Abstract
Agarose-vinyl sulfone (VS) beads have proven to be a good support to immobilize several enzymes. However, some enzymes are hardly immobilized on it. This is the case of penicillin G acylase (PGA) from Escherichia coli, which is immobilized very slowly on this support (less than 10% in 24 h). This enzyme is also not significantly adsorbed in aminated MANAE-agarose beads, an anionic exchanger. In this study, MANAE-agarose beads were modified with divinyl sulfone (DVS) to produce MANAE-vinyl sulfone (VS) agarose beads. When PGA was immobilized on this support, the enzyme was fully immobilized in less than 1.5 h. PGA cannot be released from the support by incubation at high ionic strength, suggesting that the enzyme was rapidly immobilized in a covalent fashion. Considering that the amount of reactive VS groups was only marginally increased, the results indicated some cooperative effect between the anion exchange on the amine groups of the support, probably as the first step of the process, and the covalent attachment of the previously adsorbed PGA molecules. The covalent reaction of the previously adsorbed enzyme molecules proceeds much more efficiently than that of the free enzyme, due to the proximity of the reactive groups of the support and the enzyme. Finally, the steps of immobilization, incubation, and blocking with different agents were studied to determine the effects on final activity/stability. The stability of PGA immobilized on this new catalyst was improved with respect to the VS-agarose prepared at low ionic strength.
1. Introduction
The enzyme penicillin G acylase (PGA) from Escherichia coli is one of the most successful examples of industrial biocatalysis [1,2,3,4,5]. This enzyme has been used for decades in the production of 6-amino penicillanic acid by hydrolysis of penicillin G, a key step in the production of semi-synthetic β-lactamic antibiotics [6,7]. There are great efforts to use the enzyme in the amidation step in the production of these drugs via thermodynamically or kinetically controlled strategies [8,9,10,11,12,13]. Moreover, the enzyme has been used in the resolution of racemic mixtures [14,15,16,17] and deprotection steps in synthetic processes [18,19], etc. Due to this, the interest in the industry for this enzyme is quite high.
For the industrial use of PGA, an immobilized form is preferred to facilitate its recovery and reuse [20]. Moreover, although the stability of the enzyme in the hydrolytic conditions is reasonable even to be utilized in industry, for some other uses (e.g., for thermodynamically controlled synthesis in the presence of high concentrations of organic cosolvents), the enzyme stability must be much increased, and its immobilization has shown to be a potent tool in this sense [8,21,22,23,24,25,26]. Enzymes’ stability can be increased using a proper immobilization protocol, for different reasons, as recently reviewed (e.g., prevention of intramolecular interactions, multipoint covalent attachment, generation of hydrophilic environments, etc.) [27]. In this context, PGA has been used as one of the initial model enzymes in many enzyme immobilization–stabilization strategies: glyoxyl, epoxide, CLEAs, etc., and in the coupling of genetic tools for immobilization, trapping of soft biocatalysts, etc. [20,25,28,29,30,31,32,33,34,35,36,37,38,39,40,41,42,43,44,45,46].
Supports activated by reaction with divinyl sulfone (DVS) have been described a long time ago as a very useful matrix to immobilize biomacromolecules [47,48,49,50,51,52,53,54]. Recently, they proved to be able to immobilize the enzymes via an intense multipoint covalent attachment if the immobilization protocol was properly designed [55,56,57,58]. Vinyl sulfone (VS) supports can react with primary amino, thiol, imidazole, phenol, and thiol moieties of enzymes, but the spacer arm is relatively long (5 atoms plus the arm in the support), and this means that each covalent attachment introduces a lower rigidity than using other supports, such as glyoxyl-activated supports [56]. The immobilization protocol using VS-activated supports must include three different steps, which must be independently studied. The first step is the enzyme immobilization, which determines the area of the enzyme that interacts with the support. The second one is the immobilized enzyme incubation, where the researcher attempts to maximize the enzyme-support reaction, without decreasing in excess the enzyme activity. The last step is the blocking of the remaining VS groups [56]. To leave the remaining vinyl sulfone groups in the support without blocking means that uncontrolled enzyme-support covalent reactions can occur during operation, and that the support can react (and in this way, can be uncontrolledly blocked) via components of the reaction media. This step is critical in determining not only enzyme stability, but also activity and specificity (the enzyme-support interactions can alter the enzyme structure) and even the enzyme inactivation pathway, becoming one of the central points in the optimization of the immobilization protocol using these supports [59,60,61]. Although this means an additional step, it also opens new opportunities in the biocatalysts’ design, such as the possibility of immobilizing on the support enzymes via physical adsorption, co-immobilizing these enzymes with covalently attached ones that should be previously immobilized, which can be reused after inactivation of the physically immobilized enzymes after their release and immobilization of new enzyme batches [62,63].
The use of VS-agarose to immobilize PGA has been very recently reported [64]. The enzyme, which immobilized very rapidly in glyoxyl supports [40], cannot be directly immobilized in the support at a reasonable rate for some unknown reason [64]. In that initial paper, the solution applied to solve this drawback was the use of a high ionic strength to force a preliminary adsorption of the enzyme to the relatively hydrophobic VS layer, which was followed by a fast covalent immobilization [64]. This apparently monofunctional support was utilized de facto as a heterofunctional support [65]. However, the use of high ionic strength may be problematic, as enzyme precipitation can occur under certain conditions.
In this paper, we propose the use of a heterofunctional support (amino-vinyl sulfone agarose beads) to achieve PGA immobilization (Scheme 1). This support has already been utilized to immobilize other enzymes, some of them hardly immobilized on monofunctional VS-agarose [57,66,67]. The hypothesis is that the ion exchange of the enzyme molecule on the support will occur, and that the proximity between the reactive VS groups in the support and the reactive groups in the enzyme will allow the rapid enzyme covalent immobilization. This support has been prepared by modification of a support previously modified with ethylenediamine, which means that the spacer arm, already relatively long in this support, as stated above, is four atoms longer. This means that the rigidity introduced in the enzyme structure with each additional enzyme-support bond should be lower than that achieved using a standard VS-agarose support, even though it may be possible that the enzyme can be immobilized to the support by more points [27,68].
Scheme 1.
PGA immobilization strategy on heterofunctional MANAE-vinyl sulfone (VS) agarose beads. PGA cannot be directly immobilized on monofunctional VS-agarose and MANAE-agarose supports.
2. Results
2.1. Immobilization of PGA on Agarose-VS and on Agarose-MANAE
Figure 1 shows that, as recently reported [64], less than 10% of the enzyme is immobilized on agarose-VS after 24 h, even at pH 9.0. This occurred even though the enzyme was rapidly immobilized in glyoxyl agarose [37,39,40,69,70,71], a support that requires the establishment of several amino enzyme- aldehyde support bonds to immobilize the enzyme [72], only participating in the reaction of the non-ionized primary amino groups of the enzyme.
Figure 1.
Effect of the pH in the immobilization courses of PGA on agarose-VS at 25 °C using 5 mM of the corresponding buffer. Data are shown as residual activity in %, considering 100% the initial activity. (A) Sodium acetate at pH 5.0, (B) sodium phosphate at pH 7.0, and (C) sodium carbonate at pH 9.0. Empty circles with dashed line: reference suspension. Red triangles: suspension. Blue squares: supernatant. Other specifications are described in the Methods Section.
Figure 2 shows that PGA was not immobilized on agarose-MANAE at any of the assayed pH values (5.0, 7.0, and 9.0). The enzyme PGA presents some protein subpopulations with an isoelectric point ranging between 6.2 and 6.8 [73]. That is, even though at pH 5.0 this lack of enzyme-support ion exchange may be expected, at pH 7.0 and mainly at pH 9.0, the enzyme should become immobilized on the cationic support. This lack of adsorption of PGA on weak ion exchanges may be correlated to the great number of ionic bridges that the ion groups of the enzyme exhibit in its surface, making it difficult for them to be involved in the PGA ionic exchange [74]. In this way, it looks like these individual supports were inefficient to immobilize PGA.
