Selective Oxofunctionalization of Cyclohexene over Titanium Dioxide-Based and Bismuth Oxyhalide Photocatalysts by Visible Light Irradiation
Abstract
1. Introduction
2. Results
2.1. Photocatalyst Characterization
2.2. Cyclohexene Oxofunctionalization
2.3. Identification of the Oxofunctionalized Products
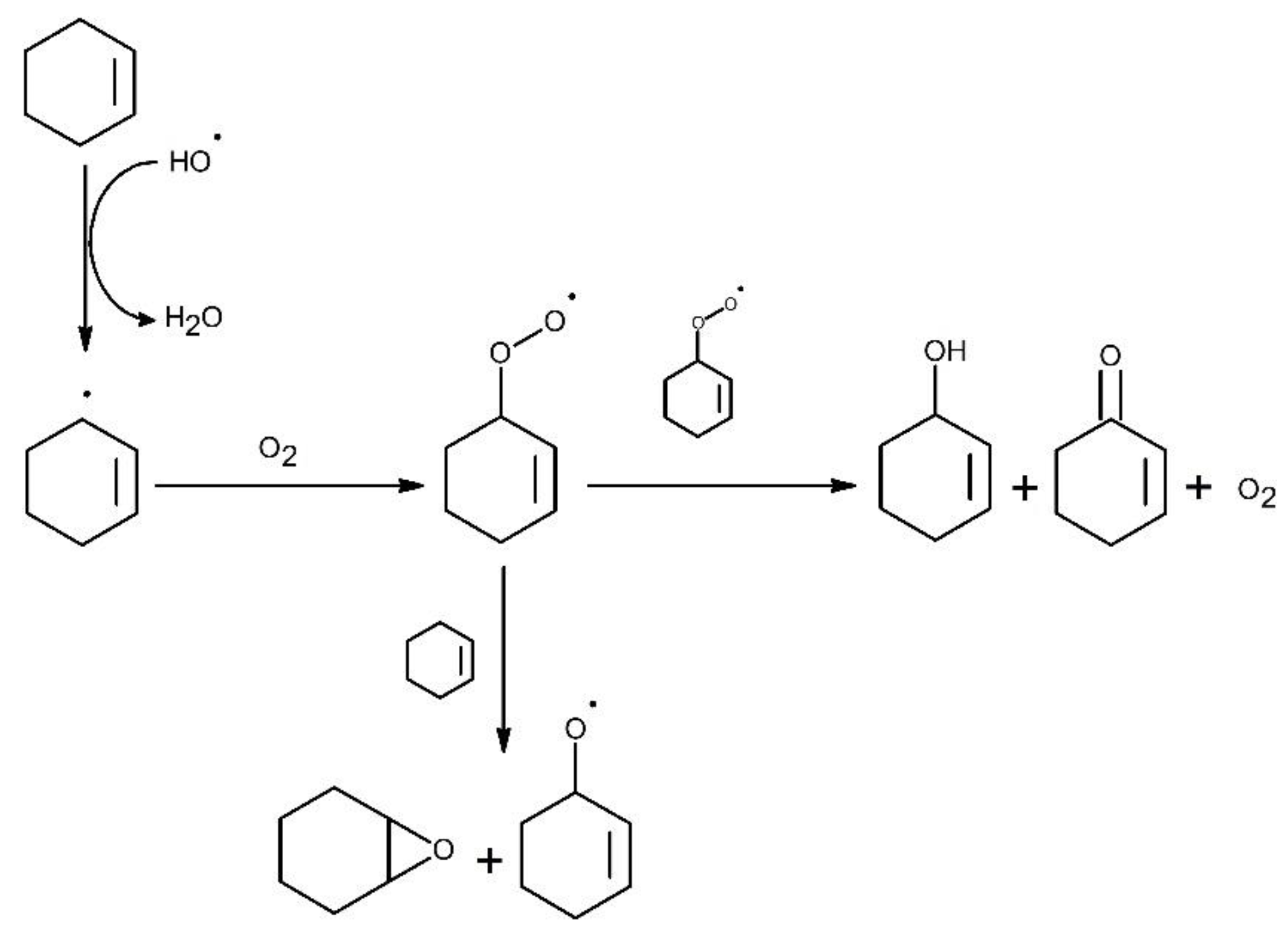
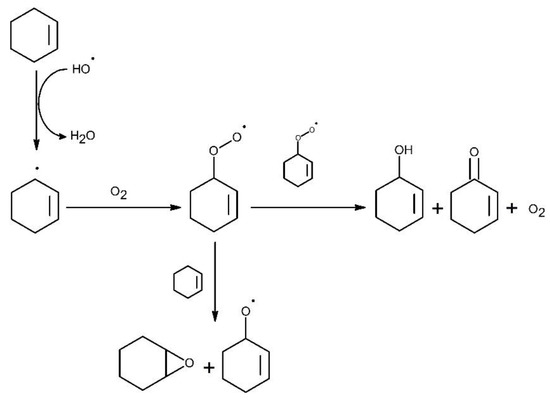
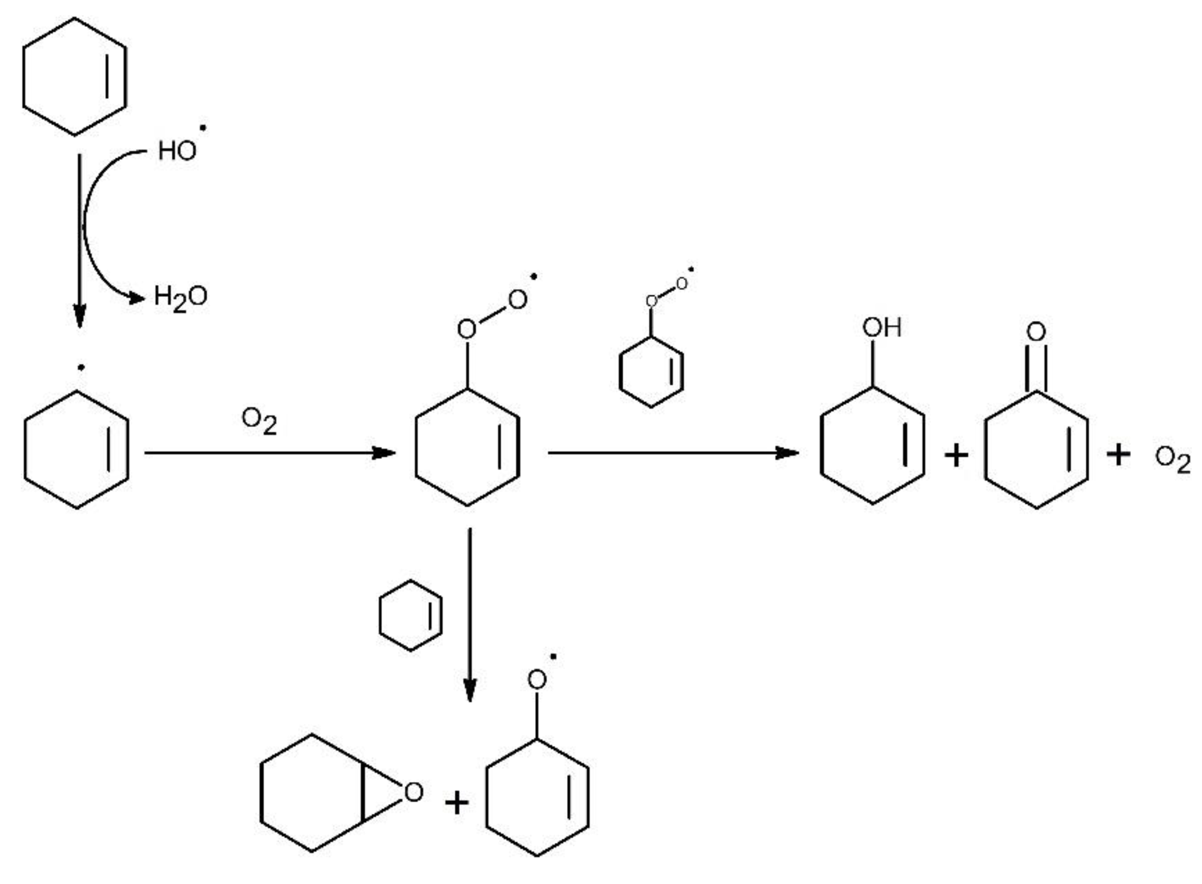
3. Discussion
4. Materials and Methods
4.1. Synthesis of Photocatalysts
4.2. Photocatalyst Characterization
4.3. Cyclohexene Oxofunctionalization
5. Conclusions
Author Contributions
Funding
Conflicts of Interest
References
- McCullagh, C.; Robertson, P.K.J.; Adams, M.; Pollard, P.M.; Mohammed, A. Development of a slurry continuous flow reactor for photocatalytic treatment of industrial waste water. J. Photochem. Photobiol. A Chem. 2010, 211, 42–46. [Google Scholar] [CrossRef]
- Robertson, P.K.J.; Robertson, J.M.C.; Bahnemann, D.W. Removal of microorganisms and their chemical metabolites from water using semiconductor photocatalysis. J. Hazard. Mater. 2012, 211, 161–171. [Google Scholar] [CrossRef]
- Lawton, L.A.; Robertson, P.K.J.; Cornish, B.; Jaspars, M. Detoxification of microcystins (cyanobacterial hepatotoxins) using TiO2 photocatalytic oxidation. Environ. Sci. Technol. 1999, 33, 771–775. [Google Scholar] [CrossRef]
- Robertson, P.K.J.; Bahnemann, D.W.; Lawton, L.A.; Bellu, E. A study of the kinetic solvent isotope effect on the destruction of microcystin-LR and geosmin using TiO2 photocatalysis. Appl. Catal. B Environ. 2011, 108, 1–5. [Google Scholar] [CrossRef]
- Fernandez, J.; Kiwi, J.; Lizama, C.; Freer, J.; Baeza, J.; Mansilla, H.D. Factorial experimental design of Orange II photocatalytic discolouration. J. Photochem. Photobiol. A Chem. 2002, 151, 213–219. [Google Scholar] [CrossRef]
- Lea, J.; Adesina, A.A. The photo-oxidative degradation of sodium dodecyl sulphate in aerated aqueous TiO2 suspension. J. Photochem. Photobiol. A Chem. 1998, 118, 111–122. [Google Scholar] [CrossRef]
- Quesada-Cabrera, R.; Mills, A.; O’Rourke, C. Action spectra of P25 TiO2 and a visible light absorbing, carbon-modified titania in the photocatalytic degradation of stearic acid. Appl. Catal. B Environ. 2014, 150, 338–344. [Google Scholar] [CrossRef]
