State-of-the-Art Review of Oxidative Dehydrogenation of Ethane to Ethylene over MoVNbTeOx Catalysts
Abstract
1. Introduction
2. M1 MoVNbTeOx Catalyst for the ODHE Process
2.1. The Role of Different Elements in the M1 Orthorhombic Structure
2.2. Mechanism of M1 in the ODHE Process
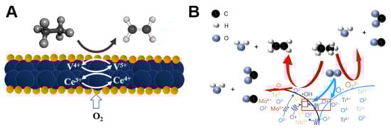
2.2.1. Nature of the Active Sites
2.2.2. Kinetic Model for Oxidative Dehydrogenation of Ethane
3. Catalytic Performance of MoVNbTeOx for ODHE
3.1. Catalyst Activity and the Ways to Improve
3.1.1. Doping Method
3.1.2. Post Treatment Method
3.1.3. Introduction of Diluters/Promoters
3.1.4. Design and Optimization of Synthesis Procedure
3.2. Reactor Development and Industrial-Scale Tests for ODHE
3.2.1. Lab-Scale Reactor Design
3.2.2. Industrial-Scale Reactor Design
3.2.3. Selective Oxidation of Ethane over M1 Catalyst via a CL-ODH Process
4. Concluding Remarks and Outlook
Author Contributions
Funding
Data Availability Statement
Acknowledgments
Conflicts of Interest
References
- Gaffney, A.M.; Mason, O.M. Ethylene production via oxidative dehydrogenation of ethane using M1 catalyst. Catal. Today 2017, 285, 159–165. [Google Scholar] [CrossRef]
- Jiang, M.; Zhang, M.; Wang, L.; Fei, Y.; Wang, S.; Núñez-Delgado, A.; Bokhari, A.; Race, M.; Khataee, A.; Jaromír Klemeš, J.; et al. Photocatalytic degradation of xanthate in flotation plant tailings by TiO2/graphene nanocomposites. Chem. Eng. J. 2022, 431, 134104. [Google Scholar] [CrossRef]
- Han, N.; Wang, S.; Yao, Z.; Zhang, W.; Zhang, X.; Zeng, L.; Chen, R. Superior three-dimensional perovskite catalyst for catalytic oxidation. EcoMat 2020, 2, e12044. [Google Scholar] [CrossRef]
- Han, N.; Feng, S.; Guo, W.; Mora, O.M.; Zhao, X.; Zhang, W.; Xie, S.; Zhou, Z.; Liu, Z.; Liu, Q.; et al. Rational design of ruddlesden–popper perovskite electrocatalyst for oxygen reduction to hydrogen peroxide. SusMat 2022, 2, 456–465. [Google Scholar] [CrossRef]
- Feng, K.; Tian, J.; Zhang, J.; Li, Z.; Chen, Y.; Luo, K.H.; Yang, B.; Yan, B. Dual functionalized interstitial N atoms in Co3Mo3N enabling CO2 activation. ACS Catal. 2022, 12, 4696–4706. [Google Scholar] [CrossRef]
- Bhasin, M.M. Is true ethane oxydehydrogenation feasible? Top. Catal. 2003, 23, 145–149. [Google Scholar] [CrossRef]
- Sanfilippo, D.; Miracca, I. Dehydrogenation of paraffins: Synergies between catalyst design and reactor engineering. Catal. Today 2006, 111, 133–139. [Google Scholar] [CrossRef]
- Cavani, F.; Ballarini, N.; Cericola, A. Oxidative dehydrogenation of ethane and propane: How far from commercial implementation? Catal. Today 2007, 127, 113–131. [Google Scholar] [CrossRef]
- Gartner, C.A.; van Veen, A.C.; Lercher, J.A. Oxidative dehydrogenation of ethane: Common principles and mechanistic aspects. ChemCatChem 2013, 5, 3196–3217. [Google Scholar] [CrossRef]
- Baca, M.; Pigamo, A.; Dubois, J.L.; Millet, J.M.M. Propane oxidation on MoVTeNbO mixed oxide catalysts: Study of the phase composition of active and selective catalysts. Top. Catal. 2003, 23, 39–46. [Google Scholar] [CrossRef]
- López Nieto, J.M.; Botella, P.; Solsona, B.; Oliver, J.M. The selective oxidation of propane on Mo-V-Te-Nb-O catalysts: The influence of Te-precursor. Catal. Today 2003, 81, 87–94. [Google Scholar] [CrossRef]
- Li, X.; Buttrey, D.J.; Blom, D.A.; Vogt, T. Improvement of the structural model for the M1 phase Mo–V–Nb–Te–O propane (amm)oxidation catalyst. Top. Catal. 2011, 54, 614–626. [Google Scholar] [CrossRef]
- Kolen’ko, Y.V.; Zhang, W.; d’Alnoncourt, R.N.; Girgsdies, F.; Hansen, T.W.; Wolfram, T.; Schlögl, R.; Trunschke, A. Synthesis of MoVTeNb oxide catalysts with tunable particle dimensions. ChemCatChem 2011, 3, 1597–1606. [Google Scholar] [CrossRef]
- Hävecker, M.; Wrabetz, S.; Kröhnert, J.; Csepei, L.-I.; Naumann d’Alnoncourt, R.; Kolen’ko, Y.V.; Girgsdies, F.; Schlögl, R.; Trunschke, A. Surface chemistry of phase-pure M1 MoVTeNb oxide during operation in selective oxidation of propane to acrylic acid. J. Catal. 2012, 285, 48–60. [Google Scholar] [CrossRef]
- Celaya Sanfiz, A.; Hansen, T.W.; Sakthivel, A.; Trunschke, A.; Schlögl, R.; Knoester, A.; Brongersma, H.H.; Looi, M.H.; Hamid, S.B.A. How important is the (001) plane of M1 for selective oxidation of propane to acrylic acid? J. Catal. 2008, 258, 35–43. [Google Scholar] [CrossRef]
- Melzer, D.; Xu, P.; Hartmann, D.; Zhu, Y.; Browning, N.D.; Sanchez-Sanchez, M.; Lercher, J.A. Atomic-scale determination of active facets on the MoVTeNb oxide M1 phase and their intrinsic catalytic activity for ethane oxidative dehydrogenation. Angew. Chem. Int. Ed. Engl. 2016, 55, 8873–8877. [Google Scholar] [CrossRef]