Figure 2.
Effect of pH in the immobilization courses of PGA (2.5 mg/g) in agarose-MANAE beads at 25 °C in 5 mM of the corresponding buffer. Data are shown as residual activity in %, considering 100% the initial activity. (A) Sodium acetate at pH 5.0, (B) sodium phosphate at pH 7.0, and (C) sodium carbonate at pH 9.0. Empty circles with dashed line: reference suspension. Red triangles: suspension. Blue squares: supernatant. Other specifications are described in the Methods Section.
2.2. Preparation of Agarose-MANAE-VS Beads
Agarose-MANAE-VS beads were prepared as described in the Methods Section. The elemental analyses of the different supports (agarose, agarose-VS, agarose-MANAE, and agarose-MANAE-VS) are shown in Table 1. The supports were again submitted to a reaction with ethylenediamine (EDA) to check if the VS groups were reactive.
Table 1.
Amounts of nitrogen and sulfur present in the different supports based on agarose beads 4% BCL after their functionalization with ethylenediamine (EDA) or divinyl sulfone. Data were obtained via elemental analysis, as described in the Methods Section.
As expected, agarose lacks detectable amounts of S or N. The activation of the support with DVS produced a modification of the support that had over 2320 micromoles of S per g of dried support. However, the modification of this support with EDA produced a relation of N/S of only 0.72, which we expected to reach a value of 2 if all VS groups were reactive and all were modified. Using a longer reaction time in the EDA/VS–supports reaction did not produce significant changes in this ratio, suggesting that the problem was that some VS groups may be inactive (or be attached by polymerization on previously immobilized VS groups), or quite unlikely, some EDA molecules can react with 2 VS in the support. Agarose-MANAE presented 2360 mols of N (that means 1180 mols of EDA groups). The amount of introduced VS on agarose-MANAE was 2760, suggesting that VS can also react with secondary amino groups; that is, 2–3 molecules of VS may be introduced by the EDA molecule in the support. However, the reactivity of these VS groups was reduced, as the ratio N/S only moved from 0.78 to 1.36, and only around 25–30% of the VS groups reacted with free EDA. Together with the possibility of having many VS inactivated, the cross-reaction of a single molecule of EDA with two VS groups cannot be discarded, and this may be likelier here than in the standard support due to the proximity of the VS groups that react with the same EDA group.
In any case, it seems that the increase in VS groups using the new support cannot be decisive to determine the enzyme immobilization, and that the chemical reactivity of the support is only slightly lower in the mono- than in the hetero-functional supports. It seems that some optimization on this activation could be convenient, but we decided to continue in this paper using the standard activation protocol that has enabled good results in other cases [55,56,57,58,59,60,61].
2.3. Immobilization of PGA on Agarose-MANAE-VS Beads
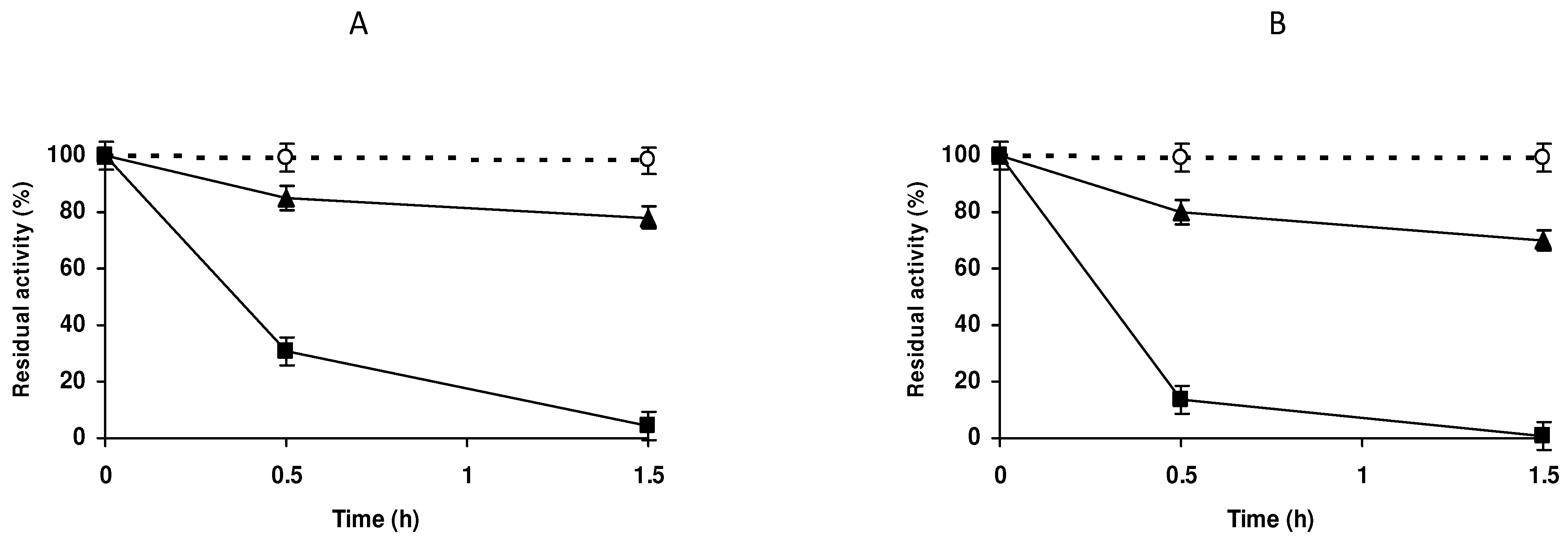
Figure 3 shows that PGA fully immobilized on agarose-MANAE-VS beads in only 1.5 h at pH 7.0 and 10.0. When we tried to release the enzyme from the support by incubating the enzyme in 1 M of sodium sulfate, no enzyme could be released from the support from the first stage of the immobilization under both conditions. This contrasts with the results shown in Figure 1 and Figure 2, therefore suggesting that it may be possible to have a small fraction of PGA molecules that become adsorbed by ion exchange in the support, which subsequently react very fast in a covalent way with the vinyl sulfone groups, promoting the shift of the ion exchange equilibrium and thus leading to full enzyme covalent immobilization. Similar results have been reported in the immobilization of enzymes with a high isoelectric point on amino-glutaraldehyde supports [75]. Other enzymes that failed at immobilizing on monofunctional VS supports readily immobilized on different VS heterofunctional supports [59,66].
Figure 3.
Effect of the pH value in the immobilization courses of PGA on agarose-MANAE-VS at 25 °C in 5 mM of the indicated buffer. Data are shown as residual activity in %, considering 100% the initial activity. (A) Sodium phosphate at pH 7.0, and (B) sodium carbonate at pH 9.0. Empty circles with dashed line: reference suspension (0.25 mg/mL). Full triangles with solid line: suspension. Full squares with solid line: supernatant. Other specifications are described in the Methods Section.
The immobilization was more rapid at pH 9.0 than at pH 7.0, and this could be due to a more rapid covalent reaction (higher at alkaline pH values) or to a more efficient ion exchange (considering the moderately high isoelectric point of the enzyme). The enzyme immobilized at pH 7.0 retained around 80% of the activity after immobilization, while the enzyme immobilized at pH 9.0 retained around 70% (Figure 3). This higher loss in enzyme activity at pH 9.0 may be related to the higher enzyme-support reactivity at this pH value [56]. Next, we studied the different steps involved in the enzyme immobilization on VS supports.
2.4. Study of the Parameters Defining the Functional Parameters of Agarose-MANAE-VS-PGA
2.4.1. Effect of the Immobilization pH
First, we studied the effect of the pH on the immobilization. The immobilization pH can determine the region of the enzyme surface that is involved in the immobilization, and this can determine not only the enzyme activity, but also the immobilized enzyme stability [28,46,76,77,78]. We fixed an incubation time of 3 h at pH 8.0 and used Gly as a blocking agent for the next steps. The activity evolution of the PGA biocatalyst is shown in Table 2. The immobilization yielded a difference in expressed activity of only 10% (80% when immobilized at pH 7.0 or 70% if immobilized at pH 9.0). The incubation promoted a drastic reduction in the enzyme activity to around 30%, but as in other cases [56,58,59,60,61,66,79,80,81], the activity was partially recovered during the blocking step, affording activity of around 50% for both biocatalysts.