- Sakthivel, S.; Kisch, H. Daylight Photocatalysis by Carbon-Modified Titanium Dioxide. Angewandte Chemie Int. Ed. 2003, 42, 4908–4911. [Google Scholar] [CrossRef]
- Robertson, J.M.; Robertson, P.K.J.; Lawton, L.A. A comparison of the effectiveness of TiO2 photocatalysis and UVA photolysis for the destruction of three pathogenic micro-organisms. J. Photochem. Photobiol. A Chem. 2005, 175, 51–56. [Google Scholar] [CrossRef]
- Binas, V.; Sambani, K.; Maggos, T.; Katsanaki, A.; Kiriakidis, G. Synthesis and photocatalytic activity of Mn-doped TiO2 nanostructured powders under UV and visible light. Appl. Catal. B Environ. 2012, 113, 79–86. [Google Scholar] [CrossRef]
- Han, W.-Q.; Wen, W.; Yi, D.; Liu, Z.; Maye, M.M.; Lewis, L.; Hanson, J.; Gang, O. Fe-Doped Trititanate Nanotubes: Formation, Optical and Magnetic Properties, and Catalytic Applications. J. Phys. Chem. C 2007, 111, 14339–14342. [Google Scholar] [CrossRef]
- Choi, W.; Termin, A.; Hoffmann, M.R. The Role of Metal Ion Dopants in Quantum-Sized TiO2: Correlation between Photoreactivity and Charge Carrier Recombination Dynamics. J. Phys. Chem. 1994, 98, 13669–13679. [Google Scholar] [CrossRef]
- Zhu, J.; Zheng, W.; He, B.; Zhang, J.; Anpo, M. Characterization of Fe–TiO2 photocatalysts synthesized by hydrothermal method and their photocatalytic reactivity for photodegradation of XRG dye diluted in water. J. Mol. Catal. A Chem. 2004, 216, 35–43. [Google Scholar] [CrossRef]
- Mera, A.C.; Moreno, Y.; Pivan, J.-Y.; Peña, O.; Mansilla, H.D. Solvothermal synthesis of BiOI microspheres: Effect of the reaction time on the morphology and photocatalytic activity. J. Photochem. Photobiol. A Chem. 2014, 289, 7–13. [Google Scholar] [CrossRef]
- Dong, F.; Wang, H.; Wu, Z. One-Step “Green” Synthetic Approach for Mesoporous C-Doped Titanium Dioxide with Efficient Visible Light Photocatalytic Activity. J. Phys. Chem. C 2009, 113, 16717–16723. [Google Scholar] [CrossRef]
- Fu, J.; Tian, Y.; Chang, B.; Xi, F.; Cheng, F. Soft-chemical synthesis of mesoporous nitrogen-modified titania with superior photocatalytic performance under visible light irradiation. Chem. Eng. J. 2013, 219, 155–161. [Google Scholar] [CrossRef]
