Influence of the Synthesis Protocol on the Catalytic Performance of PHI-Type Zeolites for the Dehydration of Lactic Acid
Abstract
1. Introduction
2. Results
2.1. Catalytic Performance of the PHI Catalysts for the Gas-Phase Lactic Acid Dehydration
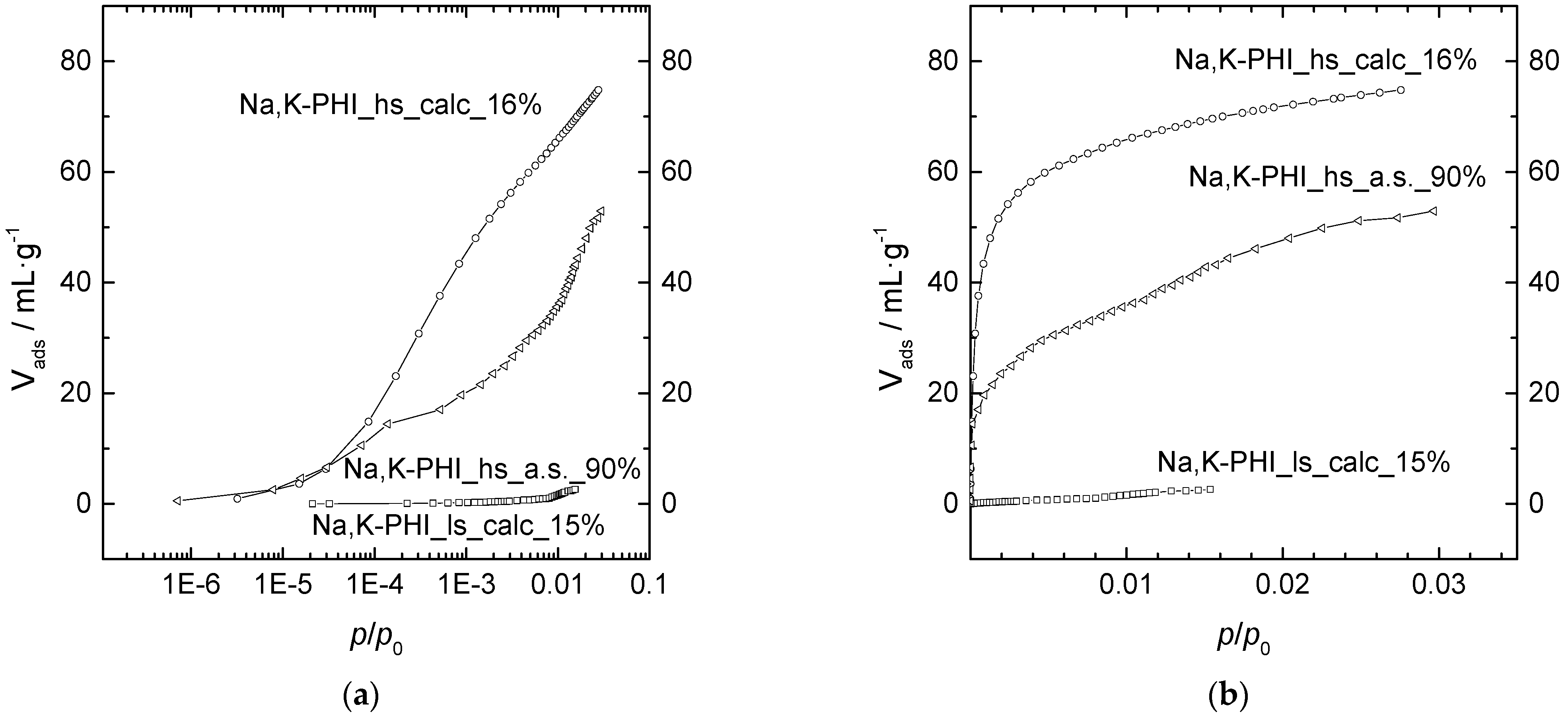
2.2. Characterization of the PHI Catalysts
3. Discussion
4. Materials and Methods
4.1. Synthesis of the Zeolites
4.2. Characterization of the Zeolites
4.3. Conversion of Lactic Acid
5. Conclusions
Supplementary Materials
Author Contributions
Funding
Data Availability Statement
Acknowledgments
Conflicts of Interest
References
- Peters, B.; Scott, S.L. Single atom catalysts on amorphous supports: A quenched disorder perspective. J. Chem. Phys. 2015, 142, 104708. [Google Scholar] [CrossRef] [PubMed]
- Palčić, A.; Catizzone, E. Application of nanosized zeolites in methanol conversion processes: A short review. Curr. Opin. Green Sustain. Chem. 2021, 27, 100393. [Google Scholar] [CrossRef]
- Hayat, K.; Li, X.-G.; Xiao, W.D. Theoretical Insights into Intracrystalline Diffusion of Olefins in MTO Catalysts. Catal. Lett. 2020, 150, 2056–2067. [Google Scholar] [CrossRef]
- Mintova, S.; Grand, J.; Valtchev, V. Nanosized zeolites: Quo vadis? Comptes Rendus Chim. 2016, 19, 183–191. [Google Scholar] [CrossRef]
- Dai, H.; Shen, Y.; Yang, T.; Lee, C.; Fu, D.; Agarwal, A.; Le, T.T.; Tsapatsis, M.; Palmer, J.C.; Weckhuysen, B.M.; et al. Finned zeolite catalysts. Nat. Mater. 2020, 19, 1074–1080. [Google Scholar] [CrossRef] [PubMed]
- Dai, H.; Lee, C.; Liu, W.; Yang, T.; Claret, J.; Zou, X.; Dauenhauer, P.J.; Li, X.; Rimer, J.D. Enhanced Selectivity and Stability of Finned Ferrierite Catalysts in Butene Isomerization. Angew. Chem. Int. Ed. 2022, 61, e202113077. [Google Scholar] [CrossRef]
- Lima, R.C.; Lopes, C.W.; Villarroel-Rocha, J.; Bieseki, L.; Sapag, K.; Pergher, S.B.C. Organic-Free Synthesis of Finned Mordenite Zeolite. Nanomaterials 2022, 12, 2623. [Google Scholar] [CrossRef]