Table 2.
Effect of the immobilization pH on the relative activity of different PGA biocatalysts in the different steps of the immobilization process. Biocatalysts were immobilized in 5 mM of sodium phosphate at pH 7.0 or sodium carbonate at pH 9.0. Incubation was carried out in 25 mM of sodium carbonate at pH 8.0 (100 mM of phenyl acetic acid and 30 mM of glycerol) for 3 h and the blocking was carried out utilizing 2 M of glycine at pH 8.0. The experiments were conducted as described in the Methods Section.
In this way, we compared the immobilized enzymes’ thermal stabilities using both immobilization pH values. In the inactivation of the enzymes (Figure 4), the enzyme immobilized at pH 7.0 was more stable than the enzyme immobilized at pH 9.0. It should be considered that the enzyme immobilized at pH 9.0 has a certain advantage in the enzyme-support reaction and should yield a more intense multipoint covalent attachment, as the reactivity of the enzyme with the support is higher at this pH than at pH 7.0 [56]. This result suggested that the area of the enzyme immobilized in contact with the support when immobilized at pH 7 was more important for the enzyme stability than the area of the enzyme in contact with the support when the enzyme was immobilized at pH 9 or presented more nucleophiles and permitted to reach a higher multipoint covalent immobilization [28,46,76,77,78]. Another likely explanation is that the immobilization at pH 9.0 caused some conformational changes in the enzyme structure, producing a less stable structure, even if later more enzyme-support bonds could be achieved.
Figure 4.
Thermal inactivation courses of PGA immobilized in agarose-MANAE-VS using different immobilization pH values (see legend of Table 2). Full triangles: immobilization in 5 mM of sodium phosphate at pH 7.0. Full squares: immobilization in 5 mM of sodium carbonate at pH 9.0. Other specifications are described in the Methods Section.
From these results, we decided to continue the experiments immobilizing the enzyme at pH 7.0.
2.4.2. Effect of the Incubation pH
In this study, the enzyme was immobilized at pH 7.0, incubated for 3 h at pH 7.0, 8.0, 9.0, and 10.0, and blocked with Gly. Table 3 shows the results of the expressed activity versus 6-nitro-3-(phenylacetamido) benzoic acid (NIPAB). It can be observed that the incubation step produced a similar decrease in enzyme activity (from around 80% to just 30–35%) at all the incubation pH values, and the Gly blocking, as in the section above, permitted the recovery of activity to around 50–55%. Differences were not relevant in this parameter, and in this way, we analyzed the stability of the different preparations. The inactivation courses in Figure 5 show that the incubation at pH 10.0 provided a slight improvement of the enzyme stability compared to the incubation at the other pH values. At this pH, the reactivity of the Lys groups in the enzyme should be higher than at the other pH values.
Table 3.
Effect of the incubation pH in the relative hydrolytic activity of PGA. Immobilization was performed in 5 mM of sodium phosphate at pH 7.0. Incubation was carried out using 25 mM of sodium phosphate at pH 7.0 and 8.0 or sodium carbonate at pH 9.0 and 10.0 (an additional 100 mM of phenylacetic acid and 30% glycerol were always added) for 3 h. Blocking was performed using 2 M of Gly at pH 8.0 for 48 h. Other details can be found in the Methods Section.
Figure 5.
Effect of the incubation pH of the PGA biocatalyst on its thermal stability. Figure shows the thermal inactivation courses of PGA immobilized at pH 7 and incubated at different pH values (see legend of Table 3). Full triangles: pH 7.0. Full circles: pH 8.0. Full squares: pH 9.0. Empty rhombi: pH 10.0. Other specifications are described in the Methods Section.
We fixed immobilization at pH 7.0 and incubation at pH 10 in further studies.
2.4.3. Effect of the Incubation Time
The incubation time is a very important variable to define the final enzyme activity and stability, because after the enzyme is immobilized, the reaction between two rigid entities, such as the support and the enzyme surfaces (that will become more rigid after each additional enzyme-support bond), is required [82]. Table 4 shows how when the incubation time was prolonged for 3 h, there was a relatively quick decrease of the enzyme activity. After that time, the decrease in the activity proceeded slower.
Table 4.
Effect of the incubation time in the relative (considering 100% of the activity of the enzyme offered for the immobilization) hydrolytic activity of PGA biocatalysts immobilized in 5 mM of sodium phosphate at pH 7.0 and incubated in 25 mM of sodium carbonate (100 mM of phenylacetic acid and 30% glycerol) at pH 10.0. Blocking was performed with glycine. The experiments were conducted as described in the Methods Section.
The blocking with Gly allowed for recovering activity in all cases, with the activity ranging between 51% and almost 55%. The expressed activity did not seem a decisive point to select the PGA biocatalyst. The inactivation course in Figure 6 shows that the stability progressively increased until 5 h of incubation, then there were no further improvements on the enzyme stability, and the biocatalysts prepared by incubation of 48 or 72 h showed the poorest stability. This could be due to the promotion of distorted conformation of the enzyme that introduces some tension on the enzyme structure, promoting a less stable enzyme. The incubation was defined at pH 10 for 5 h for the next studies.
Figure 6.
Effect of the incubation time on the stability of PGA biocatalysts immobilized at pH 7 and incubated at pH 10.0 during different times (see Table 4 for more details). Empty triangles with solid line: 1 h. Full circles with solid line: 3 h. Full squares with solid line: 5 h. Empty squares with solid line: 24 h. Full rhombi with solid line: 48 h. Empty rhombi with solid line: 72 h. Other specifications are described in the Methods Section.
2.4.4. Effect of the Blocking Agent
As it has been commented in this paper, many studies point out that the blocking step may be a critical one in the preparation of a vinyl sulfone immobilized enzyme [56,58,59,60,61,66,79,80,81]. We tried different blocking agents and analyzed the features of the immobilized PGA prepared as described in the previous section.
Table 5 shows that the blocking with mercaptoethanol produced a further decrease of the enzyme activity, and the final biocatalyst activity expressed less than 5% of the initial one. Among the other blocking agents, Gly is the blocking agent that permitted to maintain the highest activity (over 50%), while the blocking with Asp and Cys yielded a final activity of 35% (slightly increasing the activity after the incubation step) and the use of ethanol amine and ethylenediamine permitted to recover more than 40% of the activity utilized in the immobilization process. When studying the enzyme stability, Figure 7 shows that the blocking with Gly and mercaptoethanol yielded the highest stabilities (but the activity of the second biocatalyst was initially 10-fold lower (Table 5)). The blocking with EDA, the same group presented in the support below the VS groups, produced the biocatalyst with the lowest stability. Ethanolamine was the second least stable biocatalyst, suggesting that a cationic support was not very adequate for the enzyme stability. Using monofunctional VS support and high ionic strength, this blocking agent produced the most stable biocatalyst [64], pointing to the great differences between both biocatalysts, and to the necessity to empirically study each enzyme immobilization protocol.
Table 5.
Effect of the blocking agent (2 M) in the relative hydrolytic activity (considering 100% of the initial activity utilized in the immobilization) of PGA biocatalysts immobilized at pH 7 and incubated for 5 h at pH 10.0. The experiments were conducted as described in the Methods Section.
Figure 7.
Effect of the blocking agent in the thermal inactivation courses of PGA biocatalysts immobilized at pH and incubated at pH 10.0 for 5 h (see Table 5 for further details). Full squares: glycine. Empty squares: cysteine. Full triangles: ethylenediamine. Empty circles: aspartic acid. Full rhombi: ethanolamine. Empty rhombi: β-mercaptoethanol. Other specifications are described in the Methods Section.