- Chu, B.; An, H.; Chen, X.; Cheng, Y. Phase-pure M1 MoVNbTeOx catalysts with tunable particle size for oxidative dehydrogenation of ethane. Appl. Catal. A Gen. 2016, 524, 56–65. [Google Scholar] [CrossRef]
- Chen, Y.; Qian, S.; Feng, K.; Li, Z.; Yan, B.; Cheng, Y. Determination of highly active and selective surface for the oxidative dehydrogenation of ethane over phase-pure M1 MoVNbTeOx catalyst. J. Catal. 2022, 416, 277–288. [Google Scholar] [CrossRef]
- Chen, X.; Yang, Q.; Chu, B.; An, H.; Cheng, Y. Valence variation of phase-pure M1 MoVNbTe oxide by plasma treatment for improved catalytic performance in oxidative dehydrogenation of ethane. RSC Adv. 2015, 5, 91295–91301. [Google Scholar] [CrossRef]
- Chu, B.; An, H.; Nijhuis, T.A.; Schouten, J.C.; Cheng, Y. A self-redox pure-phase M1 MoVNbTeO/CeO2 nanocomposite as a highly active catalyst for oxidative dehydrogenation of ethane. J. Catal. 2015, 329, 471–478. [Google Scholar] [CrossRef]
- Chu, B.; Truter, L.; Nijhuis, T.A.; Cheng, Y. Performance of phase-pure M1 MoVNbTeO catalysts by hydrothermal synthesis with different post-treatments for the oxidative dehydrogenation of ethane. Appl. Catal. A Gen. 2015, 498, 99–106. [Google Scholar] [CrossRef]
- Chu, B.; Truter, L.; Nijhuis, T.A.; Cheng, Y. Oxidative dehydrogenation of ethane to ethylene over phase-pure M1 MoVNbTeOx catalysts in a micro-channel reactor. Catal. Sci. Technol. 2015, 5, 2807–2813. [Google Scholar] [CrossRef]
- Dang, D.; Chen, X.; Yan, B.; Li, Y.; Cheng, Y. Catalytic performance of phase-pure M1 MoVNbTeOx/CeO2 composite for oxidative dehydrogenation of ethane. J. Catal. 2018, 365, 238–248. [Google Scholar] [CrossRef]
- Chen, X.; Dang, D.; An, H.; Chu, B.; Cheng, Y. MnOx promoted phase-pure M1 MoVNbTe oxide for ethane oxidative dehydrogenation. J. Taiwan Inst. Chem. Eng. 2019, 95, 103–111. [Google Scholar] [CrossRef]
- Chen, Y.; Dang, D.; Yan, B.; Cheng, Y. Mixed metal oxides of M1 MoVNbTeOx and TiO2 as composite catalyst for oxidative dehydrogenation of ethane. Catalysts 2022, 12, 71. [Google Scholar] [CrossRef]
- Chen, Y.; Dang, D.; Yan, B.; Cheng, Y. Nanocomposite catalysts of non-purified MoVNbTeOx with CeO2 or TiO2 for oxidative dehydrogenation of ethane. Chem. Eng. Sci. 2022, 264, 118154. [Google Scholar] [CrossRef]
- Chen, Y.; Qian, S.; Feng, K.; Wang, Y.; Yan, B.; Cheng, Y. MoVNbTeOx M1@CeO2@Cordierite structured catalysts for ODHE process. Chem. Eng. Sci. 2022, 253, 117597. [Google Scholar] [CrossRef]
- Dang, D.; Chen, Y.; Chen, X.; Feng, K.; Yan, B.; Cheng, Y. Phase-pure M1 MoVNbTeOx/TiO2 nanocomposite catalysts: High catalytic performance for oxidative dehydrogenation of ethane. Catal. Sci. Technol. 2022, 12, 1211–1219. [Google Scholar] [CrossRef]
- Qian, S.; Chen, Y.; Wang, Y.; Yan, B.; Cheng, Y. Identification of the intrinsic active site in phase-pure M1 catalysts for oxidation dehydrogenation of ethane by density functional theory calculations. J. Phys. Chem. C 2022, 126, 17536–17543. [Google Scholar] [CrossRef]
- Qian, S.; Chen, Y.; Yan, B.; Cheng, Y. Plasma treated M1 MoVNbTeO–CeO2 composite catalyst for improved performance of oxidative dehydrogenation of ethane. Green Energy Environ. 2022. [Google Scholar] [CrossRef]
- Yan, P.; Chen, Y.; Cheng, Y. Industrially potential MoVNbTeOx@FoamSiC structured catalyst for oxidative dehydrogenation of ethane. Chem. Eng. J. 2022, 427, 131813. [Google Scholar] [CrossRef]
- Thorsteinson, E.M.; Wilson, T.P.; Young, F.G.; Kasai, P.H. The oxidative dehydrogenation of ethane over catalysts containing mixed oxides of molybdenum and vanadium. J. Catal. 1978, 52, 116–132. [Google Scholar] [CrossRef]
- McCain, J.H.; Charleston, W.V. Process for Oxygendhydrogenation of Ethane to Ethylene. U.S. Patent No. 4524236, 18 June 1985. [Google Scholar]
- Ushikubo, T.; Nakamura, H.; Koyasu, Y.; Wajiki, S. Method for Producing an Unstaurated Carboxylic acid. U.S. Patent No. 5380933, 10 January 1995. [Google Scholar]
- Ushikubo, T.; Oshima, K.; Ihara, T.; Amatsu, H. Method for Producing a Nitrile. U.S. Patent No. 5534650, 9 July 1996. [Google Scholar]
- Ushikubo, T.; Oshima, K.; Kayou, A.; Vaarkamp, M.; Hatano, M. Ammoxidation of propane over catalysts comprising mixed oxides of Mo and V. J. Catal. 1997, 169, 394–396. [Google Scholar] [CrossRef]
- Chen, N.F.; Oshihara, K.; Ueda, W. Selective oxidation of ethane over hydrothermally synthesized Mo–V–Al–Ti oxide catalyst. Catal. Today 2001, 64, 121–128. [Google Scholar] [CrossRef]
- Ueda, W.; Oshihara, K. Selective oxidation of light alkanes over hydrothermally synthesized Mo-V-M-O (M = Al, Ga, Bi, Sb, and Te) oxide catalysts. Appl. Catal. A Gen. 2000, 200, 135–143. [Google Scholar] [CrossRef]
