract
:1. Introduction
2. Results and Discussion
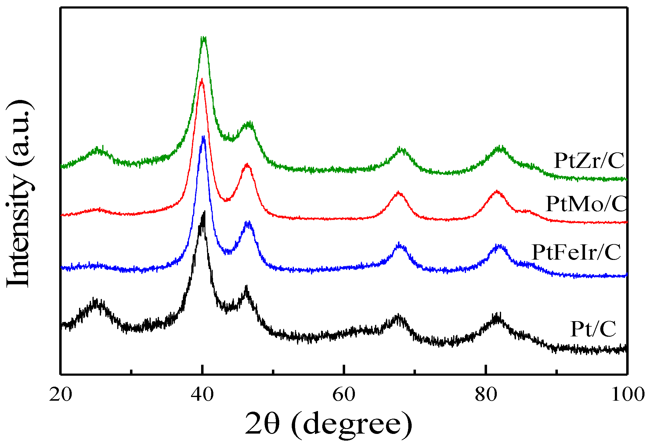
2.1. Characterization of the Pt/C, Pt-Mo/C, Pt-Zr/C and Pt-Fe-Ir/C Electrocatalysts
2.2. Cyclic Voltammetry of Pt-Mo/C/GCE, Pt-Zr/C/GCE, Pt-Fe-Ir/C/GCE, and Pt/C/GCE
2.3. Determination of Appropriate Sensing Potential
2.4. Sensing Performances of Pt-Mo/C/GCE, Pt-Zr/C/GCE, Pt-Fe-Ir/C/GCE, and Pt/C/GCE
3. Materials and Methods
3.1. Reagents
3.2. Preparation of Pt/C, Pt-Mo/C, Pt-Zr/C, and Pt-Fe-Ir/C Electrocatalysts
3.3. Preparation of Pt/C/GCE, Pt-Mo/C/GCE, Pt-Zr/C/GCE, and Pt-Fe-Ir/C/GCE
3.4. Characterization of Pt/C, Pt-Mo/C, Pt-Zr/C, and Pt-Fe-Ir/C Electrocatalysts
4. Conclusions
Author Contributions
Funding
Institutional Review Board Statement
Informed Consent Statement
Data Availability Statement
Acknowledgments
Conflicts of Interest
References
- Mittu, B.; Bhat, Z.R.; Chauhan, A.; Kour, J.; Behera, A.; Kaur, M. Nutraceuticals and Health Care; Academic Press: Cambridge, MA, USA, 2022; Chapter 16; pp. 289–302. [Google Scholar]
- Liu, S.-P.; Jiang, X.-X.; Yang, M.-H. Electrochemical sensing of L-ascorbic acid by using a glassy carbon electrode modified with a molybdophosphate film. Microchim. Acta 2019, 186, 445. [Google Scholar] [CrossRef]
- Yen, G.-C.; Duh, P.-D.; Tsai, H.-L. Antioxidant and pro-oxidant properties of ascorbic acid and gallic acid. Food Chem. 2002, 79, 307–313. [Google Scholar] [CrossRef]
- de Mello, A.L.M.F.; de Melo, K.R.; de Sousa, A.L.M.D.; Rolim Neto, P.J.; da Silva, R.M.F. Product indiscriminate use of vitamin risks: A review. Crit. Rev. Food Sci. Nutr. 2020, 60, 2067–2082. [Google Scholar] [CrossRef]
- Qian, T.; Yu, C.; Zhou, X.; Ma, P.; Wu, S.; Xu, L.; Shen, J. Ultrasensitive dopamine sensor based on novel molecularly imprinted polypyrrole coated carbon nanotubes. Biosens. Bioelectron. 2014, 58, 237–241. [Google Scholar] [CrossRef] [PubMed]
- Yu, H.-W.; Jiang, J.-H.; Zhang, Z.; Wan, G.-C.; Liu, Z.-Y.; Chang, D.; Pan, H.-Z. Preparation of quantum dots CdTe decorated graphene composite for sensitive detection of uric acid and dopamine. Anal. Biochem. 2017, 519, 92–99. [Google Scholar] [CrossRef] [PubMed]
- Sharma, V.; Sundaramurthy, A.; Tiwari, A.; Sundramoorthy, A.K. Graphene nanoplatelets-silver nanorods-polymer based in-situ hybrid electrode for electroanalysis of dopamine and ascorbic acid in biological samples. Appl. Surf. Sci. 2018, 449, 558–566. [Google Scholar] [CrossRef]
- Fang, J.; Xie, Z.; Wallace, G.; Wang, X. Co-deposition of carbon dots and reduced graphene oxide nanosheets on carbon-fiber microelectrode surface for selective detection of dopamine. Appl. Surf. Sci. 2017, 412, 131–137. [Google Scholar] [CrossRef]
- Marina, M.L.; Ríos, A.; Valcárcel, M. Analysis and Detection by Capillary Electrophoresis; Elsevier: Amsterdam, The Netherlands, 2005. [Google Scholar]
- Leibl, N.; Haupt, K.; Gonzato, C.; Duma, L. Molecularly imprinted polymers for chemical sensing: A tutorial review. Chemosensors 2021, 9, 123. [Google Scholar] [CrossRef]
- Kiranmai, S.; Kuchi, C.; Sravani, B.; Ƚuczak, T.; Kim, M.J.; Madhavi, G.; Manohara Reddy, Y.V. Construction of ultrasensitive electrochemical sensor using TiO2-reduced graphene oxide nanofibers nanocomposite for epinephrine detection. Surf. Interfaces 2022, 35, 102455. [Google Scholar]
- Huang, J.; Liu, Y.; Hou, H.; You, T. Simultaneous electrochemical determination of dopamine, uric acid and ascorbic acid using palladium nanoparticle-loaded carbon nanofibers modified electrode. Biosens. Bioelectron. 2008, 24, 632–637. [Google Scholar] [CrossRef]
