Abstract
Carbon dioxide is ideal for carboxylation reactions as a renewable and sustainable C1 feedstock and has significant recognition owing to its low cost, non-toxicity, and high abundance. To depreciate the environmental concentration of CO2, which causes the greenhouse gas effect, developing new catalytic protocols for organic synthesis in CO2 utilization is of great importance. This review focuses on carboxylation reactions using CO2 as a C1 feedstock to synthesize value-added functionalized carboxylic acids and their corresponding derivatives via catalytically generated allyl metal intermediates, photoredox catalysis, and electrocatalysis with a focus on recent developments and opportunities in catalyst design for carboxylation reactions. In this article, we describe recent developments in the carboxylation of C–H bonds, alkenes, and alkynes using CO2 as the C1 source for various reactions under different conditions, as well as the potential direction for the further development of CO2 utilization in organic synthesis.
1. Introduction
The rapidly increasing greenhouse gas concentrations in the environment, resulting in the current climate crisis, are a cause of huge concern. Over the past few decades, carbon dioxide emissions have drastically expanded due to an increase in the usage of fossil fuels and deforestation, with a world annual average environmental concentration of 418.37 ppm in 2023 [1]. Figure 1 shows that, from 1959 to 2022, the level of CO2 concentration increased severely, with a 0.5% growth rate annually [2]. Controlling the amount of CO2 in the atmosphere is a global challenge that needs to be resolved with the utmost priority. There has been increasing pressure on manufacturing industries to produce efficient methods for reducing CO2 emissions [3]. Since it is an abundant, non-toxic, non-combustible, renewable supply of carbon that is highly functional and an eco-friendly chemical reagent, carbon dioxide is a very attractive C1 building block in organic synthesis.
Figure 1.
Concentration of CO2 from the years 1959 to 2022 in parts per million.
In a continuation of our group’s interest in decarbonization, CO2 utilization, and environmental catalysis [4,5,6,7,8,9,10,11,12,13,14,15,16,17,18,19,20], we have attempted herein to review the recent progress made in carboxylation reactions for the synthesis of a variety of functionalized carboxylic acids and their derivatives. For the use of CO2 as a C1 feedstock in organic synthesis, it is very essential to capture CO2 in the C–C formation and produce value-added functional groups, such as carboxylic acids, lactams, carbonates, and lactones [21]. It is particularly challenging to employ due to its thermodynamic stability and kinetic inertness. Therefore, employing CO2 as a substrate faces numerous issues, such as high-pressure or high-temperature reaction conditions. Despite the substantial progress that has been made, there are still a lot of restrictions in this area regarding the scope of the substrate, the reaction system, and the activation techniques [22]. A variety of CO2 chemical transformations have been well developed in recent years [23]. Since the carboxylic acids are present in a wide variety of chemicals, such as agrochemicals, pharmaceuticals, biopharmaceuticals, cosmetics, and various polymers (Figure 2), it is particularly appealing to synthesize carboxylic acids with CO2 by forming C–C bonds [24,25]. Due to the importance of carboxylic acids and the benefits of promoting catalytic CO2 to produce carboxylic acid and its derivatives, much effort has been put into the synthesis of this motif using various reaction methods.
Figure 2.
Carboxylic acids in pharmaceutical products.
Previously, strong nucleophilic reagents such as Grignard reagents were used for carboxylation (Scheme 1), in which CO2 acted as an electrophile. However, the main drawback with Grignard reagents is that they are air-sensitive and readily react with protic solvents and acidic functional groups, such as alcohol and amines [26]. Nevertheless, there are other well-known traditional synthetic pathways based on the hydrolysis of nitriles via acids, the oxidation of primary alcohol, and the carbonylation of organic halides with dangerous and poisonous carbon monoxide that can be used to synthesize carboxylic acid. The most appealing and simple way is the catalytic CO2 fixation process, which inserts CO2 as an electrophile into a metal–carbon bond to form a stable C–C bond under mild reaction conditions and exceptional chemo-site selectivity [27,28]. Diverse transition-metal-catalyzed carboxylation processes have been reported and well reviewed over the past ten years, as they enhance functional group compatibility with carboxylation reactions using CO2 as the C1 feedstock [29,30,31,32,33,34,35,36].
Scheme 1.
Carboxylation with a Grignard reagent.
Despite this, the purpose of this review is to concentrate on the transition-metal-catalyzed carboxylation reaction with CO2 based on the type of bonds in which CO2 fixation takes place, ranging from the use of stoichiometric metallic reductants such as Mn, Pd, Cu, Zn, etc. and highly polarized C–metal bonds to less polarized C–(pseudo) halide bonds, unsaturated hydrocarbons, and C–H bonds (Scheme 2) [37]. However, some stochiometric metallic reductants (Mn, Zn) are poisonous, and their reaction requires a harsh environment, which causes pollution by emitting CO2 [38]. To overcome these issues, it is essential to discover a new route that is environmentally benign to produce carboxylic acid and its derivatives. Recently, the synthesis of carboxylic acid with direct CO2 carboxylation, without the use of a stoichiometry organometallic reagent, and under mild reaction conditions has been developed [35]. CO2 is a fundamental unit of natural photosynthesis that converts CO2 and water to carbohydrates and oxygen with enzyme ribulose 1,5-bisphosphate carboxylase (Rubisco) as a catalyst under visible-light irradiation [39]. In the early 1990s, synthetic chemists initiated research on carboxylation with CO2 fixation under visible or UV lights [40]. This review also focuses on CO2 fixation using photo carboxylation reactions with different catalysts and reactive intermediates with organic halides, C–H bonds, alkenes, and alkynes to achieve C–C bond formation [41]. In organic chemistry, the genesis and inception of electrochemistry give it distinctive supremacy over traditional methods like transition-metal catalysis and photo-redox carboxylation. Since electrochemical carboxylation is carried out under benign conditions and uses a pure electron as the redox agent, it eliminates the use of hazardous and toxic reductants; hence, it is a fundamentally environmentally friendly protocol (Figure 3) [36]. With electrons functioning as clean reductants, electrochemistry has recently made substantial strides that have drawn attention and offered a long-term solution for chemical synthesis [42,43,44]. One of the most effective, green, and sustainable methods for producing essential carboxylic acids and their derivatives is electrochemical carboxylation with CO2 as a C1 feedstock [45]. Recently, various reactions in organic electrochemical carboxylation have been developed, which we discuss in this review article. This review describes recent progress and opportunities in transition-metal catalysis reactions, photoredox carboxylation, and electrochemical carboxylation reactions.
Scheme 2.
Transition-metal-catalyst carboxylation reactions. Reprinted (adapted) with permission from [37].
Figure 3.
Electrochemical carboxylation reactions. Reprinted (adapted) from [36].
2. Transition-Metal-Catalyzed Carboxylation
2.1. Carboxylation of C–X Bonds (Halogens and Oxygen)
2.1.1. Pd-, Ni-, and Cu-Catalyzed Carboxylation of C-Halogens with CO2
The metal-catalyzed carboxylation of carbon nucleophiles with CO2 has developed into a potent substitute for the conventional synthetic methods for these compounds in recent years. The discovery that organometallic reagents can often be derived from organic halides through conventional metalation techniques has compelled chemists to explore the direct carboxylation of organic pseudohalides with CO2 [46]. Martin and his co-workers evolved the process for the reductive carboxylation of organic (pseudo) halides using CO2, and it still plays a significant role in this field [47,48]. From both theoretical and practical perspectives, the ideal method for producing carboxylic acids and their derivatives would involve catalytically inserting direct CO2 into aryl halides.
Unlike prior studies’ authors, Correa and Martin achieved high yields in the carboxylation of aryl bromides to corresponding aryl carboxylic acids using dimethyl acetamide and 1 M hexane as solvents, 5 mol.% of Pd(OAc2) (Palladium(II) acetate), and the bulkier phosphide ligand tBu-Xphos (biphenyl monophosphine ligand) under 10 atm pressure of CO2 and 100 °C, relatively mild reaction conditions. The authors also highlighted that there was no need for the synthesis of organometallic intermediates, and they also avoided the use of toxic CO for the preparation of benzoic acids. As a reductant, highly reactive pyrophoric diethylzinc (Et2Zn) was used, and via an oxidative addition reaction, zinc carboxylates were produced as an intermediate product; with an acidic build-up, carboxylic acid was generated (Scheme 3), while a Pd (0) catalyst was generated via reductive elimination [49]. The need for high pressures, a pyrophoric reducing agent (Et2Zn), and the restriction to aryl bromide analogs was a significant constraint that needed to be surmounted even though this process served as a starting point for the reductive catalytic carboxylation of organic halides with CO2.
Scheme 3.
Plausible reaction mechanism of aryl halide using Pd. Reprinted (adapted) with permission from [49].
To overcome the above issues, Osakada and his team conducted CO2 insertion using nickel as a catalyst in the halo arene in 1994 [50]. They carboxylated bromoarene into benzoic acid, in which the monoaryl nickel complex Ni(Br)Ph(bpy) reacted with CO2 in a DMF solvent without any reductant, yielding a mixture of 55% benzoic acid and 21% biphenyl, which was simultaneously generated via acidosis [50]. Fuzihara and his coworkers discovered a much more efficient catalytic reaction using a less noble nickel catalyst in 2012 under a CO2 pressure of 1 atm and at room temperature. The nickel catalyst is very effective in the carboxylation of aryl chlorides, as well as vinyl chlorides, in the presence of Mn powder as the reductant, which is easy to handle [48]. In their experiment, air-stable Mn powder was combined with Et4NI (tetraethyl ammonium iodide) as a reducing agent, which was an essential component to obtain a high yield. The reaction was performed using a 5 mol.% NiCl2(PPh3) complex (Dichlorobis(triphenylphosphine)nickel(II)) under room temperature (25 °C) with 1 atm pressure for CO2 and 10 mol.% of PPh3 (triphenylphosphine), which provides a high yield of 4 butyl benzoic acid (95%) (Scheme 4). Similarly, in 2019, a novel Ni-catalytic carboxylation reaction was discovered in which the potential of using the Ni-catalyzed reductive carboxylation of N-hydroxy phthalimido (NHP) esters with 13CO2 or 14CO2 to synthesize isotopically labeled aliphatic and aromatic carboxylic acids was independently discovered by the Tortajada group, potentially accelerating the drug discovery process [51]. In 2021, Cerveri’s team independently disclosed an enantioselective nickel-catalyzed tandem heck-coupling/carboxylation synthetic sequence with CO2 that enables easy access to 2,3-dihydrobenzofuran-3-ylacetic acids and analogous compounds under benign conditions [52].
Scheme 4.
Ni-catalyzed carboxylation reaction of vinyl chloride. Reprinted (adapted) with permission from [48].
By analyzing the reaction mechanism, it can be seen that Ni(II) plays a vital role, and to keep the state of nickel (0, I, II) stable, the phosphate ligand plays a fundamental role. In each catalytic cycle, Ni(I) is present. The reaction commences with the reduction of Ni(II)to Ni(0) with Mn as the reducing agent (A). Aryl chloride enters the oxidative addition reaction to produce a Ni(I) intermediate (B). The most crucial step crops up when Ni(II) reduces to a Ni(I) intermediate with Mn as a reductant (C), which then reacts with CO2 and generates the carboxylatonickel complex (D). Finally, the reduction of these complexes via Mn from Ni(I) to Ni(0) produces carboxylates (Scheme 5).
Scheme 5.
Plausible reaction mechanism using Ni. Reprinted (adapted) with permission from [53].
By offering more flexibility and ease of implementation, catalytic-reductive reactions contribute value from a standpoint of simplicity, dependability, and step economics. Reductive carboxylation techniques, on the other hand, are by their very nature constrained to substrates that swiftly undergo oxidative addition. According to Liu and his team, to overcome this issue, unactivated alkyl electrophiles with beta hydrogens should ideally be applied in this field [53]. In 2014, these authors reported a novel catalytic method for producing valuable carboxylic acids via the carboxylation of inactive primary alkyl bromides and sulfonates that contain beta hydrogens with CO2. This approach eliminates the use of air- or moisture-sensitive components and is distinguished by its excellent functional group compatibility, its mild conditions, the ready accessibility of its beginning materials, and its simplicity of execution [53].
In 2013, the Cu-catalyzed reductive carboxylation of aryl iodide was reported by Vu and his group using a copper iodide (CuI)/TMEDA (n, n, n, n-tetramethylethylinediamine) or DMEDA (1,2 dimethyl ethylenediamine) catalyst combined with diethylzinc ligand as a reductant [54]. Carboxylation took place with a low amount of copper iodide/TMEDA (3 mol.%) or DMEDA catalyst under 1 atm of CO2, using DMSO (Dimethyl sulfoxide) as a solvent or DMA (Dimethyl acetamide) for electron-poor aryl iodide and a temperature range of 25–70 °C (Scheme 6). The reaction mechanism was very similar to the Ni-catalyzed carboxylation reaction.
Scheme 6.
Plausible reaction mechanism of aryl iodide using a Cu catalyst. Reprinted (adapted) with permission from [54].
In 2019, Yan and their team produced numerous valuable fluoro-acrylic acids and di-fluoro carboxylates, which feature in numerous pharmaceuticals but are otherwise challenging to obtain; they were synthesized successfully through the Cu-catalyzed highly selective conventional ipso-carboxylation of C–F bonds in fluorinated alkenes with CO2 using di boron as a source, LiOtBu as a base, and xantophos as a perfect ligand in a dimethylformamide (DMF) solvent under 80 °C and 1 atm of CO2 [55].
2.1.2. Carboxylation of C–O Bonds with CO2 Catalyzed via Ni(II)
According to Martin et al., in 2013, C(sp2)- and C(sp3)-O bonds were carboxylated using a Ni (II) catalyst with CO2 under mild conditions [53]. Even though the reaction conditions and mechanism were the same as for the C-halides carboxylation reaction, this technique holds tremendous potential for using ester derivatives as potent substitutes for organic halides due to the absence of air- or moisture-sensitive reagents and high selectivity. This approach is applicable to both aryl and benzyl C–O linkages; however, it requires prior activation of the C–O bonds as aryl or benzyl esters [53].
2.2. Carboxylation of Organometallic Compounds Employing Carbon Dioxide (CO2)
In organic synthesis, the direct carboxylation and production of carboxylic acids and their derivatives using organometallic compounds with CO2 have been extensively studied [56]. The direct use of CO2 as a green and sustainable feedstock and the avoidance of harsh reaction conditions are two main benefits of this protocol. However, this synthesis necessitates a substantial quantity of costly and weak organometallic reagents [56,57]. Due to the difficulty in the synthesis of related organometallic reagents, the use of this reaction method is still underdeveloped.