- Barrio, L.; Toribio, P.; Campos-Martín, J.M.; Fierro, J. An experimental and theoretical study of the catalytic effect of quaternary ammonium salts on the oxidation of hydrocarbons. Tetrahedron 2004, 60, 11527–11532. [Google Scholar] [CrossRef]
- Qadir, M.I.; Scholten, J.D.; Dupont, J. TiO2 nanomaterials: Highly active catalysts for the oxidation of hydrocarbons. J. Mol. Catal. A Chem. 2014, 383, 225–230. [Google Scholar] [CrossRef]
- Molinari, R.; Caruso, A.; Poerio, T. Direct benzene conversion to phenol in a hybrid photocatalytic membrane reactor. Catal. Today 2009, 144, 81–86. [Google Scholar] [CrossRef]
- Tachikawa, T.; Fujitsuka, A.M.; Majima, T. Mechanistic Insight into the TiO2 Photocatalytic Reactions: Design of New Photocatalysts. J. Phys. Chem. C 2007, 111, 5259–5275. [Google Scholar] [CrossRef]
- Zhang, Y.; Zhang, N.; Tang, Z.-R.; Xu, Y.-J. Transforming CdS into an efficient visible light photocatalyst for selective oxidation of saturated primary C–H bonds under ambient conditions. Chem. Sci. 2012, 3, 2812–2822. [Google Scholar] [CrossRef]
- Augugliaro, V.; Caronna, T.; Di Paola, A.; Marcì, G.; Pagliaro, M.; Palmisano, G.; Palmisano, L. TiO2-based photocatalysis for organic synthesis BT. In Environmentally Benign Photocatalysts: Applications of Titanium Oxide-Based Materials; Anpo, M., Kamat, P.V., Eds.; Springer: New York, NY, USA, 2010; pp. 623–645. [Google Scholar] [CrossRef]
- Shiraishi, Y.; Hirai, T. Selective organic transformations on titanium oxide-based photocatalysts. J. Photochem. Photobiol. C Photochem. Rev. 2008, 9, 157–170. [Google Scholar] [CrossRef]
- Bu, J.; Yun, S.-H.; Rhee, H.-K. Epoxidation of n-hexene and cyclohexene over titanium-containing catalysts. Korean J. Chem. Eng. 2000, 17, 76–80. [Google Scholar] [CrossRef]
- Joergensen, K.A. Transition-metal-catalyzed epoxidations. Chem. Rev. 1989, 89, 431–458. [Google Scholar] [CrossRef]
- Zhou, Z.; Dai, G.; Ru, S.; Yu, H.; Wei, Y. Highly selective and efficient olefin epoxidation with pure inorganic-ligand supported iron catalysts. Dalton Trans. 2019, 48, 14201–14205. [Google Scholar] [CrossRef]
