Abstract
In this work, the covalent immobilization of two ruthenium(II) complexes, i.e., [RuIICl (bpea){(S)(-)(BINAP)}](BF4), 1, and [RuIICl(bpea)(DPPE)](BF4), 2, where BINAP = 2,2’-bis(diphenylphosphino)-1,1’-binaphthyl and DPPE = 1,2-bis(diphenylphosphino)ethane, have been obtained (AlPO4-Sepiolite@1 and AlPO4-Sepiolite@2) by using a N-tridentate ligand N,N-bis-(2-pyridylmethyl)ethylamine (bpea), linked to an amorphous AlPO4-Sepiolite (20/80) inorganic support. This AlPO4-sepiolite support is able to immobilize the double amount of ruthenium complex (1.65%) than the amorphous AlPO4 (0.89%). Both heterogenized complexes have been assessed as catalysts in the liquid phase hydrogenation of several substrates with carbonyl and/or olefinic double bonds using methanol as solvent, attaining good catalytic activity and high enantioselectivity (99%). The highest Turn Over Number (TON) value (748.6) was obtained over the [RuII Cl (bpea)(DPPE)](BF4) 2 catalyst, although the [RuIICl(bpea){(S)(-)(BINAP)}](BF4) 1 exhibits better reusability. In fact, the [RuIICl(bpea){(S)(-)(BINAP)}](BF4) immobilized on AlPO4-Sepiolite maintained the activity throughout 14 successive runs. Furthermore, some findings on hydrogenation mechanisms of the α,β-unsaturated carbonyl compounds over Ru catalysts have been also obtained.
1. Introduction
Several decades ago, amorphous AlPO4 surfaces attracted the interest of many researchers because they exhibit the same structure as silica. Many studies have been carried out regarding the synthesis, characterization and catalytic activity of amorphous AlPO4 solids, obtaining that textural and acid–base properties depend on variables such as the aluminum starting salt, the P/Al molar ratio, the precipitation medium or the thermal treatment [1]. Therefore, controlling the sol-gel method to synthesize the AlPO4 material, solids with high surface areas and with a high number of Bronsted acid sites in surface can be obtained.
In addition to the catalytic properties, AlPO4 solids have shown great potential as supports of lipases [2,3,4], acid phosphatase [5] or glucose oxidase [6], as well as many other molecules. The immobilization of these macromolecules is usually carried out by phosphamide bonds, previously generated on the inorganic support [6]. Besides, this methodology has also been extended to immobilize several organometallic complexes, obtaining hybrid organic–inorganic solids [7,8].
The immobilization of coordination complexes is of great interest in fine chemistry, since allow carried out enantioselective hydrogenation reactions which are usually performed over homogeneous catalysts, but with the advantages that offer the heterogeneous catalysis [9,10]. For this reason, a fruitful field of research in recent decades has been dedicated to the development of new enantioselective organometallic systems, which can be completely fixed in an inorganic supports or organic polymeric materials, allowing a significant reduction in the economic cost of the processes, mainly associated to the reuse of catalysts [11,12].
Inorganic supports have been prioritized with respect to organic polymeric ones because of their greatest physical strength and chemical inertness (in terms of swelling and deformation in organic solvents) making their application in continuous flow reactions easier, or making it possible to operate at high reaction temperatures [13,14].
Consequently, much work is currently devoted to the development of an adequate methodology to anchor homogeneous complexes onto inorganic supports [15]. Several methodologies have been described, such as coordinative linkage, electrostatic attraction, dendrimer supports and many others, including the sol-gel entrapment. Among them, covalent immobilization is perhaps the most convenient way to immobilize organometallic complexes to the supports [16], since several problems can be avoided, such as inhomogeneous dispersions of the organic layer, observed when weaker physical interactions are present between the organic and the inorganic portions [17]. In addition, the covalent binding between the organic molecule complex and the inorganic compound surface preserves the structure, morphology and porosity of the inorganic support material [18]. To date, either amorphous or mesoporous silica has been the inorganic support mostly employed in literature regarding the covalent immobilization of various organometallic complexes [19]. Micelle templated silicas featuring a unique porous distribution and high thermal and mechanical stability can be easily functionalized by direct grafting of the functional organosilane groups on their surfaces. However, polar solvents including water or alcohols and high temperatures can promote the hydrolysis of the linked organic moieties, so that these supported organometallic catalysts need to be used with organic solvents [20].
This methodology can be improved, via the formation of more stable and hydrolysis-resistant organic-inorganic hybrid bonds. In this respect, the high stability of the phosphamide or phosphoester bonds, which plays a crucial role in some biomolecules including the RNA and DNA structures, could be of great interest. In fact, the feasibility of anchoring ruthenium complexes in amorphous AlPO4 [7], following the same methodology described for the covalent immobilization of enzymes on amorphous AlPO4 [3,4] has been recently described. In a first step, the Brönsted acid sites on AlPO4 surfaces [21] react with a linker, in this case a diamine, such as 4-aminobenzylamine, attaining a phosphamide bond. In a second step, the reaction is carried out with an aromatic dialdehyde, terephthaldialdehyde, which will provide a terminal carbonyl group, with which the free ε-amino group of lysine residues of the enzymes will form an imine bond.
Similarly, this methodology was also employed to obtain the heterogenization of an asymmetric ruthenium diphosphine coordination complex, Noyori type [7] as well as Wilkinson type [8]. These are obtained by the covalent attachment of the ruthenium complex, corresponding to the atropoisomeric chelate phosphine, 2,2′-bis(diphenylphosphino)-1,1′-binaphthyl (BINAP) [7,22] or the PPh3 ligand [8,22]. In these cases, the activation of the inorganic support to obtain the initial organic linker is also achieved by reacting the surface acid –OH groups of AlPO4 with another diamine, in this case ethylenediamine, on which the Noyori-type complex, or the Wilkinson-type complex, are obtained in successive steps by the chemical modification of the pendant amine group. Thus, the covalent attachment of the Ru–BINAP coordination complex was obtained with the N-tridentate ligand N,N-bis(2-pyridylmethyl)ethylamine (bpea), linked to the amorphous AlPO4 inorganic support, that is obtained by the reaction of 2-picolyl chloride hydrochloride, with the ethylenediamine attached to the AlPO4 surface complex [22]. In the last step, the [RuIICl(bpea){(S)(-)(BINAP)}]+ complex can be obtained in situ, through the reaction of RuCl3, the chiral diphosphine S-BINAP and the bpea, pendant on the support surface. By employing the PPh3 ligand, instead of the atropoisomeric chelate phosphine BINAP, the immobilized Wilkinson type complex was also obtained. This heterogenized catalyst exhibited very good activities and excellent reusability (up to 25 runs) in the hydrogenation reaction of several alkenes in methanol as solvent, as well as in the liquid phase enantioselective hydrogenation of prochiral substrates such as dimethyl itaconate, methyl 2-acetamidoacrylate and methyl 2-acetamidocinnamate. Results obtained showed that the catalytic activity with a high enantioselectivity (99%) was maintained throughout 10 successive reactions when dichloromethane was used as solvent. However, with methanol as solvent, the deactivation of the complex was obtained in five reactions [7]. In addition, ruthenium complexes containing a tridentate ligand with two different types of nitrogen donors, one amine group and one pyridine ring connected with flexible CH2-arms can confer stability and/or enantioselective capacity [23,24,25,26,27,28,29].
To improve the resistance to deactivation of the Noyori type organometallic complexes on amorphous AlPO4 support, in the present study, the Ru complex, [RuIICl(bpea){(S)(-) (BINAP)}](BF4), 1 will be immobilized on AlPO4-Sepiolite support, which has been previously evaluated in immobilization processes with excellent results [2,3,6]. Furthermore, to assess the lower resistance to deactivation, associated with the presence of a diphenylphosphine in BINAP ligand, [RuIICl(bpea)(DPPE)](BF4) complex, 2 containing the achiral 1,2-diphenylphosphine ethane (DPPE) ligand, has also been studied.
The catalysts were tested in the liquid phase hydrogenation of carbonyl and alkene compounds, using methanol as solvent. Likewise, the ruthenium complexes were employed as homogeneous catalysts in the hydrogenation reactions for comparison.
2. Results and Discussion
2.1. Characterization of the Support
As can be seen in Table 1, the deposition of the amorphous AlPO4 on the surface of the Sepiolite reduces its surface area by 40%, from 233 to 139 m2/g, but in return provides a high number of acid and basic sites. In fact, the acidity values obtained for the Sepiolite was of 10 µmol of pyridine (py) per gram, whereas the AlPO4-Sepiolite exhibited an acidity value of 198 µmol of py/g. The 60% of the total acidity correspond to Lewis acid sites, and the other 40% to Bronsted acid sites. Likewise, the basicity of the support has been also evaluated, increasing from 115 to 393 µmol of Benzoic acid (BA) per gram when AlPO4 is deposited on the Sepiolite surface.
