Pt-Ni Nanoalloys for H2 Generation from Hydrous Hydrazine
Abstract
1. Introduction
2. Mechanism of H2 Production from Hydrous Hydrazine through Pt Nanoalloys
3. Ni-Pt Nanoalloying
4. Hydrous Hydrazine
5. H2 Selectivity in Hydrous Hydrazine Dehydrogenation
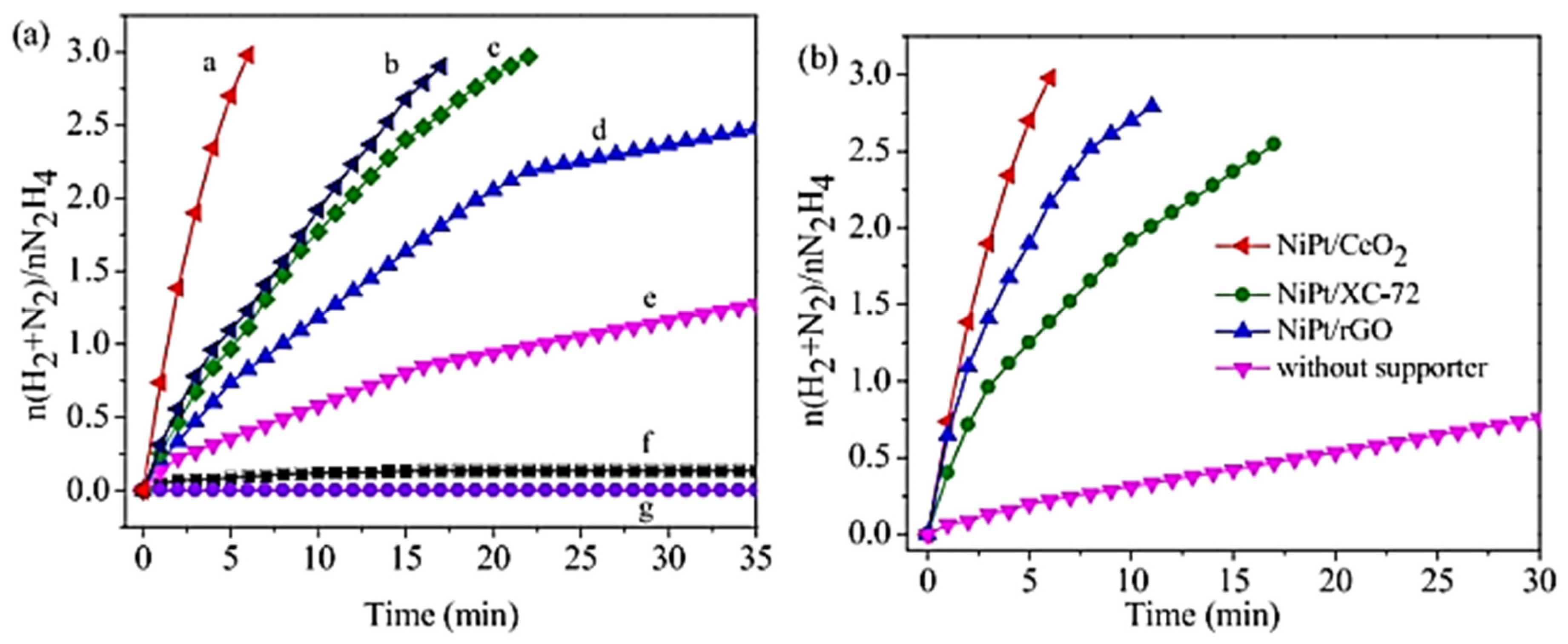
6. Catalytic Effect of Different Supports on Hydrous Hydrazine
6.1. TiO2-Decorated Ti3C2Tx
6.2. CeO2
6.3. Al2O3
6.4. Graphene Oxide (GO)
6.5. La2O3
6.6. CN
6.7. Summary
7. Conclusions
Author Contributions
Funding
Conflicts of Interest
References
- Cheng, Y.; Wu, X.; Xu, H. Catalytic decomposition of hydrous hydrazine for hydrogen production. Sustain. Energy Fuels 2019, 3, 343–365. [Google Scholar] [CrossRef]
- Zhang, M.Y.; Xiao, X.; Wu, Y.; An, Y.; Xu, L.; Wan, C. Hydrogen Production from Ammonia Borane over PtNi Alloy Nanoparticles Immobilized on Graphite Carbon Nitride. Catalysts 2019, 9, 1009. [Google Scholar] [CrossRef]
- Zhou, L.; Sun, L.; Xu, L.; Wan, C.; An, Y.; Ye, M. Recent Developments of Effective Catalysts for Hydrogen Storage Technology Using N-Ethylcarbazole. Catalysts 2020, 10, 648. [Google Scholar] [CrossRef]
- Aranishi, K.; Singh, A.K.; Xu, Q. Dendrimer-Encapsulated Bimetallic Pt-Ni Nanoparticles as Highly Efficient Catalysts for Hydrogen Generation from Chemical Hydrogen Storage Materials. ChemCatChem 2013, 5, 2248–2252. [Google Scholar] [CrossRef]
- Wang, J.; Zhang, X.B.; Wang, Z.L.; Wang, L.M.; Zhang, Y. Rhodium–nickel nanoparticles grown on graphene as highly efficient catalyst for complete decomposition of hydrous hydrazine at room temperature for chemical hydrogen storage. Energy Environ. Sci. 2012, 5, 6885–6888. [Google Scholar] [CrossRef]
- Zhang, L.T.; Ji, L.; Yao, Z.D.; Yan, N.H.; Sun, Z.X.; Yang, L.; Zhu, X.Q.; Hu, S.L.; Chen, L.X. Facile synthesized Fe nanosheets as superior active catalyst for hydrogen storage in MgH2. Int. J. Hydrogen Energy 2019, 44, 21955–21964. [Google Scholar] [CrossRef]
- Liu, M.; Zhou, L.; Luo, X.; Wan, C.; Xu, L. Recent Advances in Noble Metal Catalysts for Hydrogen Production from Ammonia Borane. Catalysts 2020, 10, 788. [Google Scholar] [CrossRef]
- He, L.; Huang, Y.; Wang, A.; Wang, X.; Chen, X.; Delgado, J.J.; Zhang, T. A Noble-Metal-Free Catalyst Derived from Ni-Al Hydrotalcite for Hydrogen Generation from N2H4⋅H2O Decomposition. Angew. Chem. Int. Ed. 2012, 51, 6191–6194. [Google Scholar] [CrossRef]
- Zhang, L.T.; Xiao, X.Z.; Chen, L.X.; Fan, X.L.; Zheng, J.G.; Huang, X. Correction for enhanced hydrogen storage properties of MgH2 with numerous hydrogen diffusion channels provided by Na2Ti3O7 nanotubes. J. Mater. Chem. A 2017, 5, 6178–6185. [Google Scholar] [CrossRef]
- Wan, C.; Zhou, L.; Sun, L.; Xu, L.X.; Cheng, D.G.; Chen, F.Q.; Zhan, X.L.; Yang, Y.R. Boosting visible-light-driven hydrogen evolution from formic acid over AgPd/2D g-C3N4 nanosheets Mott-Schottky photocatalyst. Chem. Eng. J. 2020, 396, 125229. [Google Scholar] [CrossRef]
- Singh, A.K.; Xu, Q. Metal–Organic Framework Supported Bimetallic Ni–Pt Nanoparticles as High-performance Catalysts for Hydrogen Generation from Hydrazine in Aqueous Solution. ChemCatChem 2013, 5, 3000–3004. [Google Scholar] [CrossRef]
- Lin, J.; Chen, J.; Su, W. Rhodium-Cobalt Bimetallic Nanoparticles: A Catalyst for Selective Hydrogenation of Unsaturated Carbon-Carbon Bonds with Hydrous Hydrazine. Adv. Synth. Catal. 2013, 355, 41–46. [Google Scholar] [CrossRef]
