Abstract
Phosphine-free ruthenium benzylidene complexes containing imidazole ligands are reported. These catalysts are effective for ring-closing metathesis (RCM) and cross-metathesis (CM) reactions at high temperatures, where the more widely used phosphine-containing N-heterocyclic carbene-based ruthenium catalysts show side reactions. This discovery opens up a pathway to develop more selective ruthenium metathesis catalysts for reactions requiring harsh conditions.
1. Introduction
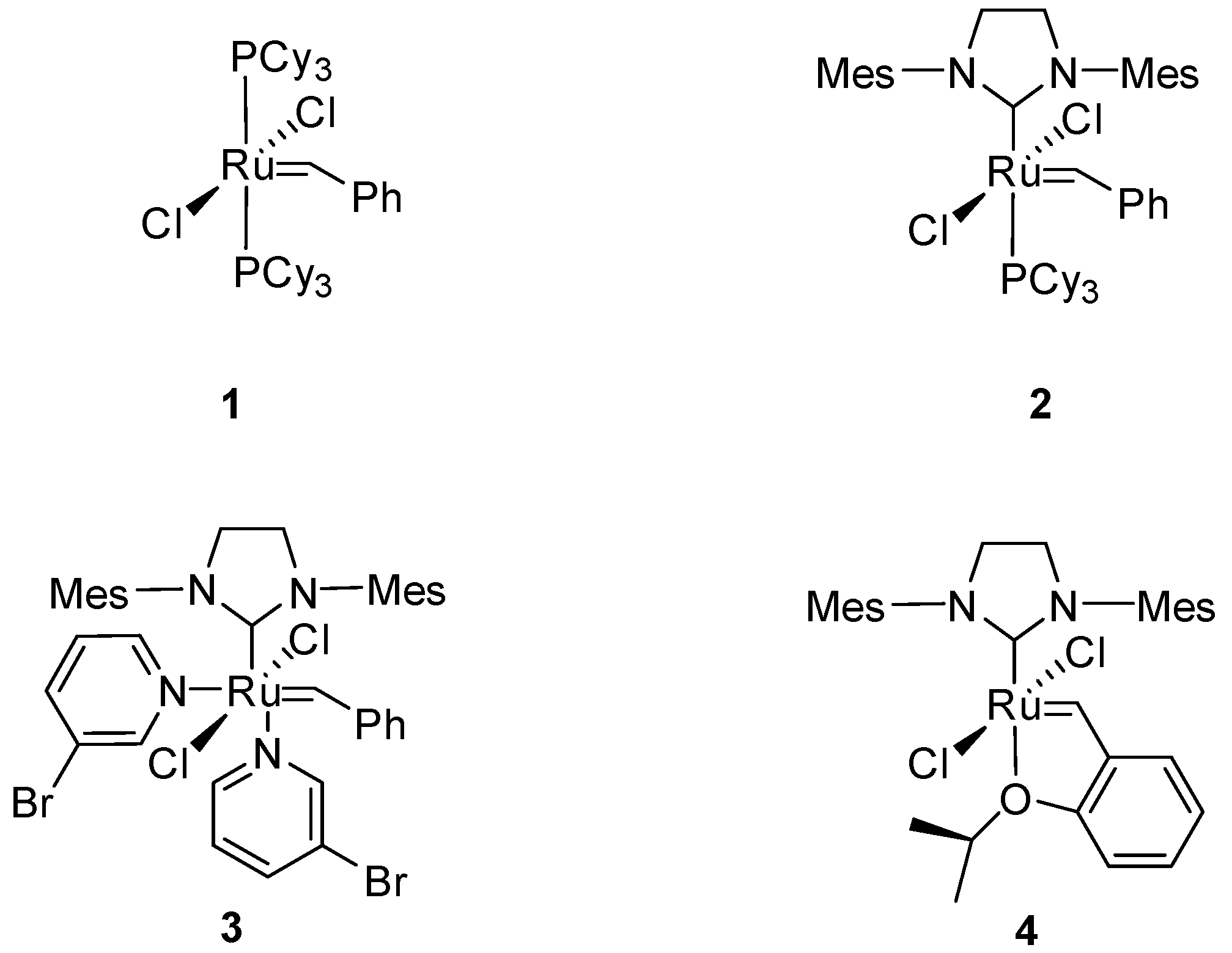
Olefin metathesis (OM), an essential method for the construction of carbon–carbon double bonds, has been used in many applications by introducing well-characterized ruthenium organometallic complexes [1,2,3,4,5,6]. In the case of ruthenium catalysts, introducing N-heterocyclic carbenes (NHCs) as ligands (Figure 1, Grubbs II, 2) led to a number of air- and moisture-stable catalysts compared to Grubbs I, which contains two Pcy3 ligands (Figure 1, 1) [7,8,9]. In addition, the more specialized phosphine-free ruthenium complexes (containing one NHC ligand) such as nitrogen-ligated (Figure 1, Grubbs III, 3) [10] and oxygen-ligated (Figure 1, Hoveyda—Grubbs II, 4) [11] ruthenium catalysts have been introduced to allow for better results in industrially important metathesis reactions.