Cys and Asp blocking yielded similar stabilities, but lower than those obtained by the blocking with Gly (using monofunctional VS at high ionic strength, Asp produced the least stable biocatalyst) [64]. The different effects of the blocking reagents may be a consequence of several factors. First, in all cases, there was a layer of a di-cationic compound below the VS layer that was not in the previous case. Second, it is possible that the area of the enzyme in contact with the support was not the same in both cases.
Considering both activity and stability, the best blocking agent was considered as Gly among the studied reagents.
Figure 8 shows the comparison of the stabilities of the free and the most stable immobilized PGA prepared in this paper. The immobilized enzyme was more stable than the free enzyme (e.g., maintaining 30% of the initial activity after 1 h, while the free enzyme maintained only 5%). Although this stabilization is relevant, it does not compare well with the stabilization achieved using glyoxyl [37,40] or epoxide supports [29,31], or even monofunctional VS [64]. The reason may be due to the negative effect of the cationic surface below the enzyme (effect found using monofunctional VS after blocking with EDA) [64] and/or the longer spacer arm used in this paper [27].
Figure 8.
Thermal inactivation courses of soluble PGA in 50 mM of Tris HCl (solid squares) and Agarose-MANAE-VS-PGA immobilized at pH 7, incubated for 5 h at pH 10, and blocked with Gly (empty circles). Other details can be found in the Materials Section.
3. Materials and Methods
3.1. Materials
The enzyme penicillin G acylase (PGA) was purchased from Merck (Madrid, Spain), as an aqueous solution (with an average value of 86 ± 4 mg of protein per mL). The Protein Assay Dye Reagent kit was acquired from Bio-Rad (Alcobendas, Spain). Phenylacetic acid, 6-nitro-3-(phenylacetamido) benzoic acid (NIPAB), ethylenediamine (EDA), glycine, ethanolamine, cysteine, glucose, aspartic, and β-mercaptoethanol were purchased from Merck. Sodium borohydride and sodium periodate were purchased from Sigma-Aldrich (St. Louis, MO, USA). Divinyl sulfone (DVS) was supplied by Thermo Fisher Scientific (Madrid, Spain). Sepharose® 4BCL was purchased from ABT (Madrid, Spain). Glyoxyl [72] and MANAE [83] agarose beads were prepared as described elsewhere. All other reagents were analytical grade. Elemental analyses were performed by CAI of Microanálisis Elemental, Complutense University of Madrid, using a Leco 932 CHNS (EA Consumables, Marlton, NY, USA) combustion microanalyzer.
3.2. Methods
Protein concentration was determined using Bradford’s method [84]. All experiments were performed at least in triplicate. The values are presented as mean and standard error.
3.2.1. Preparation of Agarose-MANAE-VS Beads
Here, 15 mL of divinyl sulfone was added to 200 mL of 0.333 M sodium carbonate at pH 11.5 under stirring until a homogeneous solution was obtained [85]. Then, 10 g of agarose-MANAE support was added under gentle agitation for 2 h. After this period, the activated support was vacuum-filtered with a sintered glass funnel, washed extensively with distilled water, and stored at 4–6 °C.
3.2.2. PGA Hydrolytic Activity Determination
A spectrophotometer with temperature control at 40 °C and magnetic stirring (200 rpm) was used to determine the enzyme activity. One unit of enzymatic activity (U) was defined as the amount of enzyme able to hydrolyze 1 µmol of substrate per minute and per mass of biocatalysts (protein or biocatalyst) under the assay conditions. NIPAB was used in the determination of PGA enzymatic activity, as described by Kutzbach and Rauenbusch [73]. The substrate was prepared in 50 mM of sodium phosphate at pH 7.5 at a concentration of 0.15 mM. Then, 100–200 μL of enzyme suspension or soluble enzyme solution was added to the reaction medium to initialize the reaction. The activity was measured following the increase in absorbance at 405 nm caused by the hydrolysis of NIPAB (ε under these conditions is 8730 M−1 × cm−1).
3.2.3. PGA Immobilization on Agarose-MANAE-VS Beads
In all the experiments, PGA was immobilized at a loading of 2.5 mg/g of support. A reference suspension was prepared using inert agarose beads (the enzyme was not immobilized at all on this support). The immobilization was determined by measuring the PGA activity presented in the suspension, supernatant, and reference suspension. The activity in the supernatant divided by the activity in the reference suspension afforded an accurate measure of the immobilization yield: the percentage of enzyme that has been immobilized. We have supplied in all cases the immobilization yield (percentage of enzyme immobilized on the support) and expressed activity (observed activity divided by the expected one from the immobilization yield) [86]. The immobilization assays were performed in a ratio of 1 g of support per 10 mL of enzyme solution. PGA was diluted in 5 mM of sodium phosphate solution at pH 7.0 and pH 8.0, or 5 mM of sodium carbonate solution at pH 9.0 (protein concentration was 0.25 mg/mL). To check the covalent immobilization, the immobilized enzyme was incubated in 1 M of sodium sulfate. After enzyme immobilization, the biocatalysts were filtered and washed with the buffer utilized in the incubation step (25 mM of sodium phosphate at pH 7.0 or 8.0, or 25 mM of sodium carbonate at pH 9.0 or 10.0), and the biocatalysts were resuspended under these conditions for different times to permit the multipoint covalent attachment, adding 30% glycerol (v/v) and 100 mM of phenyl acetic acid to prevent enzyme inactivation [8,22,87]. After the desired times, and to end the enzyme-support reaction, the biocatalysts were washed with distilled water and resuspended in 2 M solutions of different nucleophiles (EDA, Gly, ethanolamine, Cys, Asp, or β-mercaptoethanol) in 100 mM of sodium phosphate at pH 8.0 for 48 h to block the remaining VS groups in the support. Samples were withdrawn to check the enzyme activity during the whole process.
3.2.4. Thermal Inactivation of Different Biocatalysts
The different biocatalysts were inactivated by incubation in 50 mM of Tris-Cl at pH 8.0 in a water bath with the temperature set at 55 °C. Periodically, samples were taken, and their residual activities were determined using the NIPAB assay described above, considering the initial activity of the preparation as 100% and referencing the activity of the other samples to this initial value as a percentage.
4. Conclusions
The main conclusion of this paper is that the cooperation between two different immobilization causes, individually unable to yield the enzyme immobilization, produced a great acceleration of the immobilization of PGA on agarose-MANAE-VS supports. This occurred even though immobilization was not appreciated using agarose-MANAE supports and it was very slow using monofunctional agarose-VS beads. The covalent reaction was so rapid after the enzyme adsorption that we were not able to release the enzymes from the biocatalysts even from the first moments, proving the rapid reaction between the adsorbed enzyme and the VS groups. The immobilization, incubation, and blocking steps play critical roles on the final biocatalyst performance and must be studied in a specific way. The blocking reagents have different qualitative effects using monofunctional VS or this amino-VS bifunctional supports, confirming the importance of this step and the difficulties to extrapolate the effect of a specific blocking reagent on the final properties of the immobilized enzyme. In the specific case of the enzyme used in this paper, the final biocatalyst presented a stabilization much lower than that using other immobilization methods, perhaps due to the longer spacer arms or the near presence of cationic groups, but it has interest as a model for this kind of situation.
Author Contributions
Investigation, T.N.d.R., R.M.-S. and A.R.A.; writing—original draft preparation, T.N.d.R., R.M.-S., L.R.B.G., A.R.A., J.R.-M., J.M.B. and R.F.-L.; writing—review and editing, T.N.d.R., R.M.-S., L.R.B.G., A.R.A., J.R.-M., J.M.B. and R.F.-L.; conceptualization, J.R.-M., J.M.B. and R.F.-L.; supervision, J.R.-M. and R.F.-L. All authors have read and agreed to the published version of the manuscript.
Funding
This research was funded by CNPq (CNPq scholarship—Brazil), MCIN PID2019-105337RB-C22 and MCIN/AEI/10.13039/501100011033 (FPU17/05193).
Data Availability Statement
Data are available upon request from the authors.