- Tseberlidis, G.; DeMonti, L.; Pirovano, V.; Scavini, M.; Cappelli, S.; Rizzato, S.; Vicente, R.; Caselli, A. Controlling Selectivity in Alkene Oxidation: Anion Driven Epoxidation or Dihydroxylation Catalysed by [Iron(III)(Pyridine-Containing Ligand)] Complexes. ChemCatChem 2019, 11, 4907–4915. [Google Scholar] [CrossRef]
- Pope, M.T.; Müller, A. Polyoxometalate Chemistry: An Old Field with New Dimensions in Several Disciplines. Angew. Chemie Int. Ed. 1991, 30, 34–48. [Google Scholar] [CrossRef]
- Oloo, W.N.; Que, J.L. Bioinspired Nonheme Iron Catalysts for C–H and C═C Bond Oxidation: Insights into the Nature of the Metal-Based Oxidants. Acc. Chem. Res. 2015, 48, 2612–2621. [Google Scholar] [CrossRef]
- Shiraishi, Y.; Morishita, M.; Hirai, T. Acetonitrile-assisted highly selective photocatalytic epoxidation of olefins on Ti-containing silica with molecular oxygen. Chem. Commun. 2005, 5977–5979. [Google Scholar] [CrossRef]
- Ouidri, S.; Guillard, C.; Caps, V.; Khalaf, H. Epoxidation of olefins on photoirradiated TiO2-pillared clays. Appl. Clay Sci. 2010, 48, 431–437. [Google Scholar] [CrossRef]
- Herrmann, J.; Mu, W.; Pichat, P. Mild oxidation of cyclic C6-C10 hydrocarbons in liquid phase at room temperature by heterogeneous photocatalysis. In Studies in Surface Science and Catalysis; Heterogeneous Catalysis and Fine Chemicals II; Guisnet, M., Barrault, J., Bouchoule, C., Duprez, D., Pérot, G., Maurel, R., Montassier, C., Eds.; Elsevier: Amsterdam, The Netherlands, 1991; pp. 405–412. [Google Scholar] [CrossRef]
- Amadelli, R.; Bregola, M.; Polo, E.; Carassiti, V.; Maldotti, A. Photooxidation of hydrocarbons on porphyrin-modified titanium dioxide powders. J. Chem. Soc. Chem. Commun. 1992, 1355–1357. [Google Scholar] [CrossRef]
- Litter, M.; Navío, J. Photocatalytic properties of iron-doped titania semiconductors. J. Photochem. Photobiol. A Chem. 1996, 98, 171–181. [Google Scholar] [CrossRef]
- Asahi, R.; Morikawa, T.; Ohwaki, T.; Aoki, K.; Taga, Y. Visible-Light Photocatalysis in Nitrogen-Doped Titanium Oxides. Science 2001, 293, 269–271. [Google Scholar] [CrossRef] [PubMed]
- Mitoraj, D.; Kisch, H. The Nature of Nitrogen-Modified Titanium Dioxide Photocatalysts Active in Visible Light. Angewandte Chemie Int. Ed. 2008, 47, 9975–9978. [Google Scholar] [CrossRef] [PubMed]