Figure 1.
Ruthenium olefin metathesis catalysts 1–4.
Since Grubbs reported the first nitrogen-chelated ruthenium catalyst containing two pyridine ligands [12], a series of phosphine-free ruthenium catalysts containing a pyridine or imine ligand have been reported (Scheme 1) [13,14,15,16,17,18,19,20,21,22,23,24,25,26,27,28,29,30,31,32,33,34,35,36,37,38]. For example, Schrodi et al. [18] disclosed a Ru catalyst with motif A that showed higher catalytic activity in ring-opening olefin metathesis polymerization (ROMP). Grubbs’ group [20] and Slugovc and Grela’s group [23] synthesized a series of nitrogen-chelated ruthenium complexes containing an imine ligand with motif B or C. Catalysts for multisite chelation were reported by our group in 2016, which exhibited high activity for the RCM and CM reactions (motif D) [24]. However, compared with the free nitrogen-chelated Ru catalysts, the endocyclic nitrogen-chelated model (Scheme 1, A–D) resulted in lower initiation rates due to the stronger binding of the Ru-N bond. In addition, Grubbs noted that the pyridine ligands in [(H2IMes)(pyridine)2(Cl)2Ru=CHPh] can be readily replaced with phosphanes [12]. Given the similar nature of pyridine and imidazole [39], it seems logical to test whether the imidazole ligands, after transformation into the corresponding ruthenium complexes (Figure 1), act as OM catalysts and what the properties of this system will be.
Scheme 1.
Nitrogen-ligated ruthenium catalysts.
Here, we disclose a method for the stepwise preparation of a NHC ruthenium complex containing two imidazole ligands and demonstrate its high performance in RCM and CM reactions at high temperatures, as compared to the commercial phosphine-containing ruthenium catalysts, such as Grubbs II, that show side reactions [40]. To the best of our knowledge, the catalytic properties of the Grubbs catalysts bearing imidazole ligands have rarely been described in the related chemical literature. Only Schanz’s group [41,42] and Öztürk and coworker [43] reported that using ruthenium benzylidene complexes containing 1-methylimidazole and poly(N-vinylimidazole) in combination with an excess of mineral acids (H3PO4 or HCl) to form 14 electron-active Ru complexes demonstrated its high performance in ROMP and CM reactions.
2. Results and Discussion
2.1. Synthesis of Catalysts 6a and 6b
Complexes 6a and 6b were then obtained in moderate to fair yields by using commercially available Ru precursor 2 in reaction with 1-mesityl-1H-imidazole 5a or 1-benzyl-1H-imidazole 5b (Scheme 2). All complexes were characterized via NMR spectroscopy and HRMS.
Scheme 2.
Synthesis of 6a and 6b.
