Abstract
This review covers articles published in the period from 2010 to mid-2022 on synthetic advances in the formation of pyrimidine and related heterocyclic compounds. Special emphasis has been given to the different types of cycloadditions, taking into account the number of their components and leading to the formation of the pyrimidine ring. Due to the large number of publications on the Biginelli reaction and related reactions, this will be dealt with in a separate review in the near future.
1. Introduction
Compounds with pyrimidine rings and analogs have attained considerable interest in the last years because of their properties [1,2,3,4,5]. In this review, we focus on the latest syntheses of these compounds, emphasizing those that use cyclization reactions and cycloadditions of two or more components. We are interested in those pyrimidines and analogous compounds such as pyrimidinones, pyrimidinethiones and other pyrimidine-related scaffolds. The synthesis of pyrimidines with substituted or decorated rings is only considered when the principal functionalization is included in the starting components and is involved in the cyclization or cyclocondensation processes. Works whose primary objective is to modify the substitution of an already formed pyrimidine ring are not described.
In addition, we consider those less well-known reactions with the formation of new rings by expansion or contraction of other types of rings. In this review, we analyze the synthetic aspect of these compounds as a principal point of view. Their biological and medical applications have been well described in a plethora of reviews in the last years [6,7,8,9,10,11,12]. We summarize the published findings reported mainly from 2010 to mid-2022. It is worth noting the growing number of emerging publications in this field in the last years [13]. Owing to the number of reports about pyrimidine derivatives, we apologize to researchers whose important publications might be left out.
The multicomponent approach (MCR) is especially appealing to form the pyrimidine core and other heterocyclic compounds [14,15,16]. Much diversity can be readily achieved simply by varying the reacting components. The two most known multicomponent reactions to form N-containing heterocycles are Hantzsch’s (1881) [17] dihydropyridine synthesis and Biginelli’s (1893) [18] 3,4-dihydropyrimidin-2(1H)-one synthesis to form pyrimidine frameworks. These reactions were reported a long time ago; however, after years with much interest [19] and later with a discreet number of publications, the Biginelli reaction has been intensively studied in the last two decades [20,21]. The principal reason is the large number of applications of synthesized dihydropyrimidinone and related compounds [22]. Most of the applications of these products are in the field of biochemistry and medicine [23,24]. More information on the Biginelli-type reaction will be given in a following review. We now focus on other types of strategies for forming the pyrimidine core.
2. Strategies to Compose the Pyrimidine Core
By analyzing the pyrimidine framework, one can consider diverse options of cycloadditions to form pyrimidine rings. We distinguish them considering the number of components and the atomic composition of each of the fragments. The corresponding reactions are revised below. Figure 1 depicts the numbers of the schemes corresponding to each type, where the reactions are described.
Figure 1.
Formation of pyrimidine core from diverse numbers of components.
2.1. Two-Component Cycloadditions
The usefulness of these strategies to form the pyrimidine core can be found in the literature [25]. As a matter of fact, in the period considered in this review, a large number of examples have been reported starting from two components [26,27,28,29,30,31,32,33,34,35,36,37,38,39,40,41,42,43,44,45,46,47,48,49,50,51,52,53,54,55,56,57,58,59,60,61,62,63,64,65]. In the following schemes, information is given on those reactions which can be included in this group. The classification has been made according to the four types considered in Figure 1, for two-component reactions, starting with the one with the largest components [5+1].
2.1.1. [5+1] Cycloadditions
The [5+1] annulation of enamidines 2 with N,N-dimethylformamide dialkyl acetals 4 has been described. This process leads to the synthesis of tri- and tetrasubstituted pyrimidine derivatives 3 under catalyst- and solvent-free reaction conditions (Scheme 1) [26]. These intermediate enamidines 2 were prepared from functionalized silanes, organolithium compounds and two nitriles. Furthermore, the [5+1] annulation of enamidines using orthoesters 5 with a catalytic amount of ZnBr2 was also considered, yielding polysubstituted pyrimidines (Scheme 1) [26].
Scheme 1.
Synthesis of tri- and tetrasubstituted pyrimidine derivatives 3.
The diversity of two-or-more-component pyrimidine syntheses starting from alkynes has been well documented [27]. Some examples are described below.
2.1.2. [4+2] Cycloadditions
An original route to prepare multifunctionalized pyrimidines involved in the in situ generation of ketimines from alkynes and sulfonyl azides. Thus, the synthesis of a novel class of sulfonamide pyrimidine derivatives 10 via a copper-catalyzed tandem reaction of trichloroacetonitrile, 1,1,3,3-tetramethylguanidine (6), sulfonyl azides and terminal alkynes 7 has been described with high yields (up to 87%) [28]. The intermediates 8 and 9 via a [4+2]-A condensation gave the targeted pyrimidines 10 (Scheme 2).
Scheme 2.
Synthesis of sulfonamide pyrimidines 10 from trichloroacetonitrile, 1,1,3,3-tetramethylguanidine (6), sulfonyl azides and terminal alkynes 7.
A methodology [4+2]-A to prepare 2-trifluoromethylpyrimidines 14 has been developed based on a cyclization reaction of 2-trifluoromethyl 1,3-diazabutadienes 13 [29]. These intermediates were prepared by the condensation of trifluoroacetamidine 11 and amide acetals 12 or with chloromethaniminium salt derived from N,N-dimethylbenzamide with phosphorus oxychloride. The cycloaddition reactions of these 2-trifluoromethyl-1,3-diazabutadienes 13 with dimethyl acetylenedicarboxylate and phenylacetyl chloride provided 2-trifluoromethylpyrimidine derivatives 14 and 15 in a regular to moderate overall yield (Scheme 3).
Scheme 3.
Synthesis of 2-trifluoromethylpyrimidines 14 and 15.
A particular case of [4+2] cycloaddition involves triazines using a Diels–Alder-type reaction. Recently, a review on triazines, their syntheses and inverse electron-demand Diels–Alder reactions, focusing on the application of obtaining heterocycles with nitrogen, has been published [30]. As an example of their usefulness, a series of 4,5 disubstituted-or 4-monosubstituted-pyrimidine 18 was obtained by an organocatalytic inverse electron-demand Diels–Alder reaction of a variety of ketones 16 with 1,3,5-triazine 17 through enamine catalysis. Good yields and high levels of regioselectivity were reported (Scheme 4) [31].
Scheme 4.
Synthesis of pyrimidines 18 from ketones 16 and triazines 17.
More recently, a similar strategy, but with TFA-catalyzed reactions of electron-deficient 1,3,5-triazines 19 and aldehydes/ketones 16, was described [32]. Highly functionalized pyrimidines 20 were obtained as products in fair-to-good yields. The reaction mechanism was carefully studied by the combination of experimental and computational studies. The reactions involved a cascade of stepwise inverse electron-demand hetero-Diels–Alder reactions, followed by retro-Diels–Alder reactions and the elimination of water. Both Diels–Alder reactions required TFA. The yields were higher when cyclic ketones were used. (Scheme 5).
Scheme 5.
Synthesis of pyrimidines 20 from substituted triazines 19 and ketones 16.
Amidines are another group of compounds that can be used in cyclization reactions of two or more components. Substituted amidines are useful intermediates in the synthesis of many heterocyclic compounds, not only for pyrimidines. Consequently, several reviews have been devoted to the application of amidines as condensation agents to form heterocyclic rings [33,34].
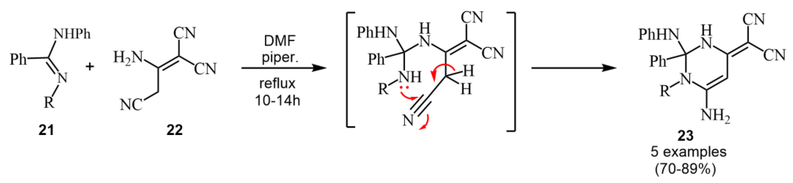
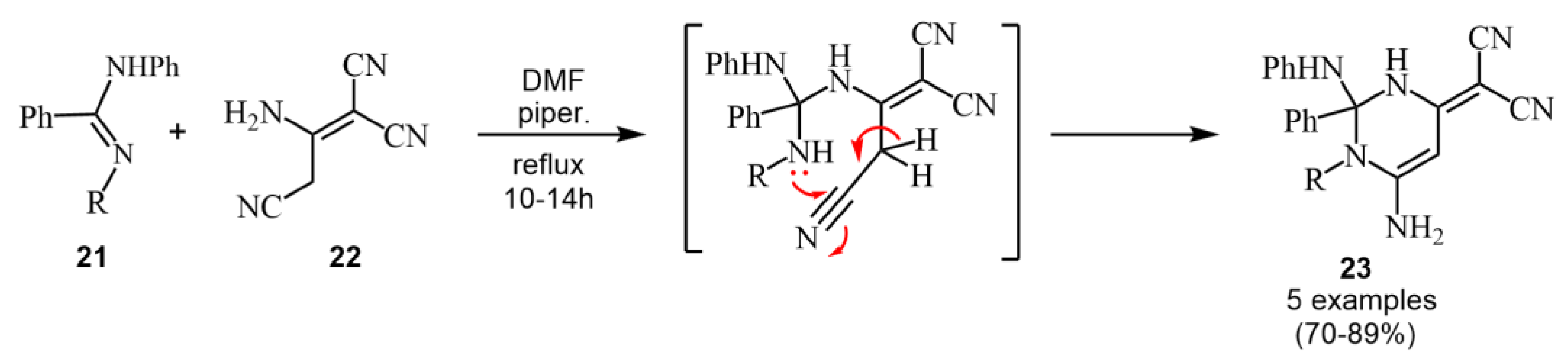
Amidines can react with malononitrile dimer in a [4+2]-B cyclocondensation, as reported by Aly’s group [35]. The reaction occurred via an amination process followed by cyclization to give racemic 6-aminopyrimidine compounds 23, which were catalyzed with piperidine in DMF. Amidine compounds 21 that have aryl groups with electron-donating or electron-withdrawing substituents on the benzene ring were selected to examine their respective effect on the course of the reaction. The yield was higher in the case of electron-donating substituents, p-methoxy (89%), than for the withdrawing nitro group (70%) (Scheme 6).
Scheme 6.