Table 1.
Surface area (SBET) and acid-base properties (μmol py·g−1), obtained by titration with pyridine (py, pKa = 5.3), 2,6-dimethylpyridine (dmpy, pKa = 7) and benzoic acid (ba, pKa = 4.19), of Sepiolite and AlPO4-Sepiolite.
2.2. Synthesis of the Covalently Attached Ru Coordination Complexes
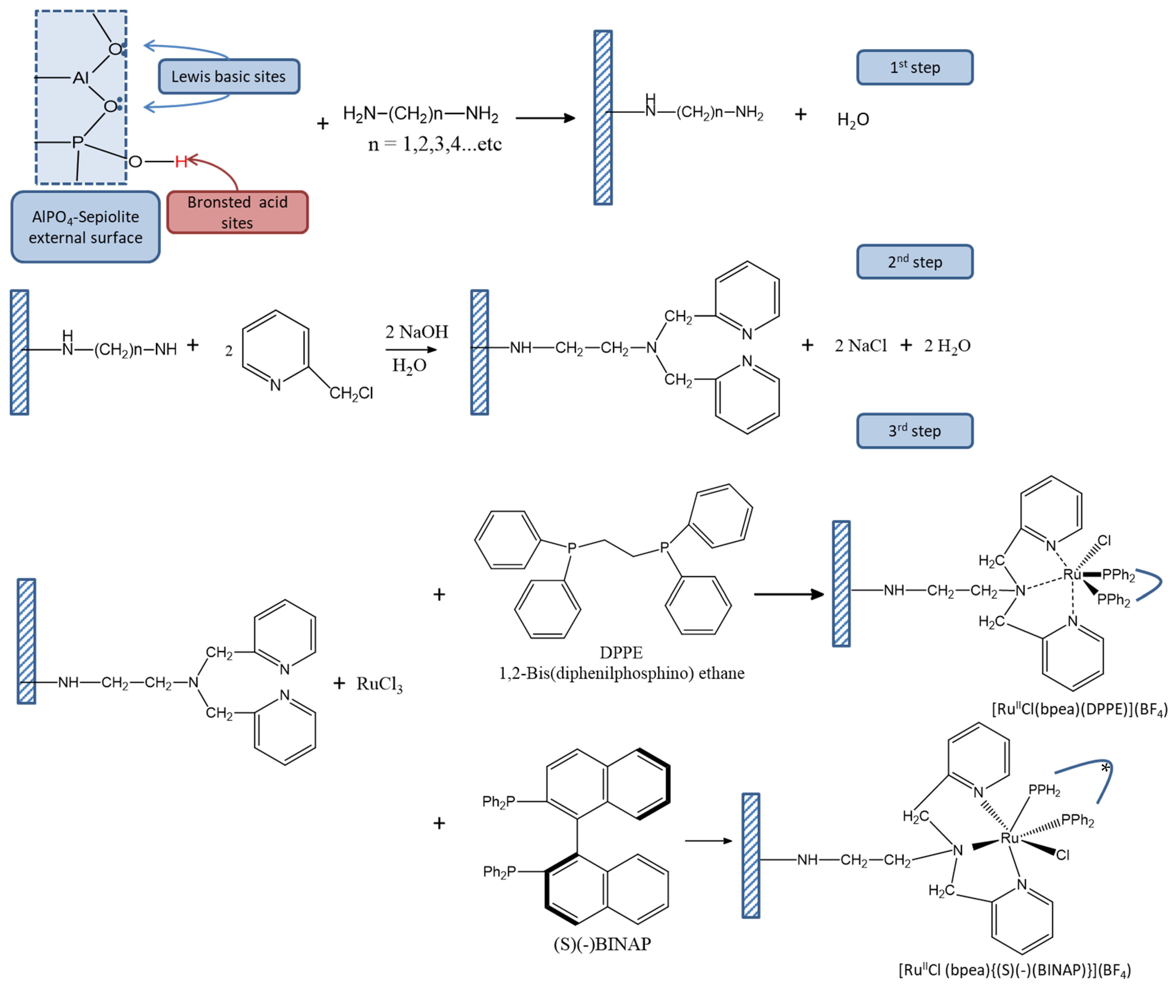
The synthetic strategy followed for the immobilization of ruthenium complexes on AlPO4-Sepiolite supports is displayed in Scheme 1.
Scheme 1.
General scheme for the covalent immobilization of homogeneous RuIICl(bpea){(S)(-)(BINAP)}](BF4), 1 and [RuIICl (bpea)(DPPE)](BF4), 2 complexes on AlPO4-Sepiolite.
According to the results of Inductively coupled plasma atomic emission spectroscopy (ICP-AES) collected in Table 2, the efficiency of the immobilization of the Ruthenium complexes on AlPO4-Sepiolite surface can be confirmed (steps 1–3, Scheme 1). In both cases, important amounts of Ru complex have been covalently anchored to the solid surfaces, 1.65 and 1.50% of Ru in DPPE and BINAP complexes, respectively. Therefore, the bpea ligand allows an efficient anchoring to the solid supports through phosphamide bonds and the formation of the RuII complexes, containing diphosphine ligands (DPPE and BINAP), is efficiently carried out as well.
Table 2.
Relative amounts of supported Ru (wt.%) in the heterogenized complexes obtained from ICP-AES, after and before being used. The Ru contents that remain in the supernatant solution after synthesis of the immobilized complexes, are also collected. These amounts come from 0.200 g (800 mmol) of RuCl3·4H2O, covalently supported on 4 g of AlPO4-Sepiolite.
In addition, from the amounts of supernatant Ru, it can be concluded that in step 3, approximately 70–80% of RuCl3 is fixed, by coordination with the bpea ligand and with the corresponding diphosphine to form the immobilized Ru complex. In comparison with previous studies, in which amorphous AlPO4 was employed as support, the AlPO4-Sepiolite can covalently bind practically the double amount of the [RuIICl(bpea){(S)(-)(BINAP)}](BF4) 1 complex, 1.50% vs. 0.89% [7].
2.3. Catalytic Behavior of [RuIICl(bpea)(DPPE)](BF4) Complex, 2 and of the Covalently Immobilized Complex [RuIICl(bpea)(DPPE)](BF4), AlPO4-Sepiolite@2
The homogeneous (RuIICl(bpea)(DPPE)](BF4), 2 complex has been evaluated in the catalytic hydrogenation of 1-hexene and methyl acetoacetate, under the experimental conditions indicated in Table 3. The results herein obtained are consistent with the characteristic behavior of the Ru diphosphine complexes as hydrogenation catalysts, which have special activity with terminal olefins, carbonyl bonds and α, β-unsaturated carbonyl compounds [30,31]. In addition, if we compare the results of Turn Over Frequency (TOF) obtained over the homogeneous catalyst TOF = 86.8 with that obtained over the supernatant solution, TOF = 2.4, a much lower value is obtained with the supernatant solution. This fact can be explained because in the supernatant solution there are RuCl3 molecules and also the DPPE ligand, (Scheme 1, step 3). According to these results, the presence of bpea ligand seems to be more efficient than the two Cl atoms, which must constitute the predictable complex formed in the supernatant solvent.
Table 3.
Reaction rate obtained with 0.0510 g of 2, in the hydrogenation of 8.37 mmoles of methyl acetoacetate in 20 mL of methanol as solvent, at 50 °C of temperature and 7 atm. of initial hydrogen pressure.
To evaluate the immobilization of the Ru complex in the support, the successive hydrogenation of different substrates has been carried out, and the results are shown in Table 4. As expected, the TOF value of the fresh catalyst is lower when the heterogeneous catalyst is employed, 7.2 h−1 (AlPO4-Sepiolite@2) and 86.8 h−1 (homogeneous complex 2). This fact could be explained by the steric hindrance that AlPO4-Sepiolite support exhibit in the adsorption of the reagents to the Ru complex, together with the strong metal support interaction effect (SMSI) of electronic type, that could also contribute to this important decrease in the catalytic activity of the covalently immobilized Ru complex. However, this significant decrease in the catalytic activity is compensated by the possibility of successive reuses of the immobilized complexes, up to 14th consecutive reuses with different substrates were carried out. Comparing the reaction with the same substrate (methyl acetoacetate), i.e., reuses 3 and 5, a decrease in the TOF value from 0.128 to 0.092 was observed. This can be ascribed to the leaching determined by ICP experiment (Table 2). Therefore, to evaluate the influence of the structure of the different molecules investigated, the values of catalytic activity cannot be used with comparative purposes, since the reduction in catalytic activity is influenced by the loss of active centers due to leaching. However, qualitative information can be obtained on the catalytic capacity of the complex in the hydrogenation of the different substrates employed. Hence, it is interesting to highlight the noticeable effect of complex 2 on the selectivity in the preferential hydrogenation of the carbonyl double bound with respect to the conjugated olefinic double bond in all the α,β-unsaturated carbonyl compounds studied: trans cinnamaldehyde, geranial, furfural and benzylideneacetone.