Acknowledgments
CAI of Microanálisis Elemental, Complutense University of Madrid (Madrid, Spain), is gratefully recognized for help with the elemental analysis.
Conflicts of Interest
The authors declare no conflict of interest.
Sample Availability
Samples of the compounds are available from the authors.
References
- Pan, X.; Xu, L.; Li, Y.; Wu, S.; Wu, Y.; Wei, W. Strategies to improve the biosynthesis of β-lactam antibiotics by penicillin G acylase: Progress and prospects. Front. Bioeng. Biotechnol. 2022, 10, 1–14. [Google Scholar] [CrossRef] [PubMed]
- Li, K.; Mohammed, M.A.A.; Zhou, Y.; Tu, H.; Zhang, J.; Liu, C.; Chen, Z.; Burns, R.; Hu, D.; Ruso, J.M.; et al. Recent progress in the development of immobilized penicillin G acylase for chemical and industrial applications: A mini-review. Polym. Adv. Technol. 2020, 31, 368–388. [Google Scholar] [CrossRef]
- Cobos-Puc, L.; Rodríguez-Herrera, R.; Cano-Cabrera, J.C.; Aguayo-Morales, H.; Silva-Belmares, S.Y.; Gallegos, A.C.F.; Hernández, J.L.M. Classical and new pharmaceutical uses of bacterial penicillin G acylase. Curr. Pharm. Biotechnol. 2020, 21, 287–297. [Google Scholar] [CrossRef] [PubMed]
- Marešová, H.; Plačková, M.; Grulich, M.; Kyslík, P. Current state and perspectives of penicillin G acylase-based biocatalyses. Appl. Microbiol. Biotechnol. 2014, 98, 2867–2879. [Google Scholar] [CrossRef] [PubMed]
- Srirangan, K.; Orr, V.; Akawi, L.; Westbrook, A.; Moo-Young, M.; Chou, C.P. Biotechnological advances on penicillin G acylase: Pharmaceutical implications, unique expression mechanism and production strategies. Biotechnol. Adv. 2013, 31, 1319–1332. [Google Scholar] [CrossRef]
- Grigorenko, B.L.; Khrenova, M.G.; Nilov, D.K.; Nemukhin, A.V.; Švedas, V.K. Catalytic cycle of penicillin acylase from Escherichia coli: QM/MM modeling of chemical transformations in the enzyme active site upon penicillin G hydrolysis. ACS Catal. 2014, 4, 2521–2529. [Google Scholar] [CrossRef]
- Valencia, P.; Flores, S.; Wilson, L.; Illanes, A. Effect of internal diffusional restrictions on the hydrolysis of penicillin G: Reactor performance and specific productivity of 6-APA with immobilized penicillin acylase. Appl. Biochem. Biotechnol. 2011, 165, 426–441. [Google Scholar] [CrossRef]
- Fernandez-Lafuente, R.; Rosell, C.M.; Guisán, J. Enzyme reaction engineering: Synthesis of antibiotics catalysed by stabilized penicillin G acylase in the presence of organic cosolvents. Enzym. Microb. Technol. 1991, 13, 898–905. [Google Scholar] [CrossRef]
- Giordano, R.C.; Ribeiro, M.P.A.; Giordano, R.L.C. Kinetics of β-lactam antibiotics synthesis by penicillin G acylase (PGA) from the viewpoint of the industrial enzymatic reactor optimization. Biotechnol. Adv. 2006, 24, 27–41. [Google Scholar] [CrossRef]
- Pan, X.; Li, A.; Peng, Z.; Ji, X.; Chu, J.; He, B. Efficient synthesis of β-lactam antibiotics with in situ product removal by a newly isolated penicillin G acylase. Bioorg. Chem. 2020, 99, 103765. [Google Scholar] [CrossRef]
- Ye, J.; Li, A.; Chu, T.; Pan, X.; He, B. Poly-lysine supported cross-linked enzyme aggregates of penicillin G acylase and its application in synthesis of β-lactam antibiotics. Int. J. Biol. Macromol. 2019, 140, 423–428. [Google Scholar] [CrossRef]
- Harris, P.R.; Grover, M.A.; Rousseau, R.W.; Bommarius, A.S. Selectivity and kinetic modeling of penicillin G acylase variants for the synthesis of cephalexin under a broad range of substrate concentrations. Biotechnol. Bioeng. 2022, 119, 3117–3126. [Google Scholar] [CrossRef]
- Volpato, G.; Rodrigues, R.C.; Fernandez-Lafuente, R. Use of enzymes in the production of semi-synthetic penicillins and cephalosporins: Drawbacks and perspectives. Curr. Med. Chem. 2010, 17, 3855–3873. [Google Scholar] [CrossRef]
- Cardillo, G.; Tolomelli, A.; Tomasini, C. Enzymatic resolution of α-alkyl β-amino acids using immobilized penicillin G acylase. J. Org. Chem. 1996, 61, 8651–8654. [Google Scholar] [CrossRef]
- Baldaro, E.; D’Arrigo, P.; Pedrocchi-Fantoni, G.; Rosell, C.M.; Servi, S.; Tagliani, A.; Terreni, M. Pen G acylase catalyzed resolution of phenylacetate esters of secondary alcohols. Tetrahedron Asymmetry 1993, 4, 1031–1034. [Google Scholar] [CrossRef]
- Fadnavis, N.; Sharfuddin, M.; Vadivel, S. Resolution of racemic 2-amino-1-butanol with immobilised penicillin G acylase. Tetrahedron Asymmetry 1999, 10, 4495–4500. [Google Scholar] [CrossRef]
- Basso, A.; Braiuca, P.; De Martin, L.; Ebert, C.; Gardossi, L.; Linda, P. D-phenylglycine and D-4-hydroxyphenylglycine methyl esters via penicillin G acylase catalysed resolution in organic solvents. Tetrahedron Asymmetry 2000, 11, 1789–1796. [Google Scholar] [CrossRef]
- Waldmann, H.; Heuser, A.; Reidel, A. Selective enzymatic deprotection of hydroxy- and amino groups in carbohydrates and nucleosides. Synlett 1994, 1994, 65–67. [Google Scholar] [CrossRef]
- Waldmann, H.; Heuser, A.; Schulze, S. Selective enzymatic removal of protecting groups: The phenylacetamide as amino protecting group in phosphopeptide synthesis. Tetrahedron Lett. 1996, 37, 8725–8728. [Google Scholar] [CrossRef]
- Kallenberg, A.I.; van Rantwijk, F.; Sheldon, R.A. Immobilization of penicillin G acylase: The key to optimum performance. Adv. Synth. Catal. 2005, 347, 905–926. [Google Scholar] [CrossRef]
- Fernandez-Lafuente, R.; Rosell, C.M.; Caanan-Haden, L.; Rodes, L.; Guisan, J.M. Facile synthesis of artificial enzyme nano-environments via solid-phase chemistry of immobilized derivatives: Dramatic stabilization of penicillin acylase versus organic solvents. Enzym. Microb. Technol. 1999, 24, 96–103. [Google Scholar] [CrossRef]
- Abian, O.; Wilson, L.; Mateo, C.; Fernández-Lorente, G.; Palomo, J.M.; Fernández-Lafuente, R.; Guisán, J.M.; Re, D.; Tam, A.; Daminatti, M. Preparation of artificial hyper-hydrophilic micro-environments (polymeric salts) surrounding enzyme molecules: New enzyme derivatives to be used in any reaction medium. J. Mol. Catal. B Enzym. 2002, 19–20, 295–303. [Google Scholar] [CrossRef]
- Abian, O.; Mateo, C.; Fernández-Lorente, G.; Palomo, J.M.; Fernández-Lafuente, R.; Guisán, J.M. Stabilization of immobilized enzymes against water-soluble organic cosolvents and generation of hyper-hydrophilic micro-environments surrounding enzyme molecules. Biocatal. Biotransformation 2001, 19, 489–503. [Google Scholar] [CrossRef]