Synthesis of pyrimidines 23 from amidines and malononitrile dimer.
An enantioselective rhodium-catalyzed [4+2]-B cycloaddition was performed from α,β-unsaturated imines 24 and isocyanates 25, obtaining pyrimidinones 26 with a high enantioselectivity and moderate-to-good yields. The reaction was catalyzed by a phosphoramidite–Rh complex, affording a substitution pattern complementary to that of Biginelli adducts (Scheme 7) [36].
Scheme 7.
Synthesis of pyrimidinones 27 from α,β-unsaturated imines 24 and isocyanates 25.
An [4+2]-B condensation starting from β-enaminones was described by Campagne´s group [37]. These authors achieved, with (Z)-selectivity, several N-Cbz-β-enaminones 29 through a novel base-catalyzed isomerization from propargylic N-hydroxylamines 28. The use of NaOH as a base was crucial to improve the yield of the reaction. The role of the R2 substituent was also important. In fact, for R2 = tBu, Ph, p-Tol, a propargylic by-product was formed in significant proportion. The usefulness of these enaminones was to obtain 2,4,6-trisubstituted pyrimidines 30, as they could be condensed with various carboxamides, under basic conditions, in gram scale, in moderate-to-good yields (Scheme 8).
Scheme 8.
Synthesis of pyrimidines 30 from β-enaminones 29.
Later, amino acid-derived carboxamides were also employed in this reaction, providing chiral pyrimidine derivatives 34 and 35 in modest yields. The obtained pyrimidines were studied with NMR and DFT methods (Scheme 9) [38].
Scheme 9.
Synthesis of pyrimidines 34 and 35 from amino acid-derived carboxamides.
Anderson and Boger [39] published a systematic study of the inverse electron-demand Diels–Alder reactions of 1,2,3-triazines. The study revealed not only that the reactivity may be predictably modulated by a C-5 substituent (R = CO2Me > Ph > H), but also that the application of this methodology is broadened to heterocyclic ring systems as pyrimidine derivatives. In this case, from 1,2,3-triazines, pyrimidine formation follows a [4+2]-B cycloaddition. In a subsequent work, amidines were found to undergo a powerful cycloaddition to 1,2,3-triazines bearing electron-donating substituents at C5, to provide 2,5-disubstituted pyrimidines 42 in excellent yields (42–99%) (Scheme 10) [40]. Even selected ynamines and enamines were capable of cycloadditions with 36, but not with 37 or 38, to provide other trisubstituted pyridines in modest yields (37–40% and 33%, respectively).
Scheme 10.
Inverse electron-demand Diels–Alder reactions of 1,2,3-triazines 36–38 with amidines 39.
2.1.3. [3+3] Cycloadditions
We cannot deal with the synthesis of pyrimidines by [3+3] cycloaddition without describing the classical Pinner reaction [41]. This synthesis entails the condensation of 1,3-dicarbonyl compounds, formerly ketones, with amidines (Scheme 11).
Scheme 11.
Classical Pinner synthesis.
A modified Pinner reaction is described by Vidal et al. with a β-keto ester instead of 1,3-diketone. The procedure was improved under ultrasound (US) irradiation. Fully substituted pyrimidines were obtained by tosylation of the free hydroxyl of the obtained pyrimidine derivatives, which allowed further Suzuki cross-coupling reactions (Scheme 12) [42].
Scheme 12.
Modified Pinner reaction with β-keto esters 45 and amidines 39.
Other variations of the original reaction have been described [43]. Thus, using 1,3-dicarbonyl equivalents as precursors, several syntheses of pyrimidines have been reported using a Pinner-like synthesis. Cho’s group [44] condensed β-bromo-α,β-unsaturated ketones with benzamidine or acetamidine under Cu0 catalysis to provide the corresponding pyrimidines in fair yields. Most of the samples were fused pyrimidines, which do not fall within the scope of this study. Previously, this group carried out the same synthesis with β-bromo-α,β-unsaturated carboxylic acids [45]. One remarkable modification was the use of unsaturated ketones instead of the dicarbonyl compound [46]. Thus, a [3+3] annulation–oxidation sequence between α,β-unsaturated ketones and benzamidine hydrochloride was performed using green and recyclable choline hydroxide as both a catalyst and a reaction medium. Strong bases, such as NaOH, KOH and CsOH, catalyzed the reaction better than weak inorganic bases, to give substituted pyrimidine 50 in excellent yields. However, the optimal reaction conditions required the use of choline hydroxide as a catalyst, as well as reaction medium at 60 °C (Scheme 13) [46].
Scheme 13.
Synthesis of pyrimidines 50 from unsaturated ketones 48 and amidine 49.
Another variation was carried out by Hu et al., who reported [47] a [3+3] cycloaddition of polysubstituted 5-aminopyrimidines 52 from α-azidovinyl ketones 51 and amidines 39 in the presence of a base (K2CO3) in anhydrous DMF (Scheme 14).
Scheme 14.
Synthesis of 5-aminopyrimidines 52 from α- azidovinyl ketones 51 and amidines 39.
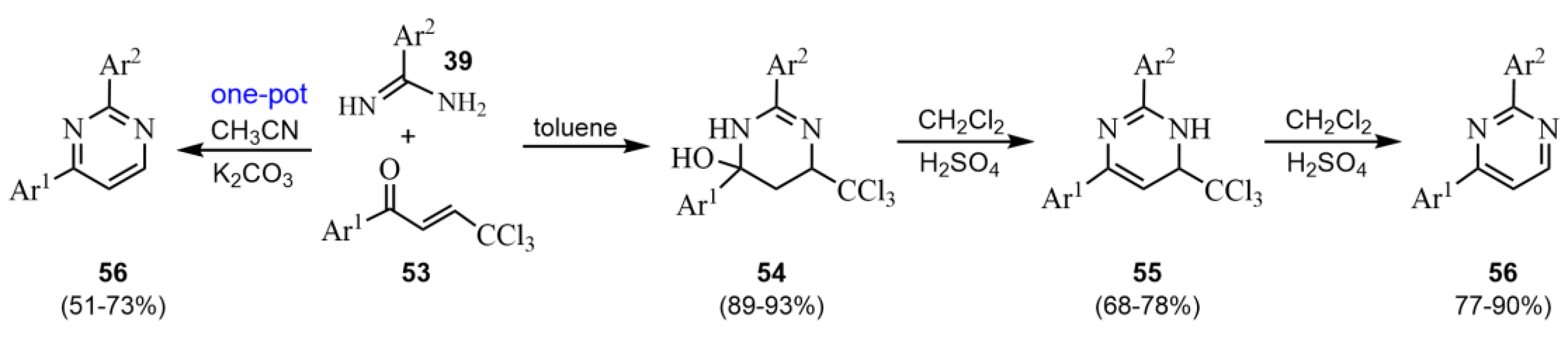
Amidines were also condensed via [3+3] annulation with 2,2,2-trichloroethyliden-acetophenones 53, easily available from chloral and acetophenones, providing novel 2,6-diaryl-6-hydroxy-4-trichloromethyl-1,4,5,6-tetrahydropyrimidines 54 in good yields.
On the other hand, new intermediate 2,4-diaryl-6-trichloromethyl-1,6-dihydropyrimidines 55 were formed by dehydration and found able to undergo base-induced chloroform elimination to give 2,4-diarylpyrimidines 56 (Scheme 15) [48].
Scheme 15.
Synthesis of 2,4-diarylpyrimidines 56 from 2,2,2-trichloroethyliden-acetophenones 53 and amidines 39.
A bromoenone was used to afford trifluoromethylated pyrimidines 59 through the treatment of fluorinated 2-bromoenones 57 with aryl- and alkylamidines 34 [49]. The formation of a pyrimidine core proceeded via an aza-Michael addition–intramolecular cyclization–dehydrohalogenation/dehydration sequence. The influence of the trifluoromethyl group was demonstrated to be necessary to achieve selectively the target heterocycles in high yields (up to 99%) under mild conditions. With other substituents, imidazoles were obtained (Scheme 16).
Scheme 16.
Synthesis of trifluoromethylated pyrimidines 59 from bromoenones 57 and aryl- and alkylamidines 39.
Another modification was described by Chu et al. [50], starting from a variety of saturated carbonyl compounds: ketones, aldehydes and esters 60. The condensation was promoted by FeSO4 and 2,2,6,6-tetramethylpiperidin-1-yl)oxyl (TEMPO), selectively favoring β-functionalization. A mechanism initiated by TEMPO reduction via complexed Fe(II) with ketones was proposed. The total sequence included the formation of intermediate enamine and finished with a β-TEMPO elimination, followed by cyclization. The Fe(II) catalytic complex, formed in situ, could be recycled. More than forty pyrimidinic derivatives were obtained (some of them with condensated rings), sixteen of which were of type 61 (Scheme 17) [50].
Scheme 17.
Iron-catalyzed synthesis of pyrimidines 61 from carbonyl derivatives 60 and amidines 39.
Subsequently, a condensation with a special type of unsaturated ketone, a substituted chromone, was carried out by Yu et al. [51]. The strategy was based on a transition metal-free synthesis of 3-trifluoromethyl chromones via tandem C-H bond trifluoromethylation and chromone annulation reactions of o-hydroxyphenyl enaminones. The addition of K2S2O8 made the use of any transition metal catalyst or additive unnecessary. The 3-trifluoromethyl chromone products were successfully used for the synthesis of 3-trifluoromethyl pyrimidines through reactions with guanidine/amidine substrates (Scheme 18).
Scheme 18.
Synthesis of F3C-functionalized pyrimidines 63 from chromones 62.
[3+3] cycloadditions have also been carried out from fluorinated building blocks. Thus, an efficient microwave-assisted cyclization reaction was developed to provide faster and efficient access to new fluoroalkyl pyrimidines 66 and 68 from fluorinated acetoacetates, malononitrile, various amidines and fluoroalkyl amino reagents (Scheme 19) [52].
Scheme 19.
Synthesis of fluoroalkyl pyrimidines 66 and 68 under MW irradiation.