Table 4.
Successive hydrogenation rates obtained with 0.4718 g of the complex [RuIICl(bpea)(DPPE)}](BF4) covalently attached to 3.4 g of AlPO4–Sepiolite, 0.032 mol of different substrates at different reaction times in 40 mL of methanol as solvent, at 50 °C of reaction temperature and 90 atm of initial hydrogen pressure.
2.4. Catalytic Behavior of the Covalently Immobilized Complex [RuIICl(bpea){(S)(-)(BINAP)}](BF4), AlPO4-Sepiolite@1
In a previous study, the homogeneous complex 1 was covalently immobilized on a pure AlPO4 amorphous solid and tested in the hydrogenation reaction of several prochiral substrates such as dimethyl itaconate, methyl 2-acetamidoacrylate and methyl 2-acetamidocinnamate, in CH2Cl2 as solvent, with high catalytic activity and a high enantioselectivity (99%) [7]. However, when operated with methanol as solvent, an important leaching was produced. To overcome the leaching of Ru complex when methanol is employed, this complex has also been covalently immobilized on AlPO4-Sepiolite support and has been studied as heterogeneous catalyst in the hydrogenation of acetophenone to obtain phenylethanol, and propiophenone to obtain 1-phenyl-1-propanol, Table 5. The TOF values have been obtained analogously to that for the previous reaction.
Table 5.
Successive hydrogenation rates of Acetophenone and Propiophenone, to obtain phenylethanol and 1-fenil-1-propanol, respectively, carried out with the complex [RuIICl(bpea){(S)(-)(BINAP)}](BF4) (593.6 μmol), covalently attached to 4 g of AlPO4–Sepiolite, with 0.032 mol of substrate, in methanol, 40 mL, as solvent, at different temperatures, different reaction times and 90 atm of hydrogen pressure. Enantiomeric excess as well as TOF values are also indicated.
Since the molecular weight of the complex 1 is 1073.28 g/mol, and the molar concentration of Ru immobilized complex, per gram of AlPO4-Sepiolite is 148.4 μmol/g, the weight of covalently immobilized complex per gram of support is 0.1590 g, representing about 15.9% of the total weight of catalyst. This confirm a better binding capacity of the AlPO4-Sepiolite support respect to pure AlPO4, where applying the same procedure in the immobilization of the Noyori type complex [7,22] only a 9.5% of organometallic material was immobilized.
On the other hand, the TON value obtained in the twelve successive reactions studied (700.8) is very similar to that obtained with the complex AlPO4-Sepiolite@2, TON = 748.6. However, the TOF obtained for the hydrogenation reaction of acetophenone to obtain phenylethanol over AlPO4-Sepiolite@1 (Table 4) is about ten times higher than those obtained over the AlPO4-Sepiolite@2 (Table 3). Therefore, the chiral diphosphine ligand BINAP seems to provide greater catalytic efficiency in the hydrogenation of the carbonyl group of ketones than the complexes with the DPPE ligand.
Regarding the stability of both complexes, the one with the diphosphine BINAP ligand practically does not undergo leaching, whereas the complex with the DPPE ligand loss the majority of the Ru initially anchored, remaining only the 15% of this Ru, (Table 1). This fact could be explained attending that leaching could be produced by a transmethylation reaction of the phosphamide bond, given the high concentrations of methanol, at elevated temperatures. Hence, given the larger size of the BINAP molecule, methanol solvent would experience a higher difficulty to access to the phosphamide bonds, avoiding the transmethylation of them. This high stability is corroborated by the results shown in Table 5, since an increase in the reaction rate with temperature is observed even with the spent catalyst. However, a slight but gradual reduction in the hydrogenation rate of acetophenone and propiophenone can be observed in Table 5, according to the decreasing TOF values of in the successive hydrogenations of both substrates. This reduction in catalytic activity of the immobilized complex could be ascribed to the normal poisoning process in all catalysts along its use.
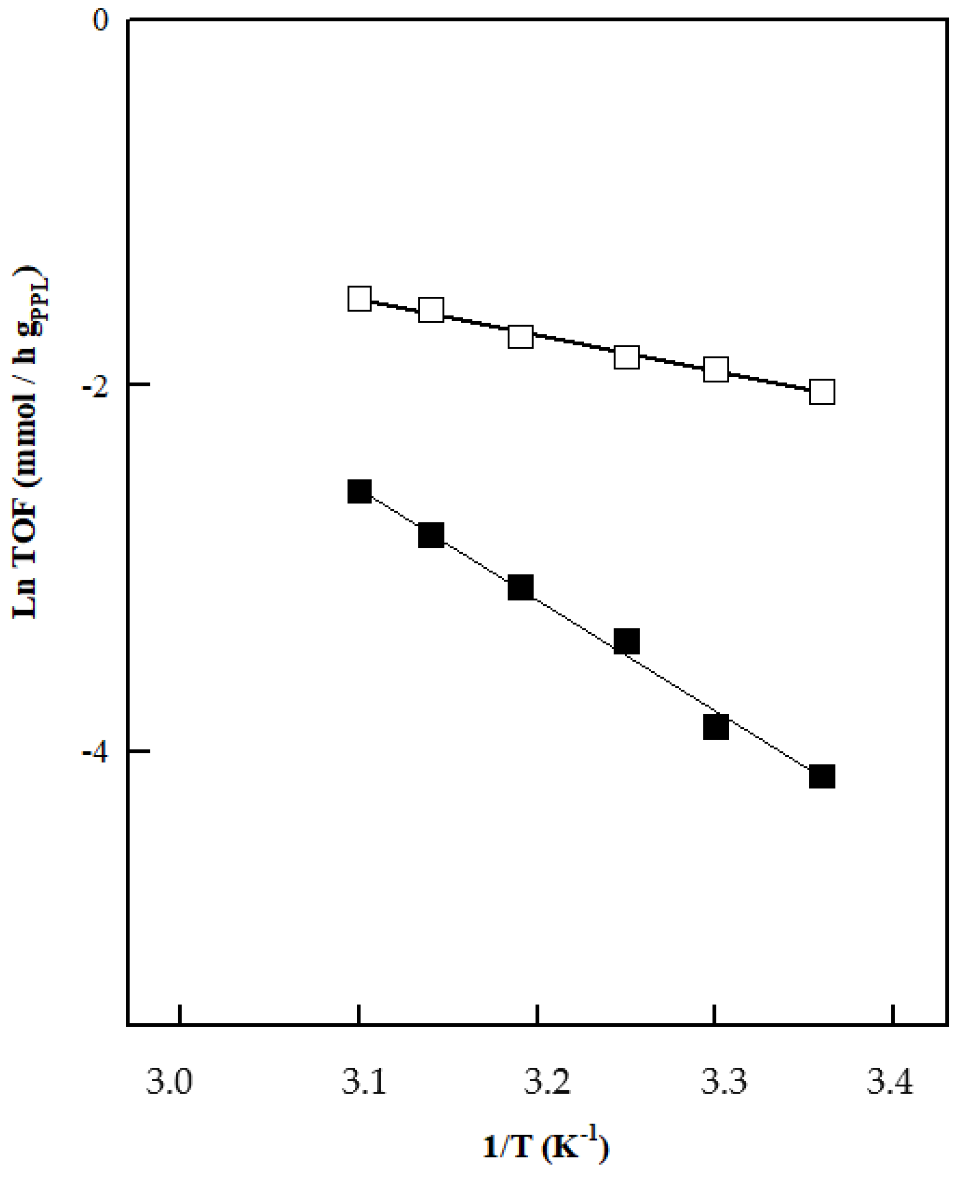
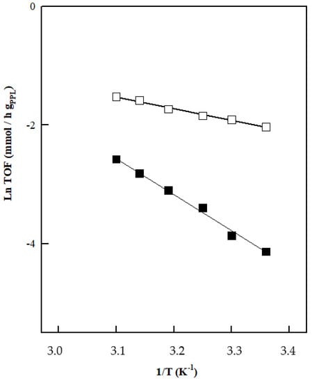
Figure 1 shows the Arrhenius plots for the catalytic hydrogenation of acetophenone and propiophenone, to obtain phenylethanol and 1-phenyl-1-propanol, respectively. The Ea values are collected in Table 6. In this respect, the higher Ea value for the hydrogenation of propiophenone indicates the higher influence of temperature, which can be ascribed to the higher steric hindrance to interact in the right way with the Ru core inside the heterogenized complex. The influence of the steric effects on the propiophenone may also explain the higher enantioselectivity achieved in the hydrogenation of propiophenone, according to the higher values of enantiomeric excess (ee) (Table 5).