- Goldsmith, B.R.; Peters, B.; Johnson, J.K.; Gates, B.C.; Scott, S.L. Beyond Ordered Materials: Understanding Catalytic Sites on Amorphous Solids. ACS Catal. 2017, 7, 7543. [Google Scholar] [CrossRef]
- Jacobs, P.A.; Derouane, E.G.; Weitkamp, J. Evidence for X-ray-amorphous zeolites. J. Chem. Soc. Chem. Commun. 1981, 194, 591–593. [Google Scholar] [CrossRef]
- Nicolaides, C.P. A novel family of solid acid catalysts: Substantially amorphous or partially crystalline zeolitic materials. Appl. Catal. A 1999, 185, 211–217. [Google Scholar] [CrossRef]
- Triantafyllidis, K.S.; Nalbandian, L.; Trikalitis, P.N.; Ladavos, A.K.; Mavromoustakos, T.; Nicolaides, C.P. Structural, compositional and acidic characteristics of nanosized amorphous or partially crystalline ZSM-5 zeolite-based materials. Microporous Mesoporous Mater. 2004, 75, 89–100. [Google Scholar] [CrossRef]
- Näfe, G.; López-Martínez, M.-A.; Dyballa, M.; Hunger, M.; Traa, Y.; Hirth, T.; Klemm, E. Deactivation behavior of alkali-metal zeolites in the dehydration of lactic acid to acrylic acid. J. Catal. 2015, 329, 413–424. [Google Scholar] [CrossRef]
- Bonnotte, T.; Paul, S.; Araque, M.; Wojcieszak, R.; Dumeignil, F.; Katryniok, B. Dehydration of Lactic Acid: The State of The Art. ChemBioEng Rev. 2018, 5, 34–56. [Google Scholar] [CrossRef]
- Wadley, D.C.; Tam, M.S.; Kokitkar, P.B.; Jackson, J.E.; Miller, D.J. Lactic Acid Conversion to 2,3-Pentanedione and Acrylic Acid over Silica-Supported Sodium Nitrate: Reaction Optimization and Identification of Sodium Lactate as the Active Catalyst. J. Catal. 1997, 165, 162–171. [Google Scholar] [CrossRef]
- Structure Commission of the International Zeolite Association, Database of Zeolite Structures. Available online: https://europe.iza-structure.org/IZA-SC/framework.php?STC=PHI (accessed on 7 October 2022).