2.2.1. Nickel- and Palladium-Catalyzed Carboxylation of R-M (M = Sn, Zn) Reagents with CO2
Direct CO2 insertion using Grignard and organolithium reagents is not suitable for delicate functional groups, such as ketones, aldehydes, nitrile, some alcohols, and amines, as it is extremely reactive with these groups [58]. In the last two decades, alternative techniques have been developed that can fix CO2 directly into metal–carbon bonds catalytically with accurate chemo-selectivity, avoiding harsh reaction conditions. In 1997, Shi and coworkers made a groundbreaking discovery by introducing CO2 into metal–carbon bonds, resulting in the production of carboxylic acids [59]. This was the first instance of a transition-metal-catalyzed process involving less polarized metals. CO2 fixation into allyl stanannes takes place under 33 atm pressure and a 70 °C temperature using palladium as a catalyst with a phosphine ligand (8 mol.% of Pd(PPh3)4 or Pd(PBu3)4). Johansson and his coworkers made progress in 2006 by utilizing a pincer-palladium system (PCP) to achieve high selectivity in producing terminal alkene products [60]. This method allows for rapid CO2 fixation, resulting in the synthesis of alkenyl carboxylate. As part of the process, allyl stanannes were used to trans-metallize palladium. Afterward, CO2 was inserted into the Pd–C bond, resulting in the formation of carboxylates [61,62].
Another essential element for the carboxylation process, which is facilitated via transition metals, is organozinc. Recent studies have indicated that nickel and palladium can serve as catalysts for coupling reactions between organozinc compounds and CO2 at room temperature [63], in which lithium chloride plays a vital role in achieving a high yield (70%); without it, only a 5% yield is achieved (Scheme 7). Phosphine ligands (P(C–C6H11)3) were also essential for the reaction to give a desirable yield of carboxylic acid, in which electron-rich tricyclohexylphosphine increased the electron density of the oxygen by donating electrons, which enabled trans-metalation to occur. Further progress was achieved using diphenyl zinc, which provided a yield of 90% carboxylic acid [63]. At the same time, a method for carboxylating organozinc compounds in THF at 0 °C using palladium and nickel catalysts was developed by Yeung and Dong, in which the Aresta’s complex (Ni(η2-CO2)(PCy3)2) played a significant role [64]. In this process, Pd(OAc)2 was demonstrated to be an effective catalytic precursor to carbon dioxide activation. Aresta’s complex is used as a catalyst for the cross-coupling of organozinc reagents with CO2 under mild conditions. Palladium catalysts are superior to nickel catalysts when using aryl–zinc bromide, resulting in higher yields. During this study, the authors discovered that both aromatic and alkyl organozinc reagents can be employed with nickel catalysts, which achieved a good yield of carboxylic acids [64]. All these reactions share a consistent mechanism, which includes the initial introduction of nickel (0) to CO2 through oxidation addition, followed by transmetalation with the organozinc reagent, and ultimately leading to reductive elimination, resulting in the formation of the corresponding zinc carboxylate.
Scheme 7.
Plausible reaction mechanism. Reprinted (adapted) with permission from [63].
2.2.2. Copper (Cu)-, Palladium (Pd)-, and Rhodium (Rh)-Catalyzed Carboxylation of R B Reagents with CO2
The most popular catalyst for the deborylative carboxylation of organic boron compounds with CO2 is copper. The metal–carbon bond found in organocopper reagents is highly unusual and exhibits mild polarity. These reagents are capable of undergoing CO2 insertion under moderate conditions while being able to tolerate a wide range of functional groups [57]. Copper catalysts are highly encouraging for C–C bond formation via CO2 transformation, as copper catalysts can catalyze various C–H and C–halogen activation reactions, which involve Cu–C bond intermediates [65,66,67,68,69]. Iwasawa’s and Hou’s groups were able to carboxylate organoboronic esters using Cu and Rh through transition-metal catalysis using CO2 under ambient conditions. The use of nucleophilic organoboronic ester reagents has brought renewed attention to carboxylation reactions for their convenience and widespread application. In 2006, Iwasawa first reported on the use of a rhodium complex to catalyze organoboronic esters [70]. To achieve a high yield (75%) of benzoic acid in this reaction, it is essential to use a cesium fluoride (CsF) base and 1,3-bis(diphenylphosphino)propane (dppp) ligand. In the absence of them, only 12% benzoic acid will be produced. Following this significant finding, Iwasawa and Hou both separately developed a copper (I)-catalyzed carboxylation method for aryl boronic esters under mild conditions. This breakthrough discovery was a significant achievement and remarkable advancement in the field. Copper catalyst systems are superior to rhodium systems. Copper catalysts are cost-effective and readily available, and they exhibit a broader substrate scope, allowing for the synthesis of a diverse range of functionalized carboxylic acids. Iwasawa’s method, employing 5 mol.% of CuI, a 6 mol.% of bis-oxazoline ligand, excess CsF, and a DMF solvent, achieved remarkable carboxylate product yields from boronic esters. On the other hand, Hou’s group employed a copper(I) catalyst supported with an N-heterocyclic carbene ligand with 2 equiv. of strong base (t-BuOK) [71]. Despite the use of different additives, both reaction systems operated on the same mechanism (Scheme 8).
Scheme 8.
Plausible reaction mechanism for the carboxylation of organoboronic esters catalyzed via N-heterocyclic carbene copper(I) complexes. Reprinted with permission from [71].
When copper chloride reacts with t-BuOK, it produces a catalyst called t-BuOCu in a strong base system, which acts as an actual catalyst. After that, the organocopper complexes can be efficiently generated by undergoing a transmetalation process, followed by the insertion of CO2 into the Cu–C bond to produce copper carboxylates. The carboxylate salt is subsequently released by the base, which regenerates the catalyst. CsF played an essential role in this reaction mechanism by generating aryl fluoroborates [71]. Ohmiya’s team conducted a study in 2010 on the copper-catalyzed carboxylation of alkyl boranes with CO2, which encompassed a comparable reaction [72].
2.3. Utilizing CO2 to Carboxylate C–H Bonds
2.3.1. Carboxylation sp1 C–H Bonds with CO2
Cu-Catalyzed Carboxylation of sp1 C–H Bonds
In 1962, Allan Hay created a very successful technique for the oxidative homocoupling of terminal alkynes with Cu as a catalyst through C–H activation [73], in which copper chloride was the most suitable salt for the reaction with tertiary amines. Following that, Fukue and his group reported the catalytic carboxylation of terminal alkynes; they observed the insertion of CO2 in copper acetylide intermediates via a Cu complex [74]. To synthesize acidic ester, Fukue and Inoue used a mixture of terminal alkyne, 10 mol.% of bromo hexane, and 30 mol.% of K2CO3 at 100 °C for 4 h in the presence of copper iodide. Yu and their coworkers developed a method to achieve high yields of carboxylic acid under mild conditions using copper-NHC catalysis with CO2 and C-H activation as a solution to the harsh reaction conditions of Inoue and their research groups [75]. They reported that the CuCl-TMEDA (tetramethylethylenediamine) system is essential to achieving a good yield (93%). In 2014, the carboxylation of terminal alkynes with CO2 was examined by Yang and his team with the use of copper (1)-NHC complexes [76]. Through DFT calculations, they were able to determine the potential mechanism involved, as well as the role of NHC in the process [77]. In 2015, Trivedi and his group reported that a good yield of propiolic acids was obtained using a ferrocene-based bis-phosphene ligand and copper iodide as an effective catalyst for the carboxylation of terminal alkynes via C–H activation with CO2 under mild conditions, which was confirmed via single-crystal X-ray diffraction [78]. Bondarenko and their coworkers achieved the direct carboxylation of various terminal alkynes with CO2 by employing copper particles supported on readily accessible Al2O3 catalysts in the presence of calcium carbonate in 2017 [79]. In 2018, Gooßen and collaborators reported the salt-free carboxylation of terminal alkynes with CO2 using copper as a catalyst [80]. By activating the C–H bond with a copper(I) catalyst during this reaction, CO2 was introduced into alkynes using TMP (tetramethylpiperidine) as the base (Scheme 9).
Scheme 9.
Salt-free copper-catalyzed carboxylation of terminal alkynes with CO2. Reprinted (adapted) with permission from [80].
Ag-Catalyzed Carboxylation of sp1 C–H Bonds with CO2
In 2011, Lu and their coworkers reported the ligand-free direct carboxylation of terminal alkynes with CO2 [77]. They used silver iodide at a stochiometric amount. In this reaction, silver propiolate acts as a nucleophile, and silver phenyl acetylide and silver phenylpropiolate were prepared and directly used as catalysts, which finally converted phenylacetylene to phenylpropanoid acid with a good yield. These authors found that silver propiolate was generated as an intermediate during the reaction, which then reacted with terminal alkynes and CS2CO3, which produced cesium propiolate. Upon acidification, the final product was synthesized as propiolic acid [81]. In 2012, a similar catalytic system to that described by Lu and their coworkers was reported by Gooßen and his group in which they used a very low quantity (500 ppm) of silver under mild conditions [82]. In 2014, Hong’s group discovered that carbon dioxide (CO2) produced through combustion can be utilized in organic syntheses with the same efficacy as hyper-pure CO2 gas [83]. The direct carboxylation of terminal alkynes is efficiently catalyzed via silver iodide, as it effectively combines the capture of ethanolamine with the utilization of CO2 [81]. In 2016, Li and Sun synthesized novel silver N-heterocyclic carbene complexes (NHC) using CO2 via the carboxylation of terminal alkynes. Through the utilization of various substrates, including alkyl alkynes and aryl alkynes with low electron densities, this system achieved a remarkable yield of propiolic acids. Additionally, the catalyst is highly reusable and can be employed multiple times without sacrificing its effectiveness (Scheme 10).
Scheme 10.
Mechanism for the carboxylation of terminal alkynes with CO2 using NHC. Reprinted (adapted) with permission from [84].
2.3.2. Carboxylation of sp2 C–H Bonds with CO2
Cu- and Au-Catalyzed Carboxylation of sp2 C-H Bonds with CO2
In 2010, Nolan et al. reported a high yield via the regioselective carboxylation of oxazole and multi-substituted fluorobenzene, and it was successfully catalyzed using the copper complex 1,3-bis(2,6-diisopropylphenyl) imidazol-2-ylidene [Cu (IPr)OH] [85,86]. Extensive studies have been performed using copper complexes with varied ligands to facilitate the carboxylation of benzoxazoles. The [(IPr)CuCl] compound has proven to be a potent catalyst for the carboxylation of heterocycle with KOtBu [87]. According to these authors’ research, copper complexes with nitrogen-based ligands are not very effective unless the C–H bonds are acidic and able to activate them. This is why they do not work well with benzothiazole and benzofuran, which have less acidic C–H bonds. In 2012, Fukuzawa and Hou’s group discovered the use of 1,2,3-Triazol-5-ylidene copper(I) complexes (tzNHC-Cu) as a catalyst to carboxylate heteroaromatic groups like benzoxazole and benzothiazole via direct C–H carboxylation with CO2 [88]. This reaction was initiated by adding t-BuOK and 5 mol.% of tzNHC-Cu to a THF solvent under 1 atm CO2 pressure and 80 °C, in which, after 1 h, THF was removed via a vacuum and subsequently DMF was added, which achieved a good yield of benzoxylate carboxylic acid. The direct carboxylation of the C–H bond was successfully achieved by Nolan and his team using a [(IPr)AuOH] catalyst in 2010 [89]. The catalyst proved to be highly effective for the carboxylation of both the carbo- and heterocycle with a highly acidic regioselective C–H bond under mild conditions.
Carboxylation of sp2 C–H Bonds with CO2 Catalyzed by Pd and Rh
In a recent study, Iwasawa et al. reported the direct carboxylation of alkenyl C–H bonds with CO2 using Pd (II) as a catalyst [90]. According to their report, when 2-hydroxy styrene and 5% Pd (OAc)2 were treated with CS2CO3 and CO2 at 1-atmosphere pressure and 100 °C, the desired coumarins were produced with a high yield. In this study, coumarins were synthesized with high yields from a variety of substrates with either electron-donating or electron-withdrawing groups on the phenyl ring at the position of 2-hydroxystyrene. During the study, these authors found that this reaction produces the alkenyl palladium intermediate, which can be exploited for reversible nucleophilic carboxylation, and they used the single-crystal X-ray diffraction method to analyze it. The intermediate subsequently undergoes a reaction with another molecule of 2-hydroxystyrene 1 and a base, resulting in the formation of coumarin and the regeneration of the cyclometalated intermediate via the lactonization process. It is highly appealing and challenging in organic synthesis to catalyze nucleophilic carboxylation reactions via single-bond H-bond activation using carbon dioxide as the carbon source. As aryl rhodium(I) species are anticipated to have sufficient nucleophilicity for carboxylation and rhodium(I) complexes as well-known catalysts for C–H activation, Rh(I) was chosen as the catalyst for the carboxylation of aryl C–H bonds with CO2. The direct carboxylation of an inactive aryl C–H bond was achieved via Rh-catalyzed chelation-assisted C–H activation under atmospheric carbon dioxide pressure for the first time [91]. The carboxylation of aryl-substituted pyridine and pyrazoles was carried out in the DMA (N, N-dimethylacetamide) solvent at 70 °C in a CO2 atmosphere using 5 moles of [Rh(cyclooctene)Cl]2 and 12 moles of trimesitylphosphine (P(mes)3). By producing an essential intermediate methyl rhodium (I) species, AlMe2(OMe) was employed as a reducing agent, which was crucial during the catalytic cycle. The proposed reaction mechanism is shown in Scheme 11. The initial step involves the formation of aryl rhodium(I) from methyl rhodium(I), which is generated through the reaction between rhodium(I) chloride and a methyl aluminum reagent. This formation occurs through a chelation-assisted C–H bond activation, which is essentially an oxidative addition reaction. Following this, the elimination of methane takes place via a reductive elimination process. This step is succeeded by the generation of rhodium carboxylates, achieved through the nucleophilic carboxylation of aryl rhodium(I). The final stage of the process involves the transmetalation of the carboxylates with methyl aluminum reagents. This transmetalation also leads to the production of aluminum carboxylates and the release of methyl rhodium(I) species.
Scheme 11.
Proposed Rh-catalyzed carboxylation reaction mechanism. Reprinted (adapted) with permission from [91].