Figure 1.
Arrhenius plot for the catalytic hydrogenation of acetophenone (□) and propiophenone (■) over AlPO4-Sepiolite@1, 0.032 mol of substrate, 90 atm of hydrogen pressure in methanol as solvent and different reaction temperatures.
Table 6.
Activation parameters Ea (Kcal/mol) and lnA (h−1), obtained from the Arrhenius plot of the catalytic hydrogenation of Acetophenone y Propiophenone over AlPO4-Sepiolite@1, at the experimental conditions showed in Figure 1.
The Ea and lnA (being A the frequency factor in the Arrhenius equation) obtained for the hydrogenation of the carbonyl (C=O) bonds, Table 6, are lower than those obtained for the hydrogenation of olefinic (C=C) bonds in α,β−unsaturated carbonyl compounds, such as dimethyl itaconate, according to the results previously obtained with the same [RuIICl(bpea){(S)(-)(BINAP)}](BF4) complex [7]. This fact indicates that temperature has lower influence on the reduction of carbonyl bonds than on C=C bonds. However, the number of active sites capable of effecting the reduction of carbonyl bonds is smaller than those able to carry out the hydrogenation reaction of olefin bond in α,β-unsaturated carbonyl compounds.
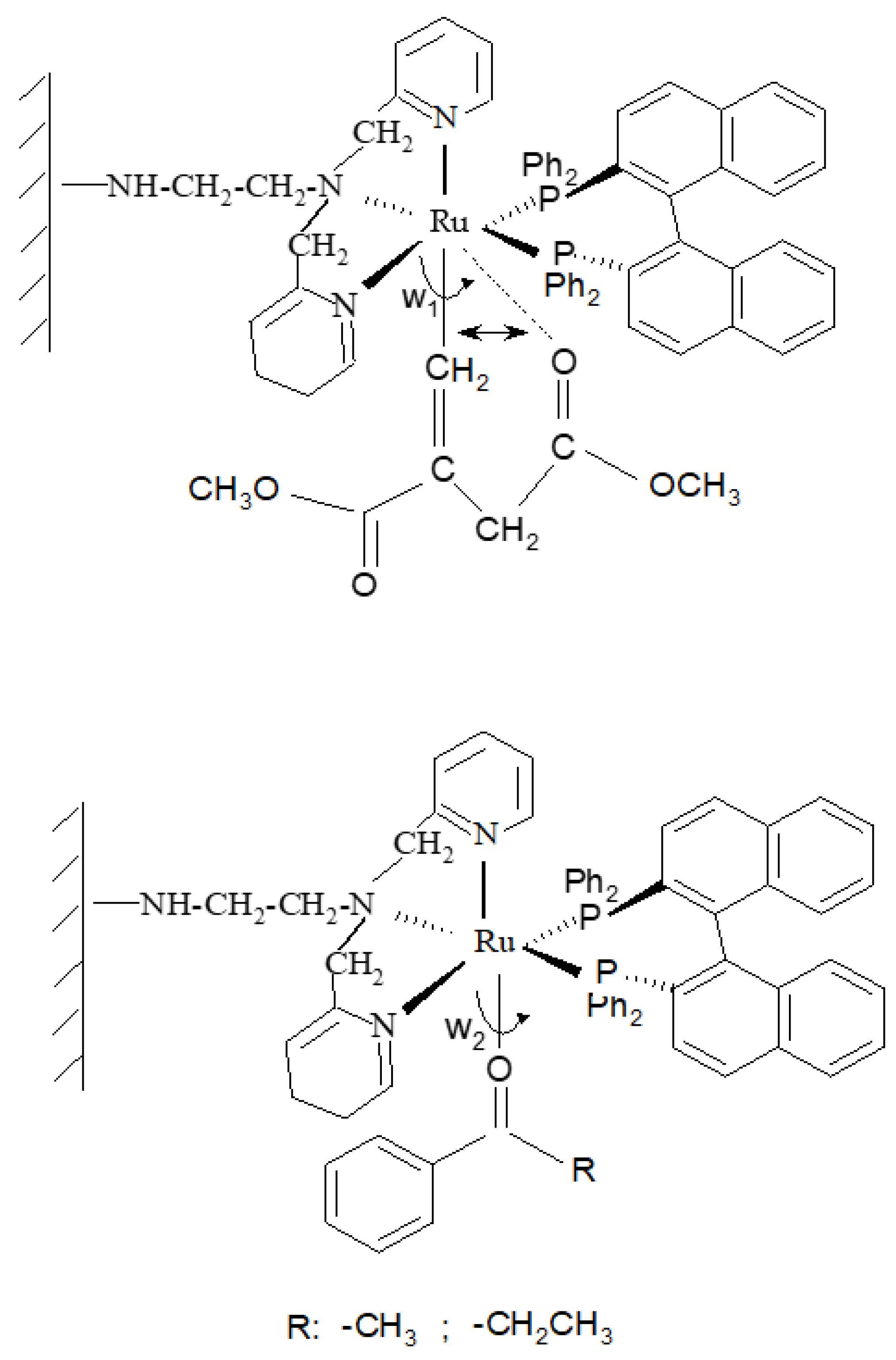
These differences could explain some changes in the mechanism of both reactions, able to explain the high asymmetric induction effects obtained in the hydrogenation of the olefinic double bond of dimethyl itaconate, with respect to the hydrogenation of carbonyls groups using the same complex [RuIICl(bpea{(S(-)(BINAP)}](BF4); since while dimethyl itaconate is hydrogenated to Dimethyl (R)-(+)-methylsuccinate with ee of 99% [11], the hydrogenation of acetophenone to phenylethanol and propiophenone to 1-phenyl-1-propanol, yield ee values of 4–6% and 19–23%, respectively (Table 5). The higher enantioselectivity observed in the dimethyl itaconate hydrogenation could be explained by a double coordination between the Ru metal center of the complex and the substrate molecule, through the carbon-carbon double bond and the oxygen of the carbonyl group, restricting the rotation capacity, thus favoring a certain structure of the activated complex in the hydrogenation process of the olefinic double bond, as it is depicted in Figure 2.
Figure 2.
Stabilized conformations on the AlPO4-Sepiolite@1 complex, of dimethylitaconate by secondary interaction of orbitals and of carbonyl groups by steric effects of the substituent groups.
In the dimethyl itaconate molecule, the W1 bond angle provides an important steric limitation. However, in the hydrogenation of C=O bonds of acetophenone and propiophenone, the angle W2 (Figure 2) has no steric limitations due to a secondary interaction of orbitals of the functional group nearby. Nevertheless, some steric effects in the activated intermediate can be corroborated, since the substitution of a methyl group for an ethyl one promotes an asymmetric induction effect (the ee values go from 4–6% to 19–23%).