- Bayat, M.; Nabavi, M.S.; Mohammadi, T. An experimental study for finding the best condition for PHI zeolite synthesis using Taguchi method for gas separation. Chem. Pap. 2018, 72, 1139. [Google Scholar] [CrossRef]
- Kiyozumi, Y.; Nemoto, Y.; Nishide, T.; Nagase, T.; Hasegawa, Y.; Mizukami, F. Synthesis of acid-resistant Phillipsite (PHI) membrane and its pervaporation performance. Microporous Mesoporous Mater. 2008, 116, 485–490. [Google Scholar] [CrossRef]
- Gunter, G.C.; Miller, D.; Jackson, J.E. Formation of 2,3-Pentanedione from Lactic Acid over Supported Phosphate Catalysts. J. Catal. 1994, 148, 252–260. [Google Scholar] [CrossRef]
- Weitkamp, J. Critical Evaluation of Catalytic Testing of Zeolites. Stud. Surf. Sci. Catal. 1988, 37, 515–534. [Google Scholar] [CrossRef]
- Dimitrijevica, R.; Lutz, W.; Ritzmann, A. Hydrothermal stability of zeolites: Determination of extra-framework species of H-Y faujasite-type steamed zeolite. J. Phys. Chem. Solids 2006, 67, 1741–1748. [Google Scholar] [CrossRef]
- Xu, M.; Liu, X.; Madon, R.J. Pathways for Y Zeolite Destruction: The Role of Sodium and Vanadium. J. Catal. 2002, 207, 237–246. [Google Scholar] [CrossRef]
- Cruciani, G. Zeolites upon heating: Factors governing their thermal stability and structural changes. J. Phys. Chem. Solids 2006, 67, 1973–1994. [Google Scholar] [CrossRef]
- Thommes, M.; Cychosz, K.A.; Neimark, A.V. Chapter 4—Advanced Physical Adsorption Characterization of Nanoporous Carbons. In Novel Carbon Adsorbents; Elsevier: Amsterdam, The Netherlands, 2012; pp. 107–145. [Google Scholar] [CrossRef]
- Cychosz, K.A.; Guillet-Nicolas, R.; Garcıá-Martínez, J.; Thommes, M. Recent advances in the textural characterization of hierarchically structured nanoporous materials. Chem. Soc. Rev. 2017, 46, 389–414. [Google Scholar] [CrossRef] [PubMed]
- Sing, K.S.W.; Everett, D.H.; Haul, R.A.W.; Mouscou, L.; Pierotti, R.A.; Rouquerol, J.; Siemieniewska, T. Reporting physisorption data for gas/solid systems with special reference to the determination of surface area and porosity. Pure Appl. Chem. 1985, 57, 603–619. [Google Scholar] [CrossRef]
- Foster, M.D.; Rivin, I.; Treacy, M.M.J.; Friedrichs, O.D. A geometric solution to the largest-free-sphere problem in zeolite frameworks. Microporous Mesoporous Mater. 2006, 90, 32–38. [Google Scholar] [CrossRef]
- Occelli, M.L.; Kalwei, M.; Wolker, A.; Eckert, H.; Auroux, A.; Gould, S.A.C. The Use of Nuclear Magnetic Resonance, Microcalorimetry, and Atomic Force Microscopy to Study the Aging and Regeneration of Fluid Cracking Catalysts. J. Catal. 2000, 196, 134–148. [Google Scholar] [CrossRef]
- Gugeler, K. (University of Stuttgart, Stuttgart, Germany). Personal communication. 2021.