2.3.3. Carboxylation of sp3 C–H Bonds with CO2
Kikuchi et al. developed the silver-catalyzed carboxylation of several ketones containing alkyne derivatives with CO2 via C–C bond formation [92]. This reaction utilized mild reaction conditions with 10 atm pressure of CO2 and catalytic silver benzoate in the presence of 7-methyl-1,5,7-triazabicyclo [4.4.0] dec-5-ene (MTBD) to synthesize lactone derivatives with good to high yields. The plausible reaction mechanism proposed by Kikuchi et al. is shown in Scheme 12. With this reaction system, it was possible to obtain the corresponding λ-lactone from aliphatic ketone derivatives at 50 °C under 2.0 MPa CO2 pressure. A lactone is synthesized in this reaction via the formation of a new C–C bond between sp3 carbon and CO2, which is stabilized via alkyne. The same group synthesized dihydroisobenzofuran derivatives with the reaction of o-alkynyl acetophenone derivatives and carbon dioxide via C–C bond formation using a silver catalyst [93]. Using a silver catalyst, the same group also synthesized dihydroisobenzofuran derivatives by combining o-alkynyl acetophenone derivatives with carbon dioxide.
Scheme 12.
Proposed silver-catalyzed reaction of propargylic alcohol with CO2. Reprinted (adapted) with permission from [92].
2.4. Carboxylation of Ethylene with CO2 to Acrylates
It has been an unsolved problem and the most attractive reaction in catalysis research for more than thirty years to catalyze the synthesis of acrylates from the cheap and abundant building block of C1 carbon dioxide and alkenes. The synthesis of acrylic acids via the carboxylation of CO2 and alkene was first achieved by Hoberg and Minato [94]. Limbach et al. reported the CO2 coupling reaction with ethylene to acrylates by means of cyclometalation, followed by the elimination of beta-hydride [95]. The proposed catalytic cycle for the formation of Na acrylate from ethylene and CO2 is shown in Scheme 13. A crucial step in the nickel-mediated acrylate synthesis from CO2 and ethylene was the formation of nickelalatones. The reaction was meticulously demonstrated in three distinct stages: (1) the formation of nickelalactone at room temperature using a Ni(dtbpe) (dtbpe = di-tert-butylphosphino ethane) ligand that reacts with C2H4 and CO2 with pressure of 2 bar and 6 bar subsequently in THF; (2) the utilization of potent base alkoxides in PhCl to effectively break the nickelalactone ring, which is challenging task, resulting in the formation of π -complexes featuring 2-coordinated acrylate; (3) the exchanging of ligands with ethylene resulting in the release of Ni(dtbpe)(CH2CH2) and an acrylate product under room temperature. A catalytic turnover of more than 10 was attained once the catalytic cycle was put together. A simple aqueous extraction was used to separate the Na acrylate formed during the reaction. Extensive studies have been conducted by Hoffman et al. on the carboxylation of ethylene to acrylates using CO2 mediated with nickel [96]. The main challenge encountered is the breakdown of the nickelalactone structure. They developed a new approach to producing lactones. However, all the existing methods for synthesizing acrylic acid complexes require too much activation energy and cannot function at normal temperatures.
Scheme 13.
Proposed catalytic cycle for the formation of Na acrylate from ethylene and CO2. Reprinted (adapted) with permission from [95].
3. Photo-Catalytic Carboxylation
Using photon energy as an activation mode, photoredox catalysis can access highly reactive radical species under benign reaction conditions, extending the range of activation modes beyond thermal transition-metal catalysis [97].
3.1. Carboxylation of C–Halogen Bonds
The carboxylation method catalyzed via transition-metal complexes typically needs organometallic reductants in stoichiometric quantities and harsh reaction conditions to achieve the desired yield of carboxylic acid and its derivatives. A groundbreaking discovery in the carboxylation reaction using visible light was made by Iwasawa’s team in 2017 [98]. They achieved success in using aryl bromides and chlorides in conjunction with 1 atm of CO2. This was accomplished by employing Pd(OAc)2 as the catalyst, Ir(ppy)(dtbbpy)(PF6) as the photoredox catalyst, and iPr2NEt as the stoichiometric reductant. This innovative approach eliminated the need for organo-metallic reductants. It is possible to achieve carboxylation with the use of suitable electron-rich ligands, such as PhXphos or tBuXphos, which has been scientifically proven to produce highly favorable results with a variety of functionalized aryl bromides and chlorides. The proposed catalytic cycle initiates with the reduction of the light-excited Ir(ppy)2(dtbbpy)PF6 via iPr2NEt, resulting in the formation of an amine radical cation and a reduced IrII species. The PdII complex undergoes two successive single-electron reductions via IrII, leading to the generation of active Pd0 species. To form the carboxylate complex, Pd0 intermediates may undergo oxidative addition with aryl halides, and CO2 addition can occur either before or after the reduction of PdII with one electron. The product is then formed, and the Pd0 species is regenerated by further reducing the PdI carboxylate species (Scheme 14).
Scheme 14.
Proposed mechanism of visible-light-driven palladium-catalyzed carboxylation of aryl halides. Reprinted (adapted) with permission from [98].
König and his group developed an innovative and cost-effective method for carboxylating bromides and triflates with CO2 using visible-light catalysis [99]. The process employs NiBr2glyme as the catalyst, along with an organic photosensitizer and Hantzsch ester (HEH) as the reducing agent. This approach is both mild and efficient, making it an excellent choice for a wide range of applications. Unlike Iwasawa’s study, they used Ni as a transition-metal catalyst, K2CO3 as a CO2 source, and N,N-dimethylformamide (DMF) as a solvent.
3.2. Carboxylation of C(sp3)–H–Bonds
Carboxylation, which involves transforming sp3-hybridized C–H bonds with CO2, can be a challenging process. Despite that, in comparison to carboxylating C–halogen bonds, carboxylating C–H bonds directly through C–H bond activation is a more efficient and environmentally friendly approach [86]. The first study on the direct carboxylation of benzylic sp3 C–H bonds was published by Murakami and coworkers utilizing o-Alkyl phenyl ketones directing groups that can be activated via UV light [100]. According to the proposed mechanism, through photoenolization, endergonic isomerization occurs under photoirradiation to generate the highly energetic o-quinodimethanes. The intermediate, which is highly energetic, goes through a [4+2] cycloaddition reaction with CO2 under a light to form a six-membered cycloadduct. This is then followed by a ring-opening process that ultimately produces the desired acid product (Scheme 15).
Scheme 15.
Proposed mechanism of visible-light-driven palladium-catalyzed carboxylation of aryl halides. Reprinted (adapted) with permission from [100].
The same group also developed the photo-catalytic carboxylation process that involves an allylic C–H bond of basic alkenes [101]. The process is catalyzed by a ketone and a copper complex and was performed under a high temperature (110 °C) and UV irradiation in 2016. In this method, to achieve the unique carboxylation reaction, ketones are photo-reacted with alkenes in an endergonic manner, forming homoallyl alcohol intermediates in the process. Then, the alcohol is first deprotonated via copper to butoxide. Afterwards, the desired product is obtained through beta-carbon cleavage. The fundamental process comprises two phases: (1) the formation of highly energetic intermediates in an endergonic photoreaction, and thereafter, (2) the formation of CO2 through the carboxylation reaction is made possible via the copper-catalyzed allyl transfer process that necessitates the cleavage of a C–C bond from homoallylic alcohols.
3.3. Carboxylation of Alkenes
3.3.1. Hydrocarboxylation of Alkene
The Rovis group successfully reported the first hydrocarboxylation of aryl alkenes using nickel as a catalyst and ZnEt2 as an additive [102]. This discovery was inspired by previous works from Hoberg and colleagues, which demonstrated the production of five-member nickelacycles using Ni0, alkenes, and CO2. Using a Rh complex as a carboxylation catalyst and [Ru(bpy)3]2+ (bpy = 2,2′- bipyridyl) as a photoredox catalyst, Iwasawa and colleagues reported the first visible-light-driven catalytic hydrocarboxylation of alkenes with CO2 in 2017 [103]. According to their study, the critical intermediate LRhH species might be formed under photoredox conditions utilizing the reductant iPr2NEt as an electron donor. It is important to note that the carboxylation reaction was observed to rely on the presence of the photoredox catalyst [Ru(bpy)3]2+ and visible light, but tertiary amine was found to be superfluous. Based on the findings of the luminescence quenching study, it was suggested that a process of triplet–triplet energy transfer is involved in carboxylation. Despite lower conversion yields as substrates became less electron-deficient, the conversion yields were generally moderate. König and their co-workers created dual nickel-catalyzed ligand-controlled regioselective hydrocarboxylation of aryl alkenes using CO2 via the synergistic union of a photo-redox catalyst and a carboxylation catalyst under benign conditions [104]. Styrenes can be hydro-carboxylated selectively with Markovnikov and anti-Markovnikov ligands, and a wide range of functional groups are tolerated. In the selective Markovnikov hydrocarboxylation reaction, LNiBr2 was utilized as a ligand, while bis(diphenylphosphino)methane (dppm) was used for the anti-Markovnikov hydrocarboxylation reaction. Additionally, Hantzsch ester (HEH), K2CO3, 4CzIPN, and DMF (solvent) were used during the process (Scheme 16). Under the optimal anti-Markovnikov conditions, styrenes with electron-withdrawing substituents, such as nitrile or ester, afforded low yields.
Scheme 16.
Styrene derivatives for Markovnikov and anti-Markovnikov hydrocarboxylation with CO2 [104].
A direct β-selective hydrocarboxylation of styrenes was demonstrated by Jamison and their coworkers in continuous flow reactors using 1,2,2,6,6-pentamethylpiperidine (PMP) as the tertiary amine reductant and p-terphenyl (20 mol.%, absorption λmax = 283 nm) as the photoredox catalyst under atmospheric CO2 pressure [105]. CO2 was reduced to radical anion under UV light via the reducing agent and catalyst. It is important to highlight that this chemical reaction is capable of handling both α-substituted and β-substituted styrenes, resulting in the highly selective production of β-carboxylated products with a moderate to good yield.
3.3.2. Difunctionalisation of Alkenes
The process of defunctionalizing alkenes using CO2 is not as widely studied as the well-established method of hydrocarboxylating alkenes. Unactivated alkenes can be remotely difunctionalized, which is a difficult yet extremely appealing method for installing two functional groups over a long distance. Martin and his colleagues were the first to successfully defunctionalize alkenes with CO2 using visible-light photoredox catalysis [106]. In their experiments, they discussed the dicarbofunctionalization of styrene with CO2 under atmospheric pressure and carbon-centered radicals in an intermolecular, redox-neutral approach, and generating radicals can be achieved using uncomplicated radical precursors such as the Langlois reagent (CF3SO2Na), sulfonates, trifluoro-borates, and oxalates, without the need for stoichiometric reductants. According to the mechanism, 1,1-diphenyl-3,3,3-trifluoropropane can be reduced via the photocatalyst Ir(ppy)2(dtbbpy)PF6 to produce the carbon anion, which can subsequently directly react with CO2. In 2017, Yu and his colleagues reported a method for the thiocarboxylation of styrene and acrylates using CO2, FeCl3, and KOtBu, which is driven by visible light and promoted by catalytic iron salts to achieve highly essential β-thioacids in high yields [107]. According to their study, under mild reaction conditions, this multicomponent reaction progresses in an atom- and redox-economic way with a wide substrate scope and high regio-, chemo- and diastereo-selectivity.
3.4. Carboxylation of Alkynes
In 2018, Wu, Zhao, and their coworkers successfully utilized iridium/cobalt dual catalysis to achieve the first-ever hydrocarboxylation as well as the carbocarboxylation of alkynes using CO2, driven via visible light [108]. They were able to successfully produce hydrocarboxylation products from both aryls-substituted internal alkynes and aliphatic-substituted internal alkynes using the best conditions. It is worth noting that an aryl bromide group, which is typically not suitable for metal reductants, can be used in the light-promoted protocol without any issues. The reaction provides the best results with the combination of Ir(ppy)2(dtbbpy)PF6, CoBr2, dcype(bis(dicyclohexylphosphino)ethane), and ZnBr2 as the additives in the presence of iPr2Net under atmospheric conditions with 1 atm pressure of CO2. As a result of the introduction of an ancillary substitute on the aryl ring, the coumarins, 2-quinolones, and 2-benzoxepinones were able to be directly synthesized through an alkyne hydrocarboxylation, in which the Ir photocatalyst served both the dual purpose of facilitating electron transfers during alkyne hydrocarboxylation and energy transfers during subsequent alkene isomerization (Scheme 17). According to the hypothesized mechanism, the main intermediate is the cobalt cycle, which consists of five members and is created from CO2, alkynes, and Co(I) species that result from reducing Co(II). During the protonolysis process, cationic amine radicals break the C–Co(III) bond, resulting in the creation of hydrocarboxylation products. When dealing with terminal alkynes, the process of migratory insertion involves the entrance of another alkyne molecule into the five-membered cobalt cycle, resulting in the production of 2-pyrones. A carbo-carboxylation reaction results from the intramolecular addition of a C–Co (III) bond generated in situ to the substituent ester of an ortho-ester substituted aryl alkyne used as a substrate.
Scheme 17.
Visible-light-driven, co-catalyzed, one-pot aryl alkyne hydrocarboxylation/alkene isomerization. Reprinted (adapted) with permission from [108].
4. Electrochemical Carboxylation
The recent years have seen a surge in the popularity of organic electrochemical synthesis. Electrons, acting as redox reagents, are utilized to selectively produce oxidation or reduction. Electrochemistry provides distinct benefits compared to transition-metal catalysis and photochemistry. It offers mild reaction conditions, employs pure electrons as redox agents, and is environmentally friendly [109,110,111]. Organic electrochemical synthesis is a remarkable approach that harnesses electrons to facilitate reactions, leading to selective oxidation or reduction, all without the need for toxic and harmful stoichiometric redox agents. This process substantially enhances the atomic economy, which is particularly noteworthy.
4.1. Electrocarboxylation of Alkenes with CO2
For a considerable time, researchers have explored the electrochemical dicarboxylation of styrene with CO2 at both the α and β positions. However, due to the intricate nature of the involved reaction pathways, achieving site-selective hydrocarboxylation with high regioselectivity has posed a significant challenge, especially in the context of β-hydrocarboxylation. In 2019, Nam’s research group made a noteworthy discovery. They found that water could serve as a clean proton source for synthesizing substituted carboxylic acids from styrene. This method allowed for the differentiation between hydrocarboxylic acid and dicarboxylic acid products [112]. They conducted this process in an undivided cell with a constant current using Bu4NBF4 as the electrolyte, Mg as the anode, and Ni as the cathode in a DMF solvent. By analyzing the reaction mechanism, the uncertainty of the reduction of CO2 or styrene at the Ni cathode was revealed, but the reaction conditions of the process would eventually lead to the formation of the β-carboxylate radical intermediate (Scheme 18). Before dimerization, it might be rapidly reduced to a benzyl carbanion due to the benzyl radical’s higher reduction potential. Ultimately, in the presence of a proton source, hydrocarboxylation occurred selectively, whereas the dicarboxylation reaction continued in the absence of a proton source.
Scheme 18.