Very recently, in 2022, Xiang and Yang reported [53] a photoredox-catalyzed amination of o-hydroxyarylenaminones with tert-butyl [(perfluoropyridin-4-yl)oxy]carbamate, a versatile amidyl radical precursor. This method allows 3-aminochromones to be obtained under mild conditions, with an additional application in the synthesis of a series of amino pyrimidines (Scheme 20) [53].
Scheme 20.
Synthesis of 3-aminochromones 71 and amino pyrimidines 72.
Not many examples of bis-pyrimidines are found in the literature. With the aim of obtaining new biological active pyrimidine derivatives 75, 76 and 77, Dabholkar and Ansari [54] proposed this synthesis starting from bis-α,β-unsaturated esters 74 and carbamide C, thiocarbamide (T) and guanidine (G) as efficient substrates under ultrasound (US) irradiation in aqueous media (Scheme 21).
Scheme 21.
Synthesis of bis-pyrimidines 75, 76 and 77 under US irradiation.
The effectiveness of the cyclization reactions involving alkynes and nitrogen compounds for the synthesis of pyrimidines, using a variety of promoters and catalysts, has been demonstrated. More specifically, the Cu(II)-catalyzed cycloaddition reaction of alkynes is considered a powerful tool for the construction of pyrimidines using nitrogen-containing molecules, such as amidines, guanidines and sulfonyl azides [27]. Müller and colleagues [55] planned a versatile copper-catalyzed synthesis of 2,6-disubstituted pyrimidones 79 from terminal alkynes 7, CO2 and amidine hydrochloride 34 in DMF. Although the total reaction involved three components, the formation of a pyrimidine ring can be considered a [3+3] cycloaddition strategy. After an initial carboxylation/methylation of terminal alkynes to produce the methyl arylpropiolates 78, a Michael addition cyclocondensation led to pyrimidones 79 with moderate-to-good yields (Scheme 22) [55].
Scheme 22.
Copper-catalyzed synthesis of 2,6-disubstituted pyrimidones 79 with MW.
Lin et al. [56] described the use of Cu(II) triflate (20 mol%) as an efficient catalyst to synthesize 2,4-disubstituted or 2,4,6-trisubstituted pyrimidines 83 from propargyl alcohols and amidine. The synthesis started with a Cu(II) activation of propargyl alcohol 80, followed by a [3+3] addition combined with ring closure in a 6-endo-dig mode. The authors proposed the initial formation of the propargyl cation 81, which triggers the attack on amidine to complete the pyrimidine skeleton, as a key step of the reaction mechanism. A subsequent aromatization by oxidation was the last step leading to pyrimidines 83 (Scheme 23) [56].
Scheme 23.
Mechanistic proposal for Cu(II)-catalyzed tandem synthesis of pyrimidines 83.
A series of 4-iminopyrimidines 86 using the strategy of [3+3]-A cycloaddition was synthesized from intermediate β-alkynyl-N-sulfonyl ketenimines 85 with a copper catalyst. The sequence started with the reaction of butadiynes 84 and sulfonylazides and continued with the addition of hydrazides or imidamides (Scheme 24) [57]. The best reaction conditions to first form ketenimine 85 with subsequent cycloaddition were with CuCl (10 mol%) as a catalyst with NEt3 in DCE at room temperature. Although three components are involved in this reaction, in two sequential steps, the atoms of the starting azide are not integrated in the pyrimidine core in the cycloaddition (Scheme 24) [57].
Scheme 24.
Copper-catalyzed synthesis of 4-iminopyrimidines 86.
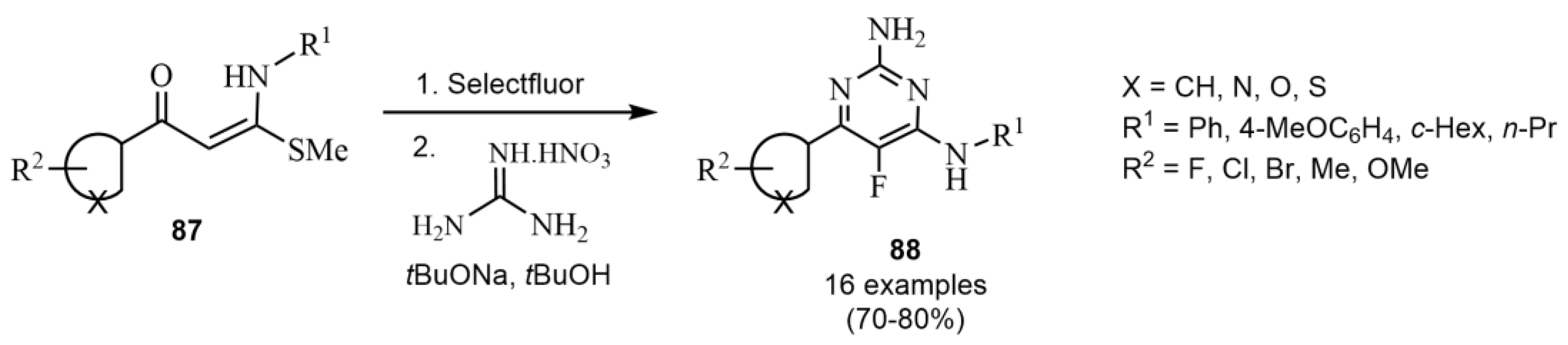
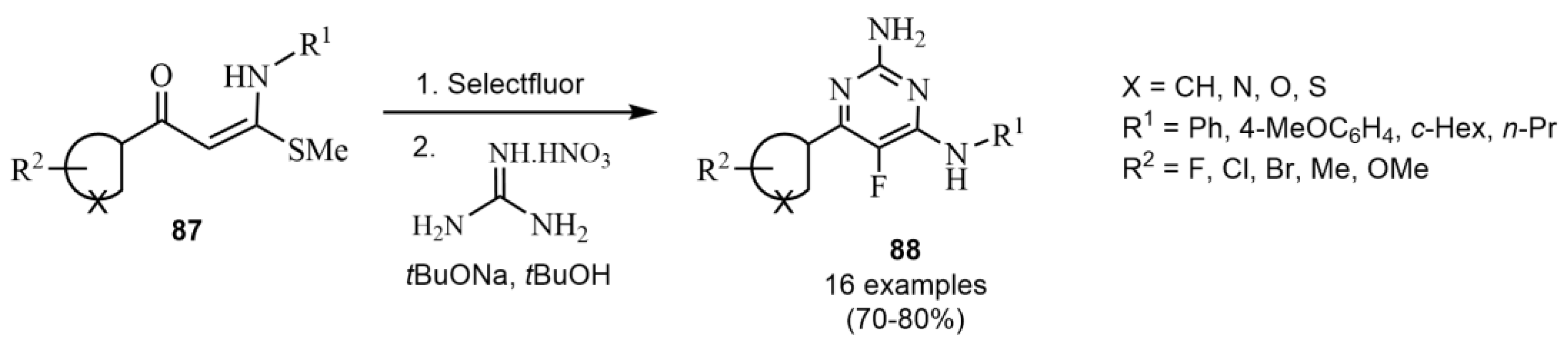
Sharma et al. [58] took advantage of the Selectfluor’s ability to regioselectively functionalize a variety of methylthio-substituted β-enaminones 87, which were transformed into α-fluoro-β-enaminones in acetonitrile. The resulting crude reaction was condensed with guanidinium nitrate under basic conditions. The corresponding 6-aryl- or 6-alkylamines-2-amino-5-fluoropyrimidines 88 were obtained in good overall yields (Scheme 25) [58].
Scheme 25.
Sequential synthesis of 4-amino-5-fluoropyrimidines 88.
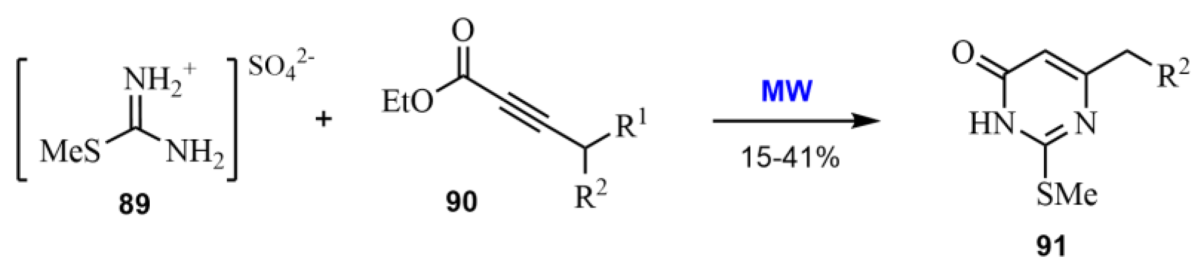
Sulfur derivatives are frequently compounds of interest in biomedical applications. With the aim of obtaining sulfur-functionalized pyrimidines, a practical microwave-assisted protocol for the synthesis of 2,6-disubstituted pyrimidinones 91 was developed. It was based on a domino Michael addition/cyclocondensation reaction between substituted thioureas/guanidines and acetylencarboxylates (Scheme 26). Following this strategy, the subsequent synthesis of not easily accessible N-DABO (dihydro-alkoxyl-benzyl-oxopyrimidine) derivatives was reported [59].
Scheme 26.
Microwave-assisted tandem Michael addition–cyclocondensation to form sulfur-functionalized pyrimidines 91.
A direct and single-step procedure towards substituted pyrimidine and pyridine derivatives via Lewis-acid-promoted [3+3] annulation between 3-ethoxycyclobutanones and enamines or amidines is presented. These 3-ethoxycyclobutanones act as 1,3-di-carbonyl surrogates. Choosing the right reaction conditions, diverse substituted pyrimidine 95 and pyridine derivatives 94 were obtained in good-to-high yields with a wide substrate scope (Scheme 27) [60].
Scheme 27.
Synthesis of pyrimidines 94 and 95 from 3-ethoxycyclobutanones 92.
A new [3+3] strategy was carried out by El-Sayed et al. [61], preparing pyrimidine derivatives via an epoxy ketone. Pyrimidinic compounds 98 and 99 were synthesized starting from unsaturated carbonyl compound 96, which, with hydrogen peroxide, yielded epoxy ketone 97. After a reaction with urea or thiourea by epoxide opening, the corresponding derivatives 98 were formed. Compound 99 was prepared by the treatment of epoxy ketone with thiosemicarbazide. The anticancer activity of these derivatives was studied against the MCF-7 human breast cancer cell line (Scheme 28) [61].