2.2. RCM Transformations
The catalytic behavior of Ru catalysts 6a–6b was first evaluated in the model RCM reaction of N,N-diallyl-4-methylbenzenesulfonamide 7, and the results are summarized in Table 1. Since 6a–6b, as expected, gave essentially the same selectivity while producing RCM product 8 and cycloisomerization product 9, for a better understanding of the results, only the RCM reactions promoted by the Ru catalyst 6b are reported in Table 1. For comparison, parallel RCM reactions performed with 2 were included in Table 1. Moreover, to put our results in a more general context, parallel reactions promoted by the Schanz catalyst (containing two 1-methylimidazoles and one NHC ligand) [42] in combination with mineral acids (H3PO4 or HCl) were also added.
Table 1.
Screening of RCM reaction conditions a.
The RCM reaction of N-protecting diene 7 with catalyst 2 proceeded almost quantitatively at 25 °C, and no isomerization product 9 was observed (Table 1, entry 1). Regardless of the poor efficiency displayed by Ru catalyst 6b in the same reaction (entry 2), we thought to investigate the factors affecting its catalytic behavior in the RCM reactions. Note that the formation of isomerization product 9 may be ascribed to the oxidative coupling of the diene to the Ru center followed by β-elimination and reductive elimination when the Ru complex in RCM reactions displayed a latent catalytic property [44,45]. Schanz disclosed that the coordination of imidazole ligand precursors to Grubbs-type catalysts generated a latent catalytic system, which could translate into an active Ru complex through the addition of mineral acids (H3PO4 or HCl) [41,42]. Encouraged by this result, we tried to use H3PO4 or HCl as an additive to enhance the activity and chemoselectivity of 6b. Additionally, the results revealed that 6b did not have a significant enhancement in the yield of 8 along with the formation of 9, but the Schanz catalyst gave a better result in the presence of H3PO4 (entries 3–6). Screening mineral acids as an additive did not give a better result; therefore, we turned our attention to the reaction temperature. As the temperature increased, the yield of product 8 also increased; however, it also did not suppress the formation of isomerization product 9 (entries 7–10). Importantly, when the RCM reaction of N-protecting diene 7 was carried out in toluene at 80 oC by using 6b as a catalyst, the conversion of 7 was more than 99% (entry 10). Moreover, Demonceau [44] and Dixneuf [45] reported that using terminal alkynes as additives could inhibit the isomerization product by promoting the formation of an active Ru complex. These results encouraged us to continue screening different terminal alkynes as additives at this temperature. The use of 3 mol% of phenylacetylene as an additive led to a slight decrease in the yield of 8, along with a considerable increase in the formation of 9 (entry 11). Using 3-bromopop-1-yne as an additive did not cause a significant enhancement in the yield of product 8, but inhibited the formation of 9 (entry 12). Interestingly, a prolonged reaction time (from 4 h to 12 h) gave RCM product 8 a 95% yield by using 3 mol% of 3-bromoprop-1-yne as an additive, and the formation of 9 was not observed (entry 13). Changing the reaction temperature, reaction time, and the amount of additive did not lead to a definite improvement in the yield of 8 (entries 14–17).
Having the optimal parameters in hand, we opted to test the activity of 6a and 6b in a set of RCM reactions (Table 2). In general, 6b was found to smoothly realize the ring closure of tested substrates 7, 9, 11, 13, 17, and 19, giving corresponding five-, six-, or seven-membered cyclic olefins in a higher yield with respect to 6a. However, for eneyne substrate 15, neither catalyst 6a nor 6b could promote the RCM reaction.
Table 2.
Substrate scope of RCM reactions a.