- Oshihara, K.; Hisano, T.; Ueda, W. Catalytic oxidative activation of light alkanes over Mo–V-based oxides having controlled surface. Top. Catal. 2001, 15, 153–160. [Google Scholar] [CrossRef]
- Watanabe, H.; Koyasu, Y. New synthesis route for Mo–V–Nb–Te mixed oxides catalyst for propane ammoxidation. Appl. Catal. A Gen. 2000, 194, 479–485. [Google Scholar] [CrossRef]
- Xie, Q.; Chen, L.; Weng, W.; Wan, H. Preparation of MoVTe(Sb)Nb mixed oxide catalysts using a slurry method for selective oxidative dehydrogenation of ethane. J. Mol. Catal. A Chem. 2005, 240, 191–196. [Google Scholar] [CrossRef]
- Grasselli, R.K.; Buttrey, D.J.; DeSanto, P.; Burrington, J.D.; Lugmair, C.G.; Volpe, A.F.; Weingand, T. Active centers in Mo–V–Nb–Te–O (amm)oxidation catalysts. Catal. Today 2004, 91–92, 251–258. [Google Scholar] [CrossRef]
- DeSanto, P.; Buttrey, D.J.; Grasselli, R.K.; Lugmair, C.G.; Volpe, A.F.; Toby, B.H.; Vogt, T. Structural aspects of the M1 and M2 phases in MoVNbTeO propane ammomidation catalysts. Z. Kristall. 2004, 219, 152–165. [Google Scholar] [CrossRef]
- DeSanto Jr, P.; Buttrey, D.J.; Grasselli, R.K.; Lugmair, C.G.; Volpe, A.F.; Toby, B.H.; Vogt, T. Structural characterization of the orthorhombic phase M1 in MoVNbTeO propane ammoxidation catalyst. Top. Catal. 2003, 23, 23–38. [Google Scholar] [CrossRef]
- Valente, J.S.; Armendáriz-Herrera, H.; Quintana-Solórzano, R.; del Ángel, P.; Nava, N.; Massó, A.; López Nieto, J.M. Chemical, structural, and morphological changes of a MoVTeNb catalyst during oxidative dehydrogenation of ethane. ACS Catal. 2014, 4, 1292–1301. [Google Scholar] [CrossRef]
- Aouine, M.; Dubois, J.L.; Millet, J.M.M. Crystal chemistry and phase composition of the MoVTeNbO catalysts for the ammoxidation of propane. Chem. Commun. 2001, 1180–1181. [Google Scholar] [CrossRef]
- Millet, J.M.M.; Baca, M.; Pigamo, A.; Vitry, D.; Ueda, W.; Dubois, J.L. Study of the valence state and coordination of antimony in MoVSbO catalysts determined by XANES and EXAFS. Appl. Catal. A Gen. 2003, 244, 359–370. [Google Scholar] [CrossRef]
- Shiju, N.R.; Liang, X.; Weimer, A.W.; Liang, C.; Dai, S.; Guliants, V.V. The role of surface basal planes of layered mixed metal oxides in selective transformation of lower alkanes: Propane ammoxidation over surface ab planes of Mo-V-Te-Nb-O M1 phase. J. Am. Chem. Soc. 2008, 130, 5850–5851. [Google Scholar] [CrossRef]
- Konya, T.; Katou, T.; Murayama, T.; Ishikawa, S.; Sadakane, M.; Buttrey, D.; Ueda, W. An orthorhombic Mo3VOxcatalyst most active for oxidative dehydrogenation of ethane among related complex metal oxides. Catal. Sci. Technol. 2013, 3, 380–387. [Google Scholar] [CrossRef]
- Baca, M.; Aouine, M.; Dubois, J.; Millet, J. Synergetic effect between phases in MoVTe(Sb)NbO catalysts used for the oxidation of propane into acrylic acid. J. Catal. 2005, 233, 234–241. [Google Scholar] [CrossRef]
- Holmberg, J.; Grasselli, R.K.; Andersson, A. A study of the functionalities of the phases in Mo–V–Nb–Te oxides for propane ammoxidation. Top. Catal. 2003, 23, 55–63. [Google Scholar] [CrossRef]
- He, Q.; Woo, J.; Belianinov, A.; Guliants, V.V.; Borisevich, A.Y. Better catalysts through microscopy: Mesoscale M1/M2 intergrowth in molybdenum-vanadium based complex oxide catalysts for propane ammoxidation. ACS Nano 2015, 9, 3470–3478. [Google Scholar] [CrossRef]
- Korovchenko, P.; Shiju, N.R.; Dozier, A.K.; Graham, U.M.; Guerrero-Pérez, M.O.; Guliants, V.V. M1 to M2 phase transformation and phase cooperation in bulk mixed metal Mo–V–M–O (M = Te, Nb) catalysts for selective ammoxidation of propane. Top. Catal. 2008, 50, 43–51. [Google Scholar] [CrossRef]
- Deniau, B.; Bergeret, G.; Jouguet, B.; Dubois, J.L.; Millet, J.M.M. Preparation of single M1 phase MoVTe(Sb)NbO catalyst: Study of the effect of M2 phase dissolution on the structure and catalytic properties. Top. Catal. 2008, 50, 33–42. [Google Scholar] [CrossRef]
- Baca, M.; Millet, J.M.M. Bulk oxidation state of the different cationic elements in the MoVTe(Sb)NbO catalysts for oxidation or ammoxidation of propane. Appl. Catal. A Gen. 2005, 279, 67–77. [Google Scholar] [CrossRef]
- Hibst, H.; Rosowski, F.; Cox, G. New Cs-containing Mo–V4+ based oxides with the structure of the M1 phase—Base for new catalysts for the direct alkane activation. Catal. Today 2006, 117, 234–241. [Google Scholar] [CrossRef]
- Liu, Y.; McGill, C.J.; Green, W.H.; Deshlahra, P. Effects of surface species and homogeneous reactions on rates and selectivity in ethane oxidation on oxide catalysts. AlChE J. 2021, 67, e17483. [Google Scholar] [CrossRef]
- Kardash, T.Y.; Lazareva, E.; Svintsitskiy, D.A.; Ishchenko, A.V.; Bondareva, V.M.; Neder, R.B. The evolution of the M1 local structure during preparation of VMoNbTeO catalysts for ethane oxidative dehydrogenation to ethylene. RSC Adv. 2018, 8, 35903–35916. [Google Scholar] [CrossRef] [PubMed]