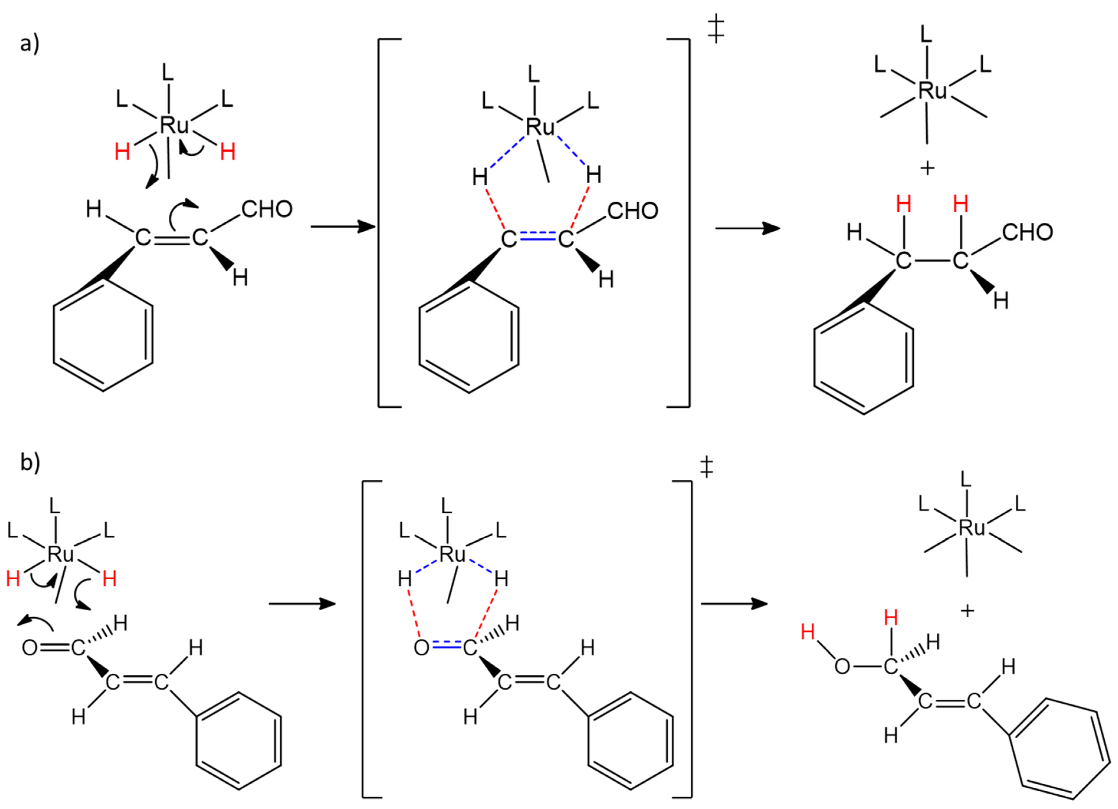
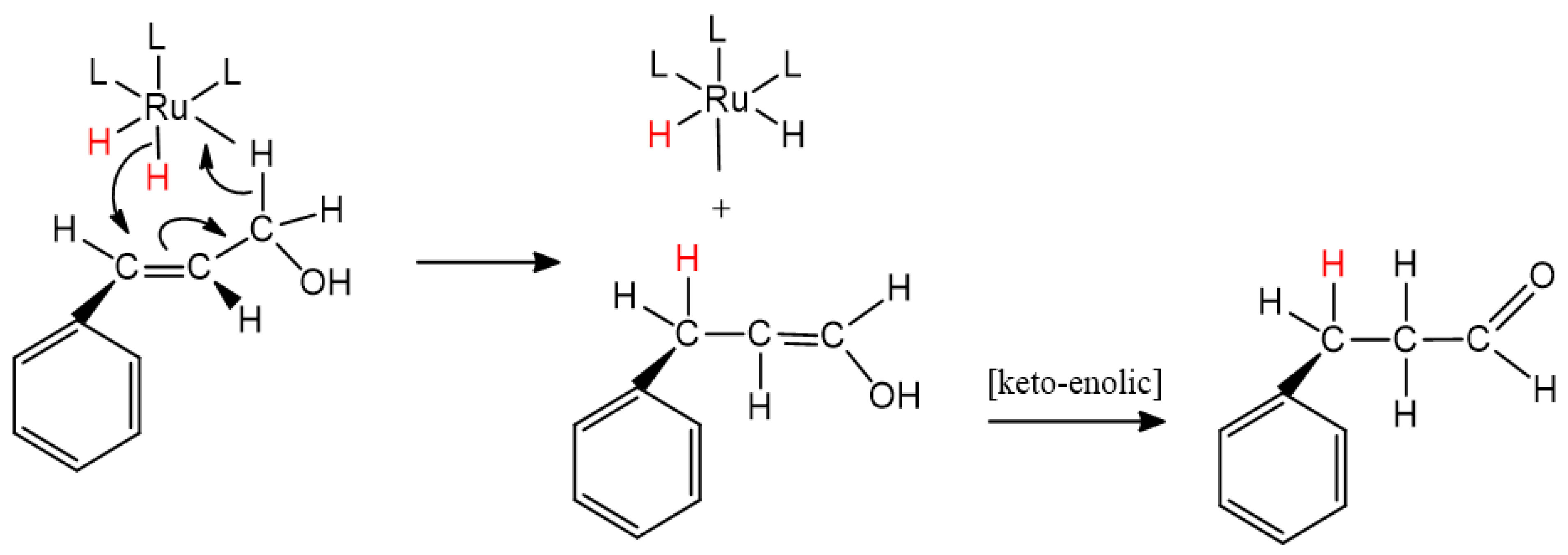
According to the products obtained in the hydrogenation reactions of Table 4 over the AlPO4-Sepiolite@2 complex, in most of reactions the primary or secondary alcohols are always obtained, as expected. However, the results obtained in the cinnamic aldehyde hydrogenation (8th reuse) show an exceptional behavior, since a mixture of hydrocinnamic aldehyde and cinnamic alcohol was obtained. These results imply the existence of an apparent competition between the hydrogenation of a Π double bond, belonging either to the C=C or C=O bond, as is showed in Figure 3. The Ru complex, once a hydrogen molecule has been attached, it can fix a Π double bond producing the desorption of the complex (before the desorption of H2) and the hydrogenated molecule. This desorption step is a concerted process (4σ + 2Π) allowed by the symmetry, which is explained within the theory of disturbances. In summary, according to this theory, a chemical reaction is governed by a Coulomb contribution, in which nucleophilic-electrophilic interactions predominate, and an interaction due to the interaction between the frontier’s orbitals (HOMO–LUMO). In this case, a “concerted” movement of electrons that meet the parameter 4n + 2, under thermal conditions, or 4n, under photochemical conditions, is assumed. Here we assume that the decisive contribution is due to the concerted process, and not to the contribution of the Coulombic term.
Figure 3.
Concerted (4σ + 2Π) hydrogenation mechanism of cinnamic aldehyde. (a) olefinic double bond and (b) carbonyl double bond. Dotted lines show the formation (red) and dissolution (blue) of the bonds in the concerted process.
Indeed, the product of reaction in reuse 9, in Table 4, shows that the catalyst AlPO4-Sepiolite@2 efficiently hydrogenates the aldehydic carbonyl of hydrocinnamaldehyde to 3-phenyl-1-propanol. However, in the hydrogenation of cinnamic alcohol, in the reuse 10, an appreciable amount of hydrocinnamaldehyde is obtained together with the expected alcohol, the 3-phenyl-1-propanol, which is indicative of the hydrogenation of the C=C bond. The presence of this compound can only be explained as a consequence of an isomerization reaction, consisting of a 1,3 sigmatropic rearrangement reaction, catalyzed by the activated Ru complex, followed by the keto-enolic transposition of cinnamic alcohol to hydrocinnamaldehyde, according to the proposed mechanism described in Figure 4. The participation of the activated Ru complex is considered after the dissociative adsorption of a hydrogen molecule. Thus, the process takes place through the adsorption of the σ bond of C-H on the carbon supporting the hydroxyl group, followed by its desorption, that occurs by a (4σ + 2σ) concerted process allowed by symmetry.
Figure 4.
Reaction mechanism for the catalyzed isomerization of cinnamic alcohol to hydrocinnamaldehyde.
Therefore, the hydrocinamaldehyde obtained together the cinnamic alcohol, in the hydrogenation of cinnamic aldehyde, is not produced by the hydrogenation of the olefinic double bond in the substrate molecule, but it is a result of the catalyzed isomerization of cinnamic alcohol, obtained by hydrogenation of the carbonyl group. Thus, the initial step is the hydrogenation of cinnamic aldehyde’s carbonyl group, Figure 3b, who becomes hidrocinamaldehyde by 1,3 sigmatropic transposition catalyzed by the activated Ru complex, Figure 4, whose carbonyl group is then hydrogenated to get 3-phenyl-1-propanol, as it is indicated in the overall process, in Figure 5.
Figure 5.
Hydrogenation reaction of cinnamaldehyde.
Then, according to the mechanism shown in Figure 5, the exceptional behavior of the AlPO4-Sepiolite@2 complex in the hydrogenation of olefinic double bond in substituted allyl alcohols can be explained by the hydrogenation of the carbonyl group, obtained after the catalyzed 1.3 sigmatropic transposition. This [4n + 2] concerted mechanism, 1.3-sigmatropic transposition is allowed by the symmetry, due the assistance of the hydrogenated Ru complex. Besides, the diphosphine Ru complex studied does not hydrogenate the olefinic double bond in any case, neither in the α,β-unsaturated carbonyl compounds nor in the allylic alcohols, because the hydrogenation of the carbonyl double bond always occurs, either in the cinnamaldehyde or in the hidrocinamaldehyde.