- Cao, N.; Su, J.; Luo, W.; Cheng, G. Ni–Pt nanoparticles supported on MIL-101 as highly efficient catalysts for hydrogen generation from aqueous alkaline solution of hydrazine for chemical hydrogen storage. Int. J. Hydrogen Energy 2014, 39, 9726–9734. [Google Scholar] [CrossRef]
- Song, X.; Yang, P.; Wang, J.; Zhao, X.; Zhou, Y.; Li, Y.; Yang, L. NiFePd/UiO-66 nanocomposites as highly efficient catalysts to accelerate hydrogen evolution from hydrous hydrazine. Inorg. Chem. Front. 2019, 6, 2727–2735. [Google Scholar] [CrossRef]
- Wang, K.; Yao, Q.; Qing, S.; Lu, Z.H. La (OH)3 nanosheet-supported CoPt nanoparticles: A highly efficient and magnetically recyclable catalyst for hydrogen production from hydrazine in aqueous solution. J. Mater. Chem. A 2019, 7, 9903–9911. [Google Scholar] [CrossRef]
- Chen, J.; Zou, H.; Yao, Q.; Luo, M.; Li, X.; Lu, Z.H. Cr2O3-modified NiFe nanoparticles as a noble-metal-free catalyst for complete dehydrogenation of hydrazine in aqueous solution. Appl. Surf. Sci. 2020, 501, 144247. [Google Scholar] [CrossRef]
- Chen, J.; Lu, Z.H.; Huang, W.; Kang, Z.; Chen, X. Galvanic replacement synthesis of NiPt/graphene as highly efficient catalysts for hydrogen release from hydrazine and hydrazine borane. J. Alloys Compd. 2017, 695, 3036–3043. [Google Scholar] [CrossRef]
- Zhong, D.C.; Mao, Y.L.; Tan, X.; Zhong, P.; Liu, L.X. RhNi nanocatalyst: Spontaneous alloying and high activity for hydrogen generation from hydrous hydrazine. Int. J. Hydrogen Energy 2016, 41, 6362–6368. [Google Scholar] [CrossRef]
- Song-Il, O.; Yan, J.M.; Wang, H.L.; Wang, Z.L.; Jiang, Q. High catalytic kinetic performance of amorphous CoPt NPs induced on CeOx for H2 generation from hydrous hydrazine. Int. J. Hydrogen Energy 2014, 39, 3755–3761. [Google Scholar] [CrossRef]
- Al-Thubaiti, K.S.; Khan, Z. Trimetallic nanocatalysts to enhanced hydrogen production from hydrous hydrazine: The role of metal centers. Int. J. Hydrogen Energy 2020, 45, 13960–13974. [Google Scholar] [CrossRef]
- Lu, Z.H.; Xu, Q. Recent progress in boron-and nitrogen-based chemical hydrogen storage. Funct. Mater. Lett. 2012, 5, 1230001. [Google Scholar] [CrossRef]
- Manukyan, K.V.; Cross, A.; Rouvimov, S.; Miller, J.; Mukasyan, A.S.; Wolf, E.E. Low temperature decomposition of hydrous hydrazine over FeNi/Cu nanoparticles. Appl. Catal. A Gen. 2014, 476, 47–53. [Google Scholar] [CrossRef]
- Tong, D.G. Retraction: Monodisperse Ni3Fe single-crystalline nanospheres as a highly efficient catalyst for the complete conversion of hydrous hydrazine to hydrogen at room temperature. J. Mater. Chem. A 2019, 7, 20442. [Google Scholar] [CrossRef]
- Dai, H.; Qiu, Y.P.; Dai, H.B.; Wang, P. A study of degradation phenomenon of Ni–Pt/CeO2 catalyst towards hydrogen generation from hydrous hydrazine. Int. J. Hydrogen Energy 2017, 42, 16355–16361. [Google Scholar] [CrossRef]
- Tong, D.G.; Chu, W.; Wu, P.; Gu, G.F.; Zhang, L. Mesoporous multiwalled carbon nanotubes as supports for monodispersed iron–boron catalysts: Improved hydrogen generation from hydrous hydrazine decomposition. J. Mater. Chem. A 2013, 1, 358–366. [Google Scholar] [CrossRef]