Hydrocarboxylation or dicarboxylation of styrene with CO2. Reprinted (adapted) with permission from [112].
Recently, an exceptionally regioselective electrochemical hydrocarboxylation of β, β-trisubstituted alkenes with CO2 was reported by Buckley and their collaborators [113]. This reaction was conducted under conditions of a non-sacrificial anode and constant voltage, utilizing carbon as the electrode, Et4NI as the electrolyte, and triethanolamine as the reducing agent. Intriguingly, when the substrate was a substituted alkene, the outcome was a carboxylic acid product containing exclusively carbon quaternary centers, resulting from the selective monocarboxylation reaction. In 2020, the same group achieved the α, δ-hydrocarboxylation of conjugated dienes with high selectivity using CO2 under a constant voltage by modifying specific reaction conditions [114]. By substituting copper for stainless steel as the cathode and employing carbon as the anode, along with triethanolamine as the external reductant in an undivided cell, they improved selectivity and generated α, δ-hydrocarboxylation products with favorable selectivity. According to their report, maintaining a stable proton source (both TEOA and water) is crucial for achieving this selectivity.
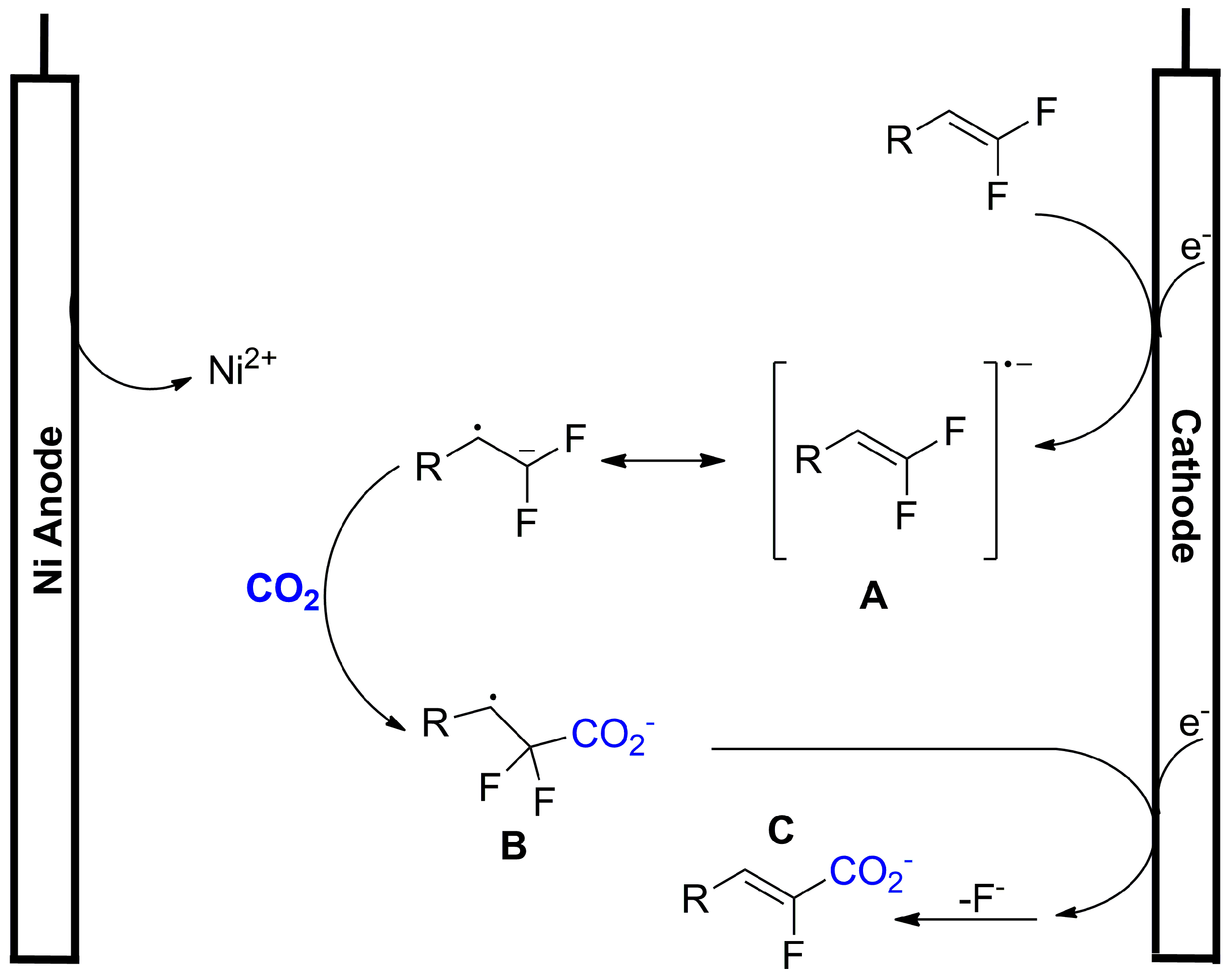
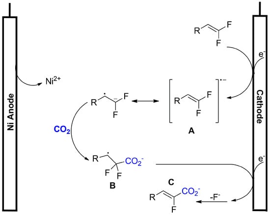
In 2020, Zhou and their coworkers reported an unprecedented direct electrochemical γ-carboxylation of α-CF3 alkenes with CO2 to synthesize vinyl acetic acids [115]. The reaction was carried out successfully in a DMF solvent without the requirement of a sacrificial anode using nBu4NClO4 as the electrolyte and Pt as the electrodes in an undivided cell at a constant current of 8 mA (Scheme 19). The proposed mechanism involves the rapid generation of tertiary alkyl radicals when a radical anion, formed through one-electron cathodic reduction, readily captures CO2 at the γ-position. Subsequently, this radical undergoes electron reduction and defluorination, resulting in the formation of a carboxylate anion. For sacrificial reducing agents, either DMF or water can be employed.
Scheme 19.
Electrochemical defluorinative γ-carboxylation of α-CF3 alkenes. Reprinted (adapted) with permission from [115].
Alkenes readily react with alkyl radicals generated from alkyl halides via one-electron reduction. Utilizing electrochemistry and a radical polar crossover mechanism, Lin’s group achieved the regioselective electroreductive carbofunctionalization of alkenes with alkyl bromides [116]. CO2 may also be employed as an electrophilic reactant to produce carboxylic acid. Using Mg as the anode, graphite as the cathode, and TBAPF6 as the electrolyte, the reaction was successfully carried out in DMF at a constant current of 10 mA in an undivided cell. Alkyl radicals were generated via the cathodic reduction of alkyl bromides, and they then reacted with alkenes before being catholically reduced to a carbanion. The result, carboxylic acid, could be produced when the carbanion was trapped via CO2.
In 2019, Wang and Zhong’s group reported a conventional photoelectrochemical carboxylation reaction involving trans-stilbene and CO2 [117]. Tafel analysis is a crucial tool for determining the steps that influence the reaction rate and for illuminating the reaction mechanism. In their study, they used aluminum (Al) as the counter electrode and Ag/AgBr as the reference electrode in a three-electrode configuration electrochemical cell. P-type silicon nanowires (SiNWs) were used to create the working electrode. A potential reaction pathway and thorough kinetic process were established using cyclic voltammetry and Tafel analysis on several electrodes, and the rate-determining step in the reaction was the one-electron reduction of the substrate to radical anions.
In 2020, the same group introduced a three-electrode configuration for their study. They utilized SiNWs as the working electrode, Ag/AgBr as the reference electrode, and aluminum as the counter electrode to conduct a one-step photoelectrochemical carboxylation of α, β-unsaturated ketones with CO2. This was achieved under environmentally friendly conditions through a PEC (photoelectrochemical catalysis) system [118]. The SiNWs electrode established photoenergy participation in the reaction to lower electrical energy consumption, which boosted catalytic efficacy. In the mechanism, photoelectrons were generated on the electrode surface via the excitation of SiNWs with light irradiation. After acquiring an electron, the substrate was reduced at the cathode to produce a radical anion. The obtained intermediate was then reduced with an electron to produce a carboxylate anion by capturing CO2. It was finally coupled with Al and emerged from the anode.
In 2019, Zheng and their group developed a single-atomic copper catalyst featuring nitrogen coupling. This catalyst was used as the cathode in the electrocarboxylation of styrene with CO2, resulting in the production of phenyl succinic acids [119]. The Cu/N-C sites, coordinated with nitrogen on the carbon framework, underwent successful electrocarboxylation with CO2 due to nitrogen-coordinated copper sites. The presence of the Cu site reduced the excess potential of CO2, promoting the effective activation of CO2 in the reaction process. This activation, in turn, facilitated the attack on styrene, ultimately leading to the formation of phenyl succinic acid.
The summary of the various electrocatalysts, reaction conditions, and electrocarboxylated products is shown in Table 1.
Table 1.
Review of catalysts for the electrocarboxylation of alkenes with CO2.
4.2. Electrocarboxylation of Organic (Pseudo)halides with CO2
4.2.1. Electrocarboxylation of Organic Halides
Direct Carboxylation
One of the key electrochemical reactions to create carboxylic acids is the direct carboxylation of organic halides with CO2 [120,121]. Guirado and their coworkers found that ionic liquids have been found to act as catalysts, as well as environmentally friendly solvents, which could replace typical electrochemical solvents [122]. Ibuprofen was produced via electrocarboxylating 1-chloro-(4-isobutylphenyl) ethane with carbon dioxide, in which the use of ionic liquid reduced the substrate’s reduction potential by 1.0 V, with the Ag cathode being more prominent in this process. Under identical circumstances, the same group also successfully electrocarboxylated 4-iodobenzonitrile with CO2 to produce 4-cyanobenzoic acid [123]. Using an Ag electrode and an ionic liquid, the reduction potential of the substrate in this system was reduced by more than 0.4 V. They also discussed the electrochemical reduction of 4-halobenzonitriles via mono- or dicarboxylation in CO2, utilizing carbon graphite rods or silver foils as the cathode (Scheme 20) [124].
Scheme 20.
Electrochemical monocarboxylation or dicarboxylation reduction of 4-halobenzonitriles with CO2. Reprinted (adapted) with permission from [124].
In 2019, Mellah and their coworkers conducted an electrocarboxylation process involving aryl halides, employing divalent samarium-mediated CO2 activation [125]. Their experimental setup comprised samarium as the sacrificial anode, stainless steel as the cathode, TBABF4 as the electrolyte, and DMF as the solvent in an undivided cell. The electrogenerated SmII-complex, acting as a potent monoelectronic reductive reagent, efficiently reduced carbon dioxide before the carboxylation reaction commenced. Under mild conditions, the reaction proceeded smoothly, yielding benzoic acids with various functional groups in modest yields. In cyclic voltammetry experiments, the oxidation potential of the samarium electrode was observed at −0.5 V. When CO2 was introduced, the potential shifted negatively to −0.8 V, indicating that CO2 facilitated anode oxidation and increased solubility by generating Sm salts. A reversible oxidation wave at −1.4 V per SCE, corresponding to the oxidation of SmII to SmIII, was observed in the cyclic voltammogram (CV) of SmCl2 in DMF. The peak current vanished upon CO2 addition, indicating that SmII and CO2 reacted to form SmIII−[CO2]. The initial electrogeneration of SmII involved a single-electron transfer on the anode, followed by its reaction with CO2 to generate active radical anions. These anions then underwent a radical substitution mechanism, attacking the aryl halide to ultimately yield the corresponding carboxylic acid upon acidification of the formed carboxylate.
In order to synthesize α-fluoroacrylic acids, Zhou and their coworkers reported on the direct electrochemical defluorinative carboxylation of gem-difluoroalkenes with CO2 in 2020 [126]. This reaction was carried out in an undivided cell under constant current circumstances using a Ni-sheet as the cathode and Pt as the anode. The reaction was significantly influenced by the electrode material, supporting electrolyte, solvent, current, and reaction time without the use of any transition metal. Up to an 83% yield and a Z/E ratio of more than 20:1 was efficiently attained for the acid products with diverse functional groups. Based on a cyclic voltammogram (CV), a putative ECEC reaction mechanism was proposed, as shown in Scheme 18. First, a radical anion was produced on the cathode via a one-electron reduction of gem-difluoroalkene A, after which CO2 was quickly fixed specifically as a difluorocarbon to produce intermediate B. The carboxylate anion C was then produced by trapping the Ni ion generated at the anode, followed by a secondary one-electron reduction of B and subsequent defluorination. In the end, acidification produced the desired α- fluoroacrylic acid (Scheme 21).
Scheme 21.
Proposed reaction mechanism for the synthesis of α-fluoroacrylic acids. Reprinted (adapted) with permission from [126].
In undivided cells, most electrocarboxylation processes that utilize organic halides and CO2 typically involve the use of sacrificial metal anodes [121]. However, this approach presents several challenges. Firstly, it increases the concentration of metal cations in the solution, which can lead to cathode passivation. Secondly, it has the potential to convert CO2 into carbonates. which not only raised the concentration of metal cations in the solution and caused cathode passivation but also had the potential to convert CO2 into carbonates. In 2019, Klinkova and coworkers reported a detailed study of electrocarboxylation in a divided cell with organic and aqueous compartments separated by different ion-exchange membranes of (1-bromoethyl) benzene at a silver cathode in combination with oxygen evolution at a platinum anode [127]. At the platinum anodes, an oxygen evolution process took place. The reaction clearly was impacted by the membrane type, applied voltage, starting precursor concentration, temperature, and electrodes. By substituting the sacrificial anode with soluble anhydrous MgBr2 as a cheap, soluble source of Mg2+ cations, Manthiram’s group demonstrated the selective carboxylation of organic halides with CO2 [128]. In addition, the yields from the sacrificial-anode-free method were frequently equal to or superior to those from a conventional sacrificial anode process. To prevent the creation of byproducts like esters or alcohols, Mg2+ cation inhibits the nucleophilicity of carboxylate or carbonate, according to experiments utilizing various electrochemical cell configurations.
Metal-Catalyzed Electrocarboxylation
In 2018, Mei’s group achieved a significant milestone by demonstrating the first asymmetric catalytic electrocarboxylation of cinnamyl acetate. Additionally, they reported the inaugural regioselective Pd-catalyzed electrocarboxylation reactions using commercially available homostryrenyl acetates and CO2, resulting in the formation of α-aryl carboxylic acids [129]. The reaction employed Pd(OAc)2 as the catalyst, 1,2-bis(diphenylphosphino)benzene (DPPPh) as the ligand, Et4NOTs as the electrolyte, EtOH as an additive, and DMF as the solvent. Pt served as the cathode, while a Mg rod acted as the sacrificial anode. This process was conducted in an undivided cell, yielding carboxylic acid products with an impressive up to 30:1 branch-to-linear selectivity and a high yield. Moreover, they identified that chiral bidentate triarylphosphine ligands were highly effective in catalyzing this asymmetric carboxylation, resulting in a moderate level of enantioselectivity (67% ee). The reaction initiation involved the oxidative addition of the Pd (0) complex A with the allyl electrophile species B, leading to the formation of a cationic π-allylpalladium (II) complex C. Due to steric hindrance, C then transformed into D. A two-electron transfer event involving the D complex ultimately resulted in the creation of an anionic η1-allylpalladium (0) species E. Finally, the E complex reacted with CO2 at the γ-position, resulting in the formation of a branched carboxylation product.