- Celaya Sanfiz, A.; Hansen, T.W.; Girgsdies, F.; Timpe, O.; Rödel, E.; Ressler, T.; Trunschke, A.; Schlögl, R. Preparation of phase-pure M1 MoVTeNb oxide catalysts by hydrothermal synthesis—Influence of reaction parameters on structure and morphology. Top. Catal. 2008, 50, 19–32. [Google Scholar] [CrossRef]
- Grasselli, R.K.; Buttrey, D.J.; Burrington, J.D.; Andersson, A.; Holmberg, J.; Ueda, W.; Kubo, J.; Lugmair, C.G.; Volpe, A.F. Active centers, catalytic behavior, symbiosis and redox properties of MoV(Nb, Ta)TeO ammoxidation catalysts. Top. Catal. 2006, 38, 7–16. [Google Scholar] [CrossRef]
- Mars, P.; van Krevelen, D.W. Oxidations carried out by means of vanadium oxide catalysts. Chem. Eng. Sci. 1954, 3, 41–59. [Google Scholar] [CrossRef]
- Aouine, M.; Epicier, T.; Millet, J.-M.M. In situ environmental STEM study of the MoVTe oxide M1 phase catalysts for ethane oxidative dehydrogenation. ACS Catal. 2016, 6, 4775–4781. [Google Scholar] [CrossRef]
- Watanabe, N.; Ueda, W. Comparative study on the catalytic performance of single-phase Mo−V−O-based metal oxide catalysts in propane ammoxidation to acrylonitrile. Ind. Eng. Chem. Res. 2006, 45, 607–614. [Google Scholar] [CrossRef]
- Rahman, F.; Loughlin, K.F.; Al-Saleh, M.A.; Saeed, M.R.; Tukur, N.M.; Hossain, M.M.; Karim, K.; Mamedov, A. Kinetics and mechanism of partial oxidation of ethane to ethylene and acetic acid over MoV type catalysts. Appl. Catal. A Gen. 2010, 375, 17–25. [Google Scholar] [CrossRef]
- Deniau, B.; Nguyen, T.T.; Delichere, P.; Safonova, O.; Millet, J.M.M. Redox state dynamics at the surface of MoVTe(Sb)NbO M1 phase in selective oxidation of light alkanes. Top. Catal. 2013, 56, 1952–1962. [Google Scholar] [CrossRef]
- Girgsdies, F.; Schlögl, R.; Trunschke, A. In-situ X-ray diffraction study of phase crystallization from an amorphous MoVTeNb oxide catalyst precursor. Catal. Commun. 2012, 18, 60–62. [Google Scholar] [CrossRef]
- Xin, C.; Wang, F.; Xu, G.Q. Tuning surface V5+ concentration in M1 phase MoVSbOx catalysts for ethylene production from ethane through oxidative dehydrogenation reaction. Appl. Catal. A Gen. 2021, 610, 117946. [Google Scholar] [CrossRef]
- López Nieto, J.M.; Botella, P.; Concepción, P.; Dejoz, A.; Vázquez, M.I. Oxidative dehydrogenation of ethane on Te-containing MoVNbO catalysts. Catal. Today 2004, 91–92, 241–245. [Google Scholar] [CrossRef]
- Botella, P.; García-González, E.; López Nieto, J.M.; González-Calbet, J.M. MoVTeNbO multifunctional catalysts: Correlation between constituent crystalline phases and catalytic performance. Solid State Sci. 2005, 7, 507–519. [Google Scholar] [CrossRef]
- Nguyen, T.T.; Aouine, M.; Millet, J.M.M. Optimizing the efficiency of MoVTeNbO catalysts for ethane oxidative dehydrogenation to ethylene. Catal. Commun. 2012, 21, 22–26. [Google Scholar] [CrossRef]
- Botella, P.; Dejoz, A.; Abello, M.C.; Vázquez, M.I.; Arrúa, L.; López Nieto, J.M. Selective oxidation of ethane: Developing an orthorhombic phase in Mo–V–X (X = Nb, Sb, Te) mixed oxides. Catal. Today 2009, 142, 272–277. [Google Scholar] [CrossRef]
- Sanfiz, A.C.; Hansen, T.W.; Teschner, D.; Schnörch, P.; Girgsdies, F.; Trunschke, A.; Schlögl, R.; Looi, M.H.; Hamid, S.B.A. Dynamics of the MoVTeNb oxide M1 phase in propane oxidation. J. Phys. Chem. C 2010, 114, 1912–1921. [Google Scholar] [CrossRef]
- Naraschewski, F.N.; Praveen Kumar, C.; Jentys, A.; Lercher, J.A. Phase formation and selective oxidation of propane over MoVTeNbOx catalysts with varying compositions. Appl. Catal. A Gen. 2011, 391, 63–69. [Google Scholar] [CrossRef]
- Blom, D.A.; Li, X.; Mitra, S.; Vogt, T.; Buttrey, D.J. STEM HAADF image simulation of the orthorhombic M1 phase in the Mo-V-Nb-Te-O propane oxidation catalyst. ChemCatChem 2011, 3, 1028–1033. [Google Scholar] [CrossRef]
- Murayama, H.; Vitry, D.; Ueda, W.; Fuchs, G.; Anne, M.; Dubois, J.L. Structure characterization of orthorhombic phase in MoVTeNbO catalyst by powder X-ray diffraction and XANES. Appl. Catal. A Gen. 2007, 318, 137–142. [Google Scholar] [CrossRef]
- Pyrz, W.D.; Blom, D.A.; Shiju, N.R.; Guliants, V.V.; Vogt, T.; Buttrey, D.J. Using aberration-corrected STEM imaging to explore chemical and structural variations in the M1 phase of the MoVNbTeO oxidation catalyst. J. Phys. Chem. C 2008, 112, 10043–10049. [Google Scholar] [CrossRef]
- Pyrz, W.D.; Blom, D.A.; Vogt, T.; Buttrey, D.J. Direct imaging of the MoVTeNbO M1 phase using an aberration-corrected high-resolution scanning transmission electron microscope. Angew. Chem. Int. Ed. Engl. 2008, 47, 2788–2791. [Google Scholar] [CrossRef] [PubMed]