In contrast, the hydrogenation of the remaining α,β-unsaturated carbonyl compounds (reuses 11, 12, 13 and 14, Table 4) only produces the primary or secondary alcohols. This high selectivity, compared to that obtained in the hydrogenation of the cinnamic aldehyde, can be explained because the 1,3-sigmatropic rearrangement does not occur due to the steric hindrance generated by the methyl group, located in different positions in most studied molecules. The methyl group difficult the approach of the Ru complex, thus preventing the concerted process obtained in the rearrangement detected in cinnamic alcohol.
3. Materials and Methods
3.1. Inorganic Support Synthesis and Surface Characterization
The Sepiolite (Tolsa S.A, Madrid, Spain), a natural silicate with a high surface area (226 m2/g) and low price, exhibit a fibrous structure with a theoretical formula of the unit cell Si12O30Mg8(OH)6(H2O)4·8H2O, where the Si4+ and the Mg2+ can be partially substituted by Al3+, Fe2+ and alkaline ions. Thus, Sepiolite cannot be directly employed as support for covalent immobilization of complex. Then, first of all, it has to be subjected to a surface activation process by sol-gel precipitation of AlPO4 on powdered solid Sepiolite in a proportion AlPO4/Sepiolite of 20/80 following a previously reported methodology [2,4,6]. Scheme 2 shows the synthesis of the amorphous AlPO4, which was obtained by precipitation of AlCl3·6H2O and H3PO4 (85 wt.%). at pH = 6.1 by the addition of ammonium hydroxide. The solid obtained after filtration was then washed with isopropyl alcohol and dried at 120 °C for 24 h. In the present case, the resulting powder was calcined by heating at 350 °C for 3 h and then powder screened to a particle size <0.149 mm (100 mesh size).
Scheme 2.
Synthesis of the amorphous AlPO4-Sepiolite support.
The acid base characterization was performed by a spectrophotometric method that allows titration of the amount of irreversible adsorbed pyridine (PY, pKa = 5.25), 2,6-dimethylpyridine (DMPY, pKa = 6.99), and benzoic acid (BA, pKa = 4.19) (in µmol·g−1), employed as titrant molecules of acid and basic sites, respectively.
In this way, Sepiolite incorporates a thin outer layer of AlPO4 that enables subsequent functionalization. The physicochemical properties of the support are shown in Table 1.
3.2. Synthesis and Characterization of the Homogeneous Complexes (RuIICl(bpea){(S)(-)(BINAP)}](BF4) 1 and (RuIICl(bpea)(DPPE)](BF4) 2
The complexes 1 and 2 have been synthesized from the [RuIII Cl3(bpea)] by exchange of ligands following experimental procedure previously described in the literature [22,23,32,33]. All the manipulations have been made under nitrogen atmosphere. UV-Visible, infrared (IR), voltammetry cyclic (CV), X-ray diffraction (XRD) and nuclear magnetic resonance 1D and 2D have been used to their characterization and the results have been previously published [7,8].
3.3. Covalent Immobilization of the Complexes [RuIICl(bpea){(S)(-)(BINAP)}](BF4) and [RuIICl (bpea)(DPPE)](BF4) on AlPO4-Sepiolite Supports, (AlPO4-Sepiolite@1 and AlPO4-Sepiolite@2)
Immobilization of the Ruthenium complexes on AlPO4-Sepiolite is carried out following the procedures shown in Scheme 1. Thus, support functionalization (step 1) was initiated by the microwave-assisted reaction (10 min at 380 W) between surface acid sites of the support and one amino group of the ethylenediamine. Thus, 30 g of support and 4 mL of ethylenediamine were mixed (Merck, 99%, NYSE, USA), after impregnation (1 h) with ethyl ether solution (80 mL) in a rotatory evaporator at room temperature and solvent elimination by heating (2 h) in a water bath at 100 °C. Then, the flask was cooled down and the non-reacted ethylenediamine was eliminated by washing three times with 100 mL of ethanol, and then the product was vacuum dried and separated.
In the Step 2, the terminal amino group react with 2-picholyl chloride to obtain the N-tridentate ligand N,N-bis(2-pyridylmethyl) ethylamine (bpea). This reaction is carried out in a 250 mL flask with 30 g of ethylenediamine functionalized AlPO4-Sepiolite solid with a solution of 4.5 g of 2-picholyl chloride (Aldrich, 98%, Madrid, Spain) in 50 mL ethanol (96%, Aldrich, Madrid, Spain) and a variable amount of ethanol (about 60 mL) to achieve incipient wetness conditions. The reaction is carried out for 30 min at room temperature. Then, temperature rises to 80–90 °C and 2 mL of a solution of 2.5 g NaOH in 15 mL of water are added every 10 min, being the total reaction time about 90 min. During the reaction, an intense pink color appeared, but once the reaction has been completed, changes to a weak red. At that point, the product is filtered and washed three times with 100 mL of ethanol to remove 2-picholyl chloride excess.
In the step 3 (Scheme 1), synthesis of the covalently attached Ru complex [RuIICl (bpea){(S)(-)(BINAP)}](BF4) started by the addition of 8 g of functionalized AlPO4-Sepiolite (with bpea ligand) to a magnetically stirred solution of 0.400 g (1.600 mmol) RuCl3·4H2O, (Johnson and Matthey Ltd., San Diego, CA, USA) dissolved in dry MeOH (20 mL), and then refluxed for 1 h under Argon. Subsequently, LiCl (0.118 g) and NEt3 (0.192 mL) were added and stirred for 30 min. Then, the addition of (S)-BINAP (1.03 g) generated the immobilized complex after refluxing for 2 h. After reaching room temperature, methanol (30 mL) was introduced in the reaction flask and a brown solid was obtained after filtration and two successive rinses with methanol (30 mL) to eliminate unreacted compounds. In this respect, the successive reaction steps, were carried out according to the solid-phase synthesis methodology, where surface chemically modified supports are easily recovered by filtration after successive reactions.
Analogously, the synthesis of the covalently attached Ru complex [RuIICl(bpea)(DPPE)](BF4) is carried out with 4 g of activated AlPO4-Sepiolite (with bpea ligand), that keep under stirring for one hour with 0.2 g of RuCl3 in a flask containing 5 mL of ethanol. Then, in argon atmosphere, 0.59 g of LiCl and 0.096 mL of NEt3 were added and stirred for 30 min. Finally, 0.326 g of 1,2-Bis (diphenylphosphine) ethane, dppe, were added and the solution was heated under reflux for two hours. Once cooled, 30 mL of methanol was added. The solid is filtered and washed twice with 30 mL of methanol. The solid containing the compound of Ru immobilized, after drying in a vacuum filtration, was ready for use as a heterogeneous catalyst.
At the end of the catalytic synthesis process, a supernatant solution was obtained (together with the catalyst containing the ruthenium immobilized complex). In that solution, called supernatant, an amount of Ru (not bound to the bpea ligand) that has not been bound to the bpea ligand was found together with the DPPE complex.
3.4. Catalysts Characterization and Hydrogenation Experiments
Ruthenium content of supported metal catalysts was quantified by Inductively Coupled Plasma, coupled with Atomic Emission Spectroscopy (ICP-AES) in a Thermo Elemental Iris Intrepid HR instrument. Generally, 0.02 g catalyst was dissolved in acid, diluted with distilled water to 100 mL and subsequently analyzed.
Mass spectra are performed with a Varian Saturn 2200 GC/MS-MS mass spectrometer (Varian, Palo Alto, CA, USA) coupled to a Varian CP-3800 gas chromatograph (Varian, Palo Alto, CA, USA).
The quantification and determination of the enantiomeric excess was determined from the percentages obtained after the separation of the enantiomers in chiral columns based on cyclodextrins by gas chromatography, by using a Konik KNK-3000-HRGC gas chromatograph (Konik, Miami, Florida, USA) with a chiral capillary column BETA DEX 120 (30 m × 0.25 mm × 0.25 μm). The rotational power of the different substrates has been determined with a digital Polarimeter, Bellingham & Stanley Ltd., Royal Turnbridge Wells, UK, mod. P20.