- Abian, O.; Mateo, C.; Fernandez-Lorente, G.; Guisan, J.M.; Fernandez-Lafuente, R. Improving the industrial production of 6-APA: Enzymatic hydrolysis of penicillin G in the presence of organic solvents. Biotechnol. Prog. 2003, 19, 1639–1642. [Google Scholar] [CrossRef]
- Montes, T.; Grazú, V.; Manso, I.; Galán, B.; López-Gallego, F.; González, R.; Hermoso, J.A.; García, J.L.; Guisán, J.M.; Fernández-Lafuente, R. Improved stabilization of genetically modified penicillin G acylase in the presence of Oporganic cosolvents by co-immobilization of the enzyme with polyethyleneimine. Adv. Synth. Catal. 2007, 349, 459–464. [Google Scholar] [CrossRef]
- Estruch, I.; Tagliani, A.R.; Guisán, J.M.; Fernández-Lafuente, R.; Alcántara, A.R.; Toma, L.; Terreni, M. Immobilization of the acylase from Escherichia coli on glyoxyl-agarose gives efficient catalyst for the synthesis of cephalosporins. Enzym. Microb. Technol. 2008, 42, 121–129. [Google Scholar] [CrossRef]
- Rodrigues, R.C.; Berenguer-Murcia, Á.; Carballares, D.; Morellon-Sterling, R.; Fernandez-Lafuente, R. Stabilization of enzymes via immobilization: Multipoint covalent attachment and other stabilization strategies. Biotechnol. Adv. 2021, 52, 107821. [Google Scholar] [CrossRef]
- Grazu, V.; López-Gallego, F.; Guisán, J.M. Tailor-made design of penicillin G acylase surface enables its site-directed immobilization and stabilization onto commercial mono-functional epoxy supports. Process Biochem. 2012, 47, 2538–2541. [Google Scholar] [CrossRef]
- Mateo, C.; Abian, O.; Fernandez-Lafuente, R.; Guisan, J.M. Increase in conformational stability of enzymes immobilized on epoxy-activated supports by favoring additional multipoint covalent attachment. Enzym. Microb. Technol. 2000, 26, 509–515. [Google Scholar] [CrossRef]
- Mateo, C.; Fernández-Lorente, G.; Abian, O.; Fernández-Lafuente, R.; Guisán, J.M. Multifunctional epoxy supports: A new tool to improve the covalent immobilization of proteins. The promotion of physical adsorptions of proteins on the supports before their covalent linkage. Biomacromolecules 2000, 1, 739–745. [Google Scholar] [CrossRef]
- Mateo, C.; Abian, O.; Fernández-Lorente, G.; Pedroche, J.; Fernández-Lafuente, R.; Guisan, J.M.; Tam, A.; Daminati, M. Epoxy sepabeads: A novel epoxy support for stabilization of industrial enzymes via very intense multipoint covalent attachment. Biotechnol. Prog. 2002, 18, 629–634. [Google Scholar] [CrossRef]
- Wilson, L.; Illanes, A.; Pessela, B.C.C.; Abian, O.; Fernández-Lafuente, R.; Guisán, J.M. Encapsulation of crosslinked penicillin G acylase aggregates in lentikats: Evaluation of a novel biocatalyst in organic media. Biotechnol. Bioeng. 2004, 86, 558–562. [Google Scholar] [CrossRef]
- Wilson, L.; Fernández-Lorente, G.; Fernández-Lafuente, R.; Illanes, A.; Guisán, J.M.; Palomo, J.M. CLEAs of lipases and poly-ionic polymers: A simple way of preparing stable biocatalysts with improved properties. Enzym. Microb. Technol. 2006, 39, 750–755. [Google Scholar] [CrossRef]
- Bolivar, J.M.; López-Gallego, F.; Godoy, C.; Rodrigues, D.S.; Rodrigues, R.C.; Batalla, P.; Rocha-Martín, J.; Mateo, C.; Giordano, R.L.C.; Guisán, J.M. The presence of thiolated compounds allows the immobilization of enzymes on glyoxyl agarose at mild pH values: New strategies of stabilization by multipoint covalent attachment. Enzym. Microb. Technol. 2009, 45, 477–483. [Google Scholar] [CrossRef]
- Serra, I.; Cecchini, D.A.; Ubiali, D.; Manazza, E.M.; Albertini, A.M.; Terreni, M. Coupling of site-directed mutagenesis and immobilization for the rational design of more efficient biocatalysts: The case of immobilized 3G3K PGA from E. coli. Eur. J. Org. Chem. 2009, 2009, 1384–1389. [Google Scholar] [CrossRef]
- Luo, H.; Zhao, H.; Chang, Y.; Wang, Q.; Yu, H.; Shen, Z. Oriented immobilization and characterization of a poly-Lysine-tagged cephalosporin C acylase on glyoxyl agarose support. Appl. Biochem. Biotechnol. 2015, 175, 2114–2123. [Google Scholar] [CrossRef]
- Morellon-Sterling, R.; Siar, E.-H.; Braham, S.A.; de Andrades, D.; Pedroche, J.; Millán, M.d.C.; Fernandez-Lafuente, R. Effect of amine length in the interference of the multipoint covalent immobilization of enzymes on glyoxyl agarose beads. J. Biotechnol. 2021, 329, 128–142. [Google Scholar] [CrossRef]
- Guisán, J. Aldehyde-agarose gels as activated supports for immobilization-stabilization of enzymes. Enzym. Microb. Technol. 1988, 10, 375–382. [Google Scholar] [CrossRef]
- Braham, S.A.; Morellon-Sterling, R.; de Andrades, D.; Rodrigues, R.C.; Siar, E.-H.; Aksas, A.; Pedroche, J.; Millán, M.d.C.; Fernandez-Lafuente, R. Effect of tris buffer in the intensity of the multipoint covalent immobilization of enzymes in glyoxyl-agarose beads. Appl. Biochem. Biotechnol. 2021, 193, 2843–2857. [Google Scholar] [CrossRef]
- Alvaro, G.; Fernandez-Lafuente, R.; Blanco, R.M.; Guisán, J.M. Immobilization-stabilization of penicillin G acylase from Escherichia coli. Appl. Biochem. Biotechnol. 1990, 26, 181–195. [Google Scholar] [CrossRef]
- Grazu, V.; Betancor, L.; Montes, T.; Lopez-Gallego, F.; Guisan, J.M.; Fernandez-Lafuente, R. Glyoxyl agarose as a new chromatographic matrix. Enzym. Microb. Technol. 2006, 38, 960–966. [Google Scholar] [CrossRef]
- Montes, T.; Grazú, V.; López-Gallego, F.; Hermoso, J.A.; Guisán, J.M.; Fernández-Lafuente, R. Chemical modification of protein surfaces to improve their reversible enzyme immobilization on ionic exchangers. Biomacromolecules 2006, 7, 3052–3058. [Google Scholar] [CrossRef] [PubMed]
- Montes, T.; Grazú, V.; López-Gallego, F.; Hermoso, J.A.; García, J.L.; Manso, I.; Galán, B.; González, R.; Fernández-Lafuente, R.; Guisán, J.M. Genetic modification of the penicillin G acylase surface to improve its reversible immobilization on ionic exchangers. Appl. Environ. Microbiol. 2007, 73, 312–319. [Google Scholar] [CrossRef] [PubMed]
- Cao, L.; Van Rantwijk, F.; Sheldon, R.A. Cross-linked enzyme aggregates: A simple and effective method for the immobilization of penicillin acylase. Org. Lett. 2000, 2, 1361–1364. [Google Scholar] [CrossRef] [PubMed]
- Cao, L.; van Langen, L.M.; van Rantwijk, F.; Sheldon, R.A. Cross-linked aggregates of penicillin acylase: Robust catalysts for the synthesis of β-lactam antibiotics. J. Mol. Catal. B Enzym. 2001, 11, 665–670. [Google Scholar] [CrossRef]
- Grazú, V.; López-Gallego, F.; Montes, T.; Abian, O.; González, R.; Hermoso, J.A.; García, J.L.; Mateo, C.; Guisán, J.M. Promotion of multipoint covalent immobilization through different regions of genetically modified penicillin G acylase from E. coli. Process Biochem. 2010, 45, 390–398. [Google Scholar] [CrossRef]