Scheme 28.
Synthesis of oxo and thio pyrimidine derivatives 98 and 99 via epoxyde 97.
Modified nucleobases and nucleic acids have found many biological and pharmaceutical applications. Burgula et al. [62] have reported a [3+3] green procedure for the single-step preparation of a series of uracil and cytosine nucleobases 100 and 101. Uracil analogs 100 were synthesized through the treatment of the respective β-ketoesters or β-aldehydoesters 102 with urea, whereas the cytosine derivatives 101 were obtained from benzoylacetonitriles 103 or N,N-diethylamide precursors (Scheme 29). A Lewis acid catalyst (BF3:Et2O) and MW irradiation improved the reaction, with higher yields and lower reaction times. The crystal structures of 5-isopropyl-6-methyluracil and 6-phenyluracil were also determined.
Scheme 29.
Green synthesis of uracil and cytosine analogs (100 and 101).
A good synthetic design was reported by Tejedor and García-Tellado [63] to obtain pyrimidine derivatives 105 with an oxy-functionalized acetate chain at the ring. Amidines 32 with electrophilic diynes 104 interacted in two consecutive aza-Michael additions, followed by a second domino process involving sequential [H]-shift and a [3,3]-sigmatropic rearrangement, giving pyrimidine derivatives 105 (Scheme 30).
Scheme 30.
Synthesis of functionalized pyrimidines from electrophilic diynes 104 and amidines 39.
Hosamani et al. reported the MW-assisted synthesis of 3-(2-(4-fluorobenzyl)-4-(substituted phenyl) pyrimidin-6-yl)-2H-chromen-2-ones 108 [64]. The reactions proceeded through a [3+3] cyclic condensation of substituted chalconated coumarins 106 with 2-(4-fluorophenyl) acetamidine hydrochloride 107 in DMF. Improved yields and shortened reaction times, when using MW irradiation compared to conventional heating, were observed (Scheme 31). Although we do not focus on the biological activities of the compounds in this review, this work is of interest because it evaluates the role of the substituents in the pharmacological activities and it evaluates the obtained products against cancer lines.
Scheme 31.
MW-assisted synthesis of fluorinated coumarin–pyrimidine hybrid molecules 108.
Very recently, in 2022, the effective and accessible synthesis of (E,E)-4,6-bis(styryl)-pyrimidines was carried out with TFA as a catalyst and water as a solvent. The pyrimidine ring formation was achieved from acetylacetone and urea by [3+3] cycloaddition. A subsequent aldol condensation with differently substituted aromatic aldehyde gave the desired (E,E)-4,6-bis(styryl)-pyrimidines 110 in moderate-to-good yields (Scheme 32) [65].
Scheme 32.
Synthesis of (E,E)-4,6-bis(styryl)-pyrimidines 110.
2.2. Three-Component Cycloadditions
There is a plethora of three-component condensations leading to pyrimidine and related products. We start by describing an example of a [4+1+1] reaction and continue with [3+2+1] reactions.
2.2.1. [4+1+1] Cycloadditions
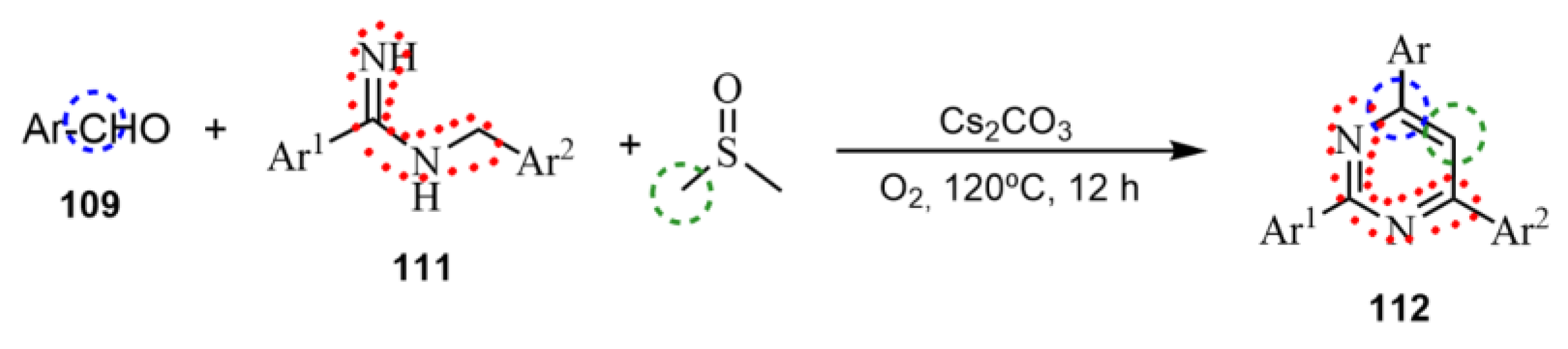
Yuan et al. [66] developed a base-promoted formal [4+1+1] annulation of aryl aldehyde 109, N-benzyl arylamidines 111 and DMSO to access to a series of 2,4,6-triaryl pyrimidines 112 in moderate-to-good yields, with molecular O2 as the sole eco-friendly oxidant (Scheme 33). It is to be noted that DMSO served as a methine source, which was promoted by a base rather than either a Lewis acid or electrophile. A detailed mechanism was proposed.
Scheme 33.
Base-promoted synthesis of 2,4,6-triaryl pyrimidines 112 from aryl aldehyde 109, N-benzyl arylamidines 111 and DMSO.
2.2.2. [3+2+1] Cycloadditions
One of the classical multicomponent strategies for synthesizing dihydropyrimidines is the Biginelli three-component condensation (type [3+2+1]-A, Figure 1) of an aldehyde, an α-keto ester and a urea or thiourea that gives a 3,4-dihydropyrimidin-2(1H)-(thi)one [18]. Due to the vast information and literature on this type of multicomponent reaction (MCR), we will soon provide a further review of this reaction. Now, we detail other strategies, although a number of them may be considered by other authors as modifications of the Biginelli reaction.
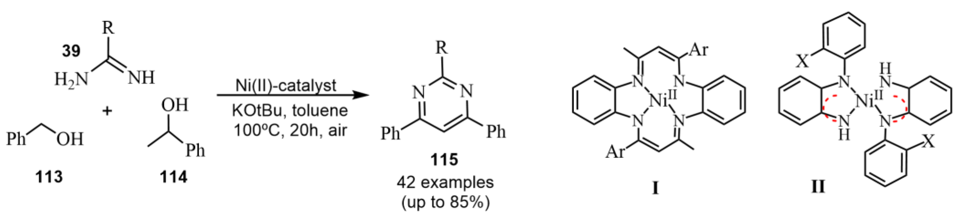
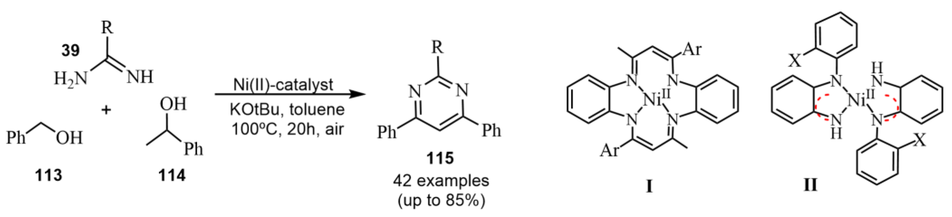
Thus, in the following, we look at other possibilities with the [3+2+1] combination that differ from the classical Biginelli reaction. In pyrimidine synthesis, the in situ oxydation of alcohols to provide the formyl component in MCRs is a good option. Thus, a comparative study of nickel-catalyzed syntheses of pyrimidines via the dehydrogenative multicomponent coupling of alcohols and amidines using two types of nickel complex catalysts has been reported [67]. Catalyst I dehydrogenates alcohols via a two-electron hydride transfer pathway, while in the presence of II, the dehydrogenation of alcohols proceeds via a one-electron hydrogen atom transfer (Scheme 34).
Scheme 34.
Nickel-catalyzed syntheses of pyrimidines 115 from alcohols and amidines.
With the aim of obtaining 2-(N-alkylamino)pyrimidines, heterocycles widely found in various pharmaceutically drugs, a new ruthenium-catalyzed synthesis was reported in a [3+2+1] fashion [68]. The method consisted of a new cooperative ruthenium-complex-catalyzed, multicomponent tandem synthesis of 2-(N-alkylamino)pyrimidines directly from guanidine salt and alcohols. The reactions proceeded through the dehydrogenation of alcohols, followed by C–C coupling and sequential C–N coupling with guanidine and primary alcohol, with the elimination of three equivalents of hydrogen gas. Several Ru catalysts were tested, Ru catalyst I (2 mol %) being that which provided the best results (Scheme 35). The viability of this method was demonstrated through the preparative-scale synthesis of a few products. Mechanistic studies and DFT calculations were subsequently performed (Scheme 35) [68].
Scheme 35.
Synthesis of 2-(N-alkylamino)pyrimidines 119 directly from guanidine salt and alcohols.
A series of [3+2+1] three-component annulations of amidines 39, ketones and N,N-dimethylaminoethanol 120 to obtain pyrimidine derivatives 121 was reported. This productive and eco-friendly method showed the oxidation of N,N-dimethylaminoethanol through C(sp3)−H activation to provide one carbon donor to be the principal action. It is worth mentioning, in this strategy, the good tolerance to many important functional groups in air, with improvements to the existing methods of 4-aliphatic pyrimidine formation (Scheme 36) [69].
Scheme 36.
Copper-mediated synthesis of 4-aliphatic pyrimidines 121 from ketones, amino alcohol 120 and amidines 39.
2.2.3. [2+2+2] Cycloadditions
A copper acetate-catalyzed tandem Blaise/Pinner-type reaction with nitriles and a Reformatsky reagent was performed to obtain pyrimidinones 125. Nitrile 122 reacted with Reformatsky reagent 123 to form a Blaise intermediary 124, and then, a second nitrile 122 was added to complete the targeted ring (Scheme 37) [70].
Scheme 37.