- Serpone, N. Is the Band Gap of Pristine TiO2 Narrowed by Anion- and Cation-Doping of Titanium Dioxide in Second-Generation Photocatalysts? J. Phys. Chem. B 2006, 110, 24287–24293. [Google Scholar] [CrossRef] [PubMed]
- Qin, X.; Cheng, H.; Wang, W.; Huang, B.; Zhang, X.; Dai, Y. Three dimensional BiOX (X=Cl, Br and I) hierarchical architectures: Facile ionic liquid-assisted solvothermal synthesis and photocatalysis towards organic dye degradation. Mater. Lett. 2013, 100, 285–288. [Google Scholar] [CrossRef]
- Wang, S.-L.; Wang, L.-L.; Ma, W.-H.; Johnson, D.M.; Fang, Y.-F.; Jia, M.-K.; Huang, Y.-P. Moderate valence band of bismuth oxyhalides (BiOXs, X=Cl, Br, I) for the best photocatalytic degradation efficiency of MC-LR. Chem. Eng. J. 2015, 259, 410–416. [Google Scholar] [CrossRef]
- Zhang, W.; Zhang, Q.; Dong, F. Visible-Light Photocatalytic Removal of NO in Air over BiOX (X = Cl, Br, I) Single-Crystal Nanoplates Prepared at Room Temperature. Ind. Eng. Chem. Res. 2013, 52, 6740–6746. [Google Scholar] [CrossRef]
- Henríquez, A.; Mansilla, H.D.; La Cruz, A.M.M.-D.; Freer, J.; Contreras, D. Selective oxofunctionalization of cyclohexane over titanium dioxide–based and bismuth oxyhalide (BiOX, X = Cl−, Br−, I−) photocatalysts by visible light irradiation. Appl. Catal. B Environ. 2017, 206, 252–262. [Google Scholar] [CrossRef]
- Wild, J.; Sridhar, T.; Potter, O. Solubility of nitrogen and oxygen in cyclohexane. Chem. Eng. J. 1978, 15, 209–214. [Google Scholar] [CrossRef]
- Mahajani, S.; Sharma, M.; Sridhar, T. Uncatalysed oxidation of cyclohexene. Chem. Eng. Sci. 1999, 54, 3967–3976. [Google Scholar] [CrossRef]
- Denekamp, I.M.; Antens, M.; Slot, T.K.; Rothenberg, G. Selective Catalytic Oxidation of Cyclohexene with Molecular Oxygen: Radical Versus Nonradical Pathways. ChemCatChem 2018, 10, 1035–1041. [Google Scholar] [CrossRef] [PubMed]
- Baran, T.; Wojtyła, S.; Minguzzi, A.; Rondinini, S.; Vertova, A. Achieving efficient H2O2 production by a visible-light absorbing, highly stable photosensitized TiO2. Appl. Catal. B Environ. 2019, 244, 303–312. [Google Scholar] [CrossRef]
- McAteer, B.; Beattie, N.; Richens, D.T. Catalytic oxidation of cyclohexene by aqueous iron(III)/H2O2 in mildly acidic solution: Epoxidation versus allylic oxidation. Inorg. Chem. Commun. 2013, 35, 284–289. [Google Scholar] [CrossRef]