Catalytic hydrogenation reactions were performed in a high-pressure hydrogenator (Parr 5500 Series Compact, 4836 Controller, Moline, IL, USA). Hydrogenation runs were accomplished in methanol using different substrate concentrations (Aldrich, Madrid, Spain) and different amounts of homogeneous or immobilized catalysts to obtain several (subs)/(cat). In all cases, initial hydrogen pressure was 80–90 atm and 50 °C. Methanol (p.a.99% Scharlab, Barcelona, Spain), dichloromethane (p.a. 99% Panreac, Barcelona, Spain) and hydrogen (99.999% SEO) were used without further purification. The analysis of hydrogenation products was performed on a Konik-KNK-3000-HRGC gas chromatograph (Konik, Miami, Florida, USA) equipped with a Supelco (BETA DEX 120) β-cyclodex chiral capillary column. Successive runs in heterogeneous reactions are obtained after filtration of reaction products. Reaction rates and turnover frequencies (TOF) were calculated from the initial reaction rates. TOF values of the heterogenized systems were determined from the amounts of Ru complex covalently anchored to the solid surfaces determined by (ICP-AES) experiments. Absolute configuration and ee’s were obtained from the rotatory power of samples measured with a polarimeter P20 (Belligham & Stanley Ltd., Royal Turnbridge Wells, UK), and confirmed the absolute configuration of authentic samples assigned in the GC peaks.
The activation energy (Ea) has been calculated from TOF values of acetophenone and propiophenone (Table 6), using the Equation (1):
ln (TOF) = ln A − Ea/RT
4. Conclusions
The results herein obtained show that the AlPO4-Sepiolite support was successfully employed for the covalent immobilization of ruthenium complexes. This methodology can be applied to other inorganic solids that allow the generation of Brönsted-type acid centers on its surface capable of forming phosphamide bonds, such as SiO2, Al2O3. This phosphamide bond anchors the organic chains through the formation of an organic-inorganic hybrid bond.
In this respect, the immobilization of Ru complexes on the AlPO4-Sepiolite support (1.65 and 1.50% of Ru in Ru-DPPE and Ru-BINAP complexes) is almost the double than that obtained on pure AlPO4 (0.89% for Ru-BINAP complex). Results obtained from consecutive runs indicate that the one with the diphosphine BINAP ligand practically does not undergo leaching, whereas the complex with the DPPE ligand loss the majority of the Ru initially anchored, remaining only the 15% of this Ru. Therefore, the chiral diphosphine BINAP ligand seems to provide greater catalytic efficiency in the hydrogenation of the carbonyl group of ketones than the complexes with the DPPE ligand. However, the AlPO4-Sepiolite support promotes a steric hindrance in the adsorption of the reagents to the Ru complex, that contribute to the lower catalytic activity displayed in the heterogeneous catalysts (around 7 h−1) in comparison to the homogeneous ones (around 87 h−1).
Regarding the results obtained in the hydrogenation of cinnamaldehyde and related compounds over AlPO4-Sepiolite@2 provide an explanation to the hydrogenation mechanism of olefinic compounds with the double bond in a terminal position, as well as to the hydrogenation of carbonil compounds (aldehydes and ketones) with respect to the substituted double bond. Thus, the hydrocinnamaldehyde obtained in the hydrogenation of the cinnamic aldehyde is not produced by the hydrogenation of its olefinic double bond, but is a consequence of the isomerization of the cinnamic alcohol, catalyzed by the Ru (II) complex, which is obtained by the hydrogenation of carbonyl bond. The initial step consists of the hydrogenation of the carbonyl group of the cinnamic aldehyde, which is transformed into hydrocinnamaldehyde by means of the 1,3 sigmatropic rearrangement, catalyzed by the Ru complex, whose carbonyl group is then hydrogenated to yield 3-phenyl-1-propanol. That is, according to the results obtained the studied Ru complexes are more able of hydrogenating carbonyl compounds than the olefinic double bonds with various substituents.
Author Contributions
This research article is part of the doctoral thesis of V.C., directed by D.L. and F.M.B., who in general way conceived and designed the experiments and, together with R.E. and I.R. wrote the paper. All coauthors have made substantive intellectual contributions to this study, making substantial contributions to conception and design of it, as well as to the acquisition, analysis, and interpretation of data. All of them have been also involved in drafting and revising the manuscript, so that everyone has given final approval of the current version to be published in Catalysts Journal. All authors have read and agreed to the published version of the manuscript.
Funding
This research received no external funding.
Data Availability Statement
Authors should ensure that data shared are in accordance with consent provided by participants on the use of confidential data.
Acknowledgments
The authors are thankful to MINECO-ENE2016-81013-R (AEI/FEDER, EU), MICIIN (Project ref. PID2019-104953RB-100), Consejería de Transformación Económica, Industria, Conocimiento y Universidades de la Junta de Andalucía (UCO-FEDER Project CATOLIVAL, ref. 1264113-R, 2018 call and Project ref. P18-RT-4822) and FEDER Funds for financial support. Technical assistance of staff at Central Service for Research Support (SCAI) and Institute of Nanochemistry (IUNAN) of the University of Córdoba is also thanked.
Conflicts of Interest
The authors declare no conflict of interest.
References
- Campelo, J.M.; Jaraba, M.; Luna, D.; Luque, R.; Marinas, A.J.M.; Romero, A.A.; Navio, J.A.; Macias, M. Effect of Phosphate Precursor and Organic Additives on the Structural and Catalytic Properties of Amorphous Mesoporous AlPO4 Materials. Chem. Mater. 2003, 15, 3352–3364. [Google Scholar] [CrossRef]
- Luna, D.; Posadillo, A.; Caballero, V.; Verdugo, C.; Bautista, F.M.; Romero, A.A.; Sancho, E.D.; Luna, C.; Calero, J. New Biofuel Integrating Glycerol into Its Composition through the Use of Covalent Immobilized Pig Pancreatic Lipase. Int. J. Mol. Sci. 2012, 13, 10091–10112. [Google Scholar] [CrossRef]
- Luna, C.; Sancho, E.; Luna, D.; Caballero, V.; Calero, J.; Posadillo, A.; Verdugo, C.; Bautista, F.M.; Romero, A.A. Biofuel that Keeps Glycerol as Monoglyceride by 1,3-Selective Ethanolysis with Pig Pancreatic Lipase Covalently Immobilized on AlPO4 Support. Energies 2013, 6, 3879–3900. [Google Scholar] [CrossRef]
- Calero, J.; Luna, D.; Luna, C.; Bautista, F.M.; Hurtado, B.; Romero, A.A.; Posadillo, A.; Estevez, R. Rhizomucor miehei Lipase Supported on Inorganic Solids, as Biocatalyst for the Synthesis of Biofuels: Improving the Experimental Conditions by Response Surface Methodology. Energies 2019, 12, 831. [Google Scholar] [CrossRef]
- Bautista, F.; Bravo, M.; Campelo, J.; Garcia, A.; Luna, D.; Marinas, J.; Romero, A.A. Covalent immobilization of acid phosphatase on amorphous AlPO4 support. J. Mol. Catal. B Enzym. 1999, 6, 473–481. [Google Scholar] [CrossRef]
- Bautista, F.; Campelo, J.; García, A.; Jurado, A.; Luna, D.; Marinas, J.; Romero, A.A. Properties of a glucose oxidase covalently immobilized on amorphous AlPO4 support. J. Mol. Catal. B Enzym. 2001, 11, 567–577. [Google Scholar] [CrossRef]
- Bautista, F.M.; Caballero, V.; Campelo, J.M.; Luna, D.; Marinas, J.M.; Romero, A.A.; Romero, I.; Serrano, I.; Llobet, A. Heterogeneization of a new Ru(II) homogeneous asymmetric hydrogenation catalyst containing BINAP and the N-tridentate bpea ligand, through covalent attachment on amorphous AlPO4 support. Top. Catal. 2006, 40, 193–205. [Google Scholar] [CrossRef]