Zinc-mediated synthesis of pyrimidinones 125 from nitriles 122 and ethyl bromoacetates 123.
The multicomponent condensation [2+2+2] (C-C+N-C+N-C) of oxygenated arylacetic acids with electron-donating trimethoxybenzene provided o-diaryl pyrimidines in acetonitrile at 60 °C. On the other hand, electron-withdrawing nitroarylaldehydes followed the annulation route (C-C-C-C+C+N) to give 1-aryl isoquinolinones. The uses of various metal triflates and reaction conditions were investigated in these one-pot reactions, highlighting bismuth triflate Bi(OTf)3, which acted in mild conditions in open vessels (Scheme 38). The reaction mechanisms were proposed [71].
Scheme 38.
Bismuth-mediated synthesis of pyrimidinones 128 from arylacetic acids 126 with trimethoxybenzene 127.
Gold complexes have been used to catalyze different cycloadditions to give pyrimidines. Karad and Liu reported the intermolecular [2+2+2] cycloaddition of ynamides 129 (R2 = Ms, Ts) with nitriles to give 4-aminopyrimidines 130 [72]. The reaction conditions were studied in detail, indicating that the use of Ph3PAuNTf2 (5 mol%) in DCE at 75 °C was the best option to obtain the products in good yields (Scheme 39).
Scheme 39.
Gold-complex-mediated synthesis of 4-aminopyrimidines 130 by [2+2+2] cycloaddition of alkynes 129 with nitriles 122.
A zirconium-mediated reaction of silyl-butadiynes with two molecules of aryl nitriles was described, which provided rapid access to polysubstituted pyrimidines 132 in a regioselective manner and in a one-pot fashion. On the other hand, employing aliphatic nitriles resulted in the coupling of only one nitrile, leading to the formation of enynyl ketones after hydrolysis. The reaction was extended to a zirconocene–monoyne complex, which underwent similar reactions with nitriles to form highly substituted pyrimidines (Scheme 40) [73].
Scheme 40.
Zirconium-mediated synthesis of polysubstituted pyrimidines 132 with silyl-butadiynes or other alkynes 131 and with two molecules of aryl nitriles 122.
In a similar strategy [2+2+2], Low et al. reported the synthesis and reactivity of Zr complexes Zr(IV)L(THF)3, which display a two-electron-reduced anthracene moiety. Mechanistic studies suggest that selectivity to form pyrimidines 133 originates from the preferred formation of an azazirconacyclopentadiene intermediate, which reacts preferentially with nitriles over alkynes (Scheme 41) [74]. Previously, Sato et al. reported a similar synthesis catalyzed by NbCl5 [75].
Scheme 41.
Zirconium-mediated synthesis of polysubstituted pyrimidines 133 with alkynes 131 and two molecules of nitriles 122.
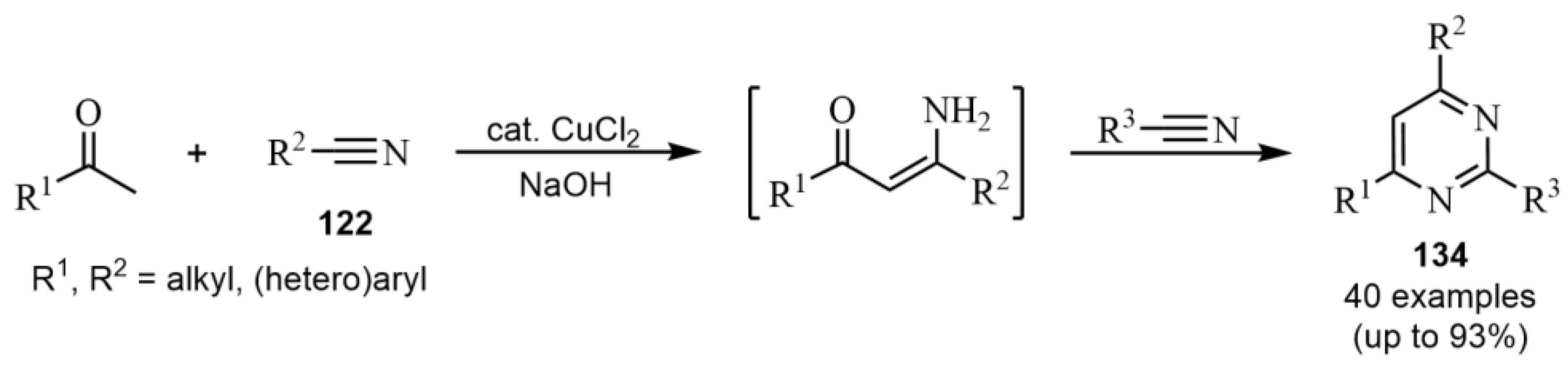
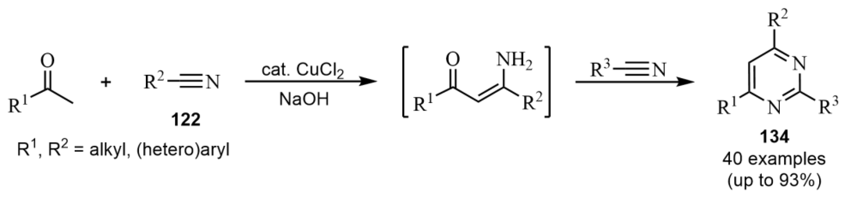
In the following synthesis of diversely functionalized pyrimidines with a [2+2+2] strategy, the cyclization of ketones with nitriles was carried out under basic conditions with a copper catalyst. The reaction proceeded via a pathway involving the nitriles acting as electrophiles, with consecutive C–C bonds and two C–N bond formations. The method shows a broad substrate scope and a good tolerance for many important functional groups (Scheme 42) [76].
Scheme 42.
Copper-catalyzed synthesis of pyrimidines 134 from ketones and nitriles 122.
Babaoglu et al. described a sequential three-component, one-pot reaction sequence for the formation of 2,4-dioxo-1,2,3,4-tetrahydropyrimidine-5-carboxylates following a [2+2+2] strategy (Scheme 43) [77].
Scheme 43.
Indium-mediated Blaise-type synthesis of pyrimidines 138 via the reaction of bromomalonates 135 with nitriles 136 and isocyanates 137.
Jadah and Singh planned an oxidative annulation promoted by K2S2O8, involving anilines, aryl ketones and DMSO as a methine (=CH-) equivalent. In the process, a sulfenium ion was formed. This methodology was applied to the synthesis of 4-arylpyrimidines 139 from aryl ketones, via the activation of acetophenone–formamide conjugates 141. The proposed mechanism is depicted in Scheme 44 [78].
Scheme 44.
Synthesis of pyrimidines 139 and proposed mechanism from aryl ketones 140.
2.3. Four-Component Cycloadditions
A regioselective, iridium-catalyzed [3+1+1+1] synthesis of alkyl or aryl pyrimidines 142 from amidines and up to three (different) alcohols was carried out. The reaction proceeded via a sequence of condensation and dehydrogenation steps, which gave rise to selective C–C and C–N bond formations. PN5P–Ir–pincer complexes (cat. [Ir]) efficiently catalyzed the regioselective process. A total of thirty-eight different pyrimidines were synthesized in isolated yields of up to 93% (Scheme 45). The authors pointed out that the combination of this novel protocol with established methods for converting alcohols to amidines could allow the selective assembly of pyrimidines from four alcohol building blocks and two equivalents of ammonia [79]. Later, a similar approximation using an Mn complex stabilized by a PN5P–pincer ligand (cat. [Mn]) as a catalyst gave pyrimidines from amidines and up to three (different) alcohols. The consecutive four-component reaction combines the concept of borrowing hydrogen or hydrogen auto transfer with dehydrogenation–condensation to permit selective C–N and C–C bond formation, as in the previous work (Scheme 45) [80].
Scheme 45.
Iridium- or manganese-mediated four-component synthesis of pyrimidines 142 from amidines and alcohols.
Using β-cyclodextrin (β-CD) as a catalyst, pyrimidine derivatives were synthesized from a variety of substituted phenyl and heterocyclic aldehydes in aqueous medium. The advantage of this [3+1+1+1] method is that β-CD is a recyclable, inexpensive, economically viable, non-toxic and readily available material. Thus, the reaction of a series of aromatic aldehydes with ammonium acetate and 1,3-diketones afforded a series of pyrimidine derivatives 143. The method worked well with both electron-withdrawing and electron-releasing substituents in the aromatic groups, giving pyrimidines 143 in good-to-excellent yields (Scheme 46 [81].
Scheme 46.
β-cyclodextrin (β-CD)-catalyzed synthesis of pyrimidine derivatives 143 from a variety of substituted phenyl and heterocyclic aldehydes in aqueous medium.
2,4,6-Triarylpyrimidines 144 were synthesized via a simple, one-pot, four-component [2+2+1+1] annulation among aryl methyl ketones, benzaldehydes, aromatic nitriles and hydroxylamine under microwave irradiation and solvent-free conditions in good-to-excellent yields (Scheme 47) [82].
Scheme 47.
Synthesis of 2,4,6-triarylpyrimidines 144 by [2+2+1+1] annulation from aryl methyl ketones, benzaldehydes, aromatic nitriles and hydroxylamine under MW irradiation.
Guo et al. [83] designed an effective four-component reaction methodology for the synthesis of pyrimidine carboxamides 145 from three different starting compounds: amidines, styrene and N,N-dimethylformamide (DMF). Regarding this Pd-catalyzed oxidative process, the versatility of DMF as a dual synthon ought to be mentioned, providing both a one-carbon atom and amide synthons. These roles were proven by isotope labeling experiments, which showed the usefulness of this reaction from easily available starting materials (Scheme 48) [83].
Scheme 48.
Pd-catalyzed synthesis of pyrimidine carboxamides 145 from amidines, styrene and N,N-dimethylformamide (DMF).
2.4. Pseudo Five-Component Cycloadditions
[2+1+1+1+1] Cycloadditions
Ding et al. reported a [C-C+C+N+C+N] multicomponent cyclocondensation between methyl aryl ketone, two equivalents of aromatic aldehyde and two of ammonium acetate to give pyrimidines 146. That is to say, five components were involved in the ring formation, but with only three different molecules. Thus, the authors called it a pseudo five-component reaction. The process was catalyzed by triflic acid (Scheme 49) [84].