- Qamar, M.; Merzougui, B.A.; Anjum, D.H.; Hakeem, A.S.; Yamani, Z.H.; Bahnemann, D.W. Synthesis and photocatalytic activity of mesoporous nanocrystalline Fe-doped titanium dioxide. Catal. Today 2014, 230, 158–165. [Google Scholar] [CrossRef]
- Zalas, M. Synthesis of N-doped template-free mesoporous titania for visible light photocatalytic applications. Catal. Today 2014, 230, 91–96. [Google Scholar] [CrossRef]
- Tauc, J.; Grigorovici, R.; Vancu, A. Optical Properties and Electronic Structure of Amorphous Germanium. Phys. Status Solidi 1966, 15, 627–637. [Google Scholar] [CrossRef]
- Davis, E.A.; Mott, N.F. Conduction in non-crystalline systems V. Conductivity, optical absorption and photoconductivity in amorphous semiconductors. Philos. Mag. 1970, 22, 0903–0922. [Google Scholar] [CrossRef]







| Reference | Catalyst | Illumination Source | Experimental Conditions | Time (h) | Conversion (%) | Epoxide Selectivity (%) |
|---|---|---|---|---|---|---|
| [30] | TiO2 | (λ > 280 nm) | Catalyst, 10 mg; MeCN, 10 mL; cyclohexene, 0.2 mmol; O2, 1 atm. | 3 | 9 | 26 |
| [31] | Degussa P25 TiO2 | 125 W Hg lamp (>340 nm) | Catalyst, 15 mg; cyclohexene, 20 mL; O2, 100 mL min−1; room temperature. | 1 | 5 | 18 |
| [32] | Degussa P25 TiO2 | 125 W Hg lamp (λ > 300 nm) | Cyclohexene, 10 mL; room temperature | 3 | - | 9 |
| [33] | TiO2 | (λ > 365 nm) | Catalyst, 4 mg mL−1 in the O2-saturated neat cyclohexene. | 3–4 | - | 1.17 |
| JCPDS Card No. 4-477 | TiO2 | 0.5% Fe TiO2 | 1.0% Fe TiO2 | 2.5% Fe TiO2 | N TiO2 | |||||||
|---|---|---|---|---|---|---|---|---|---|---|---|---|
| (h k l) Planes | 2θ (Deg) | I | 2θ (Deg) | I | 2θ (Deg) | I | 2θ (Deg) | I | 2θ (Deg) | I | 2θ (Deg) | I |
| 1 0 1 | 25.16 | 100 | 25.40 | 100 | 25.39 | 100 | 25.35 | 100 | 25.34 | 100 | 25.34 | 100 |
| 0 0 4 | 37.63 | 22 | 37.96 | 32 | 37.95 | 31 | 37.91 | 30 | 37.90 | 32 | 37.98 | 30 |
| 2 0 0 | 47.96 | 33 | 48.13 | 36 | 48.12 | 34 | 48.11 | 34 | 48.06 | 34 | 48.06 | 36 |
| 1 0 5 | 53.71 | 21 | 54.00 | 28 | 53.98 | 26 | 53.95 | 25 | 53.94 | 26 | 54.01 | 24 |
| 2 1 1 | 55.07 | 19 | 55.26 | 23 | 55.26 | 22 | 55.24 | 21 | 55.21 | 17 | 55.00 | 23 |
| 2 0 4 | 62.57 | 13 | 62.79 | 21 | 62.76 | 20 | 62.72 | 19 | 62.69 | 18 | 62.73 | 16 |