- Oenick, B.M.D.; Danielson, S.J.; Daiss, J.L.; Sundberg, M.W.; Sutton, R.C. Antigen-binding activity of antibodies immobilized on styrene copolymer beads. Ann. Biol. Clin. 1990, 48, 651–654. [Google Scholar]
- Bryjak, J.; Liesiene, J.; Kolarz, B.N. Application and properties of butyl acrylate/pentaerythrite triacrylate copolymers and cellulose-based Granocel as carriers for trypsin immobilization. Colloids Surf. B 2008, 61, 66–74. [Google Scholar] [CrossRef]
- Morales-Sanfrutos, J.; Lopez-Jaramillo, J.; Ortega-Muñoz, M.; Megia-Fernandez, A.; Perez-Balderas, F.; Hernandez-Mateo, F.; Santoyo-Gonzalez, F. Vinyl sulfone: A versatile function for simple bioconjugation and immobilization. Org. Biomol. Chem. 2010, 8, 667–675. [Google Scholar] [CrossRef]
- Ortega-Muñoz, M.; Morales-Sanfrutos, J.; Megia-Fernandez, A.; Lopez-Jaramillo, F.J.; Hernandez-Mateo, F.; Santoyo-Gonzalez, F. Vinyl sulfone functionalized silica: A “ready to use” pre-activated material for immobilization of biomolecules. J. Mater. Chem. 2010, 20, 7189–7196. [Google Scholar] [CrossRef]
- Labus, K.; Turek, A.; Liesiene, J.; Bryjak, J. Efficient Agaricus bisporus tyrosinase immobilization on cellulose-based carriers. Biochem. Eng. J. 2011, 56, 232–240. [Google Scholar] [CrossRef]
- Shang, J.; Cheng, F.; Dubey, M.; Kaplan, J.M.; Rawal, M.; Jiang, X.; Newburg, D.S.; Sullivan, P.A.; Andrade, R.B.; Ratner, D.M. An organophosphonate strategy for functionalizing silicon photonic biosensors. Langmuir 2012, 28, 3338–3344. [Google Scholar] [CrossRef]
- Li, M.; Cheng, F.; Li, H.; Jin, W.; Chen, C.; He, W.; Cheng, G.; Wang, Q. Site-specific and covalent immobilization of His-tagged proteins via surface vinyl sulfone-imidazole coupling. Langmuir 2019, 35, 16466–16475. [Google Scholar] [CrossRef]
- Cheng, F.; Wang, H.; He, W.; Sun, B.; Zhao, J.; Qu, J.; Wang, Q. New strategy for functionalization of silica materials via catalytic oxa-michael reaction of surface silanol groups with vinyl sulfones. ACS Sustain. Chem. Eng. 2019, 7, 9112–9120. [Google Scholar] [CrossRef]
- Morellon-Sterling, R.; Bolivar, J.M.; Fernandez-Lafuente, R. Switch off/switch on of a cysteinyl protease as a way to preserve the active catalytic group by modification with a reversible covalent thiol modifier: Immobilization of ficin on vinyl-sulfone activated supports. Int. J. Biol. Macromol. 2022, 220, 1155–1162. [Google Scholar] [CrossRef]
- Dos Santos, J.C.S.; Rueda, N.; Barbosa, O.; Fernández-Sánchez, J.F.; Medina-Castillo, A.L.; Ramón-Márquez, T.; Arias-Martos, M.C.; Millán-Linares, M.C.; Pedroche, J.; Yust, M.D.M.; et al. Characterization of supports activated with divinyl sulfone as a tool to immobilize and stabilize enzymes via multipoint covalent attachment. Application to chymotrypsin. RSC Adv. 2015, 5, 20639–20649. [Google Scholar] [CrossRef]
- Pinheiro, B.B.; Rios, N.S.; Rodríguez Aguado, E.; Fernandez-Lafuente, R.; Freire, T.M.; Fechine, P.B.A.; dos Santos, J.C.S.; Gonçalves, L.R.B. Chitosan activated with divinyl sulfone: A new heterofunctional support for enzyme immobilization. Application in the immobilization of lipase B from Candida antarctica. Int. J. Biol. Macromol. 2019, 130, 798–809. [Google Scholar] [CrossRef]
- Dos Santos, J.C.S.; Rueda, N.; Barbosa, O.; Millán-Linares, M.D.C.; Pedroche, J.; Del Mar Yuste, M.; Gonçalves, L.R.B.; Fernandez-Lafuente, R. Bovine trypsin immobilization on agarose activated with divinylsulfone: Improved activity and stability via multipoint covalent attachment. J. Mol. Catal. B Enzym. 2015, 117, 38–44. [Google Scholar] [CrossRef]
- Albuquerque, T.L.D.; Rueda, N.; Dos Santos, J.C.S.; Barbosa, O.; Ortiz, C.; Binay, B.; Özdemir, E.; Gonçalves, L.R.B.; Fernandez-Lafuente, R. Easy stabilization of interfacially activated lipases using heterofunctional divinyl sulfone activated-octyl agarose beads. Modulation of the immobilized enzymes by altering their nanoenvironment. Process Biochem. 2016, 51, 865–874. [Google Scholar] [CrossRef]
- dos Santos, J.C.S.; Rueda, N.; Gonçalves, L.R.B.; Fernandez-Lafuente, R. Tuning the catalytic properties of lipases immobilized on divinylsulfone activated agarose by altering its nanoenvironment. Enzym. Microb. Technol. 2015, 77, 1–7. [Google Scholar] [CrossRef]
- Paiva Souza, P.M.; Carballares, D.; Lopez-Carrobles, N.; Gonçalves, L.R.B.; Lopez-Gallego, F.; Rodrigues, S.; Fernandez-Lafuente, R. Enzyme-support interactions and inactivation conditions determine Thermomyces lanuginosus lipase inactivation pathways: Functional and florescence studies. Int. J. Biol. Macromol. 2021, 191, 79–91. [Google Scholar] [CrossRef]
- Arana-Peña, S.; Carballares, D.; Morellon-Sterling, R.; Rocha-Martin, J.; Fernandez-Lafuente, R. The combination of covalent and ionic exchange immobilizations enables the coimmobilization on vinyl sulfone activated supports and the reuse of the most stable immobilized enzyme. Int. J. Biol. Macromol. 2022, 199, 51–60. [Google Scholar] [CrossRef] [PubMed]
- Morellon-Sterling, R.; Carballares, D.; Arana-Peña, S.; Siar, E.-H.; Braham, S.A.; Fernandez-Lafuente, R. Advantages of supports activated with divinyl sulfone in enzyme coimmobilization: Possibility of multipoint covalent immobilization of the most stable enzyme and immobilization via ion exchange of the least stable enzyme. ACS Sustain. Chem. Eng. 2021, 9, 7508–7518. [Google Scholar] [CrossRef]
- Da Rocha, T.N.; Morellon-Sterling, R.; Rocha-Martin, J.; Bolivar, J.M.; Gonçalves, L.R.B.; Fernandez-Lafuente, R. Immobilization of penicillin G acylase on vinyl sulfone-agarose. An unexpected effect of the ionic strength on the performance of the immobilization process. Molecules 2022, 27, 7587. [Google Scholar] [CrossRef] [PubMed]
- Barbosa, O.; Torres, R.; Ortiz, C.; Berenguer-Murcia, Á.; Rodrigues, R.C.; Fernandez-Lafuente, R. Heterofunctional supports in enzyme immobilization: From traditional immobilization protocols to opportunities in tuning enzyme properties. Biomacromolecules 2013, 14, 2433–2462. [Google Scholar] [CrossRef]
- Zaak, H.; Sassi, M.; Fernandez-Lafuente, R. A new heterofunctional amino-vinyl sulfone support to immobilize enzymes: Application to the stabilization of β-galactosidase from Aspergillus oryzae. Process Biochem. 2018, 64, 200–205. [Google Scholar] [CrossRef]
- Mallin, H.; Höhne, M.; Bornscheuer, U.T. Immobilization of (R)- and (S)-amine transaminases on chitosan support and their application for amine synthesis using isopropylamine as donor. J. Biotechnol. 2014, 191, 32–37. [Google Scholar] [CrossRef]