- Caballero, V.; Bautista, F.M.; Campelo, J.M.; Luna, D.; Luque, R.; Marinas, J.M.; Romero, A.A.; Romero, I.; Rodríguez, M.; Serrano, I.; et al. Efficient hydrogenation of alkenes using a highly active and reusable immobilised Ru complex on AlPO4. J. Mol. Catal. A Chem. 2009, 308, 41–45. [Google Scholar] [CrossRef]
- Deshmukh, A.; Kinage, A.; Kumar, R.; Meijboom, R. Heterogenized Ru(II) phenanthroline complex for chemoselective hydrogenation of diketones under biphasic aqueous medium. J. Mol. Catal. A Chem. 2010, 333, 114–120. [Google Scholar] [CrossRef]
- Sisodiya, S.; Lazar, A.; Shylesh, S.; Wang, L.; Thiel, W.R.; Singh, A.P. Covalently anchored ruthenium–phosphine complex on mesoporous organosilica: Catalytic applications in hydrogenation reactions. Catal. Commun. 2012, 25, 22–27. [Google Scholar] [CrossRef]
- Gorbunov, D.; Safronova, D.; Kardasheva, Y.; Maximov, A.; Rosenberg, E.; Karakhanov, E. New Heterogeneous Rh-Containing Catalysts Immobilized on a Hybrid Organic–Inorganic Surface for Hydroformylation of Unsaturated Compounds. ACS Appl. Mater. Interfaces 2018, 10, 26566–26575. [Google Scholar] [CrossRef]
- Ren, J.; Lan, P.C.; Chen, M.; Zhang, W.; Ma, S. Heterogenization of Trinuclear Palladium Complex into an Anionic Metal–Organic Framework through Postsynthetic Cation Exchange. Organometallics 2019, 38, 3460–3465. [Google Scholar] [CrossRef]
- Pederzolli, F.R.S.; Wolke, S.I.; Da Rosa, R.G. Recyclable rhodium-Cp′-heterogenized catalysts for hydrogenation of olefins. J. Catal. 2018, 360, 201–212. [Google Scholar] [CrossRef]
- Mayakrishnan, G.; Soo, K.I.; Min, C.I. Stepwise Construction of Ru(II)Center Containing Chiral Thiourea Ligand on Graphene Oxide: First Efficient, Reusable, and Stable Catalyst for Asymmetric Transfer Hydrogenation of Ketones. Catalysts 2020, 10, 175. [Google Scholar] [CrossRef]
- Huebner, S.; De Vries, J.G.; Farina, V. Why Does Industry Not Use Immobilized Transition Metal Complexes as Catalysts? Adv. Synth. Catal. 2016, 358, 3–25. [Google Scholar] [CrossRef]
- Calsolaro, F.; Martina, K.; Borfecchia, E.; Chávez-Rivas, F.; Cravotto, G.; Berlier, G. β-Cyclodextrin-Silica Hybrid: A Spatially Controllable Anchoring Strategy for Cu(II)/Cu(I) Complex Immobilization. Catalysts 2020, 10, 1118. [Google Scholar] [CrossRef]
- Calvete, M.; Silva, M.; Pereira, M.; Burrows, H. Inorganic helping organic: Recent advances in catalytic heterogeneous oxidations by immobilised tetrapyrrolic macrocycles in micro and mesoporous supports. RSC Adv. 2013, 3, 22774–22789. [Google Scholar] [CrossRef]
- Benzaqui, M.; Semino, R.; Carn, F.; Tavares, S.R.; Menguy, N.; Giménez-Marqués, M.; Bellido, E.; Horcajada, P.; Berthelot, T.; Kuzminova, A.I.; et al. Covalent and Selective Grafting of Polyethylene Glycol Brushes at the Surface of ZIF-8 for the Processing of Membranes for Pervaporation. ACS Sustain. Chem. Eng. 2019, 7, 6629–6639. [Google Scholar] [CrossRef]
- Nikoorazm, M.; Khanmoradi, M. Application of Cu (II)-Guanine Complexes Anchored on SBA-15 and MCM-41 as Efficient Nanocatalysts for One-Pot, Four-Component Domino Synthesis of Phenazine Derivatives and Investigation of Their Antimicrobial Behavior. Catal. Lett. 2020, 150, 2823–2840. [Google Scholar] [CrossRef]
- Sharma, R.K.; Sharma, S.; Dutta, S.; Zboril, R.; Gawande, M.B. Silica-nanosphere-based organic–inorganic hybrid nanomaterials: Synthesis, functionalization and applications in catalysis. Green Chem. 2015, 17, 3207–3230. [Google Scholar] [CrossRef]
- Harish, N.; Kathyayini, N.; Bindhu, B.; Nagaraju, N. Investigation on the nature of catalytically active sites in non-crystalline aluminophosphates from 27Al and 31P MAS-NMR studies. J. NonCryst. Solids 2019, 522, 119577. [Google Scholar]
- Luna, D.; Bautista, F.M.; Garcia, A.; Campelo, J.M.; Marinas, J.M.; Romero, A.A.; Llobet, A.; Romero, I.; Serrano, I. Method for the Chemical Binding of Homogeneous Catalysts to Inorganic Solids Supports, Products Thus Obtained and Application of Same. International Patent Application No. PCT/ES2004/000187; International Publication No. WO 2004/096442 A1, 11 November 2004. [Google Scholar]
- Mola, J.; Rodríguez, A.M.; Romero, I.; Llobet, A.; Parella, T.; Poater, A.; Duran, A.M.; Solà, M.; Benet-Buchholz, J. New Ru Complexes Containing the N-Tridentate bpea and Phosphine Ligands: Consequences of Meridional vs. Facial Geometry. Inorg. Chem. 2006, 45, 10520–10529. [Google Scholar] [CrossRef] [PubMed]
- Vaquer, L.; Poater, A.; De Tovar, J.; García-Antón, J.; Solà, M.; Llobet, A.; Sala, X. Ruthenium Complexes with Chiral Bis-Pinene Ligands: An Array of Subtle Structural Diversity. Inorg. Chem. 2013, 52, 4985–4992. [Google Scholar] [CrossRef] [PubMed]
- Mola, J.; Romero, I.; Rodríguez, M.; Bozoglian, F.; Poater, A.; Solà, M.; Parella, T.; Benet-Buchholz, J.; Fontrodona, X.; Llobet, A. Mechanistic Insights into the Chemistry of Ru(II) Complexes Containing Cl and DMSO Ligands. Inorg. Chem. 2007, 46, 10707–10716. [Google Scholar] [CrossRef] [PubMed]
- Shimizu, Y.; Fukui, S.; Oi, T.; Nagao, H. Synthesis and Characterization of Ruthenium Complexes Having TridentateN-Ethyl-N,N-bis(2-pyridylmethyl)amine Coordinating in a Facial or Meridional Fashion. Bull. Chem. Soc. Jpn. 2008, 81, 1285–1295. [Google Scholar] [CrossRef]
- Poater, A.; Mola, J.; Saliner, A.G.; Romero, I.; Rodríguez, M.; Llobet, A.; Solà, M. Mechanistic theoretical insight of Ru(II) catalysts with a meridional–facial bpea fashion competition. Chem. Phys. Lett. 2008, 458, 200–204. [Google Scholar] [CrossRef]
- Dakkach, M.; Atlamsani, A.; Parella, T.; Fontrodona, X.; Romero, I.; Rodríguez, M. New Aqua N-Heterocyclic Carbene Ru(II) Complexes with Two-Electron Process as Selective Epoxidation Catalysts: An Evaluation of Geometrical and Electronic Effects. Inorg. Chem. 2013, 52, 5077–5087. [Google Scholar] [CrossRef]
- Mola, J.; Pujol, D.; Rodríguez, M.; Romero, I.; Sala, X.; Katz, N.; Parella, T.; Benet-Buchholz, J.; Fontrodona, X.; Llobet, A. Synthesis and Structure of Novel RuII—N≡C—Me Complexes and their Activity Towards Nitrile Hydrolysis: An Examination of Ligand Effects. Aust. J. Chem. 2009, 62, 1675–1683. [Google Scholar] [CrossRef]
- Naota, T.; Takaya, H.; Murahashi, S.-I. Ruthenium-Catalyzed Reactions for Organic Synthesis. Chem. Rev. 1998, 98, 2599–2660. [Google Scholar] [CrossRef] [PubMed]
- Bai, W.J.; Xie, J.H.; Li, Y.L.; Liu, S.; Zhou, Q.L. Enantioselective synthesis of chiral β-aryloxy alcohols by ruthenium-catalyzed ketone hydrogenation via dynamic kinetic resolution (DKR). Adv. Synth. Catal. 2010, 352, 81–84. [Google Scholar] [CrossRef]
- Serrano, I.; Rodríguez, M.; Romero, I.; Llobet, A.; Parella, T.; Campelo, J.M.; Luna, D.; Marinas, J.M.; Benet-Buchholz, J. Catalytic Ability of a Cationic Ru(II) Monochloro Complex for the Asymmetric Hydrogenation of Dimethyl Itaconate and Enamides. Inorg. Chem. 2006, 45, 2644–2651. [Google Scholar] [CrossRef]
- Sala, X.; Serrano, I.; Rodríguez, M.; Romero, I.; Llobet, A.; Van Leeuwen, P.W. Ruthenium-catalyzed asymmetric hydrogenation of N-(3,4-dihydro-2-naphthalenyl)-acetamide. Catal. Commun. 2008, 9, 117–119. [Google Scholar] [CrossRef]
Publisher’s Note: MDPI stays neutral with regard to jurisdictional claims in published maps and institutional affiliations. |
© 2021 by the authors. Licensee MDPI, Basel, Switzerland. This article is an open access article distributed under the terms and conditions of the Creative Commons Attribution (CC BY) license (http://creativecommons.org/licenses/by/4.0/).