In 2019, Mellah’s group presented a novel electrogenerated Sm(II)-catalyzed carboxylation method for benzyl halides with CO2, resulting in various phenylacetic acids in high yields [130]. This innovative approach was built upon their earlier work on Sm-mediated electrocarboxylation reactions of aryl halides (46a). The process involved using samarium as the anode in the pre-electrolysis phase to generate the Sm(II) reagent. Subsequently, samarium served as the cathode during the reaction, which was conducted in an undivided cell. In the same year, Lu and Wang’s group reported an electrocarboxylation reaction of cinnamyl chloride with CO2 catalyzed by a silver-encapsulated Cu salen complex ([Cu]@Ag), leading to the production of β, γ-unsaturated carboxylic acids [131]. The use of a reusable Cu-salen-doped Ag nanoelectrode significantly improved the reaction’s efficiency. This reaction was successfully conducted in CH3CN at a current density of 8 mA cm−2, using Mg as the anode and TEAI as the electrolyte in an undivided cell (Scheme 22).
Scheme 22.
[Cu]@Ag catalyzed electrocarboxylation reaction of cinnamyl chloride. Reprinted (adapted) with permission from [131].
Recently, Lu and Wang reported an electrocatalytic carboxylation method for halogenated compounds using mesoporous silver electrode materials [131]. In the electrocarboxylation reaction involving benzyl bromide and CO2, mesoporous Ag materials outperformed Ag electrodes, nano Ag, and foam Ag electrodes. An intriguing aspect of mesoporous silver electrodes was their reusability. The mesoporous structure of the material remained intact even after seven uses, with the intended product still reaching a yield of 70%, showcasing the excellent stability of the mesoporous Ag electrode. In 2020, Ackermann and colleagues combined electrochemical synthesis with co-catalysis, presenting a non-toxic electrocarboxylation of allylic chloride with CO2 to produce styryl acetic acids [132]. This reaction was conducted under constant current conditions in an undivided cell, employing PPh3 as the ligand, Co(OAc)2 as the catalyst, Ni foam as the cathode, Mg as the sacrificial anode, and nBu4NPF6 as the electrolyte. In 2021, Lu’s group reported moderate to good yields of β, γ-unsaturated carboxylic acids through atmospheric CO2-driven reductive electrocarboxylation of allylic halides catalyzed by Ni [133]. Under constant current conditions, the reaction was conducted in an undivided cell using Ni(dppm)Cl2 as the catalyst, Ag as the cathode, Mg as the sacrificial anode, and TEAI as the electrolyte to generate the carboxylic acid products. The process commenced with the oxidative addition of the Ni(0) complex A to cinnamyl chloride, leading to the formation of intermediate complex π-allyl Ni(II) B. A cathode-based single-electron reduction produced Ni(I) intermediate complex C. Complex C reacted with CO2 to yield carboxylic acids E and F, and another one-electron reduction regenerated the Ni(0) complex (Scheme 23).
Scheme 23.
Ni-catalyzed electrocarboxylation of allylic halides with CO2. Reprinted (adapted) with permission from [133].
Additionally, the Zare group demonstrated the electrosynthesis of 4-nitrophenylacetic acid on a Cu nanoparticles/Pd nanoparticles/modified glassy carbon electrode (Cu/Pd/rGO/GCE) surface using 4-nitrobenzyl bromide as both a catalyst and substrate [134]. In this process, 4-nitrobenzyl bromide effectively promoted the reduction of CO2, which then interacted with the radical anion to produce 4-nitrophenylacetic acid.
Electrocarboxylation of Organic (Pseudo)halides
In 2019, Manthiram and their coworkers achieved the direct electrocarboxylation of primary and secondary C–N bonds in benzylammonium compounds using CO2 [43]. This reaction was carried out under constant voltage conditions in an undivided cell. Carbon cloth served as the cathode, Pt as the anode, and nBu4PBF4 as the electrolyte to generate carboxylic acid products. Notably, this reaction did not require sacrificial anodes or metallic reductants. Instead, the reductant was generated in situ through the substrate’s reduction reaction at the cathode. The resulting compounds were easily purified without the need for column chromatography, using a simple extraction process. In order to synthesize mandelic acid, Senboku’s group reported electrochemically carboxylating benzal diacetate with CO2 with yields ranging from good to moderate [135]. Under constant current conditions, the reaction was conducted in an undivided cell with a cathode of Pt, an anode of Mg, and an electrolyte of Bu4NBF4. The corresponding benzylic carbon anion was produced by the two successive electrons’ cathodic reduction and elimination of one acetate ion for benzal diacetate. This anion then interacted with CO2 to produce the corresponding carboxylate ion. Ye’s group demonstrated effective electrochemical desulfonylative carboxylation of organic sulfone compounds with CO2 in 2021 [136]. In this reaction, they used Mg as an anode and Pt as a cathode. Only sulfone groups were preferentially changed to carboxylic groups in this reaction, which had a broad range of substrates. Under the current electrochemical circumstances, however, aryl chloride, alkenes, and alkynes completely retained their original functions.
Senboku and their coworkers recently accomplished the electrochemical reductive carboxylation of N-Boc-α-aminosulfones with CO2 under atmospheric pressure, resulting in the synthesis of N-Boc-α-amino acids by cleaving the C–S bond with an impressive yield of up to 83% [137]. This reaction was conducted smoothly in DMF using an undivided cell with a constant current of 10 mA. The electrolyte used was nBu4NBF4, Pt served as the cathode, and a Mg rod was employed as the sacrificial anode. For the electrocatalytic reaction of benzyl alcohol and CO2 to produce benzyl methyl carbonate, the group of Lu and Wang developed Cu nanoparticle (Cu/OMC-X) composites [138]. The advantages of the synthesized Cu/OMC-X material included its highly organized mesoporous structure, high surface area, and high dispersion of Cu nanoparticles. The product yield grew and then dropped as the Cu level increased, and Cu/OMC-3 was found to have the highest electrocatalytic efficiency with a yield of 69.7%.
A summary of various metal-catalyzed electrocarboxylations of organic (pseudo) halides is shown below in Table 2.
Table 2.
Review of the metal-catalyzed electrocarboxylation of organic (pseudo) halides with CO2.
4.3. Electrocarboxylation of Aldehydes and Ketones with CO2
In 2021, Singh and their coworkers reported the direct electrocarboxylation of aromatic aldehydes and ketones with CO2 under constant current conditions [139]. They conducted the reaction using a sacrificial Mg anode, Pt cathode, and TPAC as an electrolyte. This process proceeded smoothly under mild conditions, producing products without any undesirable byproducts. The resulting products could be easily purified through straightforward recrystallization. According to one potential mechanism, radical anion A was first created via the cathodic reduction of a ketone or aldehyde with one electron, followed by the quick capture of CO2 via an oxygen anion and the subsequent reduction of a carbon radical with a further electron to create carbon anion C, which then produced α-hydroxycarboxylic acid D (Scheme 24). In 2020, Zhang and their colleagues reported both photocarboxylation and electrocarboxylation reactions of methylbenzophenone with CO2 [140]. Interestingly, they observed that, while the dicarboxylation of o-methylbenzophenone occurred under photoelectrocarboxylation conditions, the mono-carboxylation product was formed under photocarboxylation or electrocarboxylation conditions. This observation was supported by cyclic voltammetry experiments and DFT calculations, suggesting that o-methylbenzophenone first underwent photocarboxylation to produce 2-benzoylbenzeneacetic acid, which was then electrocarboxylated to form the dicarboxylic acid product.
4.4. Electrocarboxylation of Imines with CO2
α-amino acids play crucial roles in various industries, including food, medicine, cosmetics, and more [141]. They serve as fundamental structural elements found in numerous natural products and biologically active compounds. Several research groups have reported on the electrocarboxylation of imine compounds with CO2 [142].
In 2017, Atobe’s team introduced an environmentally benign electrochemical carboxylation method for imines with CO2. They used a flow microreactor in a single flow-through operation, eliminating the need for sacrificial anodes [143]. The reaction could be divided into two main stages: electrolysis and acidification. Initially, one-electron reduction of the substrate imine A took place at the cathode, yielding an anion radical B. This highly nucleophilic species then reacted with CO2 to form C. Subsequently, C underwent a further reduction at the cathode, leading to the formation of intermediate D. Finally, upon acidification, the desired amino acid E was synthesized (Scheme 25). Furthermore, in 2021, the same group reported the electrochemical carboxylation of aldimines with CO2 using an electrochemical flow microreactor [144]. They achieved the dehydration of aldehydes and anilines in a desiccant bed column to generate aldimines on-site. This method yielded α-amino acids with up to 89% efficiency. Remarkably, this approach eliminates the need for stoichiometric quantities of hazardous cyanide or metal reagents, making it a safer and more sustainable option.
Scheme 25.
Electrocarboxylation of imines with CO2 in a flow reactor. Reprinted (adapted) with permission from [143].
Scheme 24.
Direct electrocarboxylation reaction of aromatic aldehydes and ketones with CO2. Reprinted (adapted) with permission from [139].
Scheme 24.
Direct electrocarboxylation reaction of aromatic aldehydes and ketones with CO2. Reprinted (adapted) with permission from [139].

5. Conclusions
This review article has presented a summary of the recent advances in transition-metal-catalyzed, photocatalytic, and electrochemical carboxylation utilizing CO2 as the C1 feedstock. These studies have offered novel catalysts and chemical process designs, intensifying the underlying activation mechanisms, along with new concepts for carboxylation with CO2. Although significant advances have been made, this field of study is still in its early stages, with several challenges that need to be addressed. Firstly, most of the carboxylation reactions follow two-electron activation, while carboxylation through single-electron reduction is in focus but still underdeveloped. Secondly, asymmetric CO2 synthesis has not been extensively developed. Third, most of the reactions are not efficient, as they suffer from lower yields and require harsh reaction conditions, which are not often environmentally friendly. Lastly, because these processes are complicated and varied, knowledge of the mechanisms behind CO2 conversions is still insufficient. In catalytic carboxylation processes using CO2 as the carbon source, transition metals are crucial. For the carboxylation of various substrates, several metal complex catalytic systems have been created, offering flexible methods for green organic synthesis. But there is still a long way to go before these approaches can be used to synthesize commercial bulk compounds like acrylic acid. Most of the reactions need a stochiometric number of metals and harsh reaction conditions. New techniques and metal catalysts must be developed for CO2 conversions under moderate, ambient reaction environments. Improvements over current reactions with poor catalytic efficacy or those that need hard, harsh conditions are equally crucial, especially for scaling up and commercialization. Photo-induced carboxylation is one of the key processes that has yet to overcome the above issues. A plethora of important carboxylic acids and their derivatives may be produced from easily available and affordable feedstocks under succinct and benign photoirradiation conditions, avoiding the typical use of stoichiometric metallic reductants or heat conditions. In the past three years, remarkable progress has been achieved in broadening the substrate scope and investigating fresh transformations. Photocatalyzed methods for activating less reactive starting materials in carboxylation processes, such as alkenes, alkynes, and halides, have been developed. This review has also covered the latest developments in electrochemical carboxylation reactions involving alkenes, organic (pseudo) halides, aldehydes, ketones, and imines with CO2 over the past few years. These reactions are particularly valuable, as they employ CO2 as a C1 feedstock and rely on electrons as a reducing agent instead of stoichiometric metallic reductants. This approach enables the eco-friendly production of highly valuable carboxylic acid products. In these electrocarboxylation processes, it has been revealed that carbanions or radical anions formed through cathodic reduction play a pivotal role. CO2, being in its most oxidative carbon state, often acts as an electrophile in these reactions. The field continues to advance with the exploration of asymmetric electrocarboxylation involving CO2, the integration of transition-metal catalysis, organocatalysis, photocatalysis, and other innovative approaches alongside electrocarboxylation. These developments ensure that electrochemical carboxylation reactions using CO2 as a reagent will remain an exciting and enduring topic of interest in the future. Additionally, there are promising prospects for the electrocatalytic engineering involving the production of carboxylic acids using CO2. A bright future for development in this area can be predicted with the development of novel transition metal-, photo-, or electrocatalytic CO2 transformation technologies.
Author Contributions
S.R.S.: methodology, formal analysis, resources, data curation, writing—original draft preparation, and visualization; N.J.M.: methodology, formal analysis, resources, data curation, writing—original draft preparation, and visualization; A.C.-P.: methodology, formal analysis, resources, data curation, writing—original draft preparation, and visualization; D.D.: project administration, supervision, and writing—review and editing; N.A.: conceptualization, methodology, validation, resources, data curation, writing—review and editing, funding acquisition, and supervision; H.M.: conceptualization, methodology, validation, resources, data curation, writing—review and editing, funding acquisition, project administration, and supervision. All authors have read and agreed to the published version of the manuscript.
Funding
The authors gratefully acknowledge the financial support for the PhD studentship of N.M. funded by Queen’s University Belfast and Tezpur University India. H.M. gratefully acknowledges the funding and support provided by the Leverhulme Trust research grant RPG-2020-301, as well as the UK Catalysis hub via the authors’ membership in the UK Catalysis Hub Consortium funded by EPSRC grant: EP/R026645/1.
Data Availability Statement
No new data were created or analyzed in this study. Data sharing is not applicable to this article.
Conflicts of Interest
The authors declare no conflict of interest. The funders had no role in the design of the study, in the collection, analyses, or interpretation of data, in the writing of the manuscript, or in the decision to publish the results.
References
- Ritchie, H.; Roser, M.; Rosado, P. CO2 and Greenhouse Gas Emissions. Our World Data 2020. Available online: https://ourworldindata.org/co2-and-greenhouse-gas-emissions (accessed on 24 October 2023).
- Ritchie, H.; Roser, M.; Rosado, P. Energy. Our World Data 2022. Available online: https://ourworldindata.org/energy (accessed on 24 October 2023).