- Concepción, P.; Hernández, S.; López Nieto, J.M. On the nature of active sites in MoVTeO and MoVTeNbO catalysts: The influence of catalyst activation temperature. Appl. Catal. A Gen. 2011, 391, 92–101. [Google Scholar] [CrossRef]
- Fu, G.; Xu, X.; Lu, X.; Wan, H. Mechanisms of initial propane activation on molybdenum oxides: A density functional theory study. J. Phys. Chem. B 2005, 109, 6416–6421. [Google Scholar] [CrossRef]
- Guliants, V.V.; Bhandari, R.; Brongersma, H.H.; Knoester, A.; Gaffney, A.M.; Han, S. A study of the surface region of the Mo-V-Te-O catalysts for propane oxidation to acrylic acid. J. Phys. Chem. B 2005, 109, 10234–10242. [Google Scholar] [CrossRef] [PubMed]
- Zhang, W.; Trunschke, A.; Schlögl, R.; Su, D. Real-space observation of surface termination of a complex metal oxide catalyst. Angew. Chem. Int. Ed. Engl. 2010, 49, 6084–6089. [Google Scholar] [CrossRef]
- Trunschke, A.; Noack, J.; Trojanov, S.; Girgsdies, F.; Lunkenbein, T.; Pfeifer, V.; Hävecker, M.; Kube, P.; Sprung, C.; Rosowski, F.; et al. The impact of the bulk structure on surface dynamics of complex Mo–V-based oxide catalysts. ACS Catal. 2017, 7, 3061–3071. [Google Scholar] [CrossRef]
- Zhu, Y.; Sushko, P.V.; Melzer, D.; Jensen, E.; Kovarik, L.; Ophus, C.; Sanchez-Sanchez, M.; Lercher, J.A.; Browning, N.D. Formation of oxygen radical sites on MoVNbTeOx by cooperative electron redistribution. J. Am. Chem. Soc. 2017, 139, 12342–12345. [Google Scholar] [CrossRef]
- Melzer, D.; Mestl, G.; Wanninger, K.; Zhu, Y.; Browning, N.D.; Sanchez-Sanchez, M.; Lercher, J.A. Design and synthesis of highly active MoVTeNb-oxides for ethane oxidative dehydrogenation. Nat. Commun. 2019, 10, 4012. [Google Scholar] [CrossRef] [PubMed]
- Panov, G.I.; Dubkov, K.A.; Starokon, E.V. Active oxygen in selective oxidation catalysis. Catal. Today 2006, 117, 148–155. [Google Scholar] [CrossRef]
- Sadovskaya, E.; Goncharov, V.; Popova, G.; Ishchenko, E.; Frolov, D.; Fedorova, A.; Andrushkevich, T. Mo-V-Te-Nb oxide catalysts: Reactivity of different oxygen species in partial and deep oxidation. J. Mol. Catal. A Chem. 2014, 392, 61–66. [Google Scholar] [CrossRef]
- Sadakane, M.; Ohmura, S.; Kodato, K.; Fujisawa, T.; Kato, K.; Shimidzu, K.-I.; Murayama, T.; Ueda, W. Redox tunable reversible molecular sieves: Orthorhombic molybdenum vanadium oxide. Chem. Commun. 2011, 47, 10812–10814. [Google Scholar] [CrossRef] [PubMed]
- Ishikawa, S.; Yi, X.; Murayama, T.; Ueda, W. Catalysis field in orthorhombic Mo3VOx oxide catalyst for the selective oxidation of ethane, propane and acrolein. Catal. Today 2014, 238, 35–40. [Google Scholar] [CrossRef]
- Ishikawa, S.; Yi, X.D.; Murayama, T.; Ueda, W. Heptagonal channel micropore of orthorhombic Mo3VOx as catalysis field for the selective oxidation of ethane. Appl. Catal. A Gen. 2014, 474, 10–17. [Google Scholar] [CrossRef]
- Ishikawa, S.; Kobayashi, D.; Konya, T.; Ohmura, S.; Murayama, T.; Yasuda, N.; Sadakane, M.; Ueda, W. Redox treatment of orthorhombic Mo29V11O112 and relationships between crystal structure, microporosity and catalytic performance for selective oxidation of ethane. J. Phys. Chem. C 2015, 119, 7195–7206. [Google Scholar] [CrossRef]
- Annamalai, L.; Ezenwa, S.; Dang, Y.; Tan, H.; Suib, S.L.; Deshlahra, P. Comparison of structural and catalytic properties of monometallic Mo and V oxides and M1 phase mixed oxides for oxidative dehydrogenation. Catal. Today 2021, 368, 28–45. [Google Scholar] [CrossRef]
- Annamalai, L.; Liu, Y.; Ezenwa, S.; Dang, Y.; Suib, S.L.; Deshlahra, P. Influence of tight confinement on selective oxidative dehydrogenation of ethane on MoVTeNb mixed oxides. ACS Catal. 2018, 8, 7051–7067. [Google Scholar] [CrossRef]
- Liu, Y.; Annamalai, L.; Deshlahra, P. Effects of lattice O atom coordination and pore confinement on selectivity limitations for ethane oxidative dehydrogenation catalyzed by vanadium-oxo species. J. Phys. Chem. C 2019, 123, 28168–28191. [Google Scholar] [CrossRef]
- Liu, Y.; Twombly, A.; Dang, Y.; Mirich, A.; Suib, S.L.; Deshlahra, P. Roles of enhancement of C−H activation and diminution of C−O formation within M1-phase pores in propane selective oxidation. ChemCatChem 2020, 13, 882–899. [Google Scholar] [CrossRef]
- López-Medina, R.; Sobczak, I.; Golinska-Mazwa, H.; Ziolek, M.; Bañares, M.A.; Guerrero-Pérez, M.O. Spectroscopic surface characterization of MoVNbTe nanostructured catalysts for the partial oxidation of propane. Catal. Today 2012, 187, 195–200. [Google Scholar] [CrossRef]