Scheme 49.
Synthesis of pyrimidines 146 via the multicomponent cyclocondensation between methyl aryl ketone, two equivalents of aromatic aldehyde and two of ammonium acetate.
2.5. Miscellaneous
In this section, we have highlighted several reactions due to their peculiarity. For example, a multifunctionalized pyrimidine 149 was synthesized from 3,4,4,5-tetrachloro-4H-1,2,6-thiadiazine (147) through the treatment with Ph3P. An intermediate spirocycle 148 was obtained with a 66% yield, and its degradation with BnEt3NCl (0.5 equiv.) afforded 4,5,6-trichloropyrimidine-2-carbonitrile (149) in an 81% yield. Rational mechanisms to explain the intermediate and product formation were proposed (Scheme 50) [85].
Scheme 50.
Ph3P-mediated pyrimidine 149 synthesis from 3,4,4,5-tetrachloro-4H-1,2,6-thiadiazine (147).
A straightforward synthesis of pyrimidines 153 or 154 via Au(III) or Au(I)/Lewis-acid-catalyzed cascade reactions of propargyl alcohols 150 with 3-amino-benzo[d]isoxazoles 151 has very recently been carried out. The propargyl amine intermediates 152 were readily generated in situ via oxophilic activation by Au(III) or a Lewis acid. After the intermediate cyclization/1,2-H or group migration/aromatization, the desired products were delivered. The selective migratory aptitude was dependent on the steric and electronic properties of the propargylic groups used (Scheme 51) [86].
Scheme 51.
Gold-mediated pyrimidine 153 and 154 synthesis from propargyl alcohols 150 with 3-amino-benzo[d]isoxazoles 151.
Dofe et al. reported a convenient and facile methodology for the synthesis of a new series of pyrazole and pyrimidine derivatives 156 from chromenones 155 and thiourea under ultrasound irradiation. With regard to pyrimidine derivatives, they have been synthesized in better yields and shorter reaction times compared with the conventional method (Scheme 52) [87].
Scheme 52.
Synthesis of pyrimidines 156 from chromones 155 and thiourea under ultrasound irradiation.
Pyrimidine N-oxides 158 were prepared from β-keto enamides 157 and hydroxylamine hydrochloride by a reaction in r.t. for 5–19 days or at 70–75 °C for 4.5–6.5 h under MW irradiation. The required β-keto enamides 157 were prepared by the MCR of nitriles, trichloroacetic acid and lithiated methoxyallene. N-oxides 158 were obtained in moderate-to-excellent chemical yields (28–61% and 71–96%), together a pyridine side product (2%). The acetylation of the methyl group of the pyrimidine N-oxides 158 was achieved with Ac2O at 130 °C through Boekelheide rearrangement to provide the acetylated 159 (Scheme 53) [88].
Scheme 53.
Synthesis of pyrimidine N-oxides 158 from β-keto enamides 157 and hydroxylamine hydrochloride under MW irradiation.
3. Conclusions
The MCR is a valuable synthetic approach to obtain new pyrimidine derivatives and related compounds, not only by using the Biginelli reaction. Catalysis is of great value in this type of reaction, and a large number of new catalysts have been developed. New perspectives for known catalysts have also been discovered. In addition, the use of various technologies, such as microwave and ultrasound irradiation, also helps to improve reaction conditions and yields. In general, in the period of time considered in this review, increasingly more importance has been given to eco-friendly reactions.
Author Contributions
Conceptualization, M.-S.P.-G.; methodology, M.-S.P.-G. and M.A.; writing—review and editing, M.-S.P.-G., M.A., S.C.-L., M.D.-F., F.S. and J.-J.Q.; supervision, M.-S.P.-G. and M.A.; project administration, M.-S.P.-G. All authors have read and agreed to the published version of the manuscript.
Funding
Supported by grant RTI2018-098296-BI00 (MINECO and FEDER).
Data Availability Statement
Not applicable here.
Conflicts of Interest
The authors declare no conflict of interest.
References
- Kaur, R.; Caudhary, S.; Kumar, K.; Gupta, M.K.; Rawal, R.K. Recent synthetic and medicinal perspectives of dihydropyrimidinones: A review. Eur. J. Med. Chem. 2017, 132, 108–134. [Google Scholar] [CrossRef] [PubMed]
- Jubeen, F.; Iqbal, S.Z.; Shafiq, N.; Khan, M.; Parveen, S.; Iqbal, M.; Nazir, A. Eco-friendly synthesis of pyrimidines and its derivatives: A review on broad spectrum bioactive moiety with huge therapeutic profile. Synth. Commun. 2018, 48, 601–625. [Google Scholar] [CrossRef]
- Rashid, H.; Utrera-Martines, M.A.; Pereira-Duarte, A.; Jorge, J.; Rasool, S.; Muhammad, R.; Ahmad, N.; Umar, M.N. Research developments in the syntheses, antiinflammatory activities and structure–activity relationships of pyrimidines. RSC Adv. 2021, 11, 6060–6098. [Google Scholar] [CrossRef] [PubMed]
- Kumar, A.; Siwach, A.; Verma, P. An Overview of the Synthetic Route to the Marketed Formulations of Pyrimidine: A Review. Mini Rev. Med. Chem. 2022, 22, 884–903. [Google Scholar] [CrossRef] [PubMed]
- Narwal, S.; Kumar, S.; Verma, P.K. Design, synthesis and antimicrobial evaluation of pyrimidin-2-ol/thiol/amine analogues. Chem. Cent. J. 2017, 11, 52. [Google Scholar] [CrossRef]
- Zarenezhad, E.; Farjam, M.; Iraji, A. Synthesis and biological activity of pyrimidines-containing hybrids: Focusing on pharmacological application. J. Mol. Struct. 2021, 1230, 129833. [Google Scholar] [CrossRef]
- Sahu, M.; Siddiqui, N. A review on biological importance of pyrimidines in the new era. Int. J. Pharm. Pharm. Sci. 2016, 8, 8–21. [Google Scholar]
- Patil, S.B. Biological and medicinal significance of pyrimidines: A review. Int. J. Pharm. Sci. Res. 2018, 9, 44–52. [Google Scholar] [CrossRef]
- Verma, V.; Joshi, C.P.; Agarwal, A.; Soni, S.; Kataria, U. A Review on pharmacological aspects of pyrimidine derivatives. J. Drug Deliv. Ther. 2020, 10, 358–361. [Google Scholar] [CrossRef]
- Filho, E.V.; Pinheiro, E.M.C.; Pinheiro, S.; Greco, S.J. Aminopyrimidines: Recent synthetic procedures and anticancer activities. Tetrahedron 2021, 92, 132256. [Google Scholar] [CrossRef]
- Basha, N.J.; Goudgaon, N.M. A comprehensive review on pyrimidine analogs-versatile scaffold with medicinal and biological potential. J. Mol. Struct. 2021, 1246, 131168. [Google Scholar] [CrossRef]
- Nerkar, A.U. Use of pyrimidine and its derivative in pharmaceuticals: A review. J. Adv. Chem. Sci. 2021, 7, 729–732. [Google Scholar] [CrossRef]
- Devi, M.; Jaiswal, S.; Jain, S.; Kaur, N.; Dwivedi, J. Synthetic and biological attributes of pyrimidine derivatives: A recent update. Curr. Org. Synth. 2021, 18, 790–825. [Google Scholar] [CrossRef] [PubMed]
- Neto, B.A.D.; Rocha, R.O.; Rodrigues, M.O. Catalytic Approaches to multicomponent reactions: A critical review and perspectives on the roles of catalysis. Molecules 2022, 27, 132. [Google Scholar] [CrossRef]
- Gore, R.P.; Rajput, A.P. A review on recent progress in multicomponent reactions of pyrimidine synthesis. Drug Invent. Today 2013, 5, 148–152. [Google Scholar] [CrossRef]
- Alvim, H.G.O.; da Silva Junior, E.N.; Neto, B.A.D. What do we know about multicomponent reactions? Mechanisms and trends for the Biginelli, Hantzsch, Mannich, Passerini and Ugi MCRs. RSC Adv. 2014, 4, 54282–54299. [Google Scholar] [CrossRef]
- Hantzsch, A. Ueber die Synthese pyridinartiger Verbindungen aus Acetessigäther und Aldehydammoniak. Justus Liebigs Ann. Chem. 1882, 215, 1. [Google Scholar] [CrossRef]
- Biginelli, P. Aldehyde-urea derivatives of aceto- and oxaloacetic acids. Gazz Chim. Ital. 1893, 23, 360–416. [Google Scholar]
- Kappe, C.O. 100 Years of the Biginelli dihydropyrimidine synthesis. Tetrahedron 1993, 49, 6937–6963. [Google Scholar] [CrossRef]
- Panda, S.S.; Khanna, P.; Khanna, L. Biginelli reaction: A green perspective. Curr. Org. Chem. 2012, 16, 507–520. [Google Scholar] [CrossRef]
- Sandhu, J.S. Past, present and future of the Biginelli reaction: A critical perspective. ARKIVOC 2012, i, 66–133. [Google Scholar] [CrossRef]
- Mohammadi, B.; Behbahani, F.K. Recent developments in the synthesis and applications of dihydropyrimidin-2(1H)-ones and thiones. Mol. Divers. 2018, 22, 405–446. [Google Scholar] [CrossRef] [PubMed]