- Riduan, S.N.; Zhang, Y. Recent Developments in Carbon Dioxide Utilization under Mild Conditions. Dalton Trans. 2010, 39, 3347–3357. [Google Scholar] [CrossRef]
- Delarmelina, M.; Deshmukh, G.; Goguet, A.; Catlow, C.R.A.; Manyar, H. Role of Sulfation of Zirconia Catalysts in Vapor Phase Ketonization of Acetic Acid. J. Phys. Chem. C 2021, 125, 27578–27595. [Google Scholar] [CrossRef] [PubMed]
- Ethiraj, J.; Wagh, D.; Manyar, H. Advances in Upgrading Biomass to Biofuels and Oxygenated Fuel Additives Using Metal Oxide Catalysts. Energy Fuels 2022, 36, 1189–1204. [Google Scholar] [CrossRef]
- Keogh, J.; Deshmukh, G.; Manyar, H. Green Synthesis of Glycerol Carbonate via Transesterification of Glycerol Using Mechanochemically Prepared Sodium Aluminate Catalysts. Fuel 2022, 310, 122484. [Google Scholar] [CrossRef]
- Ralphs, K.; Collins, G.; Manyar, H.; James, S.L.; Hardacre, C. Selective Hydrogenation of Stearic Acid Using Mechanochemically Prepared Titania-Supported Pt and Pt–Re Bimetallic Catalysts. ACS Sustain. Chem. Eng. 2022, 10, 6934–6941. [Google Scholar] [CrossRef]
- Keogh, J.; Jeffrey, C.; Tiwari, M.S.; Manyar, H. Kinetic Analysis of Glycerol Esterification Using Tin Exchanged Tungstophosphoric Acid on K-10. Ind. Eng. Chem. Res. 2022, 62, 19095–19103. [Google Scholar] [CrossRef] [PubMed]
- Tiwari, M.S.; Wagh, D.; Dicks, J.S.; Keogh, J.; Ansaldi, M.; Ranade, V.V.; Manyar, H.G. Solvent Free Upgrading of 5-Hydroxymethylfurfural (HMF) with Levulinic Acid to HMF Levulinate Using Tin Exchanged Tungstophosphoric Acid Supported on K-10 Catalyst. ACS Org. Inorg. Au 2023, 3, 27–34. [Google Scholar] [CrossRef] [PubMed]
- Manyar, H. Synthesis of a Novel Redox Material UDCaT-3: An Efficient and Versatile Catalyst for Selective Oxidation, Hydroxylation and Hydrogenation Reactions. Adv. Synth. Catal. 2008, 350, 2286. [Google Scholar]
- Skillen, N.; Ralphs, K.; Craig, D.; McCalmont, S.; Muzio, A.F.V.; O’Rourke, C.; Manyar, H.; Robertson, P. Photocatalytic Reforming of Glycerol to H2 in a Thin Film Pt-TiO2 Recirculating Photo Reactor. J. Chem. Technol. Biotechnol. 2020, 95, 2619–2627. [Google Scholar] [CrossRef]
- Jakubek, T.; Ralphs, K.; Kotarba, A.; Manyar, H. Nanostructured Potassium-Manganese Oxides Decorated with Pd Nanoparticles as Efficient Catalysts for Low-Temperature Soot Oxidation. Catal. Lett. 2019, 149, 100–106. [Google Scholar] [CrossRef]
- Salisu, J.; Gao, N.; Quan, C.; Yanik, J.; Artioli, N. Co-Gasification of Rice Husk and Plastic in the Presence of CaO Using a Novel ANN Model-Incorporated Aspen plus Simulation. J. Energy Inst. 2023, 108, 101239. [Google Scholar] [CrossRef]
- Quan, C.; Zhang, G.; Gao, N.; Su, S.; Artioli, N.; Feng, D. Behavior Study of Migration and Transformation of Heavy Metals during Oily Sludge Pyrolysis. Energy Fuels 2022, 36, 8311–8322. [Google Scholar] [CrossRef]
- Byrne, E.L.; O’Donnell, R.; Gilmore, M.; Artioli, N.; Holbrey, J.D.; Swadźba-Kwaśny, M. Hydrophobic Functional Liquids Based on Trioctylphosphine Oxide (TOPO) and Carboxylic Acids. Phys. Chem. Chem. Phys. 2020, 22, 24744–24763. [Google Scholar] [CrossRef] [PubMed]
- Castoldi, L.; Matarrese, R.; Kubiak, L.; Daturi, M.; Artioli, N.; Pompa, S.; Lietti, L. In-Depth Insights into N2O Formation over Rh- and Pt-Based LNT Catalysts. Catal. Today 2019, 320, 141–151. [Google Scholar] [CrossRef]
- Yilleng, M.T.; Gimba, E.C.; Ndukwe, G.I.; Bugaje, I.M.; Rooney, D.W.; Manyar, H.G. Batch to Continuous Photocatalytic Degradation of Phenol Using TiO2 and Au-Pd Nanoparticles Supported on TiO2. J. Environ. Chem. Eng. 2018, 6, 6382–6389. [Google Scholar] [CrossRef]
- O’Donnell, R.; Ralphs, K.; Grolleau, M.; Manyar, H.; Artioli, N. Doping Manganese Oxides with Ceria and Ceria Zirconia Using a One-Pot Sol–Gel Method for Low Temperature Diesel Oxidation Catalysts. Top. Catal. 2020, 63, 351–362. [Google Scholar] [CrossRef]
- Coney, C.; Hardacre, C.; Morgan, K.; Artioli, N.; York, A.P.E.; Millington, P.; Kolpin, A.; Goguet, A. Investigation of the oxygen storage capacity behaviour of three way catalysts using spatio-temporal analysis. Appl. Catal. B Environ. 2019, 258, 117918. [Google Scholar] [CrossRef]
- Lietti, L.; Righini, L.; Castoldi, L.; Artioli, N.; Forzatti, P. Labeled 15NO study on N2 and N2O formation over Pt-Ba/Al2O3 NSR catalysts. Top. Catal. 2013, 56, 7–13. [Google Scholar] [CrossRef]
- He, M.; Sun, Y.; Han, B. Green Carbon Science: Scientific Basis for Integrating Carbon Resource Processing, Utilization, and Recycling. Angew. Chem. Int. Ed. 2013, 52, 9620–9633. [Google Scholar] [CrossRef]
- Ye, J.-H.; Ju, T.; Huang, H.; Liao, L.-L.; Yu, D.-G. Radical Carboxylative Cyclizations and Carboxylations with CO2. Acc. Chem. Res. 2021, 54, 2518–2531. [Google Scholar] [CrossRef]
- Sakakura, T.; Choi, J.-C.; Yasuda, H. Transformation of Carbon Dioxide. Chem. Rev. 2007, 107, 2365–2387. [Google Scholar] [CrossRef] [PubMed]
- Maag, H. Prodrugs of Carboxylic Acids. In Prodrugs: Challenges and Rewards Part 1; Stella, V.J., Borchardt, R.T., Hageman, M.J., Oliyai, R., Maag, H., Tilley, J.W., Eds.; Biotechnology: Pharmaceutical Aspects; Springer: New York, NY, USA, 2007; pp. 703–729. ISBN 9780387497853. [Google Scholar]
- Ajvazi, N.; Stavber, S. Alcohols in direct carbon-carbon and carbon-heteroatom bond-forming reactions: Recent advances. Arkivoc 2018, part ii, 288–329. [Google Scholar] [CrossRef]
- Valera Lauridsen, J.M.; Cho, S.Y.; Bae, H.Y.; Lee, J.-W. CO2 (De)Activation in Carboxylation Reactions: A Case Study Using Grignard Reagents and Nucleophilic Bases. Organometallics 2020, 39, 1652–1657. [Google Scholar] [CrossRef]
- Aresta, M.; Dibenedetto, A. Key Issues in Carbon Dioxide Utilization as a Building Block for Molecular Organic Compounds in the Chemical Industry. In CO2 Conversion and Utilization; Song, C., Gaffney, A.F., Fujimoto, K., Eds.; American Chemical Society: Washington, DC, USA, 2002; Volume 809, pp. 54–70. ISBN 9780841237476. [Google Scholar]
- Wu, X.-F.; Fang, X.; Wu, L.; Jackstell, R.; Neumann, H.; Beller, M. Transition-Metal-Catalyzed Carbonylation Reactions of Olefins and Alkynes: A Personal Account. Acc. Chem. Res. 2014, 47, 1041–1053. [Google Scholar] [CrossRef] [PubMed]
- Huang, K.; Sun, C.-L.; Shi, Z.-J. Transition-Metal-Catalyzed C–C Bond Formation through the Fixation of Carbon Dioxide. Chem. Soc. Rev. 2011, 40, 2435–2452. [Google Scholar] [CrossRef] [PubMed]
- Tsuji, Y.; Fujihara, T. Carbon Dioxide as a Carbon Source in Organic Transformation: Carbon–Carbon Bond Forming Reactions by Transition-Metal Catalysts. Chem. Commun. 2012, 48, 9956–9964. [Google Scholar] [CrossRef]
- Duong, H.A.; Huleatt, P.B.; Tan, Q.-W.; Shuying, E.L. Regioselective Copper-Catalyzed Carboxylation of Allylboronates with Carbon Dioxide. Org. Lett. 2013, 15, 4034–4037. [Google Scholar] [CrossRef]
- Yu, D.; Teong, S.P.; Zhang, Y. Transition Metal Complex Catalyzed Carboxylation Reactions with CO2. Coord. Chem. Rev. 2015, 293–294, 279–291. [Google Scholar] [CrossRef]
- Luan, Y.-X.; Ye, M. Transition Metal-Mediated or Catalyzed Hydrocarboxylation of Olefins with CO2. Tetrahedron Lett. 2018, 59, 853–861. [Google Scholar] [CrossRef]
- Yi, Y.; Hang, W.; Xi, C. Recent Advance of Transition-Metal-Catalyzed Tandem Carboxylation Reaction of Unsaturated Hydrocarbons with Organometallic Reagents and CO2. Youji Huaxue 2021, 41, 80. [Google Scholar] [CrossRef]
- Ran, C.-K.; Liao, L.-L.; Gao, T.-Y.; Gui, Y.-Y.; Yu, D.-G. Recent Progress and Challenges in Carboxylation with CO2. Curr. Opin. Green. Sustain. Chem. 2021, 32, 100525. [Google Scholar] [CrossRef]
- Liu, X.-F.; Zhang, K.; Tao, L.; Lu, X.-B.; Zhang, W.-Z. Recent Advances in Electrochemical Carboxylation Reactions Using Carbon Dioxide. Green. Chem. Eng. 2022, 3, 125–137. [Google Scholar] [CrossRef]
- Tortajada, A.; Juliá-Hernández, F.; Börjesson, M.; Moragas, T.; Martin, R. Transition-Metal-Catalyzed Carboxylation Reactions with Carbon Dioxide. Angew. Chem. Int. Ed. 2018, 57, 15948–15982. [Google Scholar] [CrossRef] [PubMed]
- Jin, Y.; Caner, J.; Nishikawa, S.; Toriumi, N.; Iwasawa, N. Catalytic Direct Hydrocarboxylation of Styrenes with CO2 and H2. Nat. Commun. 2022, 13, 7584. [Google Scholar] [CrossRef] [PubMed]
- Stitt, M.; Schulze, D. Does Rubisco Control the Rate of Photosynthesis and Plant Growth? An Exercise in Molecular Ecophysiology. Plant Cell Environ. 1994, 17, 465–487. [Google Scholar] [CrossRef]
- Tazuke, S.; Kazama, S.; Kitamura, N. Reductive Photocarboxylation of Aromatic Hydrocarbons. J. Org. Chem. 1986, 51, 4548–4553. [Google Scholar] [CrossRef]
- Fan, Z.; Zhang, Z.; Xi, C. Light-Mediated Carboxylation Using Carbon Dioxide. ChemSusChem 2020, 13, 6201–6218. [Google Scholar] [CrossRef]
- Sun, G.-Q.; Zhang, W.; Liao, L.-L.; Li, L.; Nie, Z.-H.; Wu, J.-G.; Zhang, Z.; Yu, D.-G. Nickel-Catalyzed Electrochemical Carboxylation of Unactivated Aryl and Alkyl Halides with CO2. Nat. Commun. 2021, 12, 7086. [Google Scholar] [CrossRef]
- Yang, D.-T.; Zhu, M.; Schiffer, Z.J.; Williams, K.; Song, X.; Liu, X.; Manthiram, K. Direct Electrochemical Carboxylation of Benzylic C–N Bonds with Carbon Dioxide. ACS Catal. 2019, 9, 4699–4705. [Google Scholar] [CrossRef]
- Wang, Y.; Zhao, Z.; Pan, D.; Wang, S.; Jia, K.; Ma, D.; Yang, G.; Xue, X.; Qiu, Y. Metal-Free Electrochemical Carboxylation of Organic Halides in the Presence of Catalytic Amounts of an Organomediator. Angew. Chem. Int. Ed. 2022, 61, e2022102012022. [Google Scholar] [CrossRef]
- Matthessen, R.; Fransaer, J.; Binnemans, K.; De Vos, D.E. Electrocarboxylation: Towards Sustainable and Efficient Synthesis of Valuable Carboxylic Acids. Beilstein J. Org. Chem. 2014, 10, 2484–2500. [Google Scholar] [CrossRef] [PubMed]
- Seyferth, D. Alkyl and Aryl Derivatives of the Alkali Metals: Useful Synthetic Reagents as Strong Bases and Potent Nucleophiles. 1. Conversion of Organic Halides to Organoalkali-Metal Compounds. Organometallics 2006, 25, 2–24. [Google Scholar] [CrossRef]
- Kingston, C.; Wallace, M.A.; Allentoff, A.J.; deGruyter, J.N.; Chen, J.S.; Gong, S.X.; Bonacorsi, S.; Baran, P.S. Direct Carbon Isotope Exchange through Decarboxylative Carboxylation. J. Am. Chem. Soc. 2019, 141, 774–779. [Google Scholar] [CrossRef] [PubMed]
- Fujihara, T.; Nogi, K.; Xu, T.; Terao, J.; Tsuji, Y. Nickel-Catalyzed Carboxylation of Aryl and Vinyl Chlorides Employing Carbon Dioxide. J. Am. Chem. Soc. 2012, 134, 9106–9109. [Google Scholar] [CrossRef] [PubMed]
- Correa, A.; Martín, R. Palladium-Catalyzed Direct Carboxylation of Aryl Bromides with Carbon Dioxide. J. Am. Chem. Soc. 2009, 131, 15974–15975. [Google Scholar] [CrossRef] [PubMed]