- Xu, T.-Q.; Zhang, Q.-L.; Zheng, J.-N.; Lv, Z.-Y.; Wei, J.; Wang, A.-J.; Feng, J.-J. Simultaneous determination of dopamine and uric acid in the presence of ascorbic acid using Pt nanoparticles supported on reduced graphene oxide. Electrochim. Acta 2014, 115, 109–115. [Google Scholar] [CrossRef]
- Yogeswaran, U.; Thiagarajan, S.; Chen, S.-M. Nanocomposite of functionalized multiwall carbon nanotubes with nafion, nano platinum, and nano gold biosensing film for simultaneous determination of ascorbic acid, epinephrine, and uric acid. Anal. Biochem. 2007, 365, 122–131. [Google Scholar] [CrossRef] [PubMed]
- Hyder, M.; Reddy, G.R.K.; Naveen, B.; Kumar, P.S. Copper-silver bimetallic nanoelectrocatalyst on pencil graphite substrate for highly selective amperometric dopamine sensor. Chem. Phys. Lett. 2020, 740, 137086. [Google Scholar] [CrossRef]
- Balasubramanian, P.; He, S.B.; Jansirani, A.; Peng, H.-P.; Huang, L.-L.; Deng, H.-H.; Chen, W. Bimetallic AgAu decorated MWCNTs enable robust nonenzyme electrochemical sensors for in-situ quantification of dopamine and H2O2 biomarkers expelled from PC-12 cells. J. Electroanal. Chem. 2020, 878, 114554. [Google Scholar] [CrossRef]
- Li, X.; Liu, L.; Xu, Z.; Wang, W.; Shi, J.; Liu, L.; Zhang, X. Gamma irradiation and microemulsion assisted synthesis of monodisperse flower-like platinum-gold nanoparticles/reduced graphene oxide nanocomposites for ultrasensitive detection of carcinoembryonic antigen. Sens. Actuators B Chem. 2019, 287, 267–277. [Google Scholar] [CrossRef]
- Mandavkar, R.; Kulkarni, R.; Habib, M.A.; Burse, S.; Lin, S.; Kunwar, S.; Najar, A.; Aravindh, S.A.; Jeong, J.H.; Lee, J. Super-porous Pt/CuO/Pt hybrid platform for ultra-sensitive and selective H2O2 detection. Appl. Surf. Sci. 2022, 593, 153454. [Google Scholar] [CrossRef]
- Niu, X.H.; Shi, L.B.; Zhao, H.L.; Lan, M.B. Advanced strategies for improving the analytical performance of Pt-based nonenzymatic electrochemical glucose sensors: A minireview. Anal. Methods 2016, 8, 1755. [Google Scholar] [CrossRef]
- Sravani, B.; Manohara Reddy, Y.V.; Park, J.P.; Venu, M.; Sarma, L.S. Design of Bimetallic PtFe-Based Reduced Graphene Oxide as Efficient Catalyst for Oxidation Reduction Reaction. Catalysts 2022, 12, 1528. [Google Scholar] [CrossRef]
- Alwarappan, S.; Liu, G.; Li, C.Z. Simultaneous detection of dopamine, ascorbic acid, and uric acid at electrochemically pretreated carbon nanotube biosensors. Nanomed. Nanotechnol. Biol. Med. 2010, 6, 52–57. [Google Scholar] [CrossRef]
- Kaur, B.; Pandiyan, T.; Satpati, B.; Srivastava, R. Simultaneous and sensitive determination of ascorbic acid, dopamine, uric acid, and tryptophan with silver nanoparticles-decorated reduced graphene oxide modified electrode. Colloids Surf. B Biointerfaces 2013, 111, 97–106. [Google Scholar] [CrossRef]
- Sun, C.-L.; Lee, H.-H.; Yang, J.-M.; Wu, C.-C. The simultaneous electrochemical detection of ascorbic acid, dopamine, and uric acid using graphene/size-selected Pt nanocomposites. Biosens. Bioelectron. 2011, 26, 3450–3455. [Google Scholar] [CrossRef] [PubMed]
- Amala, G.; Saravanan, J.; Yoo, D.-J.; Kim, A.-R. An environmentally benign one pot green synthesis of reduced graphene oxide based composites for the enzyme free electrochemical detection of hydrogen peroxide. New J. Chem. 2017, 41, 4022–4030. [Google Scholar] [CrossRef]