The catalytic profile of 6b was then evaluated in the CM reactions of two different terminal olefins without an additive. Moreover, to ensure the fairness of the test, parallel reactions catalyzed by 2 and the Schanz catalyst were also added (Figure 2). Although 2 showed slightly higher reactivity, styrenes with R1 as a 4-F, 4-Me, or 4-MeO moiety were all reacted with (allyloxy)benzene to give CM products 23–25 by using 6b in an additive-free manner. Out of curiosity, the CM reaction of styrene and (allyloxy)benzene was also carried out at 80 °C, giving 25 in a 90% yield, which exhibited the ability of 6b to work under harsh conditions. Catalyst 6b was also entered into a reaction of styrene and terminal olefins with various functional groups (-CN and -COOMe; 26–27), but catalyst 2 also had a superior conversion. Moreover, the Schanz catalyst was used to synthesize 23–27 in an additive-free manner, and the results showed that 6b and the Schanz catalyst perform similar activities in the CM reactions.
Figure 2.
Substrate scope of CM reactions. Substrate 21 (5.0 mmol), substrate 22 (0.5 mmol), DCM (0.5 mL), and [Ru] (2.5 mol%) at 40 °C for 12 h. Isolate yield. b Toluene as solvent at 80 °C for 12 h.
3. Materials and Methods
3.1. Instruments and Reagents
1-Benzyl-1H-imidazole 5b and most alkenes were acquired from commercial suppliers and were used without further purification. Here, 1-mesityl-1H-imidazole 5a was synthesized according to published procedures [46]. The 1H and 13C NMR spectra were obtained at 25 °C in CDCl3 on a Bruker AV 400 NMR spectrometer (Bruker Co., Faellanden, Switzerland), in which the chemical shifts (δ in ppm) were established with respect to CHCl3. High-resolution mass spectrometry (HRMS) was performed on a Bruker microTOF-QII instrument (Bruker Daltonik GmbH, Bremen, Germany).
3.2. Catalytic Tests
3.2.1. RCM Reactions
To the solution of N-protecting diene (0.5 mmol) and an additive (3 mol%) in a dry solvent (DCM, or toluene, 0.5 mL), 1.0 mol% of a corresponding catalyst (2, 6a, 6b, or the Schanz catalyst) was added in one portion in N2. The resulting mixture was stirred under the given conditions (see Table 1 and Table 2) for 12 h. After the reaction time was completed, all volatiles were removed under reduced pressure and the crude product was purified using column chromatography (SiO2, eluent: from n-hexane to 10% EtOAc/n-hexane).
3.2.2. CM Reactions
To the solution of styrene (5.0 mmol) and O-protecting terminal olefins (0.5 mmol) in a dry solvent (DCM or toluene, 0.5 mL), 2.5 mol% of a corresponding catalyst (2, 6b, or the Schanz catalyst) was added in one portion in N2. The resulting mixture was stirred under the given conditions (see Figure 2) for 12 h. After the reaction time was completed, all volatiles were removed under reduced pressure and the crude product was purified using column chromatography (SiO2, eluent: from n-hexane to 10% EtOAc/n-hexane).
4. Conclusions
Two imidazole ruthenium catalysts were synthesized for the first time. The high activity of the synthesized ruthenium precatalysts, containing N-Mes or N-Bn imidazole ligands, makes them very good precatalysts for high-temperature RCM and CM reactions. Maintaining of the high catalytic activity of the ruthenium precatalysts under harsh conditions may be attributed to the strengthening of the Ru-N bond.
Supplementary Materials
The following supporting information can be downloaded at: https://www.mdpi.com/article/10.3390/catal13020276/s1, Figure S1–S34: 1H and 13C NMR spectra of 5a, 6a, 6b, 8, 10, 12, 14, 18, 20, 23–27.
Author Contributions
Conceptualization, methodology, and supervision, P.M., J.Z., and J.W.; experiment, P.M. and X.W.; spectroscopic characterization, P.M. and J.Z.; writing—original draft, P.M.; writing—review and editing, J.Z. and J.W. All authors have read and agreed to the published version of the manuscript.
Funding
We are grateful for the financial support of the National Natural Science Foundation of China (Nos. 22071177 and 21572155).
Data Availability Statement
Data are contained within the article or the Supplementary Materials.
Conflicts of Interest
The authors declare no conflict of interest.