- Osakada, K.; Sato, R.; Yamamoto, T. Nickel-Complex-Promoted Carboxylation of Haloarenes Involving Insertion of CO2 into NiII-C Bonds. Organometallics 1994, 13, 4645–4647. [Google Scholar] [CrossRef]
- Tortajada, A.; Duan, Y.; Sahoo, B.; Cong, F.; Toupalas, G.; Sallustrau, A.; Loreau, O.; Audisio, D.; Martin, R. Catalytic Decarboxylation/Carboxylation Platform for Accessing Isotopically Labeled Carboxylic Acids. ACS Catal. 2019, 9, 5897–5901. [Google Scholar] [CrossRef]
- Cerveri, A.; Giovanelli, R.; Sella, D.; Pedrazzani, R.; Monari, M.; Nieto Faza, O.; López, C.S.; Bandini, M. Enantioselective CO2 Fixation Via a Heck-Coupling/Carboxylation Cascade Catalyzed by Nickel. Chem.–A Eur. J. 2021, 27, 7657–7662. [Google Scholar] [CrossRef]
- Correa, A.; León, T.; Martin, R. Ni-Catalyzed Carboxylation of C(Sp2)– and C(Sp3)–O Bonds with CO2. J. Am. Chem. Soc. 2014, 136, 1062–1069. [Google Scholar] [CrossRef]
- Tran-Vu, H.; Daugulis, O. Copper-Catalyzed Carboxylation of Aryl Iodides with Carbon Dioxide. ACS Catal. 2013, 3, 2417–2420. [Google Scholar] [CrossRef]
- Yan, S.-S.; Wu, D.-S.; Ye, J.-H.; Gong, L.; Zeng, X.; Ran, C.-K.; Gui, Y.-Y.; Li, J.; Yu, D.-G. Copper-Catalyzed Carboxylation of C–F Bonds with CO2. ACS Catal. 2019, 9, 6987–6992. [Google Scholar] [CrossRef]
- Bew, S.P. Carboxylic Acids. In Comprehensive Organic Functional Group Transformations, 2nd ed.; Elsevier: Amsterdam, The Netherlands, 2005; pp. 19–125. ISBN 9780080446554. [Google Scholar]
- Ebert, G.W.; Juda, W.L.; Kosakowski, R.H.; Ma, B.; Dong, L.; Cummings, K.E.; Phelps, M.V.B.; Mostafa, A.E.; Luo, J. Carboxylation and Esterification of Functionalized Arylcopper Reagents. J. Org. Chem. 2005, 70, 4314–4317. [Google Scholar] [CrossRef] [PubMed]
- Hoffmann, R.W. Protecting-Group-Free Synthesis. Synthesis 2006, 2006, 3531–3541. [Google Scholar] [CrossRef]
- Shi, M.; Nicholas, K.M. Palladium-Catalyzed Carboxylation of Allyl Stannanes. J. Am. Chem. Soc. 1997, 119, 5057–5058. [Google Scholar] [CrossRef]
- Johansson, R.; Wendt, O.F. Insertion of CO2 into a Palladiumallyl Bond and a Pd(ii) Catalysed Carboxylation of Allyl Stannanes. Dalton Trans. 2007, 4, 488–492. [Google Scholar] [CrossRef]
- Wu, J.; Hazari, N. Palladium Catalyzed Carboxylation of Allylstannanes and Boranes Using CO2. Chem. Commun. 2011, 47, 1069–1071. [Google Scholar] [CrossRef] [PubMed]
- Hruszkewycz, D.P.; Wu, J.; Hazari, N.; Incarvito, C.D. Palladium(I)-Bridging Allyl Dimers for the Catalytic Functionalization of CO2. J. Am. Chem. Soc. 2011, 133, 3280–3283. [Google Scholar] [CrossRef] [PubMed]
- Ochiai, H.; Jang, M.; Hirano, K.; Yorimitsu, H.; Oshima, K. Nickel-Catalyzed Carboxylation of Organozinc Reagents with CO2. Org. Lett. 2008, 10, 2681–2683. [Google Scholar] [CrossRef]
- Yeung, C.S.; Dong, V.M. Beyond Aresta’s Complex: Ni- and Pd-Catalyzed Organozinc Coupling with CO2. J. Am. Chem. Soc. 2008, 130, 7826–7827. [Google Scholar] [CrossRef]
- Shibasaki, M.; Kanai, M. Asymmetric Synthesis of Tertiary Alcohols and α-Tertiary Amines via Cu-Catalyzed C−C Bond Formation to Ketones and Ketimines. Chem. Rev. 2008, 108, 2853–2873. [Google Scholar] [CrossRef]
- Evano, G.; Blanchard, N.; Toumi, M. Copper-Mediated Coupling Reactions and Their Applications in Natural Products and Designed Biomolecules Synthesis. Chem. Rev. 2008, 108, 3054–3131. [Google Scholar] [CrossRef] [PubMed]
- Deutsch, C.; Krause, N.; Lipshutz, B.H. CuH-Catalyzed Reactions. Chem. Rev. 2008, 108, 2916–2927. [Google Scholar] [CrossRef] [PubMed]
- Wang, Y.; Liu, J.; Zheng, G. Designing Copper-Based Catalysts for Efficient Carbon Dioxide Electroreduction. Adv. Mater. 2021, 33, 2005798. [Google Scholar] [CrossRef] [PubMed]
- Nitopi, S.; Bertheussen, E.; Scott, S.B.; Liu, X.; Engstfeld, A.K.; Horch, S.; Seger, B.; Stephens, I.E.L.; Chan, K.; Hahn, C.; et al. Progress and Perspectives of Electrochemical CO2 Reduction on Copper in Aqueous Electrolyte. Chem. Rev. 2019, 119, 7610–7672. [Google Scholar] [CrossRef] [PubMed]
- Ukai, K.; Aoki, M.; Takaya, J.; Iwasawa, N. Rhodium(I)-Catalyzed Carboxylation of Aryl- and Alkenylboronic Esters with CO2. J. Am. Chem. Soc. 2006, 128, 8706–8707. [Google Scholar] [CrossRef]
- Ohishi, T.; Nishiura, M.; Hou, Z. Carboxylation of Organoboronic Esters Catalyzed by N-Heterocyclic Carbene Copper(I) Complexes. Angew. Chem. Int. Ed. 2008, 47, 5792–5795. [Google Scholar] [CrossRef] [PubMed]
- Ohmiya, H.; Tanabe, M.; Sawamura, M. Copper-Catalyzed Carboxylation of Alkylboranes with Carbon Dioxide: Formal Reductive Carboxylation of Terminal Alkenes. Org. Lett. 2011, 13, 1086–1088. [Google Scholar] [CrossRef] [PubMed]
- Hay, A.S. Oxidative Coupling of Acetylenes. II. J. Org. Chem. 1962, 27, 3320–3321. [Google Scholar] [CrossRef]
- Fukue, Y.; Oi, S.; Inoue, Y. Direct Synthesis of Alkyl 2-Alkynoates from Alk-1-Ynes, CO2, and Bromoalkanes Catalysed by Copper(I) or Silver(I) Salt. J. Chem. Soc. Chem. Commun. 1994, 18, 2091. [Google Scholar] [CrossRef]
- Zhang, W.-Z.; Li, W.-J.; Zhang, X.; Zhou, H.; Lu, X.-B. Cu(I)-Catalyzed Carboxylative Coupling of Terminal Alkynes, Allylic Chlorides, and CO2. Org. Lett. 2010, 12, 4748–4751. [Google Scholar] [CrossRef]
- Yu, D.; Zhang, Y. Copper- and Copper– N. -Heterocyclic Carbene-Catalyzed C–H Activating Carboxylation of Terminal Alkynes with CO2 at Ambient Conditions. Proc. Natl. Acad. Sci. USA 2010, 107, 20184–20189. [Google Scholar] [CrossRef]
- Yang, L.; Yuan, Y.; Wang, H.; Zhang, N.; Hong, S. Theoretical Insights into Copper(i)–NHC-Catalyzed C–H Carboxylation of Terminal Alkynes with CO2: The Reaction Mechanisms and the Roles of NHC. RSC Adv. 2014, 4, 32457–32466. [Google Scholar] [CrossRef]
- Trivedi, M.; Singh, G.; Kumar, A.; Rath, N.P. 1,1′-Bis(Di-Tert-Butylphosphino)Ferrocene Copper(i) Complex Catalyzed C–H Activation and Carboxylation of Terminal Alkynes. Dalton Trans. 2015, 44, 20874–20882. [Google Scholar] [CrossRef]
- Bondarenko, G.N.; Dvurechenskaya, E.G.; Magommedov, E.S.; Beletskaya, I.P. Copper(0) Nanoparticles Supported on Al2O3 as Catalyst for Carboxylation of Terminal Alkynes. Catal. Lett. 2017, 147, 2570–2580. [Google Scholar] [CrossRef]
- Wendling, T.; Risto, E.; Krause, T.; Gooßen, L.J. Salt-Free Strategy for the Insertion of CO2 into C−H Bonds: Catalytic Hydroxymethylation of Alkynes. Chem.–A Eur. J. 2018, 24, 6019–6024. [Google Scholar] [CrossRef]
- Zhang, X.; Zhang, W.-Z.; Ren, X.; Zhang, L.-L.; Lu, X.-B. Ligand-Free Ag(I)-Catalyzed Carboxylation of Terminal Alkynes with CO2. Org. Lett. 2011, 13, 2402–2405. [Google Scholar] [CrossRef]
- Arndt, M.; Risto, E.; Krause, T.; Gooßen, L.J. C–H Carboxylation of Terminal Alkynes Catalyzed by Low Loadings of Silver(I)/DMSO at Ambient CO2 Pressure. ChemCatChem 2012, 4, 484–487. [Google Scholar] [CrossRef]
- Kim, S.H.; Kim, K.H.; Hong, S.H. Carbon Dioxide Capture and Use: Organic Synthesis Using Carbon Dioxide from Exhaust Gas. Angew. Chem. Int. Ed. 2014, 53, 771–774. [Google Scholar] [CrossRef]
- Liu, C.; Luo, Y.; Zhang, W.; Qu, J.; Lu, X. DFT Studies on the Silver-Catalyzed Carboxylation of Terminal Alkynes with CO2: An Insight into the Catalytically Active Species. Organometallics 2014, 33, 2984–2989. [Google Scholar] [CrossRef]
- Gaillard, S.; Cazin, C.S.J.; Nolan, S.P. N-Heterocyclic Carbene Gold(I) and Copper(I) Complexes in C–H Bond Activation. Acc. Chem. Res. 2012, 45, 778–787. [Google Scholar] [CrossRef]
- Boogaerts, I.I.F.; Fortman, G.C.; Furst, M.R.L.; Cazin, C.S.J.; Nolan, S.P. Carboxylation of N–H/C–H Bonds Using N-Heterocyclic Carbene Copper(I) Complexes. Angew. Chem. Int. Ed. 2010, 49, 8674–8677. [Google Scholar] [CrossRef] [PubMed]
- Zhang, L.; Cheng, J.; Ohishi, T.; Hou, Z. Copper-Catalyzed Direct Carboxylation of C–H Bonds with Carbon Dioxide. Angew. Chem. Int. Ed. 2010, 49, 8670–8673. [Google Scholar] [CrossRef] [PubMed]
- Inomata, H.; Ogata, K.; Fukuzawa, S.; Hou, Z. Direct C–H Carboxylation with Carbon Dioxide Using 1,2,3-Triazol-5-Ylidene Copper(I) Complexes. Org. Lett. 2012, 14, 3986–3989. [Google Scholar] [CrossRef] [PubMed]
- Boogaerts, I.I.F.; Nolan, S.P. Carboxylation of C−H Bonds Using N.-Heterocyclic Carbene Gold(I) Complexes. J. Am. Chem. Soc. 2010, 132, 8858–8859. [Google Scholar] [CrossRef]
- Sasano, K.; Takaya, J.; Iwasawa, N. Palladium(II)-Catalyzed Direct Carboxylation of Alkenyl C–H Bonds with CO2. J. Am. Chem. Soc. 2013, 135, 10954–10957. [Google Scholar] [CrossRef] [PubMed]
- Mizuno, H.; Takaya, J.; Iwasawa, N. Rhodium(I)-Catalyzed Direct Carboxylation of Arenes with CO2 via Chelation-Assisted C−H Bond Activation. J. Am. Chem. Soc. 2011, 133, 1251–1253. [Google Scholar] [CrossRef] [PubMed]
- Kikuchi, S.; Sekine, K.; Ishida, T.; Yamada, T. C–C Bond Formation with Carbon Dioxide Promoted by a Silver Catalyst. Angew. Chem. Int. Ed. 2012, 51, 6989–6992. [Google Scholar] [CrossRef]
- Sekine, K.; Takayanagi, A.; Kikuchi, S.; Yamada, T. Silver-Catalyzed C–C Bond Formation with Carbon Dioxide: Significant Synthesis of Dihydroisobenzofurans. Chem. Commun. 2013, 49, 11320–11322. [Google Scholar] [CrossRef]
- Hoberg, H.; Minato, M. Palladium-Catalysed Dimerization of Isoprene with Carbon Dioxide in the Presence of Organotin Ethoxide and 1,8-Diazabicyclo[5.4.0]Undec-7-Ene (DBU). J. Organomet. Chem. 1991, 406, C25–C281991. [Google Scholar] [CrossRef]
- Lejkowski, M.L.; Lindner, R.; Kageyama, T.; Bódizs, G.É.; Plessow, P.N.; Müller, I.B.; Schäfer, A.; Rominger, F.; Hofmann, P.; Futter, C.; et al. The First Catalytic Synthesis of an Acrylate from CO2 and an Alkene—A Rational Approach. Chem.–A Eur. J. 2012, 18, 14017–14025. [Google Scholar] [CrossRef]
- Plessow, P.N.; Schäfer, A.; Limbach, M.; Hofmann, P. Acrylate Formation from CO2 and Ethylene Mediated by Nickel Complexes: A Theoretical Study. Organometallics 2014, 33, 3657–3668. [Google Scholar] [CrossRef]
- Hou, J.; Li, J.; Wu, J. Recent Development of Light-Mediated Carboxylation Using CO2 as the Feedstock. Asian J. Org. Chem. 2018, 7, 1439–1447. [Google Scholar] [CrossRef]
- Shimomaki, K.; Murata, K.; Martin, R.; Iwasawa, N. Visible-Light-Driven Carboxylation of Aryl Halides by the Combined Use of Palladium and Photoredox Catalysts. J. Am. Chem. Soc. 2017, 139, 9467–9470. [Google Scholar] [CrossRef] [PubMed]
- Meng, Q.; Wang, S.; König, B. Carboxylation of Aromatic and Aliphatic Bromides and Triflates with CO2 by Dual Visible-Light–Nickel Catalysis. Angew. Chem. Int. Ed. 2017, 56, 13426–13430. [Google Scholar] [CrossRef] [PubMed]
- Masuda, Y.; Ishida, N.; Murakami, M. Light-Driven Carboxylation of o-Alkylphenyl Ketones with CO2. J. Am. Chem. Soc. 2015, 137, 14063–14066. [Google Scholar] [CrossRef] [PubMed]