- Bolivar, J.M.; Woodley, J.M.; Fernandez-Lafuente, R. Is enzyme immobilization a mature discipline? Some critical considerations to capitalize on the benefits of immobilization. Chem. Soc. Rev. 2022, 51, 6251–6290. [Google Scholar] [CrossRef]
- Temporini, C.; Bonomi, P.; Serra, I.; Tagliani, A.; Bavaro, T.; Ubiali, D.; Massolini, G.; Terreni, M. Characterization and study of the orientation of immobilized enzymes by tryptic digestion and HPLC-MS: Design of an efficient catalyst for the synthesis of cephalosporins. Biomacromolecules 2010, 11, 1623–1632. [Google Scholar] [CrossRef]
- López-Gallego, F.; Montes, T.; Fuentes, M.; Alonso, N.; Grazu, V.; Betancor, L.; Guisán, J.M.; Fernández-Lafuente, R. Improved stabilization of chemically aminated enzymes via multipoint covalent attachment on glyoxyl supports. J. Biotechnol. 2005, 116, 1–10. [Google Scholar] [CrossRef]
- Abian, O.; Grazú, V.; Hermoso, J.; González, R.; García, J.L.; Fernández-Lafuente, R.; Guisán, J.M. Stabilization of penicillin G acylase from Escherichia coli: Site-directed mutagenesis of the protein surface to increase multipoint covalent attachment. Appl. Environ. Microbiol. 2004, 70, 1249–1251. [Google Scholar] [CrossRef]
- Mateo, C.; Abian, O.; Bernedo, M.; Cuenca, E.; Fuentes, M.; Fernandez-Lorente, G.; Palomo, J.M.; Grazu, V.; Pessela, B.C.C.; Giacomini, C.; et al. Some special features of glyoxyl supports to immobilize proteins. Enzym. Microb. Technol. 2005, 37, 456–462. [Google Scholar] [CrossRef]
- Kutzbach, C.; Rauenbusch, E. Preparation and general properties of crystalline penicillin acylase from Escherichia coli ATCC 11 105. Physiol. Chem. 1974, 355, 45–53. [Google Scholar] [CrossRef]
- Fuentes, M.; Batalla, P.; Grazu, V.; Pessela, B.C.C.; Mateo, C.; Montes, T.; Hermoso, J.A.; Guisan, J.M.; Fernandez-Lafuente, R. Mixed ion exchange supports as useful ion exchangers for protein purification: Purification of penicillin G acylase from Escherichia coli. Biomacromolecules 2007, 8, 703–707. [Google Scholar] [CrossRef]
- Ait Braham, S.; Hussain, F.; Morellon-Sterling, R.; Kamal, S.; Kornecki, J.F.; Barbosa, O.; Kati, D.E.; Fernandez-Lafuente, R. Cooperativity of covalent attachment and ion exchange on alcalase immobilization using glutaraldehyde chemistry: Enzyme stabilization and improved proteolytic activity. Biotechnol. Prog. 2019, 35, e2768. [Google Scholar] [CrossRef]
- Mansfeld, J.; Vriend, G.; Van den Burg, B.; Eijsink, V.G.H.; Ulbrich-Hofmann, R. Probing the unfolding region in a thermolysin-like protease by site-specific immobilization. Biochemistry 1999, 38, 8240–8245. [Google Scholar] [CrossRef]
- Mansfeld, J.; Ulbrich-Hofmann, R. Site-specific and random immobilization of thermolysin-like proteases reflected in the thermal inactivation kinetics. Biotechnol. Appl. Biochem. 2000, 32, 189–195. [Google Scholar] [CrossRef]
- Ulbrich-Hofmann, R.; Arnold, U.; Mansfeld, J. The concept of the unfolding region for approaching the mechanisms of enzyme stabilization. J. Mol. Catal. B Enzym. 1999, 7, 125–131. [Google Scholar] [CrossRef]
- Dos Santos, J.C.S.; Rueda, N.; Torres, R.; Barbosa, O.; Gonçalves, L.R.B.; Fernandez-Lafuente, R. Evaluation of divinylsulfone activated agarose to immobilize lipases and to tune their catalytic properties. Process Biochem. 2015, 50, 918–927. [Google Scholar] [CrossRef]
- Dos Santos, J.C.S.; Rueda, N.; Sanchez, A.; Villalonga, R.; Gonçalves, L.R.B.; Fernandez-Lafuente, R. Versatility of divinylsulfone supports permits the tuning of CALB properties during its immobilization. RSC Adv. 2015, 5, 35801–35810. [Google Scholar] [CrossRef]
- Souza, P.M.P.; Carballares, D.; Gonçalves, L.R.B.; Fernandez-Lafuente, R.; Rodrigues, S. Immobilization of lipase B from Candida antarctica in octyl-vinyl sulfone agarose. Effect of the enzyme-support interactions on enzyme activity, specificity, structure and inactivation pathway. Int. J. Mol. Sci. 2022, 23, 14268. [Google Scholar] [CrossRef] [PubMed]
- Pedroche, J.; del Mar Yust, M.; Mateo, C.; Fernández-Lafuente, R.; Girón-Calle, J.; Alaiz, M.; Vioque, J.; Guisán, J.M.; Millán, F. Effect of the support and experimental conditions in the intensity of the multipoint covalent attachment of proteins on glyoxyl-agarose supports: Correlation between enzyme-support linkages and thermal stability. Enzym. Microb. Technol. 2007, 40, 1160–1166. [Google Scholar] [CrossRef]
- Fernandez-Lafuente, R.; Rosell, C.M.; Rodriguez, V.; Santana, C.; Soler, G.; Bastida, A.; Guisán, J.M. Preparation of activated supports containing low pK amino groups. A new tool for protein immobilization via the carboxyl coupling method. Enzym. Microb. Technol. 1993, 15, 546–550. [Google Scholar] [CrossRef] [PubMed]
- Bradford, M.M. A rapid and sensitive method for the quantitation of microgram quantities of protein utilizing the principle of protein-dye binding. Anal. Biochem. 1976, 72, 248–254. [Google Scholar] [CrossRef]
- Arana-Peña, S.; Carballares, D.; Cortés Corberan, V.; Fernandez-Lafuente, R. Multi-combilipases: Co-immobilizing lipases with very different stabilities combining immobilization via interfacial activation and ion exchange. The reuse of the most stable co-immobilized enzymes after inactivation of the least stable ones. Catalysts 2020, 10, 1207. [Google Scholar] [CrossRef]
- Boudrant, J.; Woodley, J.M.; Fernandez-Lafuente, R. Parameters necessary to define an immobilized enzyme preparation. Process Biochem. 2020, 90, 66–80. [Google Scholar] [CrossRef]
- Fernández-Lafuente, R.; Rosell, C.M.; Guisán, J.M. The presence of methanol exerts a strong and complex modulation of the synthesis of different antibiotics by immobilized penicillin G acylase. Enzym. Microb. Technol. 1998, 23, 305–310. [Google Scholar] [CrossRef]
Disclaimer/Publisher’s Note: The statements, opinions and data contained in all publications are solely those of the individual author(s) and contributor(s) and not of MDPI and/or the editor(s). MDPI and/or the editor(s) disclaim responsibility for any injury to people or property resulting from any ideas, methods, instructions or products referred to in the content. |
© 2023 by the authors. Licensee MDPI, Basel, Switzerland. This article is an open access article distributed under the terms and conditions of the Creative Commons Attribution (CC BY) license (https://creativecommons.org/licenses/by/4.0/).