| 1 1 6 | 68.52 | 5 | 68.91 | 10 | 68.92 | 9 | 68.87 | 9 | 68.81 | 8 | 68.97 | 4 |
| 2 2 0 | 70,27 | 5 | 70.44 | 9 | 70.44 | 8 | 70.42 | 7 | 70.37 | 7 | 70.36 | 5 |
| 2 1 5 | 74.95 | 10 | 75.21 | 12 | 75.14 | 11 | 75.19 | 10 | 75.15 | 10 | 75.26 | 9 |
| JCPDS Card No. 6-249 | BiOCl | JCPDS Card No. 78-348 | BiOBr | JCPDS Card No.73-2062 | BiOI | |||||||||
|---|---|---|---|---|---|---|---|---|---|---|---|---|---|---|
| (h k l) Planes | 2θ (Deg) | I | 2θ (Deg) | I | (h k l) Planes | 2θ (Deg) | I | 2θ (deg) | I | (h k l) Planes | 2θ (Deg) | I | 2θ (Deg) | I |
| 0 0 1 | 11.89 | 40 | 11.88 | 6 | 0 0 1 | 10.80 | 43 | 10.83 | 7 | 0 0 2 | 19.28 | 4 | 19.382 | 5 |
| 0 0 2 | 23.94 | 16 | 24.01 | 3 | 0 0 2 | 21.75 | 7 | 21.89 | 3 | 0 1 1 | 24.21 | 2 | 24.34 | 5 |
| 1 0 1 | 25.77 | 100 | 25.92 | 68 | 1 0 1 | 25.12 | 25 | 25.24 | 34 | 0 1 2 | 29.66 | 100 | 29.69 | 100 |
| 1 1 0 | 32.45 | 75 | 32.64 | 100 | 1 0 2 | 31.63 | 100 | 31.74 | 73 | 1 1 0 | 31.64 | 42 | 31.74 | 54 |
| 1 0 2 | 33.40 | 95 | 33.48 | 38 | 1 1 0 | 32.20 | 48 | 32.34 | 100 | 1 1 1 | 33.18 | 2 | 33.22 | 5 |
| 1 1 1 | 34.72 | 10 | 34.85 | 6 | 1 1 1 | 34.02 | 3 | 34.18 | 5 | 0 1 3 | 37.09 | 9 | 37.05 | 6 |
| 1 1 2 | 40.78 | 30 | 41.01 | 11 | 1 1 2 | 39.27 | 11 | 39.39 | 9 | 1 1 2 | 37.41 | 5 | 37.46 | 6 |
| 2 0 0 | 46.58 | 35 | 46.81 | 38 | 2 0 0 | 46.18 | 19 | 46.36 | 34 | 0 0 4 | 39.33 | 7 | 39.37 | 6 |
| 2 0 1 | 48.28 | 10 | 48.46 | 5 | 1 1 3 | 46.80 | 8 | 46.97 | 5 | 0 2 0 | 45.42 | 17 | 45.49 | 24 |
| 1 1 3 | 49.61 | 25 | 49.69 | 9 | 2 0 1 | 47.55 | 3 | 47.74 | 4 | 1 1 4 | 51.44 | 14 | 51.40 | 12 |
| 2 0 2 | 53.08 | 8 | 53.32 | 3 | 1 0 4 | 50.57 | 12 | 50.68 | 5 | 1 2 2 | 55.22 | 28 | 55.228 | 30 |
| 2 1 1 | 53.96 | 25 | 54.28 | 23 | 2 1 1 | 53.37 | 6 | 53.49 | 8 | 1 1 5 | 60.28 | 4 | 60.105 | 3 |
| 2 1 2 | 58.50 | 30 | 58.73 | 16 | 1 1 4 | 56.05 | 11 | 56.14 | 5 | 0 2 4 | 61.75 | 6 | 61.644 | 4 |
| 1 1 4 | 60.46 | 12 | 60.57 | 4 | 2 1 2 | 57.13 | 29 | 57.25 | 26 | 1 2 4 | 66.43 | 5 | 66.273 | 6 |
| 2 2 0 | 67.96 | 12 | 68.34 | 7 | 2 2 0 | 67.46 | 5 | 67.62 | 6 | 0 3 2 | 74.31 | 5 | 74.196 | 4 |
| 3 0 1 | 74.02 | 6 | 74.44 | 3 | 2 1 4 | 71.00 | 7 | 70.97 | 3 | |||||
| 2 1 4 | 74.84 | 14 | 75.03 | 2 | 3 1 0 | 76.70 | 6 | 76.89 | 5 | |||||
| Selectivity (%) | |||||||