- Ishida, N.; Masuda, Y.; Uemoto, S.; Murakami, M. A Light/Ketone/Copper System for Carboxylation of Allylic C−H Bonds of Alkenes with CO2. Chem.–A Eur. J. 2016, 22, 6524–6527. [Google Scholar] [CrossRef] [PubMed]
- Williams, C.M.; Johnson, J.B.; Rovis, T. Nickel-Catalyzed Reductive Carboxylation of Styrenes Using CO2. J. Am. Chem. Soc. 2008, 130, 14936–14937. [Google Scholar] [CrossRef]
- Murata, K.; Numasawa, N.; Shimomaki, K.; Takaya, J.; Iwasawa, N. Construction of a Visible Light-Driven Hydrocarboxylation Cycle of Alkenes by the Combined Use of Rh(I) and Photoredox Catalysts. Chem. Commun. 2017, 53, 3098–3101. [Google Scholar] [CrossRef]
- Meng, Q.-Y.; Wang, S.; Huff, G.S.; König, B. Ligand-Controlled Regioselective Hydrocarboxylation of Styrenes with CO2 by Combining Visible Light and Nickel Catalysis. J. Am. Chem. Soc. 2018, 140, 3198–3201. [Google Scholar] [CrossRef]
- Seo, H.; Liu, A.; Jamison, T.F. Direct β-Selective Hydrocarboxylation of Styrenes with CO2 Enabled by Continuous Flow Photoredox Catalysis. J. Am. Chem. Soc. 2017, 139, 13969–13972. [Google Scholar] [CrossRef]
- Yatham, V.R.; Shen, Y.; Martin, R. Catalytic Intermolecular Dicarbofunctionalization of Styrenes with CO2 and Radical Precursors. Angew. Chem. Int. Ed. 2017, 56, 10915–10919. [Google Scholar] [CrossRef] [PubMed]
- Ye, J.; Miao, M.; Huang, H.; Yan, S.; Yin, Z.; Zhou, W.; Yu, D. Visible-Light-Driven Iron-Promoted Thiocarboxylation of Styrenes and Acrylates with CO2. Angew. Chem. Int. Ed. 2017, 56, 15416–15420. [Google Scholar] [CrossRef] [PubMed]
- Hou, J.; Ee, A.; Feng, W.; Xu, J.-H.; Zhao, Y.; Wu, J. Visible-Light-Driven Alkyne Hydro-/Carbocarboxylation Using CO2 via Iridium/Cobalt Dual Catalysis for Divergent Heterocycle Synthesis. J. Am. Chem. Soc. 2018, 140, 5257–5263. [Google Scholar] [CrossRef] [PubMed]
- Bertuzzi, G.; Cerveri, A.; Lombardi, L.; Bandini, M. Tandem Functionalization-Carboxylation Reactions of π-Systems with CO2. Chin. J. Chem. 2021, 39, 3116–3126. [Google Scholar] [CrossRef]
- Lin, Q.; Li, L.; Luo, S. Asymmetric Electrochemical Catalysis. Chem.–A Eur. J. 2019, 25, 10033–10044. [Google Scholar] [CrossRef] [PubMed]
- Lin, Q.; Luo, S. Tailoring Radicals by Asymmetric Electrochemical Catalysis. Org. Chem. Front. 2020, 7, 2997–3000. [Google Scholar] [CrossRef]
- Kim, Y.; Park, G.D.; Balamurugan, M.; Seo, J.; Min, B.K.; Nam, K.T. Electrochemical β-Selective Hydrocarboxylation of Styrene Using CO2 and Water. Adv. Sci. 2020, 7, 1900137. [Google Scholar] [CrossRef]
- Alkayal, A.; Tabas, V.; Montanaro, S.; Wright, I.A.; Malkov, A.V.; Buckley, B.R. Harnessing Applied Potential: Selective β-Hydrocarboxylation of Substituted Olefins. J. Am. Chem. Soc. 2020, 142, 1780–1785. [Google Scholar] [CrossRef]
- Sheta, A.M.; Mashaly, M.A.; Said, S.B.; Elmorsy, S.S.; Malkov, A.V.; Buckley, B.R. Selective α,δ-Hydrocarboxylation of Conjugated Dienes Utilizing CO2 and Electrosynthesis. Chem. Sci. 2020, 11, 9109–9114. [Google Scholar] [CrossRef]
- Gao, X.-T.; Zhang, Z.; Wang, X.; Tian, J.-S.; Xie, S.-L.; Zhou, F.; Zhou, J. Direct Electrochemical Defluorinative Carboxylation of α-CF 3 Alkenes with Carbon Dioxide. Chem. Sci. 2020, 11, 10414–10420. [Google Scholar] [CrossRef]
- Zhang, W.; Lin, S. Electroreductive Carbofunctionalization of Alkenes with Alkyl Bromides via a Radical-Polar Crossover Mechanism. J. Am. Chem. Soc. 2020, 142, 20661–20670. [Google Scholar] [CrossRef] [PubMed]
- Zhong, B.; He, D.; Chen, R.; Gao, T.; Wang, Y.; Chen, H.; Zhang, Y.; Wang, D. Understanding Photoelectrochemical Kinetics in a Model CO2 Fixation Reaction. Phys. Chem. Chem. Phys. 2019, 21, 17517–17520. [Google Scholar] [CrossRef] [PubMed]
- Chen, R.; Tian, K.; He, D.; Gao, T.; Yang, G.; Xu, J.; Chen, H.; Wang, D.; Zhang, Y. Carboxylation of α,β-Unsaturated Ketones by CO2 Fixation through Photoelectro-Chemistry. ACS Appl. Energy Mater. 2020, 3, 5813–5818. [Google Scholar] [CrossRef]
- Quan, Y.; Yu, R.; Zhu, J.; Guan, A.; Lv, X.; Yang, C.; Li, S.; Wu, J.; Zheng, G. Efficient Carboxylation of Styrene and Carbon Dioxide by Single-Atomic Copper Electrocatalyst. J. Colloid. Interface Sci. 2021, 601, 378–384. [Google Scholar] [CrossRef]
- Lan, Y.-C.; Wang, H.; Wu, L.-X.; Zhao, S.-F.; Gu, Y.-Q.; Lu, J.-X. Electroreduction of Dibromobenzenes on Silver Electrode in the Presence of CO2. J. Electroanal. Chem. 2012, 664, 33–38. [Google Scholar] [CrossRef]
- Zhang, J.; Niu, D.; Lan, Y.; Wang, H.; Zhang, G.; Lu, J. Electrocatalytic Carboxylation of Arylic Bromides at Silver Cathode in the Presence of Carbon Dioxide. Synth. Commun. 2011, 41, 3720–3727. [Google Scholar] [CrossRef]
- Mena, S.; Sanchez, J.; Guirado, G. Electrocarboxylation of 1-Chloro-(4-Isobutylphenyl)Ethane with a Silver Cathode in Ionic Liquids: An Environmentally Benign and Efficient Way to Synthesize Ibuprofen. RSC Adv. 2019, 9, 15115–15123. [Google Scholar] [CrossRef]
- Mena, S.; Gallardo, I.; Guirado, G. Electrocatalytic Processes for the Valorization of CO2: Synthesis of Cyanobenzoic Acid Using Eco-Friendly Strategies. Catalysts 2019, 9, 413. [Google Scholar] [CrossRef]
- Reche, I.; Mena, S.; Gallardo, I.; Guirado, G. Electrocarboxylation of Halobenzonitriles: An Environmentally Friendly Synthesis of Phthalate Derivatives. Electrochim. Acta 2019, 320, 134576. [Google Scholar] [CrossRef]
- Bazzi, S.; Le Duc, G.; Schulz, E.; Gosmini, C.; Mellah, M. CO2 Activation by Electrogenerated Divalent Samarium for Aryl Halide Carboxylation. Org. Biomol. Chem. 2019, 17, 8546–8550. [Google Scholar] [CrossRef]
- Xie, S.-L.; Gao, X.-T.; Wu, H.-H.; Zhou, F.; Zhou, J. Direct Electrochemical Defluorinative Carboxylation of Gem -Difluoroalkenes with Carbon Dioxide. Org. Lett. 2020, 22, 8424–8429. [Google Scholar] [CrossRef]
- Medvedev, J.J.; Medvedeva, X.V.; Li, F.; Zienchuk, T.A.; Klinkova, A. Electrochemical CO2 Fixation to α-Methylbenzyl Bromide in Divided Cells with Nonsacrificial Anodes and Aqueous Anolytes. ACS Sustain. Chem. Eng. 2019, 7, 19631–19639. [Google Scholar] [CrossRef]
- Corbin, N.; Yang, D.-T.; Lazouski, N.; Steinberg, K.; Manthiram, K. Suppressing Carboxylate Nucleophilicity with Inorganic Salts Enables Selective Electrocarboxylation without Sacrificial Anodes. Chem. Sci. 2021, 12, 12365–12376. [Google Scholar] [CrossRef] [PubMed]
- Jiao, K.-J.; Li, Z.-M.; Xu, X.-T.; Zhang, L.-P.; Li, Y.-Q.; Zhang, K.; Mei, T.-S. Palladium-Catalyzed Reductive Electrocarboxylation of Allyl Esters with Carbon Dioxide. Org. Chem. Front. 2018, 5, 2244–2248. [Google Scholar] [CrossRef]
- Bazzi, S.; Schulz, E.; Mellah, M. Electrogenerated Sm(II)-Catalyzed CO 2 Activation for Carboxylation of Benzyl Halides. Org. Lett. 2019, 21, 10033–10037. [Google Scholar] [CrossRef]
- Wu, L.-X.; Zhao, Y.-G.; Guan, Y.-B.; Wang, H.; Lan, Y.-C.; Wang, H.; Lu, J.-X. Silver Encapsulated Copper Salen Complex: Efficient Catalyst for Electrocarboxylation of Cinnamyl Chloride with CO2. RSC Adv. 2019, 9, 32628–32633. [Google Scholar] [CrossRef]
- Ang, N.W.J.; Oliveira, J.C.A.; Ackermann, L. Electroreductive Cobalt-Catalyzed Carboxylation: Cross-Electrophile Electrocoupling with Atmospheric CO2. Angew. Chem. Int. Ed. 2020, 59, 12842–12847. [Google Scholar] [CrossRef]
- Wu, L.-X.; Deng, F.-J.; Wu, L.; Wang, H.; Chen, T.; Guan, Y.-B.; Lu, J.-X. Nickel-Catalyzed Electrocarboxylation of Allylic Halides with CO2. New J. Chem. 2021, 45, 13137–13141. [Google Scholar] [CrossRef]
- Mohammadzadeh, S.; Zare, H.R.; Khoshro, H.; Ghobadi, K.; Benvidi, A. The Electrochemical Behavior of 4-Nitrobenzyl Bromide and Its Catalytic Activity for Reduction of CO2 in the Acetonitrile Solvent at the Cu/Pd/rGO/GCE Surface. Electrochim. Acta 2020, 352, 136483. [Google Scholar] [CrossRef]
- Senboku, H.; Sakai, K.; Fukui, A.; Sato, Y.; Yamauchi, Y. Efficient Synthesis of Mandel Acetates by Electrochemical Carboxylation of Benzal Diacetates. ChemElectroChem 2019, 6, 4158–4164. [Google Scholar] [CrossRef]
- Zhong, J.-S.; Yang, Z.-X.; Ding, C.-L.; Huang, Y.-F.; Zhao, Y.; Yan, H.; Ye, K.-Y. Desulfonylative Electrocarboxylation with Carbon Dioxide. J. Org. Chem. 2021, 86, 16162–16170. [Google Scholar] [CrossRef] [PubMed]
- Senboku, H.; Minemura, Y.; Suzuki, Y.; Matsuno, H.; Takakuwa, M. Synthesis of N-Boc-α-Amino Acids from Carbon Dioxide by Electrochemical Carboxylation of N -Boc-α-Aminosulfones. J. Org. Chem. 2021, 86, 16077–16083. [Google Scholar] [CrossRef] [PubMed]
- Hu, Q.-L.; Zhang, Z.-X.; Zhang, J.-J.; Li, S.-M.; Wang, H.; Lu, J.-X. Ordered Mesoporous Carbon Embedded with Cu Nanoparticle Materials for Electrocatalytic Synthesis of Benzyl Methyl Carbonate from Benzyl Alcohol and Carbon Dioxide. ACS Omega 2020, 5, 3498–3503. [Google Scholar] [CrossRef] [PubMed]
- Singh, K.; Sohal, H.S.; Singh, B. Synthesis of α-Hydroxycarboxylic Acids from Various Aldehydes and Ketones by Direct Electrocarboxylation: A Facile, Efficient and Atom Economy Protocol. Asian J. Chem. 2021, 33, 839–845. [Google Scholar] [CrossRef]
- Tian, K.; Chen, R.; Xu, J.; Yang, G.; Xu, X.; Zhang, Y. Understanding the Photo- and Electro-Carboxylation of o-Methylbenzophenone with Carbon Dioxide. Catalysts 2020, 10, 664. [Google Scholar] [CrossRef]
- Blaskovich, M.A.T. Unusual Amino Acids in Medicinal Chemistry. J. Med. Chem. 2016, 59, 10807–10836. [Google Scholar] [CrossRef]
- Koshechko, V.G.; Titov, V.E.; Bondarenko, V.N.; Pokhodenko, V.D. Electrochemical Carboxylation of Fluorocontaining Imines with Preparation of Fluorinated N-Phenylphenylglycines. J. Fluor. Chem. 2008, 129, 701–706. [Google Scholar] [CrossRef]
- Qu, Y.; Tsuneishi, C.; Tateno, H.; Matsumura, Y.; Atobe, M. Green Synthesis of α-Amino Acids by Electrochemical Carboxylation of Imines in a Flow Microreactor. React. Chem. Eng. 2017, 2, 871–875. [Google Scholar] [CrossRef]
- Naito, Y.; Nakamura, Y.; Shida, N.; Senboku, H.; Tanaka, K.; Atobe, M. Integrated Flow Synthesis of α-Amino Acids by In Situ Generation of Aldimines and Subsequent Electrochemical Carboxylation. J. Org. Chem. 2021, 86, 15953–15960. [Google Scholar] [CrossRef]
Disclaimer/Publisher’s Note: The statements, opinions and data contained in all publications are solely those of the individual author(s) and contributor(s) and not of MDPI and/or the editor(s). MDPI and/or the editor(s) disclaim responsibility for any injury to people or property resulting from any ideas, methods, instructions or products referred to in the content. |
© 2023 by the authors. Licensee MDPI, Basel, Switzerland. This article is an open access article distributed under the terms and conditions of the Creative Commons Attribution (CC BY) license (https://creativecommons.org/licenses/by/4.0/).


