- Wang, H.L.; Yan, J.M.; Li, S.J.; Zhang, X.W.; Jiang, Q. Noble-metal-free NiFeMo nanocatalyst for hydrogen generation from the decomposition of hydrous hydrazine. J. Mater. Chem. A 2014, 3, 121–124. [Google Scholar] [CrossRef]
- Jiang, Y.; Kang, Q.; Zhang, J.; Dai, H.B.; Wang, P. High-performance nickel–platinum nanocatalyst supported on mesoporous alumina for hydrogen generation from hydrous hydrazine. J. Power Source 2015, 273, 554–560. [Google Scholar] [CrossRef]
- He, L.; Liang, B.; Li, L.; Yang, X.; Huang, Y.; Wang, A.; Zhang, T. Cerium-oxide-modified nickel as a non-noble metal catalyst for selective decomposition of hydrous hydrazine to hydrogen. ACS Catal. 2015, 5, 1623–1628. [Google Scholar] [CrossRef]
- Wang, J.; Li, Y.; Zhang, Y. Precious-Metal-Free Nanocatalysts for Highly Efficient Hydrogen Production from Hydrous Hydrazine. Adv. Funct. Mater. 2014, 24, 7073–7077. [Google Scholar] [CrossRef]
- Zhang, J.; Kang, Q.; Yang, Z.; Dai, H.; Zhuang, D.; Wang, P. A cost-effective NiMoB–La (OH)3 catalyst for hydrogen generation from decomposition of alkaline hydrous hydrazine solution. J. Mater. Chem. A 2013, 1, 11623–11628. [Google Scholar] [CrossRef]
- Kang, W.; Varma, A. Hydrogen generation from hydrous hydrazine over Ni/CeO2 catalysts prepared by solution combustion synthesis. Appl. Catal. B Environ. 2018, 220, 409–416. [Google Scholar] [CrossRef]
- Dai, H.; Zhong, Y.; Wang, P. Hydrogen generation from decomposition of hydrous hydrazine over Ni-Ir/CeO2 catalyst. Prog. Nat. Sci. Mater. Int. 2017, 27, 121–125. [Google Scholar] [CrossRef]
- Dai, H.; Dai, H.B.; Zhong, Y.J.; Kang, Q.; Sun, L.X.; Wang, P. Kinetics of catalytic decomposition of hydrous hydrazine over CeO2-supported bimetallic Ni–Pt nanocatalysts. Int. J. Hydrogen Energy 2017, 42, 5684–5693. [Google Scholar] [CrossRef]
- Firdous, N.; Janjua, N.K.; Qazi, I.; Wattoo, M.H.S. Optimal Co–Ir bimetallic catalysts supported on γ-Al2O3 for hydrogen generation from hydrous hydrazine. Int. J. Hydrogen Energy 2016, 41, 984–995. [Google Scholar] [CrossRef]
- Xia, B.; Chen, K.; Luo, W.; Cheng, G. NiRh nanoparticles supported on nitrogen-doped porous carbon as highly efficient catalysts for dehydrogenation of hydrazine in alkaline solution. Nano Res. 2015, 8, 3472–3479. [Google Scholar] [CrossRef]
- Kang, Q.; Wang, T.; Li, P.; Liu, L.; Chang, K.; Li, M.; Ye, J. Photocatalytic reduction of carbon dioxide by hydrous hydrazine over Au–Cu alloy nanoparticles supported on SrTiO3/TiO2 coaxial nanotube arrays. Angew. Chem. Int. Ed. 2015, 54, 841–845. [Google Scholar] [CrossRef]
- Lin, W.; Cheng, H.; He, L.; Yu, Y.; Zhao, F. High performance of Ir-promoted Ni/TiO2 catalyst toward the selective hydrogenation of cinnamaldehyde. J. Catal. 2013, 303, 110–116. [Google Scholar] [CrossRef]
- Alberas, D.J.; Kiss, J.; Liu, Z.M.; White, J.M. Surface chemistry of hydrazine on Pt (111). Surf. Sci. 1992, 278, 51–61. [Google Scholar] [CrossRef]
- Huang, S.X.; Rufael, T.S.; Gland, J.L. Diimide formation on the Ni (100) surface. Surf. Sci. Lett. 1993, 290, 673–676. [Google Scholar]
- He, L.; Liang, B.; Huang, Y.; Zhang, T. Design strategies of highly selective nickel catalysts for H2 production via hydrous hydrazine decomposition: A review. Nat. Sci. Rev. 2018, 5, 356–364. [Google Scholar] [CrossRef]