- Heine, C.; Hävecker, M.; Sanchez-Sanchez, M.; Trunschke, A.; Schlögl, R.; Eichelbaum, M. Work function, band bending, and microwave conductivity studies on the selective alkane oxidation catalyst MoVTeNb oxide (orthorhombic M1 phase) under operation conditions. J. Phys. Chem. C 2013, 117, 26988–26997. [Google Scholar] [CrossRef]
- Naumann d’Alnoncourt, R.; Csepei, L.-I.; Hävecker, M.; Girgsdies, F.; Schuster, M.E.; Schlögl, R.; Trunschke, A. The reaction network in propane oxidation over phase-pure MoVTeNb M1 oxide catalysts. J. Catal. 2014, 311, 369–385. [Google Scholar] [CrossRef]
- Kubas, A.; Noak, J.; Trunschke, A.; Schlogl, R.; Neese, F.; Maganas, D. A combined experimental and theoretical spectroscopic protocol for determination of the structure of heterogeneous catalysts: Developing the information content of the resonance Raman spectra of M1 MoVOx. Chem. Sci. 2017, 8, 6338–6353. [Google Scholar] [CrossRef] [PubMed]
- Svintsitskiy, D.A.; Kardash, T.Y.; Lazareva, E.V.; Saraev, A.A.; Derevyannikova, E.A.; Vorokhta, M.; Šmíd, B.; Bondareva, V.M. NAP-XPS and in situ XRD study of the stability of Bi-modified MoVNbTeO catalysts for oxidative dehydrogenation of ethane. Appl. Catal. A Gen. 2019, 579, 141–150. [Google Scholar] [CrossRef]
- Ramírez-Salgado, J.; Quintana-Solórzano, R.; Mejía-Centeno, I.; Armendáriz-Herrera, H.; Rodríguez-Hernández, A.; Guzmán-Castillo, M.d.L.; Valente, J.S. On the role of oxidation states in the electronic structure via the formation of oxygen vacancies of a doped MoVTeNbOx in propylene oxidation. Appl. Surf. Sci. 2022, 573, 151428. [Google Scholar] [CrossRef]
- Al-Ghamdi, S.; Volpe, M.; Hossain, M.M.; de Lasa, H. VOx/c-Al2O3 catalyst for oxidative dehydrogenation of ethane to ethylene: Desorption kinetics and catalytic activity. Appl. Catal. A Gen. 2013, 450, 120–130. [Google Scholar] [CrossRef]
- Cheng, M.J.; Goddard, W.A., 3rd. In silico design of highly selective Mo-V-Te-Nb-O mixed metal oxide catalysts for ammoxidation and oxidative dehydrogenation of propane and ethane. J. Am. Chem. Soc. 2015, 137, 13224–13227. [Google Scholar] [CrossRef]
- Cheng, M.J.; Goddard, W.A. The mechanism of alkane selective oxidation by the M1 phase of Mo–V–Nb–Te mixed metal oxides: Suggestions for improved catalysts. Top. Catal. 2016, 59, 1506–1517. [Google Scholar] [CrossRef]
- Grabowski, R. Kinetics of oxidative dehydrogenation of C2-C3 alkanes on oxide catalysts. Catal. Rev. 2006, 48, 199–268. [Google Scholar] [CrossRef]
- Valente, J.S.; Quintana-Solórzano, R.; Armendáriz-Herrera, H.; Barragán-Rodríguez, G.; López-Nieto, J.M. Kinetic study of oxidative dehydrogenation of ethane over MoVTeNb mixed-oxide catalyst. Ind. Eng. Chem. Res. 2013, 53, 1775–1786. [Google Scholar] [CrossRef]
- Che-Galicia, G.; Quintana-Solorzano, R.; Ruiz-Martinez, R.S.; Valente, J.S.; Castillo-Araiza, C.O. Kinetic modeling of the oxidative dehydrogenation of ethane to ethylene over a MoVTeNbO catalytic system. Chem. Eng. J. 2014, 252, 75–88. [Google Scholar] [CrossRef]
- Donaubauer, P.J.; Melzer, D.M.; Wanninger, K.; Mestl, G.; Sanchez-Sanchez, M.; Lercher, J.A.; Hinrichsen, O. Intrinsic kinetic model for oxidative dehydrogenation of ethane over MoVTeNb mixed metal oxides: A mechanistic approach. Chem. Eng. J. 2020, 383, 123195. [Google Scholar] [CrossRef]
- Gaffney, A.M.; Sims, J.W.; Martin, V.J.; Duprez, N.V.; Louthan, K.J.; Roberts, K.L. Evaluation and analysis of ethylene production using oxidative dehydrogenation. Catal. Today 2021, 369, 203–209. [Google Scholar] [CrossRef]
- Kubo, J.; Watanabe, N.; Ueda, W. Propane ammoxidation with lattice oxygen of Mo–V–O-based complex metal oxide catalysts. Chem. Eng. Sci. 2008, 63, 1648–1653. [Google Scholar] [CrossRef]
- De Arriba, A.; Solsona, B.; Dejoz, A.M.; Concepción, P.; Homs, N.; de la Piscina, P.R.; López Nieto, J.M. Evolution of the optimal catalytic systems for the oxidative dehydrogenation of ethane: The role of adsorption in the catalytic performance. J. Catal. 2022, 408, 388–400. [Google Scholar] [CrossRef]
- Grant, J.T.; Venegas, J.M.; McDermott, W.P.; Hermans, I. Aerobic oxidations of light alkanes over solid metal oxide catalysts. Catal. Rev. 2018, 118, 2769–2815. [Google Scholar] [CrossRef]
- Mestl, G.; Margitfalvi, J.L.; Végvári, L.; Szijjártó, G.P.; Tompos, A. Combinatorial design and preparation of transition metal doped MoVTe catalysts for oxidation of propane to acrylic acid. Appl. Catal. A Gen. 2014, 474, 3–9. [Google Scholar] [CrossRef]
- Hernández-Morejudo, S.; Massó, A.; García-González, E.; Concepción, P.; López Nieto, J.M. Preparation, characterization and catalytic behavior for propane partial oxidation of Ga-promoted MoVTeO catalysts. Appl. Catal. A Gen. 2015, 504, 51–61. [Google Scholar] [CrossRef]