References
- Hoveyda, A.H.; Zhugralin, A.R. The Remarkable Metal-catalysed Olefin Metathesis Reaction. Nature 2007, 450, 243–251. [Google Scholar] [CrossRef]
- Olefin Metathesis: Theory and Practice; Grela, K., Ed.; Wiley & Sons, Inc.: New York, NY, USA, 2014. [Google Scholar]
- Handbook of Metathesis; Grubbs, R.H., Wenzel, A.G., O’Leary, D.J., Khosravi, E., Eds.; Wiley-VCH: Weinheim, Germany, 2015. [Google Scholar]
- Higman, C.S.; Lummiss, J.A.M.; Fogg, D.E. Olefin Metathesis at the Dawn of Implementation in Pharmaceutical and SpecialtyChemicals Manufacturing. Angew. Chem. Int. Ed. 2016, 55, 3552–3565. [Google Scholar] [CrossRef]
- Turczel, G.; Kovács, E.; Merza, G.; Coish, P.; Anastas, P.T.; Tuba, R. Synthesis of Semiochemicals via Olefin Metathesis. ACS Sustain. Chem. Eng. 2019, 7, 33–48. [Google Scholar] [CrossRef]
- Ahmed, W.; Jayant, V.; Alvi, S.; Ahmed, N.; Ahmed, A.; Ali, R. Metathesis Reactions in Natural Product Fragments and Total Syntheses. Asian J. Org. Chem. 2022, 11, e202100753. [Google Scholar] [CrossRef]
- Huang, J.; Stevens, E.D.; Nolan, S.P.; Petersen, J.L. Olefin Metathesis-Active Ruthenium Complexes Bearing a Nucleophilic Carbene Ligand. J. Am. Chem. Soc. 1999, 121, 2674–2678. [Google Scholar] [CrossRef]
- Scholl, M.; Trnka, T.M.; Morgan, J.P.; Grubbs, R.H. Increased Ring Closing Metathesis Activity of Ruthenium-Based Olefin Metathesis Catalysts Coordinated with Imidazolin-2-ylidene Ligands. Tetrahedron Lett. 1999, 40, 2247–2250. [Google Scholar] [CrossRef]
- Ackermann, L.; Fürstner, A.; Weskamp, T.; Kohl, F.J.; Herrmann, W.A. Ruthenium Carbene Complexes with Imidazolin-2-ylidene Ligands Allow the Formation of Tetrasubstituted Cycloalkenes by RCM. Tetrahedron Lett. 1999, 40, 4787–4790. [Google Scholar] [CrossRef]
- Love, J.A.; Morgan, J.P.; Trnka, T.M.; Grubbs, R.H. A Practical and Highly Active Ruthenium-Based Catalyst that Effects the Cross Metathesis of Acrylonitrile. Angew. Chem. Int. Ed. 2002, 41, 4035–4037. [Google Scholar] [CrossRef]
- Garber, B.; Kingsbury, J.S.; Gray, B.L.; Hoveyda, A.H. Efficient and Recyclable Monomeric and Dendritic Ru-Based Metathesis Catalysts. J. Am. Chem. Soc. 2000, 122, 8168–8179. [Google Scholar] [CrossRef]
- Sanford, M.S.; Love, J.A.; Grubbs, R.H. A Versatile Precursor for the Synthesis of New Ruthenium Olefin Metathesis Catalysts. Organometallics 2001, 20, 5314–5318. [Google Scholar] [CrossRef]
- Żukowska, K.; Szadkowska, A.; Pazio, A.E.; Woźnia, K.; Grela, K. Thermal Switchability of N-Chelating Hoveyda-type Catalyst Containing a Secondary Amine Ligand. Organometallics 2012, 31, 462–469. [Google Scholar] [CrossRef]
- Diesendruck, C.E.; Tzur, E.; Ben-Asuly, A.; Goldberg, I.; Straub, B.F.; Lemcoffff, N.G. Predicting the Cis—Trans Dichloro Configuration of Group 15–16 Chelated Ruthenium Olefin Metathesis Complexes: A DFT and Experimental Study. Inorg. Chem. 2009, 48, 10819–10825. [Google Scholar] [CrossRef]