|---|---|---|---|---|---|---|---|
| Entry | Photocatalyst | Time [h] | Temperature [°C] | A | B | C | D |
| 1 | None | 3 | 37 | 5.7 | 2.8 | 85.1 | 6.4 |
| 2 | TiO2 | 3 | 37 | 10.0 | 14.8 | 69.4 | 5.8 |
| 3 | 0.5% Fe-TiO2 | 3 | 37 | 16.9 | 26.9 | 47.2 | 9.0 |
| 4 | 1.0% Fe-TiO2 | 3 | 37 | 20.4 | 35.4 | 36.3 | 7.9 |
| 5 | 2.5% Fe-TiO2 | 3 | 37 | 13.3 | 22.2 | 59.6 | 4.9 |
| 6 | N-TiO2 | 3 | 37 | 11.0 | 16.3 | 62.6 | 10.1 |
| 7 | BiOCl | 3 | 37 | 6.2 | 7.0 | 79.0 | 7.8 |
| 8 | BiOBr | 3 | 37 | 6.8 | 8.0 | 80.8 | 4.4 |
| 9 | BiOI | 3 | 37 | 3.3 | 0.2 | 88.9 | 7.6 |
Publisher’s Note: MDPI stays neutral with regard to jurisdictional claims in published maps and institutional affiliations. |
© 2020 by the authors. Licensee MDPI, Basel, Switzerland. This article is an open access article distributed under the terms and conditions of the Creative Commons Attribution (CC BY) license (http://creativecommons.org/licenses/by/4.0/).
Share and Cite
Henríquez, A.; Mansilla, H.D.; Martínez-de la Cruz, A.; Cornejo-Ponce, L.; Schott, E.; Contreras, D. Selective Oxofunctionalization of Cyclohexene over Titanium Dioxide-Based and Bismuth Oxyhalide Photocatalysts by Visible Light Irradiation. Catalysts 2020, 10, 1448. https://doi.org/10.3390/catal10121448
Henríquez A, Mansilla HD, Martínez-de la Cruz A, Cornejo-Ponce L, Schott E, Contreras D. Selective Oxofunctionalization of Cyclohexene over Titanium Dioxide-Based and Bismuth Oxyhalide Photocatalysts by Visible Light Irradiation. Catalysts. 2020; 10(12):1448. https://doi.org/10.3390/catal10121448
Chicago/Turabian StyleHenríquez, Adolfo, Héctor D. Mansilla, Azael Martínez-de la Cruz, Lorena Cornejo-Ponce, Eduardo Schott, and David Contreras. 2020. "Selective Oxofunctionalization of Cyclohexene over Titanium Dioxide-Based and Bismuth Oxyhalide Photocatalysts by Visible Light Irradiation" Catalysts 10, no. 12: 1448. https://doi.org/10.3390/catal10121448
APA StyleHenríquez, A., Mansilla, H. D., Martínez-de la Cruz, A., Cornejo-Ponce, L., Schott, E., & Contreras, D. (2020). Selective Oxofunctionalization of Cyclohexene over Titanium Dioxide-Based and Bismuth Oxyhalide Photocatalysts by Visible Light Irradiation. Catalysts, 10(12), 1448. https://doi.org/10.3390/catal10121448