- Yan, B.; Tao, L.-Z.; Liang, Y.; Xu, B.-Q. Sustainable Production of Acrylic Acid: Alkali-Ion Exchanged Beta Zeolite for Gas-Phase Dehydration of Lactic Acid. ChemSusChem 2014, 7, 1568–1578. [Google Scholar] [CrossRef] [PubMed]
- Zhang, J.; Zhao, Y.; Pan, M.; Feng, X.; Ji, W.; Au, C.-T. Efficient Acrylic Acid Production through Bio Lactic Acid Dehydration over NaY Zeolite Modified by Alkali Phosphates. ACS Catal. 2011, 1, 32–41. [Google Scholar] [CrossRef]
- Shang, J.; Li, G.; Singh, R.; Gu, Q.; Nairn, K.M.; Bastow, T.J.; Medhekar, N.; Doherty, C.M.; Hill, A.J.; Liu, J.Z.; et al. Discriminative Separation of Gases by a “Molecular Trapdoor” Mechanism in Chabazite Zeolites. J. Am. Chem. Soc. 2012, 134, 19246–19253. [Google Scholar] [CrossRef]
- Wang, X.; Yan, N.; Xie, M.; Liu, P.; Bai, P.; Su, H.; Wang, B.; Wang, Y.; Li, L.; Cheng, T.; et al. The inorganic cation-tailored “trapdoor” effect of silicoaluminophosphate zeolite for highly selective CO2 separation. Chem. Sci. 2021, 12, 8803–8810. [Google Scholar] [CrossRef]
- Chen, H.; Song, C.; Yang, W. Effects of aging on the synthesis and performance of silicalite membranes on silica tubes without seeding. Microporous Mesoporous Mater. 2007, 102, 249–257. [Google Scholar] [CrossRef]
- Cook, J.D.; Thomson, R.W. Modeling the effect of gel aging. Zeolites 1988, 8, 322–326. [Google Scholar] [CrossRef]
- Kianfar, E. Nanozeolites: Synthesized, properties, applications. J. Sol-Gel Sci. Technol. 2019, 91, 415–429. [Google Scholar] [CrossRef]
- Altwasser, S. Engporige Zeolithe: Synthese, Charakterisierung und Katalytische Eigenschaften. Ph.D. Thesis, University of Stuttgart, Stuttgart, Germany, 2006; pp. 44–45. [Google Scholar] [CrossRef]
- Vu, D.T.; Kolah, A.K.; Asthana, N.S.; Peereboom, L.; Lira, C.T.; Miller, D.J. Oligomer distribution in concentrated lactic acid solutions. Fluid Phase Equilib. 2005, 236, 125–135. [Google Scholar] [CrossRef]
- Näfe, G.; Traa, Y.; Hirth, T.; Klemm, E. True Catalytic Behavior of Lactic Acid Dehydration on Zeolite Na-Y in the Gas Phase Measured by Means of a Novel Apparatus Design. Catal. Lett. 2014, 144, 1144–1150. [Google Scholar] [CrossRef]
- Komesu, A.; Martinez, P.F.M.; Betânia Hoss Lunelli, B.H.; Oliveira, J.; Maciel, M.R.W.; Filho, R.M. Study of Lactic Acid Thermal Behavior Using Thermoanalytical Techniques. J. Chem. 2017, 2017, 1–7. [Google Scholar] [CrossRef]
- Nagengast, J.; Hahn, S.; Taccardi, N.; Kehrer, M.; Kadar, J.; Collias, D.; Dziezok, P.; Wasserscheid, P.; Albert, J. Highly Selective Synthesis of Acrylic Acid from Lactide in the Liquid Phase. ChemSusChem 2018, 11, 2936–2943. [Google Scholar] [CrossRef] [PubMed]