- Tzur, E.; Szadkowska, A.; Ben-Asuly, A.; Makal, A.; Goldberg, I.; Woźniak, K.; Grela, K.; Lemcoffff, N.G. Studies on Electronic Effects in O-, N- and S-Chelated Ruthenium Olefin-Metathesis Catalysts. Chem.-Eur. J. 2010, 16, 8726–8737. [Google Scholar] [CrossRef]
- Barbasiewicz, M.; Szadkowska, A.; Bujok, R.; Grela, K. Structure and Activity Peculiarities of Ruthenium Quinoline and Quinoxaline Complexes: Novel Metathesis Catalysts. Organometallics 2006, 25, 3599–3604. [Google Scholar] [CrossRef]
- Williams, M.J.; Kong, J.; Chung, C.K.; Brunskill, A.; Campeau, L.C.; McLaughlin, M. The Discovery of Quinoxaline-Based Metathesis Catalysts from Synthesis of Grazoprevir (MK-5172). Org. Lett. 2016, 18, 1952–1955. [Google Scholar] [CrossRef] [PubMed]
- Ung, T.; Hejl, A.; Grubbs, R.H.; Schrodi, Y. Latent Ruthenium Olefin Metathesis Catalysts That Contain an N-Heterocyclic Carbene Ligand. Organometallics 2004, 23, 5399–5401. [Google Scholar] [CrossRef]
- Slugovc, C.; Burtscher, D.; Stelzer, F.; Mereiter, K. Thermally Switchable Olefin Metathesis Initiators Bearing Chelating Carbenes: Influence of the Chelate’s Ring Size. Organometallics 2005, 24, 2255–2258. [Google Scholar] [CrossRef]
- Hejl, A.; Day, M.W.; Grubbs, R.H. Latent Olefin Metathesis Catalysts Featuring Chelating Alkylidenes. Organometallics 2006, 25, 6149–6154. [Google Scholar] [CrossRef]
- Jordaan, M.; Vosloo, H.C.M. Ruthenium Catalyst with a Chelating Pyridinyl-Alcoholato Ligand for Application in Linear Alkene Metathesis. Adv. Synth. Catal. 2007, 349, 184–192. [Google Scholar] [CrossRef]
- Szadkowska, A.; Gstrein, X.; Burtscher, D.; Jarzembska, K.; Wozniak, K.; Slugovc, C.; Grela, K. Latent Thermo-Switchable Olefin Metathesis Initiators Bearing a Pyridyl-Functionalized Chelating Carbene: Influence of the Leaving Group’s Rigidity on the Catalyst’s Performance. Organometallics 2010, 29, 117–124. [Google Scholar] [CrossRef]
- Pump, E.; Leitgeb, A.; KozÉ«owska, A.; Torvisco, A.; Falivene, L.; Cavallo, L.; Grela, K.; Slugovc, C. Variation of the Sterical Properties of the N-Heterocyclic Carbene Coligand in Thermally Triggerable Ruthenium-Based Olefin Metathesis Precatalysts/Initiators. Organometallics 2015, 34, 5383–5392. [Google Scholar] [CrossRef]
- Duan, Y.-L.; Wang, T.; Xie, Q.-X.; Yu, X.-B.; Guo, W.-J.; Wang, J.-H.; Liu, G.-Y. Highly Efficient Nitrogen Chelated Ruthenium Carbene Metathesis Catalysts. Dalton Trans. 2016, 45, 19441. [Google Scholar] [CrossRef]
- Wappel, J.; Fischer, R.C.; Cavallo, L.; Slugovc, C.; Poater, A. Poater Simple Activation by Acid of Latent Ru-NHC-Based Metathesis Initiators Bearing 8-Quinolinolate Co-Ligands. Beilstein J. Org. Chem. 2016, 12, 154–165. [Google Scholar] [CrossRef]