- Aryal, K.P.; Jeong, H.K. Hematite-thermally reduced graphite oxide composite for electrochemical sensing of dopamine. Chem. Phys. Lett. 2019, 723, 133–138. [Google Scholar] [CrossRef]
- Han, X.J.; Tang, J.L.; Wang, J.G.; Wang, E.A. Electrocatalytic oxidation of ascorbic acid by norepinephrine embedded in lipid cast film at glassy carbon electrode. Electrochim. Acta 2001, 46, 3367–3371. [Google Scholar] [CrossRef]
- Pournaghi-Azar, M.H.; Sabzi, R. Electrochemical characteristics of a cobalt pentacyanonitrosylferrate film on a modified glassy carbon electrode and its catalytic effect on the electrooxidation of hydrazine. J. Electroanal. Chem. 2003, 543, 115–125. [Google Scholar] [CrossRef]
- Manesh, K.M.; Santosh, P.; Gopalan, A.I.; Lee, K.P. Enhanced electrocatalysis for the reduction of hydrogen peroxide at new multiwall carbon nanotube grafted polydiphenylamine modified electrode. Electroanalysis 2006, 18, 894–903. [Google Scholar] [CrossRef]












| Electrocatalysts | Composition (atm. %) | Average Particle Size (nm) | ||
|---|---|---|---|---|
| Pt | M1 | M2 | ||
| Pt | 100 | 0 | 0 | 3.75 |
| Pt-Mo | 98 | 2 | 0 | 4.57 |
| Pt-Zr | 80 | 20 | 0 | 4.29 |
| Pt-Fe-Ir | 80 | 10 | 10 | 3.3 |
| Electrode | Anodic Peak Current (μA) | Electroactive Area (cm2) | Roughness Factor |
|---|---|---|---|
| GCE | 32 | 0.039 | 0.55 |
| Pt/C/GCE | 173 | 0.161 | 2.27 |
| Pt-Mo/C/GCE | 181 | 0.176 | 2.49 |
| Pt-Zr/C/GCE | 81 | 0.113 | 1.17 |
| Pt-Fe-Ir/C/GCE | 103 | 0.083 | 1.61 |
| Electrode | Sensitivity (μA mM−1) | Response Time (s) | ||
|---|---|---|---|---|
| AA | DA | AA | DA | |
| Pt/C/GCE | 27.09 | 68.23 | 4.9 | 5.6 |
| Pt-Mo/C/GCE | 31.29 | 72.24 | 4.1 | 4.1 |
| Pt-Zr/C/GCE | 9.57 | 47.76 | 4.9 | 5.3 |
| Pt-Fe-Ir/C/GCE | 18.36 | 64.29 | 4.3 | 7.1 |
Disclaimer/Publisher’s Note: The statements, opinions and data contained in all publications are solely those of the individual author(s) and contributor(s) and not of MDPI and/or the editor(s). MDPI and/or the editor(s) disclaim responsibility for any injury to people or property resulting from any ideas, methods, instructions or products referred to in the content. |
© 2023 by the authors. Licensee MDPI, Basel, Switzerland. This article is an open access article distributed under the terms and conditions of the Creative Commons Attribution (CC BY) license (https://creativecommons.org/licenses/by/4.0/).
Share and Cite
Weng, Y.-C.; Su-Chen, J.-Y.; Yang, T.-Y.; Chiang, C.-L. A Comparison of the Sensing Behavior for Pt-Mo/C-, Pt-Zr/C-, Pt-Fe-Ir/C-, and Pt/C-Modified Glassy Carbon Electrodes for the Oxidation of Ascorbic Acid and Dopamine. Catalysts 2023, 13, 337. https://doi.org/10.3390/catal13020337
Weng Y-C, Su-Chen J-Y, Yang T-Y, Chiang C-L. A Comparison of the Sensing Behavior for Pt-Mo/C-, Pt-Zr/C-, Pt-Fe-Ir/C-, and Pt/C-Modified Glassy Carbon Electrodes for the Oxidation of Ascorbic Acid and Dopamine. Catalysts. 2023; 13(2):337. https://doi.org/10.3390/catal13020337
Chicago/Turabian StyleWeng, Yu-Ching, Jia-Yi Su-Chen, Ting-Yu Yang, and Chieh-Lin Chiang. 2023. "A Comparison of the Sensing Behavior for Pt-Mo/C-, Pt-Zr/C-, Pt-Fe-Ir/C-, and Pt/C-Modified Glassy Carbon Electrodes for the Oxidation of Ascorbic Acid and Dopamine" Catalysts 13, no. 2: 337. https://doi.org/10.3390/catal13020337
APA StyleWeng, Y.-C., Su-Chen, J.-Y., Yang, T.-Y., & Chiang, C.-L. (2023). A Comparison of the Sensing Behavior for Pt-Mo/C-, Pt-Zr/C-, Pt-Fe-Ir/C-, and Pt/C-Modified Glassy Carbon Electrodes for the Oxidation of Ascorbic Acid and Dopamine. Catalysts, 13(2), 337. https://doi.org/10.3390/catal13020337