- Ishchenko, E.V.; Kardash, T.Y.; Gulyaev, R.V.; Ishchenko, A.V.; Sobolev, V.I.; Bondareva, V.M. Effect of K and Bi doping on the M1 phase in MoVTeNbO catalysts for ethane oxidative conversion to ethylene. Appl. Catal. A Gen. 2016, 514, 1–13. [Google Scholar] [CrossRef]
- Yun, Y.S.; Lee, M.; Sung, J.; Yun, D.; Kim, T.Y.; Park, H.; Lee, K.R.; Song, C.K.; Kim, Y.; Lee, J.; et al. Promoting effect of cerium on MoVTeNb mixed oxide catalyst for oxidative dehydrogenation of ethane to ethylene. Appl. Catal. B Environ. 2018, 237, 554–562. [Google Scholar] [CrossRef]
- Ishchenko, E.V.; Gulyaev, R.V.; Kardash, T.Y.; Ishchenko, A.V.; Gerasimov, E.Y.; Sobolev, V.I.; Bondareva, V.M. Effect of Bi on catalytic performance and stability of MoVTeNbO catalysts in oxidative dehydrogenation of ethane. Appl. Catal. A Gen. 2017, 534, 58–69. [Google Scholar] [CrossRef]
- Lazareva, E.V.; Bondareva, V.M.; Svintsitskiy, D.A.; Ishchenko, A.V.; Marchuk, A.S.; Kovalev, E.P.; Kardash, T.Y. Oxidative dehydrogenation of ethane over M1 MoVNbTeO catalysts modified by the addition of Nd, Mn, Ga or Ge. Catal. Today 2021, 361, 50–56. [Google Scholar] [CrossRef]
- Zhou, Y.; Lin, J.; Li, L.; Tian, M.; Li, X.; Pan, X.; Chen, Y.; Wang, X. Improving the selectivity of Ni-Al mixed oxides with isolated oxygen species for oxidative dehydrogenation of ethane with nitrous oxide. J. Catal. 2019, 377, 438–448. [Google Scholar] [CrossRef]
- Najari, S.; Saeidi, S.; Concepcion, P.; Dionysiou, D.D.; Bhargava, S.K.; Lee, A.F.; Wilson, K. Oxidative dehydrogenation of ethane: Catalytic and mechanistic aspects and future trends. Chem. Soc. Rev. 2021, 50, 4564–4605. [Google Scholar] [CrossRef] [PubMed]
- Zenkovets, G.A.; Shutilov, A.A.; Bondareva, V.M.; Sobolev, V.I.; Marchuk, A.S.; Tsybulya, S.V.; Prosvirin, I.P.; Ishchenko, A.V.; Gavrilov, V.Y. New multicomponent MoVSbNbCeOx/SiO2 catalyst with enhanced catalytic activity for oxidative dehydrogenation of ethane to ethylene. ChemCatChem 2020, 12, 4149–4159. [Google Scholar] [CrossRef]
- López-Medina, R.; Guerrero-Pérez, M.O.; Bañares, M.A. Nanosized-bulk V-containing mixed-oxide catalysts: A strategy for the improvement of the catalytic materials properties. New J. Chem. 2019, 43, 17661–17669. [Google Scholar] [CrossRef]
- Massó Ramírez, A.; Ivars-Barceló, F.; López Nieto, J.M. Optimizing reflux synthesis method of Mo-V-Te-Nb mixed oxide catalysts for light alkane selective oxidation. Catal. Today 2020, 356, 322–329. [Google Scholar] [CrossRef]
- Ramli, I.; Botella, P.; Ivars, F.; Pei Meng, W.; Zawawi, S.M.M.; Ahangar, H.A.; Hernández, S.; Nieto, J.M.L. Reflux method as a novel route for the synthesis of MoVTeNbOx catalysts for selective oxidation of propane to acrylic acid. J. Mol. Catal. A Chem. 2011, 342–343, 50–57. [Google Scholar] [CrossRef]
- Fan, Y.; Li, S.; Liu, Y.; Wang, Y.; Wang, Y.; Chen, Y.; Yu, S. High-pressure hydrothermal synthesis of MoVTeNbOx with high surface V5+ abundance for oxidative conversion of propane to acrylic acid. J. Supercrit. Fluids 2022, 181, 105469. [Google Scholar] [CrossRef]
- Wang, Y.; Fan, Y.; Li, S.; Wang, Y.; Chen, Y.; Liu, D.; Wei, W.; Yu, S. Crystal structure and catalytic performance for direst oxidation of propylene to acrylic acid of MoVTeNbOx prepared by high-pressure hydrothermal synthesis. Resour. Chem. Mater. 2022, 1, 211–221. [Google Scholar] [CrossRef]
- Li, S.; Liu, Y.; Fan, Y.; Lu, Z.; Yan, Y.; Deng, L.; Zhang, Z.; Yu, S. Facile sub-/supercritical water synthesis of nanoflake MoVTeNbO x -mixed metal oxides without post-heat treatment and their catalytic performance. RSC Adv. 2020, 10, 39922–39930. [Google Scholar] [CrossRef] [PubMed]
- Yi, J.P.; Fan, Z.G.; Jiang, Z.W.; Li, W.S.; Zhou, X.P. High-throughput parallel reactor system for propylene oxidation catalyst investigation. J. Comb. Chem. 2007, 9, 1053–1059. [Google Scholar] [CrossRef] [PubMed]
- Bergh, S.; Cong, P.; Ehnebuske, B.; Guan, S.; Hagemeyer, A.; Lin, H.; Liu, Y.; Lugmair, C.G.; Turner, H.W.; Volpe, A.F., Jr.; et al. Combinatorial heterogeneous catalysis: Oxidative dehydrogenation of ethane to ethylene, selective oxidation of ethane to acetic acid, and selective ammoxidation of propane to acrylonitrile. Top. Catal. 2003, 23, 65–79. [Google Scholar] [CrossRef]
- Zhu, H.; Laveille, P.; Rosenfeld, D.C.; Hedhili, M.N.; Basset, J.-M. A high-throughput reactor system for optimization of Mo–V–Nb mixed oxide catalyst composition in ethane ODH. Catal. Sci. Technol. 2015, 5, 4164–4173. [Google Scholar] [CrossRef]
- Dalian Institute of Chemical Technology—Wison Engineering’s Joint Development of Ethane Oxidative Dehydrogenation to Ethylene Technology Passed Pilot Technical Evaluation. Available online: http://www.wison-engineering.com/site/newsDetail/305 (accessed on 13 September 2021).