- Batonneau, Y.; Kappenstein, C.J.; Keim, W. Catalytic decomposition of energetic compounds: Gas generators and propulsion. Handb. Heterog. Catal. Online 2008, 2647–2676. [Google Scholar] [CrossRef]
- Lucien, H.W. Thermal Decomposition of Hydrazine. J. Chem. Eng. Data 1961, 6, 584–586. [Google Scholar] [CrossRef]
- Zheng, M.; Cheng, R.; Chen, X.; Li, N.; Li, L.; Wang, X.; Zhang, T. A novel approach for CO-free H2 production via catalytic decomposition of hydrazine. Int. J. Hydrogen Energy 2005, 30, 1081–1089. [Google Scholar] [CrossRef]
- Singh, S.K.; Xu, Q. Complete conversion of hydrous hydrazine to hydrogen at room temperature for chemical hydrogen storage. J. Am. Chem. Soc. 2009, 131, 18032–18033. [Google Scholar] [CrossRef]
- Singh, S.K.; Zhang, X.B.; Xu, Q. Room-temperature hydrogen generation from hydrous hydrazine for chemical hydrogen storage. J. Am. Chem. Soc. 2009, 131, 9894–9895. [Google Scholar] [CrossRef]
- Wan, C.; Sun, L.; Xu, L.; Cheng, D.G.; Chen, F.; Zhan, X.; Yang, Y. Novel NiPt alloy nanoparticle decorated 2D layered g-C3N4 nanosheets: A highly efficient catalyst for hydrogen generation from hydrous hydrazine. J. Mater. Chem. A 2019, 7, 8798–8804. [Google Scholar] [CrossRef]
- Jiang, R.; Qu, X.; Zeng, F.; Li, Q.; Zheng, X.; Xu, Z.; Peng, J. MOF-74-immobilized ternary RhNiP nanoparticles as highly efficient hydrous hydrazine dehydrogenation catalysts in alkaline solutions. Int. J. Hydrogen Energy 2019, 44, 6383–6391. [Google Scholar] [CrossRef]
- Qiu, Y.P.; Yin, H.; Dai, H.; Gan, L.Y.; Dai, H.B.; Wang, P. Tuning the Surface Composition of Ni/meso-CeO2 with Iridium as an Efficient Catalyst for Hydrogen Generation from Hydrous Hydrazine. Chem. A Eur. J. 2018, 24, 4902–4908. [Google Scholar] [CrossRef]
- Chen, J.; Yao, Q.; Zhu, J.; Chen, X.; Lu, Z.H. Rh–Ni nanoparticles immobilized on Ce (OH) CO3 nanorods as highly efficient catalysts for hydrogen generation from alkaline solution of hydrazine. Int. J. Hydrogen Energy 2016, 41, 3946–3954. [Google Scholar] [CrossRef]
- Kumar, P.; Kumar, A.; Queffélec, C.; Gudat, D.; Wang, Q.; Jain, S.L.; Szunerits, S. Visible light assisted hydrogen generation from complete decomposition of hydrous hydrazine using rhodium modified TiO2 photocatalysts. Photochem. Photobiol. Sci. 2017, 16, 1036–1042. [Google Scholar] [CrossRef]
- Wan, C.; Cheng, D.G.; Chen, F.Q.; Zhan, X.L. Fabrication of CeO2 nanotube supported Pt catalyst encapsulated with silica for high and stable performance. Chem. Commun. 2015, 51, 9785–9788. [Google Scholar] [CrossRef]
- Varma, A.; Mukasyan, A.S.; Rogachev, A.S.; Manukyan, K.V. Solution combustion synthesis of nanoscale materials. Chem. Rev. 2016, 116, 14493–14586. [Google Scholar] [CrossRef]
- Baek, S.; Kim, K.H.; Kim, M.J.; Kim, J.J. Morphology control of noble metal catalysts from planar to dendritic shapes by galvanic displacement. Appl. Catal. B Environ. 2017, 217, 313–321. [Google Scholar] [CrossRef]
- Ubeyitogullari, A.; Ciftci, O.N. Generating phytosterol nanoparticles in nanoporous bioaerogels via supercritical carbon dioxide impregnation: Effect of impregnation conditions. J. Food Eng. 2017, 207, 99–107. [Google Scholar] [CrossRef]
- Li, S.; Adkins, N.J.; McCain, S.; Attallah, M.M. Suspended droplet alloying: A new method for combinatorial alloy synthesis; nitinol-based alloys as an example. J. Alloys Compd. 2018, 768, 392–398. [Google Scholar] [CrossRef]