- Czarnocki, S.J.; Czeluśniak, I.; Olszewski, T.K.; Malinska, M.; Woźniak, K.; Grela, K. Rational and Then Serendipitous Formation of Aza Analogues of Hoveyda-Type Catalysts Containing a Chelating Ester Group Leading to a Polymerization Catalyst Family. ACS Catal. 2017, 7, 4115–4121. [Google Scholar] [CrossRef]
- Szwaczko, K.; Czeluśniak, I.; Grela, K. A partially serendipitous Discovery of Thermo-Switchable Ruthenium Olefin Metathesis Initiator That Seem to Be Well Suited for ROMP of Monomers Bearing Vinyl Pendant Groups. J. Organomet. Chem. 2017, 847, 146–153. [Google Scholar] [CrossRef]
- Tole, T.T.; Du Toit, J.I.; Sittert, C.V.; Jordaan, J.; Vosloo, H. Synthesis and Application of Novel Ruthenium Catalysts for High Temperature Alkene Metathesis. Catalysts 2017, 7, 22. [Google Scholar] [CrossRef]
- Higman, C.S.; Nascimento, D.L.; Ireland, B.J.; Audorsch, S.; Bailey, G.A.; McDonald, R.; Fogg, D.E. Chelate-Assisted Ring-Closing Metathesis: A Strategy for Accelerating Macrocyclization at Ambient Temperatures. J. Am. Chem. Soc. 2018, 140, 1604–1607. [Google Scholar] [CrossRef]
- Rogalski, S.; Żak, P.; Pawluć, P.; Kubicki, M. Carbamato-Benzylidene Ruthenium Chelates—Synthesis, Structure and Catalytic Activity in Olefin. J. Organomet. Chem. 2018, 859, 1–9. [Google Scholar] [CrossRef]
- Gawin, A.; Pump, E.; Slugovc, C.; Kajetanowicz, A.; Grela, K. Ruthenium Amide Complexes—Synthesis and Catalytic Activity in Olefin Metathesis and in Ring-Opening Polymerisation. Eur. J. Inorg. Chem. 2018, 16, 1766–1774. [Google Scholar] [CrossRef]
- Joo, W.; Chen, C.H.; Moerdyk, J.P.; Deschner, R.P.; Bielawski, C.W.; Willson, C.G. Photoinitiated Ring-Opening Metathesis Polymerization. J. Polym. Sci. Pol. Chem. 2019, 57, 1791–1795. [Google Scholar] [CrossRef]
- Smit, W.; Ekeli, J.B.; Occhipinti, G.; Woźniak, B.; Törnroos, K.W.; Jensen, V.R. Z-Selective Monothiolate Ruthenium Indenylidene Olefin Metathesis Catalysts. Organometallics 2020, 39, 397–407. [Google Scholar] [CrossRef]
- Yoon, J.S.; Cena, N.; Schrodi, Y. Robust Olefin Metathesis Catalyst Bearing a Tridentate Hemilabile NHC Ligand. Organometallics 2020, 39, 631–635. [Google Scholar] [CrossRef] [PubMed]
- Sivanesan, D.; Seo, B.; Lim, C.-S.; Kim, H.; Kim, H.-G. Intramolecular Hydrogen-Bond-Based Latent Initiator for Olefin Metathesis Polymerization. Organometallics 2021, 40, 314–323. [Google Scholar] [CrossRef]
- Kumandin, P.A.; Antonova, A.S.; Alekseeva, K.A.; Nikitina, E.V.; Novikov, R.A.; Vasilyev, K.A.; Sinelshchikova, A.A.; Grigoriev, M.S.; Polyanskii, K.B.; Zubkov, F.I. Influence of the N→Ru Coordinate Bond Length on the Activity of New Types of Hoveyda–Grubbs Olefin Metathesis Catalysts Containing a Six-Membered Chelate Ring Possessing a Ruthenium–Nitrogen Bond. Organometallics 2020, 39, 4599–4607. [Google Scholar] [CrossRef]
- Sherstobitova, I.A.; KiselevaAlex, S.A.; Lyapkova, A.; Yusubova, M.S.; Zhdankinab, V.V.; Yu, B.-Y.; Verpoort., F. Synthesis and characterization of a novel latent ring-opening metathesis polymerization catalyst. Tetrahedron Lett. 2021, 84, 153451. [Google Scholar] [CrossRef]