- Kappe, C.O. Biologically active dihydropyrimidones of the Biginelli-type-A literature survey. Eur. J. Med. Chem. 2000, 35, 1043–1052. [Google Scholar] [CrossRef] [PubMed]
- Marinescu, M. Biginelli reaction mediated synthesis of antimicrobial pyrimidine derivatives and their therapeutic properties. Molecules 2021, 26, 6022. [Google Scholar] [CrossRef]
- Elkanzi, N.A.A.; Zahou, F.M. Mini review on synthesis of different pyrimidine derivatives and their biological activity. Heterocycl. Lett. 2020, 10, 131–151. [Google Scholar] [CrossRef]
- Sasada, T.; Aoki, Y.; Ikeda, R.; Sakai, N.; Konakahara, T. Synthesis of tri- or tetrasubstituted pyrimidine derivatives through the [5+1] annulation of enamidines with either N,N-dimethylformamide dialkyl acetals or orthoesters and their application in a ring transformation of pyrimidines to pyrido[2,3-d]pyrimidin-5-one derivatives. Chem. Eur. J. 2011, 17, 9385–9394. [Google Scholar] [CrossRef] [PubMed]
- Santos Neto, J.S.; Zeni, G. Ten years of progress in the synthesis of six-membered N-heterocycle from alkynes and nitrogen sources. Tetrahedron 2020, 76, 130876. [Google Scholar] [CrossRef]
- Yavari, I.; Nematpour, M. Copper-Catalyzed Tandem Synthesis of Tetrasubstituted Pyrimidines from Alkynes, Sulfonyl Azides, Trichloroacetonitrile, and Tetramethylguanidine. Synlett 2013, 24, 165–168. [Google Scholar] [CrossRef]
- Medina-Mercado, I.; Zaragoza-Galicia, I.; Olivo, H.F.; Romero-Ortega, M. 2-Trifluoromethyl-1,3-diazabutadienes as useful intermediates for the construction of 2-trifluoromethylpyrimidine derivatives. Synthesis 2018, 50, 4133–4139. [Google Scholar] [CrossRef]
- Zhang, F.-G.; Chen, Z.; Tang, X.; Ma, J.-A. Triazines: Syntheses and inverse electron-demand Diels-Alder reactions. Chem. Rev. 2021, 121, 14555–14593. [Google Scholar] [CrossRef]
- Yang, G.; Jia, Q.; Chen, L.; Du, Z.; Wang, J. Direct access to pyrimidines through organocatalytic inverse-electron-demand Diels-Alder reaction of ketones with 1,3,5-triazine. RSC Adv. 2015, 5, 76759–76763. [Google Scholar] [CrossRef]
- Yang, K.; Dang, Q.; Cai, P.-J.; Gao, Y.; Yu, Z.-X.; Bai, X. Reaction of aldehydes/ketones with electron-deficient 1,3,5-triazines leading to functionalized pyrimidines as Diels-Alder/Retro-Diels-Alder reaction products: Reaction development and mechanistic studies. J. Org. Chem. 2017, 82, 2336–2344. [Google Scholar] [CrossRef] [PubMed]
- Guo, W.; Zhao, M.; Tan, W.; Zheng, L.; Tao, K.; Fan, X. Developments towards synthesis of N-heterocycles from amidines via C-N/C-C bond formation. Org. Chem. Front. 2019, 6, 2120–2141. [Google Scholar] [CrossRef]
- Aly, A.A.; Bräse, S.; Gomaa, M.A.-M. Amidines: Their synthesis, reactivity, and applications in heterocycle synthesis. ARKIVOC 2018, 6, 85–138. [Google Scholar] [CrossRef]
- Elkanzi, N.A.A.; Aly, A.A.; Shawky, A.M.; El-Sheref, E.A.; Morsy, N.M.; El-Reedy, A.A.M. Amination of malononitrile dimer to amidines: Synthesis of 6-aminopyrimidines. J. Heterocycl. Chem. 2016, 53, 1941–1944. [Google Scholar] [CrossRef]
- Oberg, K.M.; Rovis, T. Enantioselective Rhodium-Catalyzed [4+2] Cycloaddition of α,β-Unsaturated Imines and Isocyanates. J. Am. Chem. Soc. 2011, 133, 4785–4787. [Google Scholar] [CrossRef]
- Gayon, E.; Szymczyk, M.; Gérard, H.; Vrancken, E.; Campagne, J.M. Stereoselective and catalytic access to β-enaminones: An entry to pyrimidines. J. Org. Chem. 2012, 77, 9205–9220. [Google Scholar] [CrossRef] [PubMed]
- Pucheta, J.E.H.; Candy, M.; Colin, O.; Requet, A.; Bourdreux, F.; Galmiche-Loire, E.; Gaucher, A.; Thomassigny, C.; Prim, D.; Mahfoudh, M.; et al. Understand, elucidate and rationalize the coordination mode of pyrimidylmethylamines: An intertwined study combining NMR and DFT methods. Phys. Chem. Chem. Phys. 2015, 17, 8740–8749. [Google Scholar] [CrossRef]
- Anderson, E.D.; Boger, D.L. Inverse electron demand Diels-Alder reactions of 1,2,3-triazines: Pronounced substituent effects on reactivity and cycloaddition scope. J. Am. Chem. Soc. 2011, 133, 12285–12292. [Google Scholar] [CrossRef]
- Glinkerman, C.M.; Boger, D.L. Cycloadditions of 1,2,3-Triazines bearing C5-electron donating substituents: Robust pyrimidine synthesis. Org. Lett. 2015, 17, 4002–4005. [Google Scholar] [CrossRef]
- Pinner, A.; Klein, F. Umwandlung der Nitrile in Imide. Ber. Dtsch. Chem. Ges. 1877, 10, 1889–1897. [Google Scholar] [CrossRef]
- Vidal, M.; Arriagada, M.G.; Rezende, M.C.; Domínguez, M. Ultrasoundpromoted synthesis of 4 pyrimidinols and their tosyl derivatives. Synlett 2016, 48, 4246–4252. [Google Scholar] [CrossRef]
- Mahfoudh, M.; Abderrahim, R.; Leclerc, E.; Campagne, J.M. Recent approaches to the synthesis of pyrimidine derivatives. Eur. J. Org. Chem. 2017, 20, 2856–2865. [Google Scholar] [CrossRef]
- Jiao, Y.; Ho, S.L.; Cho, C.S. Copper-powder-catalyzed synthesis of pyrimidines from β-bromo α,β-unsaturated ketones and amidine hydrochlorides. Synlett 2015, 26, 1081–1084. [Google Scholar] [CrossRef]
- Ho, S.L.; Cho, C.S. Microwave-assisted copper-powder-catalyzed synthesis of pyrimidinones from β-bromo α,β-unsaturated carboxylic acids and amidines. Synlett 2013, 24, 2705–2708. [Google Scholar] [CrossRef]
- Vadagaonkar, K.S.; Kalmode, H.P.; Prakash, S.; Chaskar, A.C. Greener [3+3] tandem annulation-oxidation approach towards the synthesis of substituted pyrimidines. New J. Chem. 2015, 39, 3639–3645. [Google Scholar] [CrossRef]
- Hu, M.; Wu, J.; Zhang, Y.; Qiu, F.; Yu, Y. Synthesis of polysubstituted 5-aminopyrimidines from α-azidovinyl ketones and amidines. Tetrahedron 2011, 67, 2676–2680. [Google Scholar] [CrossRef]
- Guirado, A.; Alarcon, E.; Vicente, Y.; Andreu, R.; Bautista, D.; Gálvez, J. A new convenient synthetic approach to diarylpyrimidines. Tetrahedron 2016, 72, 3922–3929. [Google Scholar] [CrossRef]
- Romanov, A.R.; Rulev, A.Y.; Popov, A.V.; Kondrashov, E.V.; Zinchenko, S.V. Reaction of Bromoenones with Amidines: A Simple Catalyst-Free Approach to Trifluoromethylated Pyrimidines. Synthesis 2020, 52, 1512–1522. [Google Scholar] [CrossRef]
- Chu, X.Q.; Cao, W.B.; Xu, X.P.; Ji, S.J. Iron catalysis for modular pyrimidine synthesis through β-ammoniation/cyclization of saturated carbonyl compounds with amidines. J. Org. Chem. 2017, 82, 1145–1154. [Google Scholar] [CrossRef]
- Yu, Q.; Liu, Y.; Wan, J.P. Transition metal-free synthesis of 3-trifluoromethyl chromones via tandem C-H trifluoromethylation and chromone annulation of enaminones. Org. Chem. Front. 2020, 7, 2770–2775. [Google Scholar] [CrossRef]
- Schmitt, E.; Commare, B.; Panossian, A.; Vors, J.P.; Pazenok, S.; Leroux, F.R. Synthesis of mono- and bis(fluoroalkyl)pyrimidines from FARs, fluorinated acetoacetates, and malononitrile provides easy access to novel highvalue pyrimidine scaffolds. Chemistry 2018, 24, 1311–1316. [Google Scholar] [CrossRef] [PubMed]
- Wang, Z.W.; Zheng, Y.; Qian, Y.E.; Guan, J.P.; Lu, W.D.; Yuan, C.P.; Xiao, J.A.; Chen, K.; Xiang, H.Y.; Yang, H. Photoredox-catalyzed cascade of o-hydroxyarylenaminones to access 3-aminated chromones. J. Org. Chem. 2022, 87, 1477–1484. [Google Scholar] [CrossRef]
- Dabholkar, V.V.; Ansari, F.Y. Ultrasound irradiated synthesis of bispyrimidine derivative in aqueous media. Synth. Commun. 2012, 42, 2423–2431. [Google Scholar] [CrossRef]
- Schreiner, E.; Braun, S.; Kwasnitschka, C.; Frank, W.; Müller, T.J. Consecutive Three-Component Synthesis of 2,6-Disubstituted Pyrimid-4(3H)-ones and 1,5-Disubstituted 3-Hydroxypyrazoles Initiated by Copper(I)-Catalyzed Carboxylation of Terminal Alkynes. Adv. Synth. Catal. 2014, 356, 3135–3147. [Google Scholar] [CrossRef]
- Lin, M.; Chen, Q.Z.; Zhu, Y.; Chen, X.L.; Cai, J.J.; Pan, Y.M.; Zhan, Z.P. Copper(II)-catalyzed synthesis of pyrimidines from propargylic alcohols and amidine: A propargylation–cyclization–oxidation tandem reaction. Synlett 2011, 1179–1183. [Google Scholar] [CrossRef]