- Wu, Y.; Wang, D.; Zhou, G.; Yu, R.; Chen, C.; Li, Y. Sophisticated construction of Au islands on Pt–Ni: An ideal trimetallic nanoframe catalyst. J. Am. Chem. Soc. 2014, 136, 11594–11597. [Google Scholar] [CrossRef]
- Fang, H.; Yang, J.; Wen, M.; Wu, Q. Nanoalloy materials for chemical catalysis. Adv. Mater. 2018, 30, 1705698. [Google Scholar] [CrossRef] [PubMed]
- Zou, H.; Yao, Q.; Huang, M.; Zhu, M.; Zhang, F.; Lu, Z.H. Noble-metal-free NiFe nanoparticles immobilized on nano CeZrO2 solid solutions for highly efficient hydrogen production from hydrous hydrazine. Sustain. Energy Fuels 2019, 3, 3071–3077. [Google Scholar] [CrossRef]
- Yin, B.; Wang, Q.; Liu, T.; Gao, G. Anchoring ultrafine RhNi nanoparticles on titanium carbides/manganese oxide as an efficient catalyst for hydrogen generation from hydrous hydrazine. New J. Chem. 2018, 42, 20001–20006. [Google Scholar] [CrossRef]
- Jiang, Y.Y.; Dai, H.B.; Zhong, Y.J.; Chen, D.M.; Wang, P. Complete and rapid conversion of hydrazine monohydrate to hydrogen over supported Ni–Pt nanoparticles on mesoporous ceria for chemical hydrogen storage. Chem. A Eur. J. 2015, 21, 15439–15445. [Google Scholar] [CrossRef]
- Cho, J.; Lee, S.; Yoon, S.P.; Han, J.; Nam, S.W.; Lee, K.Y.; Ham, H.C. Role of heteronuclear interactions in selective H2 formation from HCOOH decomposition on bimetallic Pd/M (M = late transition FCC metal) catalysts. ACS Catal. 2017, 7, 2553–2562. [Google Scholar] [CrossRef]
- Cheng, M.; Wen, M.; Zhou, S.; Wu, Q.; Sun, B. Solvothermal synthesis of NiCo alloy icosahedral nanocrystals. Inorg. Chem. 2012, 51, 1495–1500. [Google Scholar] [CrossRef] [PubMed]
- Chen, C.; Kang, Y.; Huo, Z.; Zhu, Z.; Huang, W.; Xin, H.L.; Snyder, J.D.; Li, D.; Herron, J.A.; Mavrikakis, M.; et al. Highly crystalline multimetallic nanoframes with three-dimensional electrocatalytic surfaces. Science 2014, 343, 1339–1343. [Google Scholar] [CrossRef] [PubMed]
- Wu, Y.; Wang, D.; Niu, Z.; Chen, P.; Zhou, G.; Li, Y. A strategy for designing a concave Pt–Ni alloy through controllable chemical etching. Angew. Chem. Int. Ed. 2012, 51, 12524–12528. [Google Scholar] [CrossRef]
- Yin, Y.; Rioux, R.M.; Erdonmez, C.K.; Hughes, S.; Somorjai, G.A.; Alivisatos, A.P. Formation of hollow nanocrystals through the nanoscale Kirkendall effect. Science 2004, 304, 711–714. [Google Scholar] [CrossRef]
- Yadav, M.; Xu, Q. Liquid-phase chemical hydrogen storage materials. Energy Environ. Sci. 2012, 5, 9698–9725. [Google Scholar] [CrossRef]
- Yang, H.; Lu, B.; Guo, L.; Qi, B. Cerium hexacyanoferrate/ordered mesoporous carbon electrode and its application in electrochemical determination of hydrous hydrazine. J. Electroanal. Chem. 2011, 650, 171–175. [Google Scholar] [CrossRef]
- Song, F.Z.; Zhu, Q.L.; Xu, Q. Monodispersed PtNi nanoparticles deposited on diamine-alkalized graphene for highly efficient dehydrogenation of hydrous hydrazine at room temperature. J. Mater. Chem. A 2015, 3, 23090–23094. [Google Scholar] [CrossRef]
- Yang, K.; Yang, K.; Zhang, S.; Luo, Y.; Yao, Q.; Lu, Z.H. Complete dehydrogenation of hydrazine borane and hydrazine catalyzed by MIL-101 supported NiFePd nanoparticles. J. Alloys Compd. 2018, 732, 363–371. [Google Scholar] [CrossRef]