- Ohara, T.; Sato, T.; Shimizu, N.; Prescher, G.; Schwind, H.; Weiberg, O.; Marten, K.; Greim, H.; Shaffer, T.D.; Nandi, P. Acrylic Acid and Derivatives. In Ullmann’s Encyclopedia of Industrial Chemistry, 7th ed.; Wiley-VCH Verlag GmbH & Co. KGaA: Weinheim, Germany, 2020. [Google Scholar] [CrossRef]
- Bannwarth, C.; Ehlert, S.; Grimme, S. GFN2-xTB—An Accurate and Broadly Parametrized Self-Consistent Tight-Binding Quantum Chemical Method with Multipole Electrostatics and Density-Dependent Dispersion Contributions. J. Chem. Theory Comput. 2019, 15, 1652–1671. [Google Scholar] [CrossRef]
- A Development of University of Karlsruhe and Forschungszentrum Karlsruhe GmbH, 1989–2007; Turbomole V7.4.1 2019; TURBOMOLE GmbH: Karlsruhe, Germany, 2007.
- Sherwood, P.; de Vries, A.H.; Guest, M.F.; Schreckenbach, G.; Catlow, C.R.A.; French, S.A.; Sokol, A.A.; Bromley, S.T.; Thiel, W.; Turner, A.J.; et al. QUASI: A general purpose implementation of the QM/MM approach and its application to problems in catalysis. J. Mol. Struct. THEOCHEM 2003, 632, 1–28. [Google Scholar] [CrossRef]
- Metz, S.; Kästner, J.; Sokol, A.A.; Keal, T.W.; Sherwood, P. ChemShell—A modular software package for QM/MM simulations. WIREs Comput. Mol. Sci. 2014, 4, 101–110. [Google Scholar] [CrossRef]
- Kästner, J.; Carr, J.M.; Keal, T.W.; Thiel, W.; Wander, A.; Sherwood, P. DL-FIND: An Open-Source Geometry Optimizer for Atomistic Simulations. J. Phys. Chem. A 2009, 113, 11856–11865. [Google Scholar] [CrossRef]
- Pracht, P.; Bohle, F.; Grimme, S. Automated exploration of the low-energy chemical space with fast quantum chemical methods. Phys. Chem. Chem. Phys. 2020, 22, 7169–7192. [Google Scholar] [CrossRef] [PubMed]
- Humphrey, W.; Dalke, A.; Schulten, K. VMD—Visual Molecular Dynamics. J. Mol. Graph. 1996, 14, 33–38. [Google Scholar] [CrossRef] [PubMed]
- Rieg, C.; Dittmann, D.; Li, Z.; Lawitzki, R.; Gugeler, K.; Maier, S.; Schmitz, G.; Kästner, J.; Estes, D.P.; Dyballa, M. Quantitative Distinction between Noble Metals Located in Mesopores from Those on the External Surface. Chem. Eur. J. 2021, 27, 17012–17023. [Google Scholar] [CrossRef] [PubMed]
- Rieg, C.; Kirchhof, M.; Gugeler, K.; Beurer, A.-K.; Stein, L.; Dirnberger, K.; Frey, W.; Bruckner, J.R.; Traa, Y.; Kästner, J.; et al. Determination of Accessibility and Spatial Distribution of Chiral Rh Diene Complexes Immobilized on SBA-15 via Phosphine-based Solid-State NMR Probe Molecules. Catal. Sci. Technol. 2023, 13, 410–425. [Google Scholar] [CrossRef]





| Na,K-PHI_ ls_calc_15% | Na,K-PHI_ ls_calc_steamed_14% | Na,K-PHI_ hs_a.s._90% | Na,K-PHI_ hs_calc_16% | |
|---|---|---|---|---|
| 43 (±0.5) | 47 (±3.6) | 36 (±2.2) | 37 (±2.9) | |
| 10 (±2.1) | 9 (±0.7) | 32 (±4.8) | 14 (±1.5) | |
| 36 (±1.6) | 34 (±1.8) | 5 (±0.2) | 11 (±0.9) | |