- Öztürk, B.Ö.; SEhitolu, S.K.; Meier, M.A.R. A latent and Controllable Ruthenium-Indenylidene Catalyst for Emulsion ROMP in Water. Eur. Polym. J. 2015, 62, 116–123. [Google Scholar] [CrossRef]
- Richaud, A.; Barba-Behrens, N.; Méndez, F. Chemical Reactivity of the Imidazole: A Semblance of Pyridine and Pyrrole? Org. Lett. 2011, 13, 972–975. [Google Scholar] [CrossRef] [PubMed]
- Butilkov, D.; Frenklah, A.; Rozenberg, I.; Kozuch, S.; Lemcoff, N.G. Highly Selective Olefin Metathesis with CAAC-Containing Ruthenium Benzylidenes. ACS Catal. 2017, 7, 7634–7637. [Google Scholar] [CrossRef]
- P’Pool, S.J.; Schanz, H. Reversible Inhibition/Activation of Olefin Metathesis: A Kinetic Investigation of ROMP and RCM Reactions with Grubbs’ Catalyst. J. Am. Chem. Soc. 2007, 129, 14200–14212. [Google Scholar]
- Dunbar, M.A.; Balof, S.L.; LaBeaud, L.J.; Yu, B.; Lowe, A.B.; Valente, E.J.; Schanz, H. Improved Molecular Weight Control in Ring-Opening Metathesis Polymerization (ROMP) Reactions with Ru-Based Olefin Metathesis Catalysts Using N Donors and Acid: A Kinetic and Mechanistic Investigation. Chem. Eur. J. 2009, 15, 12435–12446. [Google Scholar] [CrossRef]
- Öztürk, B.Ö.; Sariaslan, B.; Bayramgil, N.P.; SEhitolu, S.K. Highly Controllable Poly(N-vinylimidazole)-Supported Ruthenium Catalysts for Olefin Metathesis Reactions in Aqueous Media. Appl. Catal. A-Gen. 2014, 483, 19–24. [Google Scholar] [CrossRef]
- Sauvage, X.; Borguet, Y.; Noels, A.F.; Delaude, L.; Demonceau, A. Homobimetallic ruthenium-N-heterocyclic Carbene Complexes: Synthesis, Characterization, and Catalytic Applications. Adv. Synth. Catal. 2007, 349, 255–265. [Google Scholar] [CrossRef]
- Lo, C.; Cariou, R.; Fischmeister, C.; Dixneuf, P.H. Simple Ruthenium Precatalyst for the Synthesis of Stilbene Derivatives and Ring-Closing Metathesis in the Presence of Styrene Initiators. Adv. Synth. Catal. 2007, 349, 546–550. [Google Scholar] [CrossRef]
- Penn, K.R.; Anders, E.J.; Lindsay, V.N.G. Expedient Synthesis of Bis(imidazolium) Dichloride Salts and Bis(NHC) Complexes from Imidazoles Using DMSO as a Key Polar Additive. Organometallics 2021, 40, 3871–3875. [Google Scholar] [CrossRef]
Disclaimer/Publisher’s Note: The statements, opinions and data contained in all publications are solely those of the individual author(s) and contributor(s) and not of MDPI and/or the editor(s). MDPI and/or the editor(s) disclaim responsibility for any injury to people or property resulting from any ideas, methods, instructions or products referred to in the content. |
© 2023 by the authors. Licensee MDPI, Basel, Switzerland. This article is an open access article distributed under the terms and conditions of the Creative Commons Attribution (CC BY) license (https://creativecommons.org/licenses/by/4.0/).


