- Tong, D.G.; Tang, D.M.; Chu, W.; Gu, G.F.; Wu, P. Monodisperse Ni3Fe single-crystalline nanospheres as a highly efficient catalyst for the complete conversion of hydrous hydrazine to hydrogen at room temperature. J. Mater. Chem. A 2013, 1, 6425–6432. [Google Scholar] [CrossRef]
- Yang, P.; Yang, L.; Gao, Q.; Luo, Q.; Zhao, X.; Mai, X.; Yang, R. Anchoring carbon nanotubes and post-hydroxylation treatment enhanced Ni nanofiber catalysts towards efficient hydrous hydrazine decomposition for effective hydrogen generation. Chem. Commun. 2019, 55, 9011–9014. [Google Scholar] [CrossRef] [PubMed]
- Wang, J.; Li, W.; Wen, Y.; Gu, L.; Zhang, Y. Rh-Ni-B nanoparticles as highly efficient catalysts for hydrogen generation from hydrous hydrazine. Adv. Energy Mater. 2015, 5, 1401879. [Google Scholar] [CrossRef]
- Zhao, B.; Song, J.; Ran, R.; Shao, Z. Catalytic decomposition of hydrous hydrazine to hydrogen over oxide catalysts at ambient conditions for PEMFCs. Int. J. Hydrogen Energy 2012, 37, 1133–1139. [Google Scholar] [CrossRef]
- Zhong, Y.; Dai, H.; Wang, P. Preparation of Ni-Pt/La2O3 catalyst and its kinetics study of hydrous hydrazine for hydrogen generation. Acta Met. Sin. 2015, 52, 505–512. [Google Scholar]
- Bhattacharjee, D.; Mandal, K.; Dasgupta, S. High performance nickel–palladium nanocatalyst for hydrogen generation from alkaline hydrous hydrazine at room temperature. J. Power Source 2015, 287, 96–99. [Google Scholar] [CrossRef]
- Bhattacharjee, D.; Dasgupta, S. Trimetallic NiFePd nanoalloy catalysed hydrogen generation from alkaline hydrous hydrazine and sodium borohydride at room temperature. J. Mater. Chem. A 2015, 3, 24371–24378. [Google Scholar] [CrossRef]
- Zhang, Z.; Zhang, S.; Yao, Q.; Chen, X.; Lu, Z.H. Controlled synthesis of MOF-encapsulated NiPt nanoparticles toward efficient and complete hydrogen evolution from hydrazine borane and hydrazine. Inorg. Chem. 2017, 56, 11938–11945. [Google Scholar] [CrossRef]
- Zhao, P.; Cao, N.; Su, J.; Luo, W.; Cheng, G. NiIr nanoparticles immobilized on the pores of MIL-101 as highly efficient catalyst toward hydrogen generation from hydrous hydrazine. ACS Sustain. Chem. Eng. 2015, 3, 1086–1093. [Google Scholar] [CrossRef]
- He, L.; Huang, Y.; Wang, A.; Wang, X.; Zhang, T. H2 production by selective decomposition of hydrous hydrazine over Raney Ni catalyst under ambient conditions. AIChE J. 2013, 59, 4297–4302. [Google Scholar] [CrossRef]
- Wu, D.; Wen, M.; Lin, X.; Wu, Q.; Gu, C.; Chen, H. A NiCo/NiO–CoOx ultrathin layered catalyst with strong basic sites for high-performance H2 generation from hydrous hydrazine. J. Mater. Chem. A 2016, 4, 6595–6602. [Google Scholar] [CrossRef]
- Xu, L.; Liu, N.; Hong, B.; Cui, P.; Cheng, D.G.; Chen, F.; Wan, C. Nickel–platinum nanoparticles immobilized on graphitic carbon nitride as highly efficient catalyst for hydrogen release from hydrous hydrazine. RSC Adv. 2016, 6, 31687–31691. [Google Scholar] [CrossRef]
- Zhang, Z.; Zhang, S.; Yao, Q.; Feng, G.; Zhu, M.; Lu, Z.H. Metal–organic framework immobilized RhNi alloy nanoparticles for complete H2 evolution from hydrazine borane and hydrous hydrazine. Inorg. Chem. Front. 2018, 5, 370–377. [Google Scholar] [CrossRef]
- Zhu, Q.L.; Xu, Q. Liquid organic and inorganic chemical hydrides for high-capacity hydrogen storage. Energy Environ. Sci. 2015, 8, 478–512. [Google Scholar] [CrossRef]