- Nguyen, T.T.; Burel, L.; Nguyen, D.L.; Pham-Huu, C.; Millet, J.M.M. Catalytic performance of MoVTeNbO catalyst supported on SiC foam in oxidative dehydrogenation of ethane and ammoxidation of propane. Appl. Catal. A Gen. 2012, 433, 41–48. [Google Scholar] [CrossRef]
- Lin, J.; Tian, J.; Cheng, X.; Tan, J.; Wan, S.; Lin, J.; Wang, Y. Propane ammoxidation over MoVTeNb oxide catalyst in a microchannel reactor. AlChE J. 2018, 64, 4002–4008. [Google Scholar] [CrossRef]
- Che-Galicia, G.; Ruiz-Martínez, R.S.; López-Isunza, F.; Castillo-Araiza, C.O. Modeling of oxidative dehydrogenation of ethane to ethylene on a MoVTeNbO/TiO2 catalyst in an industrial-scale packed bed catalytic reactor. Chem. Eng. J. 2015, 280, 682–694. [Google Scholar] [CrossRef]
- Chen, J.K.; Bollini, P.; Balakotaiah, V. Oxidative dehydrogenation of ethane over mixed metal oxide catalysts: Autothermal or cooled tubular reactor design? AlChE J. 2021, 67, e17168. [Google Scholar] [CrossRef]
- Fazlinezhad, A.; Naeimi, A.; Yasari, E. Theoretical investigation of ethane oxidative dehydrogenation over MoVTeNbO catalyst in fixed-bed reactors with intermediate water removal. Chem. Eng. Res. Des. 2019, 146, 427–435. [Google Scholar] [CrossRef]
- Baroi, C.; Gaffney, A.M.; Fushimi, R. Process economics and safety considerations for the oxidative dehydrogenation of ethane using the M1 catalyst. Catal. Today 2017, 298, 138–144. [Google Scholar] [CrossRef]
- Yusuf, S.; Neal, L.M.; Li, F. Effect of promoters on manganese-containing mixed metal oxides for oxidative dehydrogenation of ethane via a cyclic redox scheme. ACS Catal. 2017, 7, 5163–5173. [Google Scholar] [CrossRef]
- Neal, L.M.; Haribal, V.P.; Li, F. Intensified ethylene production via chemical looping through an exergetically efficient redox scheme. iScience 2019, 19, 894–904. [Google Scholar] [CrossRef] [PubMed]
- Chan, M.S.C.; Baldovi, H.G.; Dennis, J.S. Enhancing the capacity of oxygen carriers for selective oxidations through phase cooperation: Bismuth oxide and ceria–zirconia. Catal. Sci. Technol. 2018, 8, 887–897. [Google Scholar] [CrossRef]
- Wu, T.; Yu, Q.; Roghair, I.; Wang, K.; van Sint Annaland, M. Chemical looping oxidative dehydrogenation of propane: A comparative study of Ga-based, Mo-based, V-based oxygen carriers. Chem. Eng. Process. Process Intensif. 2020, 157, 108137. [Google Scholar] [CrossRef]
- Bakare, I.A.; Mohamed, S.A.; Al-Ghamdi, S.; Razzak, S.A.; Hossain, M.M.; de Lasa, H.I. Fluidized bed ODH of ethane to ethylene over VOx–MoOx/γ-Al2O3 catalyst: Desorption kinetics and catalytic activity. Chem. Eng. J. 2015, 278, 207–216. [Google Scholar] [CrossRef]
- Mishanin, I.I.; Kalenchuk, A.N.; Maslakov, K.I.; Lunin, V.V.; Koklin, A.E.; Finashina, E.D.; Bogdan, V.I. Oxidative dehydrogenation of ethane over a Mo–V–Nb–Te–O mixed-oxide catalyst in a cyclic mode. Kinet. Catal. 2017, 58, 156–160. [Google Scholar] [CrossRef]
- Luongo, G.; Donat, F.; Bork, A.H.; Willinger, E.; Landuyt, A.; Müller, C.R. Highly selective oxidative dehydrogenation of ethane to ethylene via chemical looping with oxygen uncoupling through structural engineering of the oxygen carrier. Adv. Energy Mater. 2022, 12, 2200405. [Google Scholar] [CrossRef]
- Liu, J.; He, N.; Zhang, Z.; Yang, J.; Jiang, X.; Zhang, Z.; Su, J.; Shu, M.; Si, R.; Xiong, G.; et al. Highly-dispersed zinc species on zeolites for the continuous and selective dehydrogenation of ethane with CO2 as a soft oxidant. ACS Catal. 2021, 11, 2819–2830. [Google Scholar] [CrossRef]
- Zhang, P.; Tong, J.; Huang, K. Role of CO2 in catalytic ethane-to-ethylene conversion using a high-temperature CO2 transport membrane reactor. ACS Sustain. Chem. Eng. 2019, 7, 6889–6897. [Google Scholar] [CrossRef]
- Al-Mamoori, A.; Lawson, S.; Rownaghi, A.A.; Rezaei, F. Oxidative dehydrogenation of ethane to ethylene in an integrated CO2 capture-utilization process. Appl. Catal. B Environ. 2020, 278, 119329. [Google Scholar] [CrossRef]

























| Technique | Ref. |
|---|---|
| STEM | [62] |
| (NAP) XPS | [14,96,97,99,101] |
| NEXAFS | [101] |
| XRD | [66,97,99] |
| Raman | [95] |
| FTIR | [95] |
| Reaction | ||
|---|---|---|
| Main reaction | ||
| Side reactions | ||
Disclaimer/Publisher’s Note: The statements, opinions and data contained in all publications are solely those of the individual author(s) and contributor(s) and not of MDPI and/or the editor(s). MDPI and/or the editor(s) disclaim responsibility for any injury to people or property resulting from any ideas, methods, instructions or products referred to in the content. |
© 2023 by the authors. Licensee MDPI, Basel, Switzerland. This article is an open access article distributed under the terms and conditions of the Creative Commons Attribution (CC BY) license (https://creativecommons.org/licenses/by/4.0/).
Share and Cite
Chen, Y.; Yan, B.; Cheng, Y. State-of-the-Art Review of Oxidative Dehydrogenation of Ethane to Ethylene over MoVNbTeOx Catalysts. Catalysts 2023, 13, 204. https://doi.org/10.3390/catal13010204
Chen Y, Yan B, Cheng Y. State-of-the-Art Review of Oxidative Dehydrogenation of Ethane to Ethylene over MoVNbTeOx Catalysts. Catalysts. 2023; 13(1):204. https://doi.org/10.3390/catal13010204
Chicago/Turabian StyleChen, Yuxin, Binhang Yan, and Yi Cheng. 2023. "State-of-the-Art Review of Oxidative Dehydrogenation of Ethane to Ethylene over MoVNbTeOx Catalysts" Catalysts 13, no. 1: 204. https://doi.org/10.3390/catal13010204
APA StyleChen, Y., Yan, B., & Cheng, Y. (2023). State-of-the-Art Review of Oxidative Dehydrogenation of Ethane to Ethylene over MoVNbTeOx Catalysts. Catalysts, 13(1), 204. https://doi.org/10.3390/catal13010204