- Xing, Y.; Cheng, B.; Wang, J.; Lu, P.; Wang, Y. Copper-catalyzed three-component synthesis of 3-aminopyrazoles and 4-iminopyrimidines via β-alkynyl-N-sulfonyl ketenimine intermediates. Org. Lett. 2014, 16, 4814–4817. [Google Scholar] [CrossRef]
- Sharma, N.; Chundawat, T.; Mohapatra, S.; Bhagat, S. Synthesis of novel fluorinated multisubstituted pyrimidines and 1,5-benzodiazepines via fluorinated N,S-acetals. Synthesis 2016, 48, 4495–4508. [Google Scholar] [CrossRef]
- Radi, M.; Casaluce, G.; Botta, M. A domino microwave-assisted protocol for the synthesis of 2,6-disubstituted pyrimidinones. Synlett 2011, 22, 1997–2000. [Google Scholar] [CrossRef]
- Zhou, Y.; Tang, Z.; Song, Q. Lewis Acid-mediated [3+3] annulation for the construction of substituted pyrimidine and pyridine derivatives. Adv. Synth. Catal. 2017, 359, 952–958. [Google Scholar] [CrossRef]
- El-Sayed, I.W.A.; Zeid, F.; Morsi, E.M.; Tawfek, N.; Yousif, N.M.; Yahia, S.; Abdel-Rahman, A.A.H. Synthesis and anticancer activity of new substituted pyrimidines, Their bicyclic and thioglycoside derivatives. Life Sci. J. 2015, 12, 63–70. [Google Scholar]
- Burgula, L.N.; Radhakrishnan, K.; Kundu, M.L. Synthesis of modified uracil and cytosine nucleobases using a microwave-assisted method. Tetrahedron Lett. 2012, 53, 2639–2642. [Google Scholar] [CrossRef]
- Tejedor, D.; Lopez-Tosco, S.; García-Tellado, F. Synthesis of fully substituted pyrimidines. J. Org. Chem. 2013, 78, 3457–3463. [Google Scholar] [CrossRef] [PubMed]
- Hosamani, K.M.; Reddy, D.S.; Devarajegowda, H.C. Microwave-assisted synthesis of new fluorinated coumarin-pyrimidine hybrids as potent anticancer agents, their DNA cleavage and X-ray crystal studies. RSC Adv. 2015, 5, 11261–11271. [Google Scholar] [CrossRef]
- Singh, B.D.; Pandey, J.; Khanam, H.; Singh, S. Lewis acid catalyzed [3+3] annulation/aldol condensation in water: One pot synthesis of (E,E)-4,6-bis(styryl)-pyrimidines. Asian J. Org. Chem. 2022, 11, e202200479. [Google Scholar] [CrossRef]
- Yuan, J.; Li, J.; Wang, B.; Sun, S.; Cheng, J. Base-promoted formal [4+1+1] annulation of aldehyde, N-benzyl amidine and DMSO toward 2,4,6-triaryl pyrimidines. Tetrahedron Lett. 2017, 58, 4783–4785. [Google Scholar] [CrossRef]
- Chakraborty, G.; Sikari, R.; Mondal, R.; Mandal, S.; Paul, N.D. Nickel-catalyzed synthesis of pyrimidines via dehydrogenative functionalization of alcohols. Asian J. Org. Chem. 2020, 9, 431–436. [Google Scholar] [CrossRef]
- Maji, M.; Borthakur, I.; Guria, S.; Singha, S.; Kundu, S. Direct access to 2-(N-alkylamino)pyrimidines via ruthenium catalyzed tandem multicomponent annulation/N-alkylation. J. Catal. 2021, 402, 37–51. [Google Scholar] [CrossRef]
- Qin, Z.; Ma, Y.; Li, F. Construction of a pyrimidine framework through [3+2+1] annulation of amidines, ketones, and N,N-dimethylaminoethanol as one carbon donor. J. Org. Chem. 2021, 86, 13734–13743. [Google Scholar] [CrossRef]
- Chun, Y.S.; Kim, J.H.; Choi, S.Y.; Ko, Y.O.; Lee, S.G. Cu(OAc)2-catalyzed tandem Blaise/Pinner-type reaction for one-pot synthesis of pyrimidin-4-ones. Org. Lett. 2012, 14, 6358–6361. [Google Scholar] [CrossRef]
- Chang, M.Y.; Lin, C.Y.; Chen, S.M. Synthesis of 1-aryl isoquinolinones or o-diaryl pyrimidines via bismuth triflate-mediated intermolecular annulation of arylacetic acids with nitroarylaldehydes or trimethoxybenzene in the presence of acetonitrile. Adv. Synth. Catal. 2022, 364, 2629–2641. [Google Scholar] [CrossRef]
- Karad, S.N.; Liu, R.S. Regiocontrolled gold-catalyzed [2+2+2] cycloadditions of ynamides with two discrete nitriles to construct 4-aminopyrimidine cores. Angew. Chem. Int. Ed. Engl. 2014, 53, 9072–9076. [Google Scholar] [CrossRef] [PubMed]
- You, X.; Yu, S.; Liu, Y. Reactions of zirconocene butadiyne or monoyne complexes with nitriles: Straightfoward synthesis of functionalized pyrimidines. Organometallics 2013, 32, 5273–5276. [Google Scholar] [CrossRef]
- Low, C.H.; Rosenberg, J.N.; Lopez, M.A.; Agapie, T. Oxidative coupling with Zr(IV) supported by a noninnocent anthracene-based ligand: Application to the catalytic cotrimerization of alkynes and nitriles to pyrimidines. J. Am. Chem. Soc. 2018, 140, 11906–11910. [Google Scholar] [CrossRef] [PubMed]
- Satoh, Y.; Yasuda, K.; Obora, Y. Strategy for the synthesis of pyrimidine derivatives: NbCl5-Mediated cycloaddition of alkynes and nitriles. Organometallics 2012, 31, 5235. [Google Scholar] [CrossRef]
- Su, L.; Sun, K.; Pan, N.; Liu, L.; Sun, M.; Dong, J.; Zhou, Y.; Yin, S.-F. Cyclization of ketones with nitriles under base: A general and economical synthesis of pyrimidines. Org. Lett. 2018, 20, 3399–3402. [Google Scholar] [CrossRef]
- Babaoglu, E.; Harms, K.; Hilt, G. Indium-mediated Blaise-type reaction of bromomalonates with nitriles and isocyanates. Synlett 2016, 27, 1820–1823. [Google Scholar] [CrossRef]
- Jadhav, S.D.; Singh, A. Oxidative annulations involving DMSO and formamide: K2S2O8 mediated syntheses of quinolines and pyrimidines. Org. Lett. 2017, 19, 5673–5676. Available online: https://pubs.acs.org/10.1021/acs.orglett.7b02838 (accessed on 5 October 2017). [CrossRef]
- Deibl, N.; Ament, K.; Kempe, R. A sustainable multicomponent pyrimidine synthesis. J. Am. Chem. Soc. 2015, 137, 12804–12807. [Google Scholar] [CrossRef]
- Deibl, N.; Kempe, R. Manganese-catalyzed multicomponent synthesis of pyrimidines from alcohols and amidines. Angew. Chem. Int. Ed. 2017, 56, 1663–1666. [Google Scholar] [CrossRef]
- Chowrasia, R.; Katla, R.; Darbem, M.P.; Branquinho, T.A.; de Oliveira, A.R.; Manjari, P.S.; Domingues, N.L.C. Novel multi-component syntheses of pyrimidines using β-CD in aqueous medium. Tetrahedron Lett. 2016, 57, 1656–1660. [Google Scholar] [CrossRef]
- Adib, M.; Mahmoodi, N.; Mahdavi, M.; Bijanzadeh, H.R. Microwave-assisted simple, one-pot, four-component synthesis of 2,4,6-triarylpyrimidines under solvent-free conditions. Tetrahedron Lett. 2006, 47, 9365–9368. [Google Scholar] [CrossRef]
- Guo, W.; Liao, J.; Liu, D.; Li, J.; Ji, F.; Wu, W.; Jiang, H. A Four-Component Reaction Strategy for Pyrimidine Carboxamide Synthesis. Angew. Chem. Int. Ed. Engl. 2017, 56, 1289–1293. [Google Scholar] [CrossRef] [PubMed]
- Ding, Y.; Ma, R.; Hider, R.C.; Ma, Y. Acid-catalyzed pseudo five-component annulation for a general one-pot synthesis of 2,4,6-triaryl pyrimidines. Asian J. Org. Chem. 2020, 9, 242–246. [Google Scholar] [CrossRef]
- Kalogirou, A.S.; Manoli, M.; Koutentis, P.A. Two-step conversion of 3,4,4,5-tetrachloro-4H-1,2,6-thiadiazine into 4,5,6-trichloropyrimidine-2-carbonitrile. Tetrahedron Lett. 2017, 58, 2618–2621. [Google Scholar] [CrossRef]
- Wang, A.; Lu, M.; Xie, X.; Liu, Y. Gold(III) or Gold(I)/Lewis-Acid-Catalyzed Substitution/Cyclization/1,2-Migration Reactions of Propargyl Alcohols with 3-Amino-benzo[d]isoxazoles: Synthesis of Pyrimidine Derivatives. Org. Lett. 2022, 24, 2944–2949. [Google Scholar] [CrossRef]
- Dofe, V.S.; Sarkate, A.P.; Shaikh, Z.M.; Jadhav, C.K.; Nipte, A.S.; Gill, C.H. Ultrasound-assisted synthesis of novel pyrazole and pyrimidine derivatives as antimicrobial agents. J. Heterocycl. Chem. 2018, 55, 756–762. [Google Scholar] [CrossRef]
- Unger, L.; Accorsi, M.; Eidamshaus, C.; Reich, D.; Zimmer, R.; Reissig, H.-U. Preparation and reactions of trichloromethyl-substituted pyridine and pyrimidine derivatives. Synthesis 2018, 50, 4071–4080. [Google Scholar] [CrossRef]
Disclaimer/Publisher’s Note: The statements, opinions and data contained in all publications are solely those of the individual author(s) and contributor(s) and not of MDPI and/or the editor(s). MDPI and/or the editor(s) disclaim responsibility for any injury to people or property resulting from any ideas, methods, instructions or products referred to in the content. |
© 2023 by the authors. Licensee MDPI, Basel, Switzerland. This article is an open access article distributed under the terms and conditions of the Creative Commons Attribution (CC BY) license (https://creativecommons.org/licenses/by/4.0/).





















