- Singh, S.K.; Singh, A.K.; Aranishi, K.; Xu, Q. Noble-metal-free bimetallic nanoparticle-catalyzed selective hydrogen generation from hydrous hydrazine for chemical hydrogen storage. J. Am. Chem. Soc. 2011, 133, 19638–19641. [Google Scholar] [CrossRef]
- Singh, S.K.; Xu, Q. Bimetallic Ni−Pt nanocatalysts for selective decomposition of hydrazine in aqueous solution to hydrogen at room temperature for chemical hydrogen storage. Inorg. Chem. 2010, 49, 6148–6152. [Google Scholar] [CrossRef]
- Singh, S.K.; Lu, Z.H.; Xu, Q. Temperature-induced enhancement of catalytic performance in selective hydrogen generation from hydrous hydrazine with Ni-based nanocatalysts for chemical hydrogen storage. Eur. J. Inorg. Chem. 2011, 2011, 2232–2237. [Google Scholar] [CrossRef]
- Singh, A.K.; Yadav, M.; Aranishi, K.; Xu, Q. Temperature-induced selectivity enhancement in hydrogen generation from Rh–Ni nanoparticle-catalyzed decomposition of hydrous hydrazine. Int. J. Hydrogen Energy 2012, 37, 18915–18919. [Google Scholar] [CrossRef]
- Guo, F.; Zou, H.; Yao, Q.; Huang, B.; Lu, Z.H. Monodispersed bimetallic nanoparticles anchored on TiO2-decorated titanium carbide MXene for efficient hydrogen production from hydrazine in aqueous solution. Renew. Energy 2020, 155, 1293–1301. [Google Scholar] [CrossRef]
- Men, Y.; Su, J.; Wang, X.; Cai, P.; Cheng, G.; Luo, W. NiPt nanoparticles supported on CeO2 nanospheres for efficient catalytic hydrogen generation from alkaline solution of hydrazine. Chin. Chem. Lett. 2019, 30, 634–637. [Google Scholar] [CrossRef]
- Shi, Q.; Qiu, Y.P.; Dai, H.; Wang, P. Study of formation mechanism of Ni-Pt/CeO2 catalyst for hydrogen generation from hydrous hydrazine. J. Alloys Compd. 2019, 787, 1187–1194. [Google Scholar] [CrossRef]
- Dai, H.; Qiu, Y.P.; Dai, H.B.; Wang, P. Ni–Pt/CeO2 loaded on granular activated carbon: An efficient monolithic catalyst for controlled hydrogen generation from hydrous hydrazine. ACS Sustain. Chem. Eng. 2018, 6, 9876–9882. [Google Scholar] [CrossRef]
- He, L.; Huang, Y.; Wang, A.; Liu, Y.; Liu, X.; Chen, X.; Zhang, T. Surface modification of Ni/Al2O3 with Pt: Highly efficient catalysts for H2 generation via selective decomposition of hydrous hydrazine. J. Catal. 2013, 298, 1–9. [Google Scholar] [CrossRef]
- Kumar, A.; Yang, X.; Xu, Q. Ultrafine bimetallic Pt–Ni nanoparticles immobilized on 3-dimensional N-doped graphene networks: A highly efficient catalyst for dehydrogenation of hydrous hydrazine. J. Mater. Chem. A 2019, 7, 112–115. [Google Scholar] [CrossRef]
- Zou, H.; Zhang, S.; Hong, X.; Yao, Q.; Luo, Y.; Lu, Z.H. Immobilization of Ni–Pt nanoparticles on MIL-101/rGO composite for hydrogen evolution from hydrous hydrazine and hydrazine borane. J. Alloys Compd. 2020, 835, 155426. [Google Scholar] [CrossRef]
- Song, F.Z.; Yang, X.; Xu, Q. Ultrafine bimetallic Pt–Ni nanoparticles achieved by metal–organic framework templated zirconia/porous carbon/reduced graphene oxide: Remarkable catalytic activity in dehydrogenation of hydrous hydrazine. Small Methods 2020, 4, 1900707. [Google Scholar] [CrossRef]
- Du, Y.; Su, J.; Luo, W.; Cheng, G. Graphene-supported nickel–platinum nanoparticles as efficient catalyst for hydrogen generation from hydrous hydrazine at room temperature. ACS Appl. Mater. Interfaces 2015, 7, 1031–1034. [Google Scholar] [CrossRef]