| 14 (±2.1) | 14 (±0.8) | 0 (±0.0) | 2 (±0.2) | 
| Na,K-PHI_ ls_calc_15% | Na,K-PHI_ ls_calc_steamed_14% | Na,K-PHI_ hs_a.s._90% | Na,K-PHI_ hs_calc_16% | |
|---|---|---|---|---|
| nSi/nAl | 2.3 | 2.4 | 2.4 | 2.2 | 
| nNa/nAl | 0.57 | 0.52 | 0.51 | 0.58 | 
| nK/nAl | 0.47 | 0.44 | 0.47 | 0.47 | 
| Relative crystallinity/% | 15 | 14 | 90 | 16 | 
| Crystal size/μm | 0.17–0.37 | n.a. | 0.17–0.32 | 0.15–0.47 | 
| Particle size/μm | 4.84–6.75 | n.a. | 1.67–2.46 | 0.84–1.63 | 
| Na,K-PHI_ ls_calc_15% | Na,K-PHI_ hs_a.s._90% | Na,K-PHI_ hs_calc_16% | |
|---|---|---|---|
| S(BET)/m2⋅g-1 | 72 | 384 | 446 | 
| V(DR μ-pore)/cm3⋅g-1 | 0.006 | 0.091 | 0.164 | 
| 1st Batch Na,K-PHI_ls_... | 2nd Batch Na,K-PHI_hs_... | |
|---|---|---|
| KOH | 8.8 g | 7.5 g | 
| Addition order of solutions | [(3) + (1)] + (2) | [(1) + (3)] + (2) | 
| Aging | 1 day | no | 
| Time of hydrothermal synthesis | 12 days | 10 days | 
| NaAlO2 | completely dissolved only on a water bath (probably containing Al2O3) | completely dissolved at room temperature | 
| Disclaimer/Publisher’s Note: The statements, opinions and data contained in all publications are solely those of the individual author(s) and contributor(s) and not of MDPI and/or the editor(s). MDPI and/or the editor(s) disclaim responsibility for any injury to people or property resulting from any ideas, methods, instructions or products referred to in the content. | 
© 2023 by the authors. Licensee MDPI, Basel, Switzerland. This article is an open access article distributed under the terms and conditions of the Creative Commons Attribution (CC BY) license (https://creativecommons.org/licenses/by/4.0/).
Share and Cite
Häussermann, D.; Schömig, R.; Gehring, B.; Traa, Y. Influence of the Synthesis Protocol on the Catalytic Performance of PHI-Type Zeolites for the Dehydration of Lactic Acid. Catalysts 2023, 13, 261. https://doi.org/10.3390/catal13020261
Häussermann D, Schömig R, Gehring B, Traa Y. Influence of the Synthesis Protocol on the Catalytic Performance of PHI-Type Zeolites for the Dehydration of Lactic Acid. Catalysts. 2023; 13(2):261. https://doi.org/10.3390/catal13020261
Chicago/Turabian StyleHäussermann, Dorothea, Richard Schömig, Barbara Gehring, and Yvonne Traa. 2023. "Influence of the Synthesis Protocol on the Catalytic Performance of PHI-Type Zeolites for the Dehydration of Lactic Acid" Catalysts 13, no. 2: 261. https://doi.org/10.3390/catal13020261
APA StyleHäussermann, D., Schömig, R., Gehring, B., & Traa, Y. (2023). Influence of the Synthesis Protocol on the Catalytic Performance of PHI-Type Zeolites for the Dehydration of Lactic Acid. Catalysts, 13(2), 261. https://doi.org/10.3390/catal13020261
 
        


 
       