- Zhong, Y.J.; Dai, H.B.; Zhu, M.; Wang, P. Catalytic decomposition of hydrous hydrazine over NiPt/La2O3 catalyst: A high-performance hydrogen storage system. Int. J. Hydrogen Energy 2016, 41, 11042–11049. [Google Scholar] [CrossRef]
- Zhong, Y.J.; Dai, H.B.; Jiang, Y.Y.; Chen, D.M.; Zhu, M.; Sun, L.X.; Wang, P. Highly efficient Ni@ Ni–Pt/La2O3 catalyst for hydrogen generation from hydrous hydrazine decomposition: Effect of Ni–Pt surface alloying. J. Power Source 2015, 300, 294–300. [Google Scholar] [CrossRef]
- Sun, J.K.; Xu, Q. Metal nanoparticles immobilized on carbon nanodots as highly active catalysts for hydrogen generation from hydrazine in aqueous solution. ChemCatChem 2015, 7, 526–531. [Google Scholar] [CrossRef]
- Qiu, Y.P.; Shi, Q.; Zhou, L.L.; Chen, M.H.; Chen, C.; Tang, P.P.; Wang, P. NiPt Nanoparticles Anchored onto Hierarchical Nanoporous N-Doped Carbon as an Efficient Catalyst for Hydrogen Generation from Hydrazine Monohydrate. ACS Appl. Mater. Interfaces 2020, 12, 18617–18624. [Google Scholar] [CrossRef]
- Zhang, M.; Liu, L.; Lu, S.; Xu, L.; An, Y.; Wan, C. Facile Fabrication of NiPt/CNTs as an Efficient Catalyst for Hydrogen Production from Hydrous Hydrazine. Chem. Sel. 2019, 4, 10494–10500. [Google Scholar] [CrossRef]
- Xia, B.; Liu, T.; Luo, W.; Cheng, G. NiPt–MnOx supported on N-doped porous carbon derived from metal–organic frameworks for highly efficient hydrogen generation from hydrazine. J. Mater. Chem. A 2016, 4, 5616–5622. [Google Scholar] [CrossRef]
- Singh, S.K.; Xu, Q. Bimetallic nickel-iridium nanocatalysts for hydrogen generation by decomposition of hydrous hydrazine. Chem. Commun. 2010, 46, 6545–6547. [Google Scholar] [CrossRef]
- Du, X.; Du, C.; Cai, P.; Luo, W.; Cheng, G. NiPt Nanocatalysts Supported on Boron and Nitrogen Co-Doped Graphene for Superior Hydrazine Dehydrogenation and Methanol Oxidation. ChemCatChem 2016, 8, 1410–1416. [Google Scholar] [CrossRef]
- Wang, C.; Wang, H.L.; Gao, D.W.; Zhao, Z.K. Amorphous NiCoPt/Ce2O3 Nanoparticles as Highly Efficient Catalyst for Hydrogen Generation from Hydrous Hydrazine. Mater. Sci. Forum 2017, 898, 1862–1870. [Google Scholar] [CrossRef]
- Kang, W.; Guo, H.; Varma, A. Noble-metal-free NiCu/CeO2 catalysts for H2 generation from hydrous hydrazine. Appl. Catal. B Environ. 2019, 249, 54–62. [Google Scholar] [CrossRef]

















© 2020 by the authors. Licensee MDPI, Basel, Switzerland. This article is an open access article distributed under the terms and conditions of the Creative Commons Attribution (CC BY) license (http://creativecommons.org/licenses/by/4.0/).
Share and Cite
Zhou, L.; Luo, X.; Xu, L.; Wan, C.; Ye, M. Pt-Ni Nanoalloys for H2 Generation from Hydrous Hydrazine. Catalysts 2020, 10, 930. https://doi.org/10.3390/catal10080930
Zhou L, Luo X, Xu L, Wan C, Ye M. Pt-Ni Nanoalloys for H2 Generation from Hydrous Hydrazine. Catalysts. 2020; 10(8):930. https://doi.org/10.3390/catal10080930
Chicago/Turabian StyleZhou, Liu, Xianjin Luo, Lixin Xu, Chao Wan, and Mingfu Ye. 2020. "Pt-Ni Nanoalloys for H2 Generation from Hydrous Hydrazine" Catalysts 10, no. 8: 930. https://doi.org/10.3390/catal10080930
APA StyleZhou, L., Luo, X., Xu, L., Wan, C., & Ye, M. (2020). Pt-Ni Nanoalloys for H2 Generation from Hydrous Hydrazine. Catalysts, 10(8), 930. https://doi.org/10.3390/catal10080930

